Next Article in Journal
Digital Twin Model Quality Optimization and Control Methods Based on Workflow Management
Next Article in Special Issue
Exploring the Keyword Network Analysis and Research Trends for Sustainable Development of Paralympic Research: Based on Changes in Classification
Previous Article in Journal
Long Short-Term Memory Recurrent Neural Network Approach for Approximating Roots (Eigen Values) of Transcendental Equation of Cantilever Beam
Previous Article in Special Issue
A Study on the Winning and Losing Factors of Para Ice Hockey Using Data Mining-Based Decision Tree Analysis
 
 
Font Type:
Arial Georgia Verdana
Font Size:
Aa Aa Aa
Line Spacing:
Column Width:
Background:
Article

Age, a Key Factor in the Performance of Doubles Badminton Players: Analysis of the Evolution of Age from 1994 to 2020

by
Luis Simón-Chico
1,
Javier Abián-Vicén
1,*,
Alfredo Bravo-Sánchez
2 and
Pablo Abián
3
1
Performance and Sport Rehabilitation Laboratory, Faculty of Sport Sciences, University of Castilla-La Mancha, 45071 Toledo, Spain
2
Faculty of Health Sciences, Universidad Francisco de Vitoria, 28223 Pozuelo de Alarcón, Spain
3
Faculty of Humanities and Social Sciences, Comillas Pontifical University, 28049 Madrid, Spain
*
Author to whom correspondence should be addressed.
Appl. Sci. 2023, 13(5), 2888; https://doi.org/10.3390/app13052888
Submission received: 8 February 2023 / Revised: 23 February 2023 / Accepted: 23 February 2023 / Published: 23 February 2023
(This article belongs to the Special Issue Advances in Sports Performance Analysis and Applied Technologies)

Abstract

The main objective of this research was to establish the evolution of badminton players’ ages in the modalities of men’s, women’s and mixed doubles in the top-100 of the World Ranking (WR) from 1994 to 2020. Data were obtained from the Badminton World Federation website (7200 entries: 3304 players) from 1994 to 2020. The highest-ranking position and the mean age of the top-100 WR badminton players were analyzed for each modality. In the men’s doubles (MD) and mixed doubles (XD) modalities, a progressive increase of mean age was observed from 1994 to 2020 (MD: 1994 = 23.91 ± 3.93 years vs. 2020 = 25.55 ± 4.40 years; p < 0.001 and XD: 1994 = 24.06 ± 3.99 years vs. 2020 = 25.34 ± 4.77 years; p = 0.004). In contrast, the women’s doubles modality did not present any change in mean age from 1994 to 2020 (~24 years; p = 0.317). In addition, women’s doubles players reached their highest ranking at an earlier age (~23 years) than men’s and mixed doubles players (~25 years). In conclusion, as often happens in other sports, elite women badminton doubles players are younger and reach their peak performance at a younger age than their male counterparts. These data could help coaches, trainers and selectors to plan the sports career of their elite players.

1. Introduction

In recent decades, the world population has experienced a significant growth due to the increase of longevity [1]. One factor that contributes to this is the support for leisure sport [2] and physical activity [3,4,5]. As has occurred in society in general, the ageing of the population has also been observed in the field of sport [6,7]. In the case of amateur sport, the ageing of athletes is due to the pursuit of happiness and the benefits that living an active life have on people’s health [8]. In elite sport, improvements in training programmes, training of coaches and physical instructors, inclusion of specific diets and the incorporation of experts, such as physiotherapists and doctors, have contributed to the ageing of athletes, as observed in sports such as swimming [9], triathlon [10], tennis [6] and badminton [7].
Badminton is a sport that does not discriminate between genders. In Atlanta 1996, mixed doubles, where men and women compete at the same time on the same playing field, were introduced as an official modality into the Olympic Games programme. This means that the sport is made up of five different modalities: two singles (men’s and women’s) and three doubles (men’s doubles, women’s doubles and mixed doubles). Analysing the different badminton modalities, Hume et al. [11] found anthropometric differences between singles and doubles elite players: singles players (men and women) were taller, thinner and had less body mass and longer segments than the doubles players, and fewer physical demands were required during doubles competition (average and maximum heart rate and estimated VO2max consumption). In addition, doubles players move less and at a lower speed than singles players [12], and points are shorter during the matches. Several studies found that there are differences in the rally time between each doubles modality: ~6.4 s in men’s doubles, ~9.6 s in women’s doubles and ~5.6 s in mixed doubles [13,14,15]. Abián-Vicén et al. [15] analysed the evolution of the time structure of men’s and women’s doubles matches during Olympic Games from Beijing 2008 until Rio de Janeiro 2016, and they observed that in both modalities the matches lasted longer and the rest intervals between points increased. In addition, despite the fact that the intensity and frequency of strokes per rally (MD: 1.54 ± 0.06 vs. WD; 1.33 ± 0.05) were higher in men’s than in women’s doubles, the workload (the product of volume of load per intensity of work) was still higher in women’s doubles (MD 0.21 ± 0.03 vs. WD: 0.34 ± 0.07) [15]. These differences between doubles modalities in time structure, intensity, volume and workload throughout the sporting career could lead to differences in relation to the evolution of age in badminton players, and therefore the ability to prolong their sporting career over time.
Several studies have analysed the evolution of the mean age of athletes in racquet sports performance, and found sex-related differences. In tennis, Gallo-Salazar et al. [6] analysed the change of age of the top-100 World Ranking (WR) tennis players (men and women) from 1984 to 2013 and observed that the mean age had significantly increased in men (~12%) and women tennis players (~4%) in the last years. In addition, they also observed that women entered the top-100 of the WR and reached their highest position earlier than men. As occurs in tennis, Abián et al. [7] observed an increase in the mean age of badminton players after analysing the change in the age of the top-100 of WR badminton players (men and women) in the last 26 years (1994–2020). Furthermore, women badminton players entered the top-100 of the WR before male players. Therefore, we can say that, in singles modalities, elite badminton is getting older. Considering how tennis and badminton have evolved in singles modalities, it would be interesting to analyse the evolution of age in doubles modalities to see if they are following the same pattern. Although these investigations have not explained the causes that determine this increase in the average age of badminton and tennis players, it can be speculated that it may be due to the improvement of training programs and better education, training and planning by the coaches. Nowadays, there is better training equipment and technology, greater knowledge about the sport and training programs focused on the identification and prevention of injuries [16,17]. In fact, better prepared coaches and the introduction of new technologies as a work tool have led to tactical preparation becoming increasingly relevant [18]. Currently, coaches and players study different game tactics depending on the opponent they are going to face [19]. For these reasons, and in line with Longo et al.’s [20] conclusions that in sports where tactics were decisive the athletes were older than in exclusively technical sports, we think that the tactical evolution of badminton may be another influential factor in the average age increase of elite badminton players.
Each of the five badminton modalities requires specific preparation in terms of technique, tactics, control and fitness [21], and their game and time structure also differ [15,22,23]. As previously mentioned, physical demands, intensity and workload in doubles are lower than individual modalities [15,22]. This, together with the improvements of training methods, could favour the increase in mean age of badminton players as was previously described in different sports modalities where tactics and experience take precedence over technique and physical capacity [20]. Therefore, the primary objective of this research was to establish the change of badminton players’ ages in the modalities of women’s, men’s, and mixed doubles in the top-100 of the WR from 1994 to 2020. In addition, we aimed to define the age at which the different pairs reached their highest-ranking position, establish the number of years they remained in the top-100 of the WR, analyse the differences between the three doubles modalities, and determine the number of players originating from each continent. Based on previous information, our hypothesis was that badminton players in doubles are currently older and reach their best ranking positions later than a few decades ago. Furthermore, players in men’s and mixed doubles are older and enter the top-100 of the WR later than their counterparts in the women’s category.

2. Materials and Methods

2.1. Procedures

Data were obtained from the Badminton World Federation website for the top-100 WR pairs in each modality (men’s doubles (MD), women’s doubles (WD) and mixed doubles (XD)) from 1994, the first date for which official records are available for this sport, until 2020 (the years 2006 and 2007 were not included in the analysis since no official records are available). In total, 7200 positions were recorded, each corresponding to a pair (2400 per modality) resulting from the participation of 1234 men’s doubles players, 1347 women’s doubles players, and 723 men and 734 women mixed doubles players.
The last position reached by each player with their partner in the WR at the end of December was used (with the exception of the records of 2020 where those of the month of March were used due to the stoppage in official competitions caused by the COVID-19 pandemic). In addition, in the WD and XD modalities, the surname changes of the women after marriage were investigated to avoid duplicating profiles.
The highest position reached in the WR by each pair throughout their sporting career was recorded as the best classification. For those pairs who reached their highest position on more than one occasion, only the earlier age at which this ranking was reached was used for statistical analysis. The same criteria were used for those players who competed with different partners throughout their sporting career (either in the same year with two different partners or with another person in another year).
In accordance with the Declaration of Helsinki the research was supervised by a Research Ethics Committee which declared that this research did not require approval.

2.2. Variables

The modality (MD, WD and XD) and the years (from 1994 to 2020) were used as category variables.
Mean age of the top 100 ranked pairs and of the highest-ranking position, frequency related to age in the top-100 WR, frequency distribution according to age (14–20 years, 21–25 years, 26–30 years and >30 years) in the top-100 WR per decade (1990s, 2000s and 2010s), number of years lasting in the top-100 WR and continent of origin of the players were used as dependent variables.
The average age of badminton players during their highest career position in the WR was calculated by distributing the players into brackets (top-100, top-64, top-32, top-10 and top-1). The selection of these brackets was due to the fact that in all the tournaments organised by the BWF World Tour, the Super 750 and Super 1000, do not have qualifying rounds, but directly play the main draw in which only 32 players can participate (selected according to their position in the WR). In addition, in the Olympic Games, 16 pairs are qualified, divided into four groups of four pairs each.

2.3. Statistical Analysis

Data was stored using a Microsoft Excel spreadsheet (Microsoft, Madrid, Spain). The IBM SPSS Statistics v. 26.0 (SPSS Inc., Chicago, IL, USA) software was used to perform statistical calculations using descriptive, normality and inferential statistical tests.
A two-factor Analysis of Variance (ANOVA) was performed to analyse the difference between ranking groups (top-100, top-64, top-32, top-16 and top-1) and modality (MD, WD and XD). In addition, a two-way repeated measures ANOVA was performed to calculate the differences in age between years and modality (time × modality). Chi-square analysis was used to compare frequency distributions. The significance level was set at p < 0.05. Data are presented as mean ± standard deviation and as frequencies.

3. Results

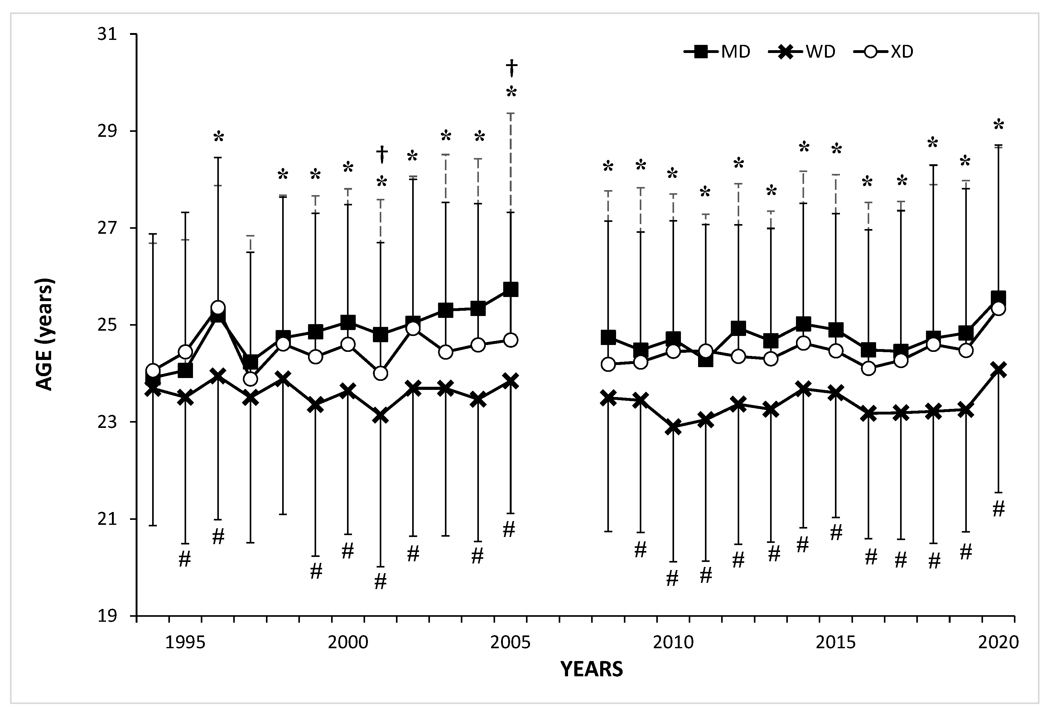
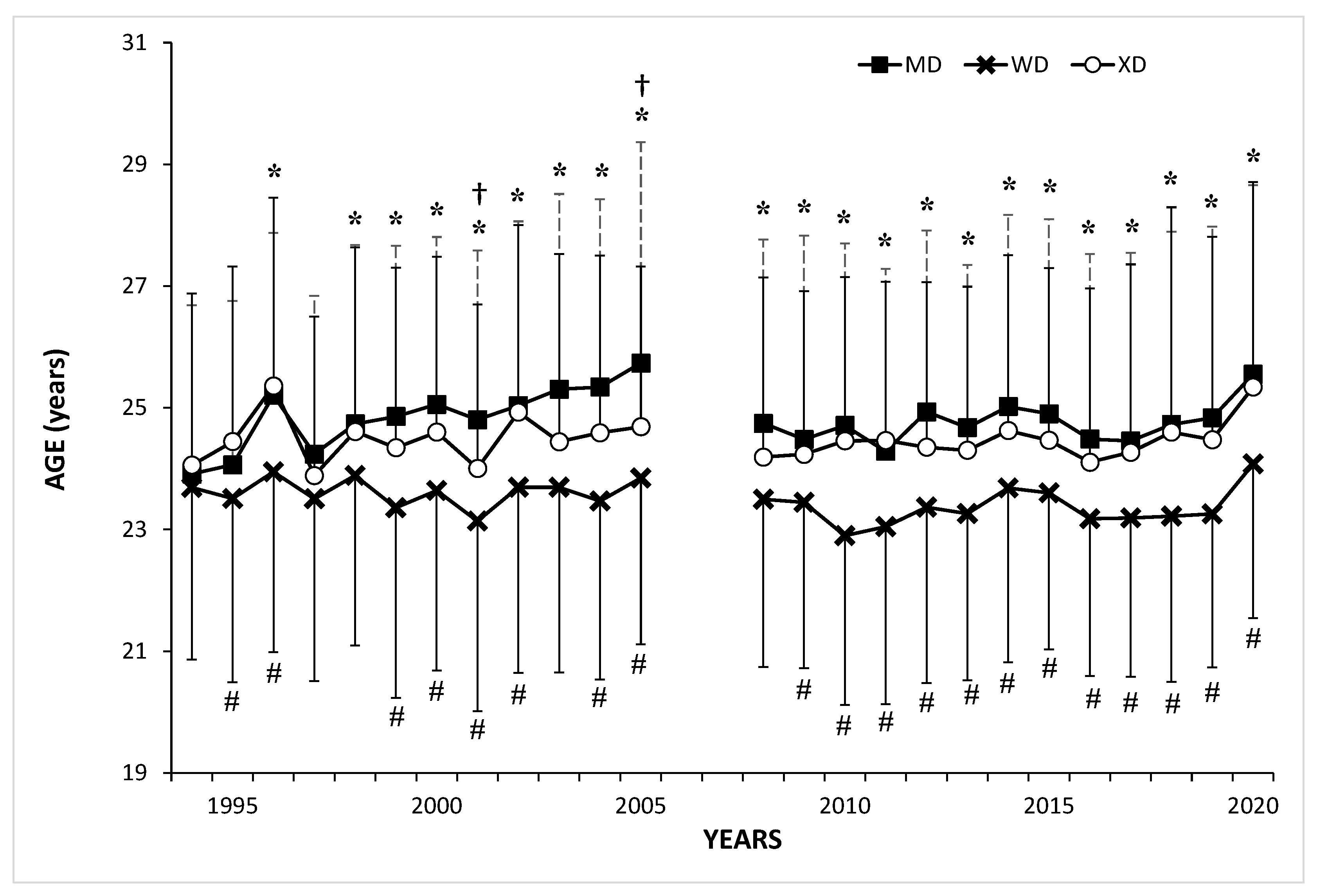
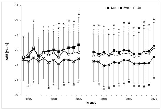
The change of mean age in the top-100 WR players in doubles modalities over the last 27 years is presented in Figure 1. In MD, an increase in mean age was found from 1994 to 2020 (1994 = 23.91 ± 3.93 years vs. 2020 = 25.55 ± 4.40 years; p < 0.01). Similarly, a progressive increase of mean age was observed in XD from 1994 to 2020 (1994 = 24.06 ± 3.99 years vs. 2020 = 25.34 ± 4.77 years; p = 0.004). Regarding WD results, no major difference was observed between 1994 and 2020 (1994 = 23.69 ± 4.00 years vs. 2020 = 24.08 ± 3.58 years; p = 0.317).
Within the modality comparison, mean age of MD top-100 WR players was higher than WD players in all the examined years except 1994, 1995 and 1997. Mean age of XD was higher than WD in all the examined years except 1994, 1997, 1998 and 2008. Finally, mean age of MD was higher than XD only in 2001 and 2005 (Figure 1).
Figure 2 shows the mean age related to the highest ranking in badminton players. Women’s doubles players reached their highest ranking earlier than both men’s doubles and mixed doubles players (WD = ~23 years, vs. MD = ~25 years and XD = ~25 years) in all WR position brackets. No differences were found between MD and XD players.
Frequency distribution regarding age in top ranked MD, WD and XD badminton players at 1-year intervals is shown in Figure 3. It can be observed that the curves of the three modalities have an inverted U-shaped distribution, with MD and XD ranging between 20 and 27 years old and WD ranging between 19 and 26 years old. In MD, the higher rate was observed in the 21–22-years old group, in WD it was in the 20–22-years old group and for the XD it was in the 22–24-year-old group.
Table 1 presents the frequency distribution according to doubles players’ ages in the last decades. Most badminton players, in the three modalities (MD, WD and XD) were in the 21–25 years old range for all the decades. In the MD, the range of over-30-years-old age group increased 2.62% from the 1990s to 2010s. In WD, a 2.18% decrease was found in the over-30-years-old group and a 3.33% increase in the 21–25-years-old group. In the XD, an increase of 5.86% was observed in the 21–25-years-old group. Comparing the different modalities, a greater percentage of WD players was found in the 14–20-years-old group range than in MD and XD. In addition, a larger percentage of MD were registered in the 26–30-years-old group and over-30-years-old group compared to WD, and a larger percentage of XD with respect to WD were found in the 2010s decade in the 26–30-years-old group and over-30-years-old group.
MD players remained an average of 3.8 ± 3.1 years in the top 100 WR position, WD players remained 3.4 ± 2.7 years, while XD players remained 3.2 ± 2.6 years. More than 59% of the doubles players (MD 59.8%, WD 64.4% and XD 67.4%) who reached the top 100 WR position remained there for 1–3 years. More than 29.0% of the doubles players (MD 33.1%, WD 31.5 and XD 29.0%) remained in the top-100 for 4–9 years and only 7.1% of MD, 4.1% of WD and 3.6% of XD stayed for 10 years or more.
Figure 4 shows information concerning the percentage of badminton players from each continent in the three doubles modalities (MD, WD and XD). In the first years (1994 to 1999), a similar percentage in MD and WD were found in players from Asia and Europe, with 40.4% and 44.9%, respectively, while in XD the percentage of European players was higher than that from other continents with 50.4% of the players. In the following years, from 2000 to 2009, the three modalities showed a comparable percentage of players from Asia and Europe with 44.6% and 42.7%. From 2010, the percentage of Asian players became higher in the different modalities, having more than 60% of the players in MD and WD and almost 60% of the players in XD, followed by the Europeans with ~30%. American players represented only ~7% and African and Oceania players only ~3%.

4. Discussion

The purpose of this research was to determine the evolution of badminton players’ ages in the modalities of MD, WD and XD in the top-100 of the WR from 1994 to 2020. The main results were the following: (a) while mean age increased in MD and XD players from 1994 to 2020, it remained constant in WD players; (b) WD players reached their best ranking at ~23 years while MD and XD players reached it at ~25 years; (c) age frequency distribution from 1994 to 2020 shifted towards older ages in XD (22–24) compared to WD (20–22 years) and MD (21–22 years); (d) permanence in the WR top-100 was between 1–3 years for more than 59% in the three doubles modalities and more than 29% of the doubles players remained for 4–9 years; (e) since 2010, more than 60% of the players in MD and WD and almost 60% in XD were Asian, followed by Europeans, at ~30%, and Americans at less than ~7%.
We have observed in doubles modalities that in the WR top-100 the mean age of MD players was higher than WD players. This finding has also been recorded in previous studies on tennis [6] and badminton [7] players in singles modalities, although this parameter increased less in doubles badminton players than in singles players. However, it should be noted that both MD and XD modalities showed an increase in the mean age from 1994 to 2020, while the WD modality has not changed since 1994. The mean age of the XD players was in the middle of the other two modalities, this could be due to the fact that some of the women players and men players who compete in WD and MD also compete in XD and, therefore, the mean age between men and women makes the mean age of the modality stabilise in the middle.
WD players showed the youngest age of peak performance, reaching their best ranking position at ~23 years while MD and XD players reached it at ~25 years. These differences may be explained because girls mature earlier than boys [24,25], so they can reach the optimal conditions to achieve their best performance earlier than men. The age at which WD players reached their highest ranking is the same as that which occurs in women singles players [7], while for the MD, men singles and XD players, the best ranking position was at a later age [7]. These differences in the mean age between modalities may be related to the structure of the game, the type of strokes and the training plan, which are different in each modality [15,22,23]. In addition, although there are differences in the age at which athletes reach their peak performance between sports, it is always the women who reach their peak performance at an earlier age [6,7,9,10,26].
Regarding the continuity in the WR top-100, comparing our results with the study by Abián et al. [7], a higher percentage of badminton doubles players remained less years in the ranking than the singles players. The anthropometric features of the players, the body cardiac response values and the type of shots used in the singles and doubles modalities are different [11,12,27]. The doubles modalities present more explosive movements and a greater speed of execution in the shots [12], which means that the players do not manage to stay as long in the top WR positions as the individual players. In addition, the frequency representation of people of different ages showed that most of the players were ranged from 21 to 25 years old and only 8–10% represents people from older ages (>30 years old) in MD and XD, and only ~5% represents women from older ages in WD. These results are very close to those recorded by Abián et al. [7], where 45–50% of badminton players of both sexes were in the 21–25 age range, and for the >30-years-old range, men represented 11.9% of the players vs. 5.5% of the women players.
The number of badminton players has increased in the last few years [21]. Moreover, players from each continent in the WR have changed significantly over the years studied. The number of Asians has increased significantly, accounting for more than ~60% since 2010. This phenomenon may be because badminton is one of the most popular sports in some Asian countries, such as Malaysia, Indonesia, China and Korea [15,28].
This research presents some limitations that should be discussed in order to understand the applicability of the obtained results. First, it is important to recall that the years 2006 and 2007 were not included because no data were available for those years. Secondly, the change in the scoring format in 2006 may have generated an impact on the performance of the badminton players related to their age [14,18,21]. Thirdly, assuming that the best performance of a pair is related solely to their highest ranking might not be the best approach because the peak performance could be in a specific tournament or only during part of the year. There could be possible changes in the ranking due to several considerations, such as qualification and entries to specific competitions, injuries, or even the different players’ personal issues. In this line, it would be interesting to develop future research analysing the influence of other variables, such as education level, facilities for practice, type of education and environment, on the age of the players to know if these variables can be effective in reaching the athlete’s peak performance faster. Fourthly, in doubles modalities, the changes in pairs during the years, or the participation in one or two categories, could have an impact in the WR obtained by the different couples. Moreover, in the case of doubles categories, all the partner’s personal issues or injuries could also affect the results. Finally, the WR has not been updated since March 2020 due to the COVID-19 pandemic and, therefore, the results of 2021 and 2022 competitions were not included in the analysis.

Practical Applications

This research tries to identify the relationship between age and performance in doubles badminton modalities as has previously been done for singles. Knowing the ages for the best performance in different doubles modalities (MD, WD and XD) can help coaches, trainers and selectors to plan their elite players’ sports careers. In addition, knowing that several of the players in the men’s and women’s modalities also compete and achieve good results in the XD modality, may encourage more players to train and compete in two modalities at the same time. Likewise, in the case that a player wants to change modalities (either because he/she is not having good results or because he/she has to change partners), they can also consider competing in another doubles modality. On the other hand, considering that the mean age of doubles players is higher than that of their counterparts in singles, older singles players may also be encouraged to continue competing in doubles modalities where the age of the best performance is reached later.

5. Conclusions

In conclusion, this study shows that the mean age in the WR top-100 of the doubles modalities in which men participate (MD and XD) is higher than in the WD modality. Moreover, in both MD and XD the mean age has undergone a significant increase from 1994 to 2020, while remaining constant in the WD modality. The percentage of the WD players entering the top-100 at a younger age (14–20 years) is significantly higher than MD and XD players (~14% in MD; ~16% in XD; ~24% in WD). In addition, these differences can also be observed in the age at which they reach their peak performance (WD; ~23 years; MD and XD players; ~25 years). Finally, the fact that badminton has become the most important sport within the Asian continent means that the number of Asian players in the WR has increased significantly in recent years, accounting for more than ~60% since 2010.
This information may be helpful to players, trainers and national coaches from the different international federations, as this study shows that the performance of badminton doubles players is influenced by their age. Thus, coaches will be able to plan their players’ careers and advise them whether to switch from one modality to another, where physical demands and the age of peak performance are different.

Author Contributions

Conceptualization, J.A.-V., P.A. and L.S.-C.; methodology, L.S.-C., J.A.-V., P.A. and A.B.-S.; formal analysis, P.A. and L.S.-C.; writing—original draft preparation, L.S.-C. and P.A.; writing—review and editing, J.A.-V. and A.B.-S. All authors have read and agreed to the published version of the manuscript.

Funding

This research was funded by group grants from the University of Castilla-La Mancha and co-financed by the European Union through the European Regional Development Fund and by the Education, Audiovisual and Culture Executive Agency of the European Commission (grant number 2018-3795/001-001). Alfredo Bravo-Sánchez was supported by pre-doctoral grants from the University of Castilla-La Mancha, Plan Propio de I + D + I (grant number: 2018-PREDUCLM-7632).

Institutional Review Board Statement

In accordance with the Declaration of Helsinki, the research was supervised by a Research Ethics Committee which declared that this research did not require approval.

Informed Consent Statement

Not applicable.

Data Availability Statement

The data presented in this study are available on request from the corresponding author.

Acknowledgments

The authors of the study would like to thank the Badminton World Federation (BWF) for facilitating the men’s, women’s and mixed doubles world rankings for the purpose of this research.

Conflicts of Interest

The authors declare no conflict of interest.

References

  1. United Nations. World Population Prospects Highlights, 2019 Revision Highlights. Available online: https://www.un.org/development/desa/publications/world-population-prospects-2019-highlights.html (accessed on 14 May 2022).
  2. Jaumot-Pascual, N.; Monteagudo, M.J.; Kleiber, D.A.; Cuenca, J. Gender Differences in Meaningful Leisure Among Older Adults: Joint Displays of Four Phenomena. Front. Psychol. 2018, 9, 1450. [Google Scholar] [CrossRef] [PubMed]
  3. Walsh, D.W.; Green, B.C.; Holahan, C.; Cance, J.D.; Lee, D. Healthy aging? An evaluation of sport participation as a resource for older adults in retirement. J. Leis. Res. 2019, 50, 56–80. [Google Scholar] [CrossRef]
  4. Jenkin, C.R.; Eime, R.M.; Westerbeek, H.; O’Sullivan, G.; van Uffelen, J.G.Z. Sport and ageing: A systematic review of the determinants and trends of participation in sport for older adults. BMC Public Health 2017, 17, 976. [Google Scholar] [CrossRef] [PubMed]
  5. Wang, H.; Abbas, K.M.; Abbasifard, M.; Abbasi-Kangevari, M.; Abbastabar, H.; Abd-Allah, F.; Abdelalim, A.; Abolhassani, H.; Abreu, L.G.; Abrigo, M.R.M.; et al. Global age-sex-specific fertility, mortality, healthy life expectancy (HALE), and population estimates in 204 countries and territories, 1950-2019: A comprehensive demographic analysis for the Global Burden of Disease Study 2019. Lancet 2020, 396, 1160–1203. [Google Scholar] [CrossRef]
  6. Gallo-Salazar, C.; Salinero, J.J.; Sanz, D.; Areces, F.; del Coso, J. Professional tennis is getting older: Age for the top 100 ranked tennis players. Int. J. Perform. Anal. Sport 2015, 15, 873–883. [Google Scholar] [CrossRef]
  7. Abián, P.; Simón-Chico, L.; Bravo-Sánchez, A.; Abián-Vicén, J. Elite Badminton Is Getting Older: Ages of the Top 100 Ranked Badminton Players from 1994 to 2020. Int J Environ Res Public Health 2021, 18, 11779. [Google Scholar] [CrossRef]
  8. Pérez-Flores, A.M.; Muñoz-Sánchez, V.M. Deporte, cultura y sociedad: Un estado actual de la cuestión. Rev. De Humanid. 2018, 34, 11–38. [Google Scholar]
  9. König, S.; Valeri, F.; Wild, S.; Rosemann, T.; Rüst, C.A.; Knechtle, B. Change of the age and performance of swimmers across World Championships and Olympic Games finals from 1992 to 2013-a cross-sectional data analysis. SpringerPlus 2014, 3, 652. [Google Scholar] [CrossRef]
  10. Gallmann, D.; Knechtle, B.; Rüst, C.A.; Rosemann, T.; Lepers, R. Elite triathletes in ’Ironman Hawaii’ get older but faster. AGE 2014, 36, 407–416. [Google Scholar] [CrossRef]
  11. Hume, P.; Png, W.; Aziz, A.R.; Makhtar, R.; Zakaria, Z.; Mohd Ali, M.; Md Razali, M.R. Differences in world badminton players’ physical and proportionality characteristics between singles and doubles players. In Kinanthropometry XI: 2008 Pre-Olympic Congress Anthropometry Research; Hume, P., Stewart, A., Eds.; Sport Performance Research Institute New Zealand, Auckland University of Technology: Auckland, New Zealand, 2009; pp. 78–89. [Google Scholar]
  12. Alcock, A.; Cable, N.T. A comparison of singles and doubles badminton: Heart rate response, player profiles and game characteristics. Int. J. Perform. Anal. Sport 2009, 9, 228–237. [Google Scholar] [CrossRef]
  13. Abián, P.; Castanedo, A.; Xing Qiao, F.; Sampedro, J.; Abian-Vicen, J. Notational comparison of men´s singles badminton matches between Olympic Games in Beijing and London. Int. J. Perform. Anal. Sport 2014, 14, 42–53. [Google Scholar] [CrossRef]
  14. Abian-Vicen, J.; Castanedo, A.; Abian, P.; Sampedro, J. Temporal and notational comparison of badminton matches between men’s singles and women’s singles. Int. J. Perform. Anal. Sport 2013, 13, 310–320. [Google Scholar] [CrossRef]
  15. Abián-Vicén, J.; Sánchez, L.; Abián, P. Performance structure analysis of the men’s and women’s badminton doubles matches in the Olympic Games from 2008 to 2016 during playoffs stage. Int. J. Perform. Anal. Sport 2018, 18, 633–644. [Google Scholar] [CrossRef]
  16. Kimura, Y.; Ishibashi, Y.; Tsuda, E.; Yamamoto, Y.; Tsukada, H.; Toh, S. Mechanisms for anterior cruciate ligament injuries in badminton. Br. J. Sports Med. 2010, 44, 1124–1127. [Google Scholar] [CrossRef]
  17. Goh, S.L.; Mokhtar, A.H.; Mohamad Ali, M.R. Badminton injuries in youth competitive players. J. Sports Med. Phys. Fitness 2013, 53, 65–70. [Google Scholar]
  18. Chen, H.L.; Wu, C.J.; Chen, T. Physiological and Notational Comparison of New and Old Scoring Systems of Singles Matches in Men’s Badminton. Asian J. Phys. Educ. Recreat. 2011, 17, 6–17. [Google Scholar] [CrossRef]
  19. Su, Y.; Liu, Z. Position Detection for Badminton Tactical Analysis based on Multi-person Pose Estimation. In Proceedings of the 14th International Conference on Natural Computation, Fuzzy Systems and Knowledge Discovery (ICNC-FSKD), Huangshan, China, 28–30 July 2018; pp. 379–383. [Google Scholar]
  20. Longo, A.; Siffredi, C.; Cardey, M.; Aquilino, G.; Lentini, N. Age of peak performance in Olympic sports: A comparative research among disciplines. J. Hum. Sport Exerc. 2016, 11, 31–41. [Google Scholar] [CrossRef]
  21. Phomsoupha, M.; Laffaye, G. The science of badminton: Game characteristics, anthropometry, physiology, visual fitness and biomechanics. Sports Med. 2015, 45, 473–495. [Google Scholar] [CrossRef]
  22. Gawin, W.; Beyer, C.; Seidler, M. A competition analysis of the single and double disciplines in world-class badminton. Int. J. Perform. Anal. Sport 2015, 15, 997–1006. [Google Scholar] [CrossRef]
  23. Liddle, S.; Murphy, M.; Bleakley, E. A comparison of the physiological demands of singles and doubles badminton: A heart rate and time/motion analysis. J. Hum. Movement Stud. 1996, 30, 159–176. [Google Scholar]
  24. Bramen, J.E.; Hranilovich, J.A.; Dahl, R.E.; Forbes, E.E.; Chen, J.; Toga, A.W.; Dinov, I.D.; Worthman, C.M.; Sowell, E.R. Puberty influences medial temporal lobe and cortical gray matter maturation differently in boys than girls matched for sexual maturity. Cereb Cortex 2011, 21, 636–646. [Google Scholar] [CrossRef] [PubMed]
  25. Cutler, G.B., Jr. The role of estrogen in bone growth and maturation during childhood and adolescence. J. Steroid Biochem. Mol. Biol. 1997, 61, 141–144. [Google Scholar] [CrossRef] [PubMed]
  26. Schulz, R.; Curnow, C. Peak Performance and Age Among Superathletes: Track and Field, Swimming, Baseball, Tennis, and Golf. J. Gerontol. Geriatr. 1988, 43, P113–P120. [Google Scholar] [CrossRef] [PubMed]
  27. Abián, P.; Abián-Vicén, J.; Sampedro-Molinuevo, J. Anthropometric Analysis of Body Symmetry in Badminton Players. Int. J. Morphol. 2012, 30, 945–951. [Google Scholar] [CrossRef]
  28. Abián, P. Análisis de la Estructura dle Juego y Parámetros Morfológicos y Fisiológicos en Badminton; Universidad Politécnica de Madrid: Madrid, Spain, 2015. [Google Scholar]
Figure 1. Evolution of mean age in men’s doubles (MD), women’s doubles (WD) and mixed doubles (XD) badminton players present in the WR top-100 from 1994 to 2020. * Differences between MD and WD in pairwise comparisons (p < 0.05).; † Differences between MD and XD in pairwise comparisons (p < 0.05). # Differences between WD and XD in pairwise comparisons (p < 0.05).
Figure 1. Evolution of mean age in men’s doubles (MD), women’s doubles (WD) and mixed doubles (XD) badminton players present in the WR top-100 from 1994 to 2020. * Differences between MD and WD in pairwise comparisons (p < 0.05).; † Differences between MD and XD in pairwise comparisons (p < 0.05). # Differences between WD and XD in pairwise comparisons (p < 0.05).
Applsci 13 02888 g001
Figure 2. Mean-age at which badminton players reached their highest position in the World Ranking. MD: men’s doubles, WD: women’s doubles and XD: mixed doubles. * Significant differences compared to WD (p < 0.05).
Figure 2. Mean-age at which badminton players reached their highest position in the World Ranking. MD: men’s doubles, WD: women’s doubles and XD: mixed doubles. * Significant differences compared to WD (p < 0.05).
Applsci 13 02888 g002
Figure 3. Frequency distribution regarding age in men’s doubles (MD), women’s doubles (WD) and mixed doubles (XD) badminton players at 1-year intervals in the analysed period (1994–2020).
Figure 3. Frequency distribution regarding age in men’s doubles (MD), women’s doubles (WD) and mixed doubles (XD) badminton players at 1-year intervals in the analysed period (1994–2020).
Applsci 13 02888 g003
Figure 4. Percentage of top 100 World Ranking badminton players from each continent (men’s doubles (MD), women’s doubles (WD) and mixed doubles (XD)).
Figure 4. Percentage of top 100 World Ranking badminton players from each continent (men’s doubles (MD), women’s doubles (WD) and mixed doubles (XD)).
Applsci 13 02888 g004
Table 1. Frequency distribution of top 100 World Ranking badminton players for men’s doubles (MD), women’s doubles (WD) and mixed doubles (XD) according to their age in the last decades (1990s, 2000s and 2010s). * Different from 1990s decade at p < 0.01; † Different from women’s doubles (WD) at p < 0.01.
Table 1. Frequency distribution of top 100 World Ranking badminton players for men’s doubles (MD), women’s doubles (WD) and mixed doubles (XD) according to their age in the last decades (1990s, 2000s and 2010s). * Different from 1990s decade at p < 0.01; † Different from women’s doubles (WD) at p < 0.01.
Decades
CategoryAge Brackets1990s2000s2010s
MD14–20 years (%)14.10 †13.41 †14.75 †
21–25 years (%)47.7546.4948.00
26–30 years (%)30.63 †29.60 †27.10 †
>30 years (%)7.5310.50 *†10.15 *†
WD14–20 years (%)24.4624.1625.50
21–25 years (%)46.3246.9149.65 *
26–30 years (%)22.8323.5820.64
>30 years (%)6.395.354.21 *
XD14–20 years (%)17.48 †16.26 †14.89 †
21–25 years (%)45.8748.8351.73 *
26–30 years (%)28.3126.9725.96 †
>30 years (%)8.347.947.42 †
Disclaimer/Publisher’s Note: The statements, opinions and data contained in all publications are solely those of the individual author(s) and contributor(s) and not of MDPI and/or the editor(s). MDPI and/or the editor(s) disclaim responsibility for any injury to people or property resulting from any ideas, methods, instructions or products referred to in the content.

Share and Cite

MDPI and ACS Style

Simón-Chico, L.; Abián-Vicén, J.; Bravo-Sánchez, A.; Abián, P. Age, a Key Factor in the Performance of Doubles Badminton Players: Analysis of the Evolution of Age from 1994 to 2020. Appl. Sci. 2023, 13, 2888. https://doi.org/10.3390/app13052888

AMA Style

Simón-Chico L, Abián-Vicén J, Bravo-Sánchez A, Abián P. Age, a Key Factor in the Performance of Doubles Badminton Players: Analysis of the Evolution of Age from 1994 to 2020. Applied Sciences. 2023; 13(5):2888. https://doi.org/10.3390/app13052888

Chicago/Turabian Style

Simón-Chico, Luis, Javier Abián-Vicén, Alfredo Bravo-Sánchez, and Pablo Abián. 2023. "Age, a Key Factor in the Performance of Doubles Badminton Players: Analysis of the Evolution of Age from 1994 to 2020" Applied Sciences 13, no. 5: 2888. https://doi.org/10.3390/app13052888

APA Style

Simón-Chico, L., Abián-Vicén, J., Bravo-Sánchez, A., & Abián, P. (2023). Age, a Key Factor in the Performance of Doubles Badminton Players: Analysis of the Evolution of Age from 1994 to 2020. Applied Sciences, 13(5), 2888. https://doi.org/10.3390/app13052888

Note that from the first issue of 2016, this journal uses article numbers instead of page numbers. See further details here.

Article Metrics

Back to TopTop