Novel Pointing and Stabilizing Manipulator for Optical Space Payloads
Abstract
:1. Introduction
2. Characteristics and Algorithms for Large-Scale Pointing Adjustment
2.1. Virtual Assembly
2.2. Mechanism Singularity
2.3. Algorithm of Large-Scale Adjustment
| Algorithm 1 Gradient Optimization Method |
| Input: Output:
|
3. Characteristics and Algorithms for Pointing Stabilization
3.1. Dynamics and Disturbance Transmissibility
3.2. Algorithm of Active Vibration Isolation
3.2.1. Active Feedforward Controller
3.2.2. Stability of Feedforward Controller
4. Simulation Validation
4.1. Adjustment Algorithm Verification
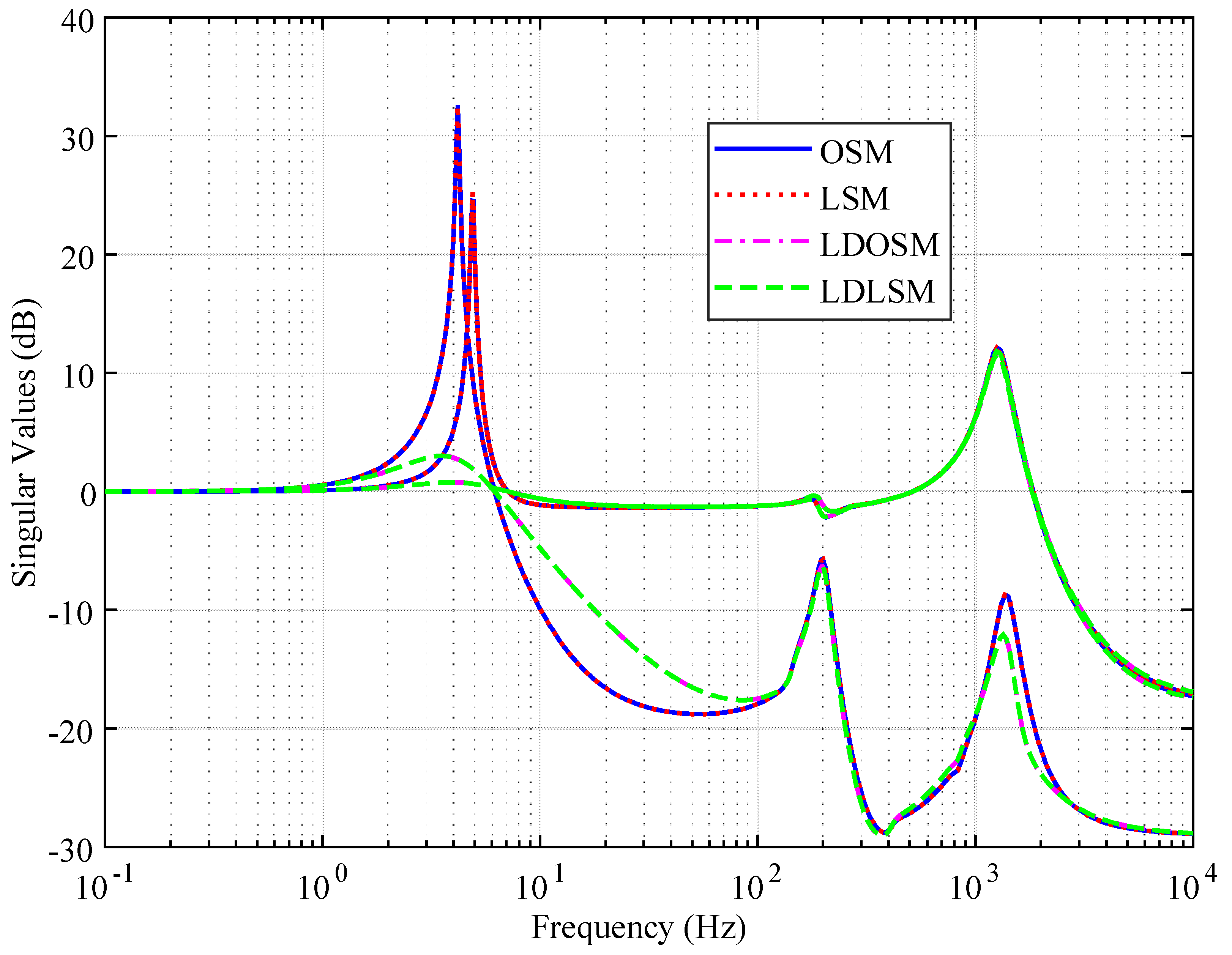
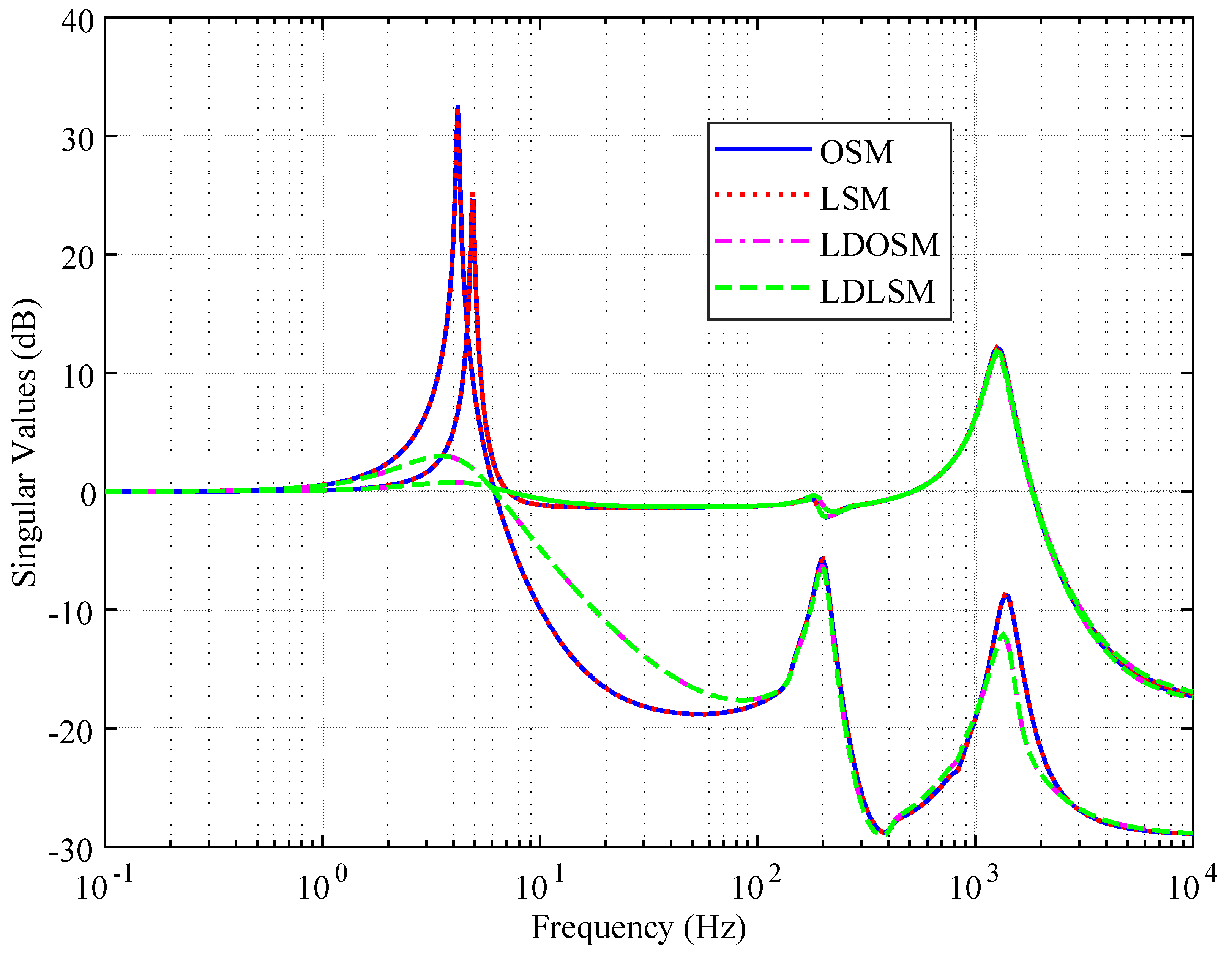
4.2. Isolation Algorithm Verification
5. Conclusions
Author Contributions
Funding
Data Availability Statement
Conflicts of Interest
Appendix A

References
- Jono, T.; Toyoda, M.; Nakagawa, K.; Yamamoto, A.; Shiratama, K.; Kurii, T.; Koyama, Y. Acquisition, tracking, and pointing systems of OICETS for free space laser communications. In Acquisition, Tracking, and Pointing XIII; International Society for Optics and Photonics: Bellingham, WA, USA, 1999; Volume 3692, pp. 41–50. [Google Scholar]
- Kennedy, P.J.; Kennedy, R.L. Direct versus indirect line of sight (LOS) stabilization. IEEE Trans. Control Syst. Technol. 2003, 11, 3–15. [Google Scholar]
- Burnside, J.W.; Conrad, S.D.; Pillsbury, A.D.; Devoe, C.E. Design of an inertially stabilized telescope for the LLCD. In Free-Space Laser Communication Technologies XXIII; SPIE: Bellingham, WA, USA, 2011. [Google Scholar]
- Bernabe, L.; Raynal, N.; Michel, Y. 3POD-A High Performance Parallel Antenna Pointing Mechanism. In Proceedings of the 15th European Space Mechanisms & Tribology Symposium, Noordwijk, The Netherlands, 25–27 September 2013. [Google Scholar]
- Zhang, Y.; Han, H.; Zhang, H.; Xu, Z.; Xiong, Y.; Han, K.; Li, Y. Acceleration analysis of 6-RR-RP-RR parallel manipulator with offset hinges by means of a hybrid method. Mech. Mach. Theory 2022, 169, 104661. [Google Scholar]
- Han, H.; Zhang, Y.; Zhang, H.; Han, C.; Li, A.; Xu, Z. Kinematic Analysis and Performance Test of a 6-DOF Parallel Platform with Dense Ball Shafting as a Revolute Joint. Appl. Sci. 2021, 11, 6268. [Google Scholar] [CrossRef]
- Sun, J.; Shao, L.; Fu, L.; Han, X.; Li, S. Kinematic analysis and optimal design of a novel parallel pointing mechanism. Aerosp. Sci. Technol. 2020, 104, 105931. [Google Scholar]
- Song, Y.; Qi, Y.; Dong, G.; Sun, T. Type synthesis of 2-DoF rotational parallel mechanisms actuating the inter-satellite link antenna. Chin. J. Aeronaut. 2016, 29, 1795–1805. [Google Scholar]
- Sun, T.; Song, Y.; Dong, G.; Lian, B.; Liu, J. Optimal design of a parallel mechanism with three rotational degrees of freedom. Robot. Comput.-Integr. Manuf. 2012, 28, 500–508. [Google Scholar]
- Sun, T.; Zhai, Y.; Song, Y.; Zhang, J. Kinematic calibration of a 3-DoF rotational parallel manipulator using laser tracker. Robot. Comput.-Integr. Manuf. 2016, 41, 78–91. [Google Scholar]
- Kong, Y.; Huang, H. Performance enhancement of disturbance-free payload with a novel design of architecture and control. Acta Astronaut. 2019, 159, 238–249. [Google Scholar] [CrossRef]
- Wu, Y.; Yu, K.; Jiao, J.; Cao, D.; Chi, W.; Tang, J. Dynamic isotropy design and analysis of a six-DOF active micro-vibration isolation manipulator on satellites. Robot. Comput.-Integr. Manuf. 2018, 49, 408–425. [Google Scholar] [CrossRef]
- Beijen, M.A.; Heertjes, M.F.; Van Dijk, J.; Hakvoort, W.B.J. Self-tuning MIMO disturbance feedforward control for active hard-mounted vibration isolators. Control Eng. Pract. 2018, 72, 90–103. [Google Scholar]
- Qian, Y.; Xie, Y.; Jia, J.; Zhang, L. Development of Active Microvibration Isolation System for Precision Space Payload. Appl. Sci. 2022, 12, 4548. [Google Scholar]
- Doré Landau, I.; Alma, M.; Constantinescu, A.; Martinez, J.J.; Noë, M. Adaptive regulation—Rejection of unknown multiple narrow band disturbances (a review on algorithms and applications). Control Eng. Pract. 2011, 19, 1168–1181. [Google Scholar]
- Aranovskiy, S.; Freidovich, L.B. Adaptive compensation of disturbances formed as sums of sinusoidal signals with application to an active vibration control benchmark. Eur. J. Control 2013, 19, 253–265. [Google Scholar]
- Landau, I.D.; Airimitoaie, T.; Alma, M. IIR Youla–Kucera Parameterized Adaptive Feedforward Compensators for Active Vibration Control With Mechanical Coupling. IEEE Trans. Control Syst. Technol. 2013, 21, 765–779. [Google Scholar] [CrossRef]
- Yun, H.; Liu, L.; Li, Q.; Yang, H. Investigation on two-stage vibration suppression and precision pointing for space optical payloads. Aerosp. Sci. Technol. 2020, 96, 105543. [Google Scholar] [CrossRef]
- Yang, X.; Wu, H.; Li, Y.; Kang, S.; Chen, B.; Lu, H.; Lee, C.K.M.; Ji, P. Dynamics and Isotropic Control of Parallel Mechanisms for Vibration Isolation. IEEE/ASME Trans. Mechatron. 2020, 25, 2027–2034. [Google Scholar]
- Yang, X.; Wu, H.; Chen, B.; Kang, S.; Cheng, S. Dynamic modeling and decoupled control of a flexible Stewart platform for vibration isolation. J. Sound Vibr. 2019, 439, 398–412. [Google Scholar]
- Yi, S.; Yang, B.; Meng, G. Microvibration isolation by adaptive feedforward control with asymmetric hysteresis compensation. Mech. Syst. Signal Proc. 2019, 114, 644–657. [Google Scholar] [CrossRef]
- Wu, L.; Huang, Y.; Li, D. Tilt Active Vibration Isolation Using Vertical Pendulum and Piezoelectric Transducer with Parallel Controller. Appl. Sci. 2021, 11, 4526. [Google Scholar]
- Li, F.; Yuan, S.; Qian, F.; Wu, Z.; Pu, H.; Wang, M.; Ding, J.; Sun, Y. Adaptive Deterministic Vibration Control of a Piezo-Actuated Active–Passive Isolation Structure. Appl. Sci. 2021, 11, 3338. [Google Scholar]
- Sun, X.; Yang, B.; Gao, Y.; Yang, Y. Integrated design, fabrication, and experimental study of a parallel micro-nano positioning-vibration isolation stage. Robot. Comput.-Integr. Manuf. 2020, 66, 101988. [Google Scholar] [CrossRef]
- Kong, Y.; Huang, H. Vibration isolation and dual-stage actuation pointing system for space precision payloads. Acta Astronaut. 2018, 143, 183–192. [Google Scholar]
- Hindle, T.; Davis, T.; Fischer, J. Isolation, Pointing, and Suppression (IPS) System for High-Performance Spacecraft; SPIE: Bellingham, WA, USA, 2007. [Google Scholar]
- Tang, L.; Zhang, K.; Guan, X.; Hao, R.; Wang, Y. Dynamic modeling and multi-stage integrated control method of ultra-quiet spacecraft. Adv. Space Res. 2020, 65, 271–284. [Google Scholar] [CrossRef]
- Friederike, G.; Andreas, R.; Holger, J.; Ulrich, L.; Enrico, P.; Manuel, W.; Jürgen, W.; Stefanos, F. Pointing and Control System Performance and Improvement Strategies for the SOFIA Airborne Telescope; SPIE: Bellingham, WA, USA, 2016. [Google Scholar]
- Paul, J.K.; Edward, D.; Ulrich, L.; Enrico, P.; Stefan, T.; Hans-Peter, R.; Manuel, W.; Jürgen, W. Active Damping of the SOFIA Telescope Assembly; SPIE: Bellingham, WA, USA, 2012. [Google Scholar]
- Paul, K.; Rick, B.; Jorge, G.; Ulrich, L.; Hans, K.; Stefan, T.; Jörg, W. SOFIA Telescope Modal Survey Test and Test-Model Correlation; SPIE: Bellingham, WA, USA, 2010. [Google Scholar]
- Sacks, L.W.; Blaurock, C.; Dewell, L.D.; Tajdaran, K.; Liu, K.; Collins, C.; West, G.J.; Ha, K.Q.; Bolcar, M.R.; Crooke, J.A.; et al. Preliminary Jitter Stability Results for the Large UV/Optical/Infrared (LUVOIR) Surveyor Concept Using a Non-Contact Vibration Isolation and Precision Pointing System; SPIE: Bellingham, WA, USA, 2018; Volume 10698. [Google Scholar]
- Larry, D.D.; Kiarash, T.; Raymond, M.B.; Kuo-Chia, L.; Matthew, R.B.; Lia, W.S.; Julie, A.C.; Carl, B. Dynamic Stability with the Disturbance-Free Payload Architecture as Applied to the Large UV/Optical/Infrared (LUVOIR) Mission; SPIE: Bellingham, WA, USA, 2017. [Google Scholar]













| Angular Coordinates | Maximum/(deg) | Minimum/(deg) |
| Roll angle | 9.60083 | −8.97929 |
| Pitch angle | 9.7894 | −10.6959 |
| Yaw angle | 16.6285 | −14.4935 |
| Orientation | Passive Case (Rad) | Active Case (Rad) | Rejection Ratio | |
|---|---|---|---|---|
| (0°, 0°, 0°) | 1.65 × 10−5 | 1.14 × 10−7 | 99.3% | |
| 5.02 × 10−6 | 1.89 × 10−8 | 99.6% | ||
| 5.34 × 10−6 | 1.22 × 10−7 | 97.7% | ||
| (8.5°, 0°, 0°) | 1.65 × 10−5 | 8.22 × 10−8 | 99.5% | |
| 5.03 × 10−6 | 3.49 × 10−8 | 99.3% | ||
| 5.62 × 10−6 | 1.51 × 10−7 | 97.4% | ||
| (0°, −7°, 0°) | 1.65 × 10−5 | 5.53 × 10−8 | 99.7% | |
| 5.02 × 10−6 | 1.58 × 10−7 | 96.9% | ||
| 5.68 × 10−6 | 1.25 × 10−7 | 97.8% | ||
| (0°, 0°, 14°) | 1.64 × 10−5 | 9.80 × 10−8 | 99.4% | |
| 5.63 × 10−6 | 1.77 × 10−7 | 96.9% | ||
| 5.37 × 10−6 | 5.67 × 10−8 | 98.9% | ||
Disclaimer/Publisher’s Note: The statements, opinions and data contained in all publications are solely those of the individual author(s) and contributor(s) and not of MDPI and/or the editor(s). MDPI and/or the editor(s) disclaim responsibility for any injury to people or property resulting from any ideas, methods, instructions or products referred to in the content. |
© 2023 by the authors. Licensee MDPI, Basel, Switzerland. This article is an open access article distributed under the terms and conditions of the Creative Commons Attribution (CC BY) license (https://creativecommons.org/licenses/by/4.0/).
Share and Cite
Zhang, H.; Xu, Z.; Xu, A.; Zhang, E. Novel Pointing and Stabilizing Manipulator for Optical Space Payloads. Appl. Sci. 2023, 13, 2188. https://doi.org/10.3390/app13042188
Zhang H, Xu Z, Xu A, Zhang E. Novel Pointing and Stabilizing Manipulator for Optical Space Payloads. Applied Sciences. 2023; 13(4):2188. https://doi.org/10.3390/app13042188
Chicago/Turabian StyleZhang, Hui, Zhenbang Xu, Anpeng Xu, and Enyang Zhang. 2023. "Novel Pointing and Stabilizing Manipulator for Optical Space Payloads" Applied Sciences 13, no. 4: 2188. https://doi.org/10.3390/app13042188
APA StyleZhang, H., Xu, Z., Xu, A., & Zhang, E. (2023). Novel Pointing and Stabilizing Manipulator for Optical Space Payloads. Applied Sciences, 13(4), 2188. https://doi.org/10.3390/app13042188

