A Multi-Domain Model for Variable Gap Iron-Cored Wireless Power Transmission System
Abstract
1. Introduction
2. Mutual Induction Model: The Static Aspects
2.1. Preliminary Considerations
2.2. The Governing Equations
3. Mutual Induction Model: The Dynamic Aspects
3.1. Core Losses
3.2. Copper Losses
- is the porosity factor of the material;
- is the equivalent thickness of the material and for a round wire is equal to , where is the diameter of the wire;
- is the skin depth in the wire;
- is the number of turns per layer;
- is the amount of Litz wire that is 1 for round wire;
- is the height of the core window;
- is the resistivity of the wire material;
- is the permeability constant equal to ;
- is the principal operating frequency;
- is the equivalent number of layers.
3.3. Intra-Winding Equivalent Capacitance
3.4. Induced Electro-Motive Force
4. Multi-Physics Numerical Model
4.1. The Proposed Multi-Domain Co-Simulation Model
4.2. Implemented MATLAB/Python-Based Co-Simulation Routines
4.3. The 3D Finite Volume Model of the Coupled Inductor
- Along X-axis: 51 subdivisions;
- Along Y-axis: 13 subdivisions;
- Along Z-axis: 5 subdivisions.
4.4. SPICE-Based Equivalent Analog Electronic Circuit: Time Domain Analysis
4.5. SPICE-Based Equivalent Analog Electronic Circuit: Frequency Domain Analysis
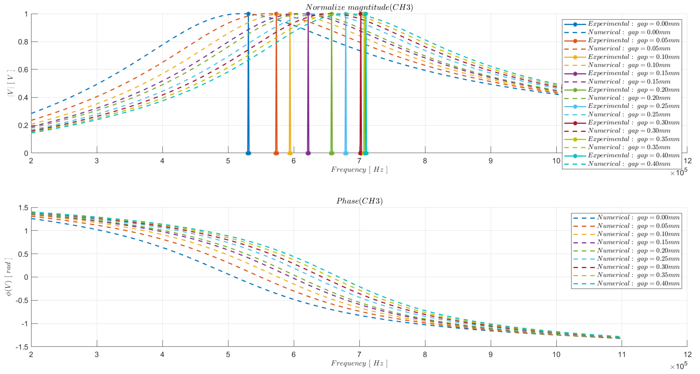
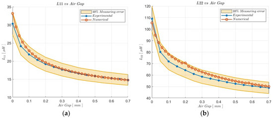
5. Experimental Validation and Results Comparisons
5.1. Introduction
5.2. The Wireless Power Transfer Device
- Emitter side: 28 turns 0.1 mm of insulated copper wire wound over an ACME-H5 core material.
- Receiver side: 53 turns 0.1 mm of insulated copper wire wound over an ACME-D28 core material.
5.3. The Experimental Apparatus
5.4. Tests and Results
6. Conclusions
Author Contributions
Funding
Institutional Review Board Statement
Informed Consent Statement
Data Availability Statement
Conflicts of Interest
References
- Khan, S.R.; Pavuluri, S.K.; Cummins, G.; Desmulliez, M.P.Y. Wireless Power Transfer Techniques for Implantable Medical Devices: A Review. Sensors 2020, 20, 3487. [Google Scholar] [CrossRef] [PubMed]
- Lu, X.; Wang, P.; Niyato, D.; Kim, D.I.; Han, Z. Wireless charging technologies: Fundamentals, standards, and network applications. IEEE Commun. Surv. Tutor. 2016, 18, 1413–1452. [Google Scholar] [CrossRef]
- Barbruni, G.L.; Ros, P.M.; Demarchi, D.; Carrara, S.; Ghezzi, D. Miniaturised Wireless Power Transfer Systems for Neurostimulation: A Review. IEEE Trans. Biomed. Circuits Syst. 2020, 14, 1160–1178. [Google Scholar] [CrossRef] [PubMed]
- Qin, R.; Li, J.; Costinett, D. A 6.6-kW High-Frequency Wireless Power Transfer System for Electric Vehicle Charging Using Multilayer Nonuniform Self-Resonant Coil at MHz. IEEE Trans. Power Electron. 2022, 37, 4842–4856. [Google Scholar] [CrossRef]
- Li, G.; Jo, C.-H.; Shin, C.-S.; Jo, S.; Kim, D.-H. A Load-Independent Current/Voltage IPT Charger with Secondary Side-Controlled Hybrid-Compensated Topology for Electric Vehicles. Appl. Sci. 2022, 12, 10899. [Google Scholar] [CrossRef]
- Wireless Power Transfer—An Overview|IEEE Journals & Magazine|IEEEXplore. Available online: https://ieeexplore.ieee.org/abstract/document/8357386 (accessed on 22 November 2022).
- Niu, M.; Sun, X.; Ma, H.; Zhu, Z.; Huang, T.; Song, K. Analysis and Design of Wireless Power Transfer System for Rotational Inertial Navigation Application. Appl. Sci. 2022, 12, 6392. [Google Scholar] [CrossRef]
- Liang, B.; Mao, Z.; Zhang, K.; Liu, P. Analysis and Optimal Design of a WPT Coupler for Underwater Vehicles Using Non-Dominated Sorting Genetic Algorithm. Appl. Sci. 2022, 12, 2015. [Google Scholar] [CrossRef]
- Wang, M.; Guo, Y.-X.; Wu, W. Equivalent circuit analysis of inductively coupled NFC antennas. In Proceedings of the 2014 IEEE Antennas and Propagation Society International Symposium (APSURSI), Memphis, TN, USA, 6–11 July 2014; pp. 1540–1541. [Google Scholar] [CrossRef]
- Strömmer, E.; Jurvansuu, M.; Tuikka, T.; Ylisaukko-Oja, A.; Rapakko, H.; Vesterinen, J. NFC-Enabled Wireless Charging. In Proceedings of the 2012 4th International Workshop on Near Field Communication, Helsinki, Finland, 13 March 2012; pp. 36–41. [Google Scholar] [CrossRef]
- Modelling of Road-Embedded Transmitting Coils for Wireless Power Transfer|Elsevier Enhanced Reader. Available online: https://reader.elsevier.com/reader/sd/pii/S0045790620307035?token=5E7C4F69FA7C9D3937C8734B5BAB5590C8313201B19F7AA6F8CDEDCB243535B5DCE2F23EF095E4F94A90F952CE2B0BD2&originRegion=eu-west-1&originCreation=20221123151127 (accessed on 23 November 2022).
- Skovierova, H.; Pavelek, M.; Okajcekova, T.; Palesova, J.; Strnadel, J.; Spanik, P.; Halašová, E.; Frivaldsky, M. The Biocompatibility of Wireless Power Charging System on Human Neural Cells. Appl. Sci. 2021, 11, 3611. [Google Scholar] [CrossRef]
- Dionigi, M.; Mongiardo, M. Numerical electromagnetic modeling of a wireless power transfer system. In Proceedings of the 2014 International Conference on Numerical Electromagnetic Modeling and Optimization for RF, Microwave, and Terahertz Applications (NEMO), Pavia, Italy, 14–16 May 2014; pp. 1–4. [Google Scholar] [CrossRef]
- Dobrzański, L.A.; Drak, M.; Ziębowicz, B. Materials with specific magnetic properties. J. Achiev. Mater. Manuf. Eng. 2006, 17, 37–40. [Google Scholar]
- Corti, F.; Reatti, A.; Lozito, G.M.; Cardelli, E.; Laudani, A. Influence of Non-Linearity in Losses Estimation of Magnetic Components for DC-DC Converters. Energies 2021, 14, 6498. [Google Scholar] [CrossRef]
- Ji, H.N.; Lan, Z.W.; Xu, Z.Y.; Zhang, H.W.; Yu, J.X.; Li, M.Q. Effects of Second Milling Time on Temperature Dependence and Improved Steinmetz Parameters of Low Loss MnZn Power Ferrites. IEEE Trans. Appl. Supercond. 2014, 24, 1–4. [Google Scholar] [CrossRef]
- Reinert, J.; Brockmeyer, A.; De Doncker, R. Calculation of losses in ferro- and ferrimagnetic materials based on the modified Steinmetz equation. IEEE Trans. Ind. Appl. 2001, 37, 1055–1061. [Google Scholar] [CrossRef]
- Ayachit, A.; Kazimierczuk, M.K. Steinmetz Equation for Gapped Magnetic Cores. IEEE Magn. Lett. 2016, 7, 1–4. [Google Scholar] [CrossRef]
- Ben-Yaakov, S.S. SPICE simulation of ferrite core losses and hot spot temperature estimation. In Proceedings of the 2017 24th IEEE International Conference on Electronics, Circuits and Systems (ICECS), Batumi, Georgia, 5–8 December 2017; pp. 107–110. [Google Scholar] [CrossRef]
- Muhlethaler, J.; Biela, J.; Kolar, J.W.; Ecklebe, A. Improved Core-Loss Calculation for Magnetic Components Employed in Power Electronic Systems. IEEE Trans. Power Electron. 2012, 27, 964–973. [Google Scholar] [CrossRef]
- Venkatachalam, K.; Sullivan, C.R.; Abdallah, T.; Tacca, H. Accurate prediction of ferrite core loss with nonsinusoidal waveforms using only Steinmetz parameters. In Proceedings of the 2002 IEEE Workshop on Computers in Power Electronics, 2002, Mayaguez, PR, USA, 3–4 June 2002; pp. 36–41. [Google Scholar] [CrossRef]
- Abramovitz, A.; Ben-Yaakov, S.S. RGSE-Based SPICE Model of Ferrite Core Losses. IEEE Trans. Power Electron. 2018, 33, 2825–2831. [Google Scholar] [CrossRef]
- Bartoli, M.; Noferi, N.; Reatti, A.; Kazimierczuk, M. Modeling Litz-wire winding losses in high-frequency power inductors. In Proceedings of the PESC Record. 27th Annual IEEE Power Electronics Specialists Conference, Baveno, Italy, 23–27 June 1996; Volume 2, pp. 1690–1696. [Google Scholar] [CrossRef]
- Payne, A. Skin Effect, Proximity Effect and the Resistance of Circular and Rectangular Conductors. 2016. Available online: https://coil32.net/files/Alan_Payne/Skin-Effect-Proximity-Loss-and-the-Resistance-of-Circular-and-Rectangular-Conductors-Issue-4.pdf (accessed on 10 December 2022).
- Shen, Z.; Kaymak, M.; Wang, H.; Hu, J.; Jin, L.; Blaabjerg, F.; De Doncker, R.W. The Faraday Shields Loss of Transformers. IEEE Trans. Power Electron. 2020, 35, 12194–12206. [Google Scholar] [CrossRef]
- Massarini, A.; Kazimierczuk, M. Self-capacitance of inductors. IEEE Trans. Power Electron. 1997, 12, 671–676. [Google Scholar] [CrossRef]
- Elleaume, P.; Chubar, O.; Chavanne, J. Computing 3D magnetic fields from insertion devices. In Proceedings of the 1997 Particle Accelerator Conference (Cat. No.97CH36167), Vancouver, BC, Canada, 16 May 1997; Volume 3, pp. 3509–3511. [Google Scholar] [CrossRef]

















| Lumped Parameters | |||
|---|---|---|---|
| Description | Parameter | Value | Unit |
| Measured DC resistance of the emitter side coil | 0.514 | ||
| Measured DC resistance of the receiver side coil | 0.9370 | ||
| Measured inductance of the stand-alone emitter inductor | 11.74 | ||
| Measured inductance of the stand-alone receiver inductor | 38.14 | ||
| Lumped Circuit Parameters | ||
|---|---|---|
| Component | Value | Unit |
| Function generator amplitude range | 0–10 | |
| Function generator frequency range | 0–1 | |
| Rshunt1 | 22 | |
| Rshunt2 | 600 | |
| Cload | 1 | |
Disclaimer/Publisher’s Note: The statements, opinions and data contained in all publications are solely those of the individual author(s) and contributor(s) and not of MDPI and/or the editor(s). MDPI and/or the editor(s) disclaim responsibility for any injury to people or property resulting from any ideas, methods, instructions or products referred to in the content. |
© 2023 by the authors. Licensee MDPI, Basel, Switzerland. This article is an open access article distributed under the terms and conditions of the Creative Commons Attribution (CC BY) license (https://creativecommons.org/licenses/by/4.0/).
Share and Cite
Reato, F.M.; Cinquemani, S.; Ricci, C.; Misfatto, J.; Calzaferri, M. A Multi-Domain Model for Variable Gap Iron-Cored Wireless Power Transmission System. Appl. Sci. 2023, 13, 1820. https://doi.org/10.3390/app13031820
Reato FM, Cinquemani S, Ricci C, Misfatto J, Calzaferri M. A Multi-Domain Model for Variable Gap Iron-Cored Wireless Power Transmission System. Applied Sciences. 2023; 13(3):1820. https://doi.org/10.3390/app13031820
Chicago/Turabian StyleReato, Federico Maria, Simone Cinquemani, Claudio Ricci, Jan Misfatto, and Matteo Calzaferri. 2023. "A Multi-Domain Model for Variable Gap Iron-Cored Wireless Power Transmission System" Applied Sciences 13, no. 3: 1820. https://doi.org/10.3390/app13031820
APA StyleReato, F. M., Cinquemani, S., Ricci, C., Misfatto, J., & Calzaferri, M. (2023). A Multi-Domain Model for Variable Gap Iron-Cored Wireless Power Transmission System. Applied Sciences, 13(3), 1820. https://doi.org/10.3390/app13031820

