Earthquake Magnitude and Frequency Forecasting in Northeastern Algeria using Time Series Analysis
Abstract
1. Introduction
2. Seismicity and Earthquake Database
3. Methodology Outline
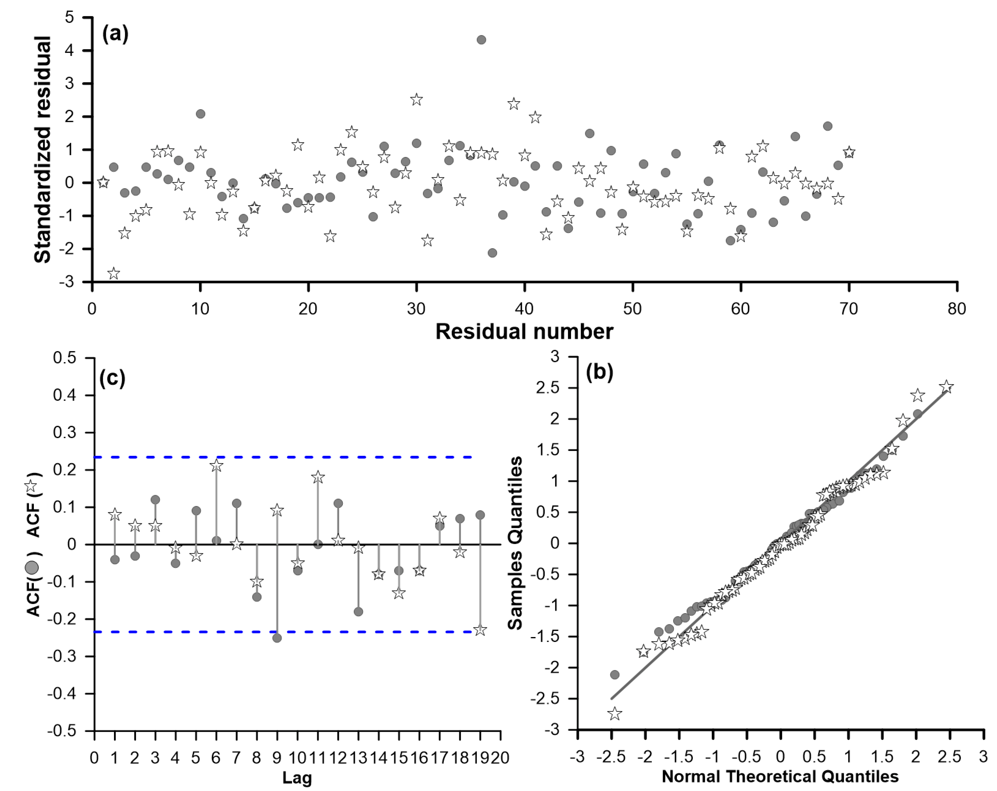
4. Earthquake Magnitude Forecasting
5. Validation of the Procedure
6. Discussion and Conclusions
Author Contributions
Funding
Institutional Review Board Statement
Informed Consent Statement
Data Availability Statement
Conflicts of Interest
References
- DeMets, C.; Gordon, R.G.; Argus, D.F.; Stein, S. Current plate motions. Geophys. J. Int. 1990, 101, 425–478. [Google Scholar] [CrossRef]
- Calais, E.; Demets, C.; Nocquet, J.M. Evidence for a post-3.16 Ma change in Nubia-Eurasia plate motion. Earth Planet. Sci. Lett. 2003, 216, 81–92. [Google Scholar] [CrossRef]
- Serpelloni, E.; Vannucci, G.; Pondrelli, S.; Argnani, A.; Casula, G.; Anzidei, M.; Baldi, P.; Gasperini, P. Kinematics of the western Africa-Eurasia plate boundary from focal mechanisms and GPS data. Geophys. J. Int. 2007, 169, 1180–1200. [Google Scholar] [CrossRef]
- EERI-Earthquake Engineering Research Institute. El-Asnam. In Algeria Earthquake of October 10, 1980: A Reconnaissance and Engineering Report; National Academy of Sciences: Washington, DC, USA, 1983. [Google Scholar]
- Hamdache, M.; Peláez, J.A.; Yelles-Chauche, A.K. The Algiers, Algeria earthquake (Mw 6.8) of 21 May 2003: Preliminary report. Seismol. Res. Lett. 2004, 75, 360–367. [Google Scholar] [CrossRef]
- ASCE-American Society of Civil Engineers. Zemmouri, Algiers, Mw 6.8 Earthquake of May 21, 2003; Report to the Technical Council on Lifeline Earthquake Engineering Monograph No. 27; American Society of Civil Engineers: Reston, VA, USA, 2004. [Google Scholar]
- Hamdache, M.; Peláez, J.A.; Talbi, A.; López Casado, C. A Unified Catalog of Main Earthquakes for Northern Algeria from A.D. 856 to 2008. Seismol. Res. Lett. 2010, 81, 732–739. [Google Scholar] [CrossRef]
- Keilis-Borok, V.I. What comes next in the dynamics of lithosphere and earthquake prediction? Phys. Earth Planet. Inter. 1999, 111, 179–185. [Google Scholar] [CrossRef]
- Orihara, Y.; Noda, Y.; Nagao, T.; Uyeda, S. A possible case of SES selectivity at Kozushima Island, Japan. J. Geodyn. 2002, 33, 425–432. [Google Scholar] [CrossRef]
- Tiampo, K.F.; Rundle, J.B.; McGinnis, S.; Gross, S.J.; Klein, W. Eigenpatterns in southern California seismicity. J. Geophys. Res. 2002, 107, ESE 8-1–ESE 8-17. [Google Scholar] [CrossRef]
- Tiampo, K.F.; Rundle, J.B.; Mcginnis, S.; Klein, W. Pattern dynamics and forecast methods in seismically active regions. Pure Appl. Geophys. 2002, 159, 2429–2467. [Google Scholar] [CrossRef]
- Kanamori, H. Earthquake prediction: An overview. In International Handbook of Earthquake and Engineering Seismology; Lee, W.H.K., Kanamori, H., Jennings, P.C., Kisslinger, C., Eds.; Academic Press: Amsterdam, The Netherlands, 2003; pp. 1205–1216. [Google Scholar]
- Evison, F.F.; Rhoades, D.A. Demarkation and scaling of long-term seismogenesis. Pure Appl. Geophys. 2004, 161, 21–45. [Google Scholar] [CrossRef]
- Holliday, J.; Chen, C.; Tiampo, K.F.; Rundle, J.B.; Turcotte, D.L. A RELM earthquake forecast based on pattern informatics. Seismol. Res. Lett. 2007, 78, 87–93. [Google Scholar] [CrossRef]
- Kagan, Y. On Earthquake Predictability Measurement: Information Score and Error Diagram. Pure Appl. Geophys. 2007, 164, 1947–1962. [Google Scholar] [CrossRef]
- Papazachos, B.C.; Karakaisis, G.F.; Papazachos, C.B.; Scordilis, E.M. Evaluation of the results for an intermediate-term prediction of the 8 January 2006 Mw ¼ 6.9 Cythera earthquake in the Southwestern Aegean. Bull. Seismol. Soc. Am. 2007, 97, 347–352. [Google Scholar] [CrossRef]
- Mignan, A. The stress accumulation model: Accelerating moment release and seismic hazard. Adv. Geophys. 2008, 49, 67–191. [Google Scholar] [CrossRef]
- Field, E.H. Overview of the working group for the development of regional earthquake likelihood models (RELM). Seismol. Res. Lett. 2007, 78, 7–16. [Google Scholar] [CrossRef]
- Schorlemmer, D.; Gerstenberger, M.C.; Wiemer, S.; Jackson, D.D.; Rhoades, D.A. Earthquake likelihood model testing. Seismol. Res. Lett. 2007, 78, 17–29. [Google Scholar] [CrossRef]
- Schorlemmer, D.; Zechar, J.D.; Werner, M.J.; Field, E.H.; Jackson, D.D.; Jordan, T.H.; Relm Working Group. First Results of the regional earthquake likelihood models experiment. Pure Appl. Geophys. 2010, 167, 859–876. [Google Scholar] [CrossRef]
- Zechar, J.D.; Schorlemmer, D.; Werner, M.J.; Gerstenberger, M.C.; Rhoades, D.A.; Jordan, T.H. Regional earthquake likelihood models I: First-order results. Bull. Seismol. Soc. Am. 2013, 103, 787–798. [Google Scholar] [CrossRef]
- DeVries, P.M.R.; Viégas, F.; Wattenberg, M.; Meade, B.J. Deep learning of aftershock patterns following large earthquakes. Nature 2018, 560, 632–634. [Google Scholar] [CrossRef]
- Lippiello, E.; Petrillo, G.; Godano, C.; Tramelli, A.; Papadimitriou, E.; Karakostas, V. Forecasting of the first hour aftershocks by means of the perceived magnitude. Nat. Commun. 2019, 10, 2953. [Google Scholar] [CrossRef]
- Gutenberg, B.; Richter, C.F. Frequency of earthquakes in California. Bull. Seismol. Soc. Am. 1944, 34, 185–188. [Google Scholar] [CrossRef]
- Dargahi-Noubary, G.R. A method for predicting future large earthquakes using extreme order statistics. Phys. Earth Planet. Inter. 1986, 42, 241–245. [Google Scholar] [CrossRef]
- Kagan, Y. Statistics of characteristic earthquakes. Bull. Seismol. Soc. Am. 1993, 83, 7–24. [Google Scholar]
- Firuzan, E. Statistical Earthquake Frequency Analysis for Western Anatolia. Turk. J. Earth Sci. 2008, 17, 741–762. [Google Scholar]
- Özel, G.; Inal, C. The probability function of the compound Poisson process and an application to aftershock sequence in Turkey. Environmetrics 2008, 19, 79–85. [Google Scholar] [CrossRef]
- Özel, G. A bivariate compound Poisson model for the occurrence of foreshock and aftershock sequences in Turkey. Environmetrics 2011, 22, 847–856. [Google Scholar] [CrossRef]
- Jackson, D.D.; Kagan, Y.Y. The 2004 Parkfield earthquake, the 1985 prediction, and characteristic earthquakes: Lessons for the future. Bull. Seismol. Soc. Am. 2006, 96, S397–S409. [Google Scholar] [CrossRef]
- Helmstetter, A.; Sornette, D. Importance of direct and indirect triggered seismicity in the ETAS model of seismicity. Geophys. Res. Lett. 2003, 30, 1576. [Google Scholar] [CrossRef]
- Ogata, Y. Statistics of Earthquake Activity: Models and Methods for Earthquake Predictability Studies. Annu. Rev. Earth Planet. Sci. 2017, 45, 497–527. [Google Scholar] [CrossRef]
- Zhu, F. Modelling over dispersed or under dispersed count data with generalized Poisson integer-valued GARCH models. J. Math. Anal. Appl. 2012, 389, 58–71. [Google Scholar] [CrossRef]
- Shishegaran, A.; Taghavizade, H.; Bigdeli, A.; Shishegaran, A. Predicting the earthquake magnitude along zagros fault using time series and ensemble model. J. Soft Comput. Civ. Eng. 2019, 3, 67–77. [Google Scholar] [CrossRef]
- Serita, A.; Hattor, K.; Yoshino, C.; Hayakawa, M.; Isezaki, N. Principal component analysis and singular spectrum analysis of ULF geomagnetic data associated with earthquakes. Nat. Hazards Earth Syst. Sci. 2005, 5, 685–689. [Google Scholar] [CrossRef]
- Guo, J.; Shi, K.; Liu, X.; Sun, Y.; Li, W.; Kong, Q. Singular spectrum analysis of ionospheric anomalies preceding great earthquakes: Case studies of Kaikoura and Fukushima earthquakes. J. Geodyn. 2019, 124, 1–13. [Google Scholar] [CrossRef]
- Cekim, H.O.; Tekin, S.; Özel, G. Prediction of the earthquake magnitude by time series methods along the East Anatolian Fault, Turkey. Earth Sci. Inform. 2021, 14, 1339–1348. [Google Scholar] [CrossRef]
- Silva, E.S.; Hassani, H.; Heravi, S. Modelling European industrial production with multivariate singular spectrum analysis: A cross industry analysis. J. Forecast. 2018, 37, 371–384. [Google Scholar] [CrossRef]
- Hassani, H.; Yeganegi, M.R.; Khan, A.; Silva, E.S. The Effect of Data Transformation on Singular Spectrum Analysis for Forecasting. Signals 2020, 1, 4-25. [Google Scholar] [CrossRef]
- Rabaute, A.; Chamot-Rooke, N. Active Inversion Tectonics from Algiers to Sicily. In On Significant Applications of Geophysical Methods, Proceedings of the 1st Springer Conference of the Arabian Journal of Geosciences (CAJG 2018), Hammamet, Tunisia, 12–15 November 2018; Sundararajan, N., Eshagh, M., Saibi, H., Meghraoui, M., Al-Garni, M., Giroux, B., Eds.; Springer: Cham, Switzerland, 2019; pp. 249–251. [Google Scholar] [CrossRef]
- Peláez, J.A.; Hamdache, M.; Sanz de Galdeano, C.; Sawires, R.; García Hernández, M.T. Forecasting moderate earthquakes in Northern Algeria and Morocco. In Earthquakes and Their Impact on Society; Springer Natural Hazards Series; D’Amico, S., Ed.; Springer: Berlin/Heidelberg, Germany, 2016; pp. 81–95. [Google Scholar]
- Zechar, J.D.; Gerstenberger, M.C.; Rhoades, D.A. Likelihood-based tests for evaluating space-rate-magnitude earthquake forecasts. Bull. Seismol. Soc. Am. 2010, 100, 1184–1195. [Google Scholar]
- Nanjo, K.Z.; Tsuruoka, H.; Yokoi, S.; Ogata, Y.; Falcone, G.; Hirata, N.; Ishigaki, Y.; Jordan, T.H.; Kasahara, K.; Obara, K.; et al. Predictability study on the aftershock sequence following the 2011 Tohoku-Oki, Japan, earthquake: First results. Geophys. J. Int. 2012, 191, 653–658. [Google Scholar] [CrossRef]
- Peláez, J.A.; Henares, J.; Hamdache, M.; Sanz de Galdeano, C. A seismogenic zone model for seismic hazard studies. In Northwestern Africa in Moment Tensor Solutions. A Useful Tool for Seismotectonics; Springer Natural Hazards Series; D’Amico, S., Ed.; Springer: Berlin/Heidelberg, Germany, 2018; pp. 643–680. [Google Scholar]
- Peláez, J.A.; Henares, J.; Hamdache, M.; Sanz de Galdeano, C. An updated seismic model for the northwestern Africa. In Proceedings of the 16th European Conference (EECE), Thessaloniki, Greece, 18–21 June 2018. [Google Scholar]
- Morel, J.L.; Meghraoui, M. The Goringe Alboran-Tell (Galtel) tectonic zone: A transpression system along the Africa-Eurasia plate boundary. Geology 1996, 24, 755–758. [Google Scholar]
- Déverchère, J.; Yelles, K.; Domzig, A.; Mercier de Lépinay, B.; Bouillin, J.P.; Gaullier, V.; Bracène, R.; Calais, E.; Savoye, B.; Kherroubi, A.; et al. Active thrust faulting offshore Boumerdès Algeria, and its relations to the 2003 Mw 6.9 earthquake. Geophys. Res. Lett. 2005, 32, L04311. [Google Scholar] [CrossRef]
- Nocquet, J.M.; Calais, E. Crustal velocity field of western Europe from permanent GPS array solutions, 1996–2001. Geophys. J. Int. 2003, 154, 72–88. [Google Scholar] [CrossRef]
- Nocquet, J.M.; Calais, E. Geodetic measurements of crustal deformation in the western Mediterranean and Europe. Pure Appl. Geophys. 2004, 161, 661–681. [Google Scholar] [CrossRef]
- Sparacino, F.; Palano, M.; Peláez, J.A.; Fernández, J. Geodetic deformation versus seismic crustal moment-rates: Insights from the Ibero-Maghrebian region. Remote Sens. 2020, 12, 952. [Google Scholar] [CrossRef]
- Harbi, A.; Benouar, D.; Benhallou, H. Re-appraisal of seismicity and seismotectonics in the north-eastern Algeria. Part I: Review of historical seismicity. J. Seismol. 2003, 7, 115–136. [Google Scholar] [CrossRef]
- Adams, R.D.; Barazangi, M. Seismotectonics and seismology in the Arab region: A brief summary and future plans. Bull. Seismol. Soc. Am. 1984, 74, 1011–1030. [Google Scholar]
- Yelles-Chaouche, A.; Kherroubi, A.; Beldjoudi, H. The large Algerian earthquakes (267 A.D.-2017). Fís. Tierra 2017, 29, 159–182. [Google Scholar] [CrossRef]
- Deschamps, A.; Gaudemer, Y.; Cisternas, A. The El Asnam, Algeria, earthquake of 10 October 1980: Multiple-source mechanism determined from long-period records. Bull. Seismol. Soc. Am. 1982, 72, 1111–1128. [Google Scholar] [CrossRef]
- Meghraoui, M.; Philip, H.; Albarede, F.; Cisternas, A. Trench investigations through the trace of the 1980 El Asnam thrust fault: Evidence for paleoseismicity. Bull. Seismol. Soc. Am. 1988, 78, 979–999. [Google Scholar] [CrossRef]
- Bezzeghoud, M.; Dimitrov, D.; Ruegg, J.C.; Lammali, K. Faulting mechanism of the El Asnamn (Algeria) 1954 and 1980 earthquakes from modelling of vertical movements. Tectonophysics 1995, 249, 249–266. [Google Scholar] [CrossRef]
- Harbi, A.; Maouche, S.; Vaccari, F.; Aoudia, A.; Oussadou, F.; Panza, G.F.; Benouar, D. Seismicity, seismic input and site effects in the Sahel-Algiers region (North Algeria). Soil Dyn. Earthq. Eng. 2007, 27, 427–447. [Google Scholar] [CrossRef]
- Boulahia, O.; Abacha, I.; Yelles-Chaouche, A.; Bendjama, H.; Kherroubi, A.; Mohammedi, Y.; Aidi, C.; Chami, A. Recent Seismic Activity in the Bejaia-Babors Region (Northeastern Algeria): The case of the 2012–2013 Bejaia earthquake sequences. Pure Appl. Geophys. 2021, 178, 1253–1279. [Google Scholar] [CrossRef]
- Boulahia, O.; Abacha, I.; Yelles-Chaouche, A.; Bendjama, H.; Kherroubi, A. Analysis of the Bejaia Seismic Sequence of 2012–2013, Northeastern, Algeria. In Advances in Geophysics, Tectonics and Petroleum Geosciences, Proceedings of the 2nd Springer Conference of the Arabian Journal of Geosciences (CAJG 2019), Sousse, Tunisia, 25–28 November 2019; Meghraoui, M., Ed.; Springer: Cham, Switzerland, 2022; pp. 135–139. [Google Scholar] [CrossRef]
- Bendjama, H.; Yelles-Chaouche, A.; Boulahia, O.; Abacha, I.; Mohammedi, Y.; Beldjoudi, H.; Rahmani, S.T.E.; Belheouane, O. The March 2017 earthquake sequence along the E-W trending Mcid Aïcha-Debbagh Fault, northeast Algeria. Geosci. J. 2021, 25, 697–713. [Google Scholar] [CrossRef]
- Abacha, I.; Yelles-Chaouche, A.; Boulahia, O. Statistical Study of Earthquake Swarms in North-eastern Algeria with Special Reference to the Ain Azel Swarm; Hodna Chain, 2015. In Advances in Geophysics, Tectonics and Petroleum Geosciences, Proceedings of the 2nd Springer Conference of the Arabian Journal of Geosciences (CAJG 2019), Sousse, Tunisia, 25–28 November 2019; Meghraoui, M., Ed.; Springer: Cham, Switzerland, 2022; pp. 145–148. [Google Scholar] [CrossRef]
- Yelles-Chaouche, A.; Abacha, I.; Boulahia, O.; Aidi, C.; Chami, A.; Belheouane, A.; Rahmani, S.T.E.; Roubeche, K. The 13 July 2019 Mw 5.0 Jijel Earthquake, northern Algeria: An indicator of active deformation along the eastern Algerian margin. J. Afr. Earth Sci. 2021, 177, 104149. [Google Scholar] [CrossRef]
- Frohlich, C. Triangle diagrams: Ternary graphs to display similarity and diversity of earthquake focal mechanisms. Phys. Earth Planet. Inter. 1992, 75, 193–198. [Google Scholar] [CrossRef]
- Zoback, M.L. First and second order patterns of stress in the lithosphere: The world stress map project. J. Geophys. Res. 1992, 97, 11703–11728. [Google Scholar] [CrossRef]
- Henares, J.; López Casado, C.; Sanz de Galdeano, C.; Delgado, J.; Peláez, J.A. Stress fields in the Ibero-Maghrebian region. J. Seismol. 2003, 7, 65–78. [Google Scholar] [CrossRef]
- Cornell, A. Engineering seismic risk analysis. Bull. Seismol. Soc. Am. 1968, 58, 1583–1606. [Google Scholar] [CrossRef]
- Esteva, L. Seismicity prediction: A Bayesian approach. In Proceedings of the Fourth World Conference on Earthquake Engineering, Santiago, Chile, 13–18 January 1969; Volume 1, pp. 172–184. [Google Scholar]
- Esteva, L. Seismic risk and seismic design decisions. In Seismic Design for Nuclear Power Plants; Hansen, R.J., Ed.; MIT Press: Cambridge, MA, USA, 1970; pp. 142–182. [Google Scholar]
- McGuire, R.K. FORTRAN Computer Program for Seismic Risk Analysis; Open-File Report 76-67; U.S. Geological Survey: Reston, VA, USA, 1976. [Google Scholar]
- Gardner, J.K.; Knopoff, L. Is the sequence of earthquakes in Southern California, with afershocks removed, Poissonian? Bull. Seismol. Soc. Am. 1974, 64, 1363–1367. [Google Scholar] [CrossRef]
- EPRI-Electric Power Research Institute. Seismic Hazard Methodology for the Central and Eastern United States; EPRI Report NP-4726; U.S. Department of Energy Office of Scientific and Technical Information: Oak Ridge, TN, USA, 1986. [Google Scholar]
- Peláez, J.A.; Hamdache, M.; López Casado, C. Seismic Hazard in Northern Algeria Using Spatially-smoothed Seismicity. Results for Peak Ground Acceleration. Tectonophysics 2003, 372, 105–119. [Google Scholar] [CrossRef]
- Box, G.E.P.; Pierce, D.A. Distribution of Residual Autocorrelations in Autoregressive-Integrated Moving Average Time Series Models. J. Am. Stat. Assoc. 1970, 65, 1509–1526. [Google Scholar] [CrossRef]
- Hyndman, R.J.; Athanasopoulos, G. Forecasting: Principles and Practice, 2nd ed.; OTexts: Melbourne, Australia, 2018. [Google Scholar]
- Box, G.E.P.; Jenkins, G.M. Time Series Analysis: Forecasting and Control; Holden-Day: San Francisco, CA, USA, 1976. [Google Scholar]
- Lai, Y.; Dzombak, D.A. Use of the Autoregressive Integrated Moving Average (ARIMA) Model to Forecast Near-Term Regional Temperature and Precipitation. Weather Forecast. 2020, 35, 959–976. [Google Scholar] [CrossRef]
- Cowpertwait, P.S.P.; Metcalfe, A.V. Introductory Time Series with R; Springer: New York, NY, USA, 2009. [Google Scholar] [CrossRef]
- Akaike, H. A new look at the statistical model identification. IEEE Trans. Autom. Control 1974, 19, 716–723. [Google Scholar] [CrossRef]
- Schwarz, G. Estimating the dimension of a model. Ann. Stat. 1978, 6, 461–464. [Google Scholar] [CrossRef]
- Fabozzi, F.J.; Focardi, S.M.; Rachev, S.T.; Arshanapalli, B.G.; Markus, H. The Basics of Financial Econometrics. Tools, Concepts, and Asset Management Applications; John Wiley and Sons, Inc.: Hoboken, NJ, USA, 2014. [Google Scholar]
- Kullback, S.; Leibler, R.A. On Information and Sufficiency. Ann. Math. Stat. 1951, 22, 79–86. [Google Scholar] [CrossRef]
- Hurvich, C.M.; Tsai, C.L. Regression and Time Series Model Selection in Small Samples. Biometrika 1989, 76, 297–307. [Google Scholar] [CrossRef]
- Kumaresan, R.; Tufts, D.W. Data-adaptive principal component signal processing. In Proceedings of the 1980 19th IEEE Conference on Decision and Control including the Symposium on Adaptive Processes, Albuquerque, NM, USA, 10–12 December 1980; pp. 949–954. [Google Scholar]
- Broomhead, D.S.; King, G.P. Extracting qualitative dynamics from experimental data. Phys. D Nonlinear Phenom. 1986, 20, 217–236. [Google Scholar] [CrossRef]
- Fraedrich, K. Estimating the dimensions of weather and climate attractors. J. Atmos. Sci. 1986, 43, 419–432. [Google Scholar] [CrossRef]
- Vautard, R.; Ghil, M. Singular spectrum analysis in nonlinear dynamics, with applications to paleoclimatic time series. Phys. D Nonlinear Phenom. 1989, 35, 395–424. [Google Scholar] [CrossRef]
- Ghil, M.; Vautard, R. Interdecadal oscillations and the warming trend in global temperature time series. Nature 1991, 350, 324–327. [Google Scholar] [CrossRef]
- Yiou, P.; Baert, E.; Loutre, M.F. Spectral analysis of climate data. Surv. Geophys. 1996, 17, 619–663. [Google Scholar] [CrossRef]
- Pereira de Albuquerque, W.C.; Maciel, C.D. Performance of ultrasound echo decomposition using singular spectrum analysis. Ultrasound Med. Biol. 2001, 27, 1231–1238. [Google Scholar] [CrossRef] [PubMed]
- Moskvina, V.; Zhigljavsky, A. An algorithm based on singular spectrum analysis for change-point detection. Commun. Stat.-Simul. Comput. 2003, 32, 319–352. [Google Scholar] [CrossRef]
- Sivapragasam, C.; Liong, S.Y.; Pasha, M.F.K. Rainfall and runoff forecasting with SSA-SVM approach. J. Hydroinform. 2001, 3, 141–152. [Google Scholar] [CrossRef]
- Deng, C. Time Series Decomposition Using Singular Spectrum Analysis. Master’s Thesis, East Tennessee State University, Johnson City, TN, USA, 2014. [Google Scholar]
- Golyandina, N.; Zhigljavsky, A. Singular Spectrum Analysis for Time Series; Springer: Berlin/Heidelberg, Germany, 2013. [Google Scholar]
- Golyandina, N.; Nekrutkin, V.; Zhigljavsky, A. Analysis of Time Series Structure: SSA and Related Techniques, 1st ed.; Chapman & Hall/CRC: New York, NY, USA, 2001. [Google Scholar]
- Gao, W.; Guo, J.; Zhou, M.Y.H.; Chen, X.; Ji, B. Gravity tides extracted from SSA-denoised superconducting gravity data with the harmonic analysis: A case study at Wuhan station, China. Acta Geod. Geophys. 2020, 55, 609–625. [Google Scholar] [CrossRef]
- Golyandina, N.; Korobeynikov, A.; Zhigljavsky, A. Singular Spectrum Analysis with R; Springer: Berlin/Heidelberg, Germany, 2018. [Google Scholar] [CrossRef]
- Goulet, V. Introduction à la Programmation en R, 5th ed.École D’actuariat, Université Laval: Québec, QC, Canada, 2016. [Google Scholar]
- Korobeynikov, A. Computation- and space-efficient implementation of SSA. Stat. Its Interface 2010, 3, 357–368. [Google Scholar] [CrossRef]
- Shumway, R.H.; Stoffer, D.S. Time Series Analysis and Its Applications; Springer: Cham, Switzerland, 2017. [Google Scholar] [CrossRef]
- Elliott, G.; Stock, J.H.; Rothenberg, T.J. Efficient Tests for an Autoregressive Unit Root. Econometrica 1996, 64, 813–836. [Google Scholar] [CrossRef]
- Shapiro, S.; Wilk, M.B. An analysis of variance test for normality (complete samples). Biometrika 1965, 52, 591–611. [Google Scholar] [CrossRef]
- Baddeley, A.; Turner, R.; Moller, J.; Hazelton, M. Residual analysis for spatial point processes. J. R. Stat. Soc. Ser. B 2005, 67, 617–666. [Google Scholar] [CrossRef]
- Andersen, A.J.; Dennison, J. An Introduction to Quantile-Quantile Plots for the Experimental Physicist. Am. J. Phys. 2019, 87, 1–4. [Google Scholar]
- Hassani, H. Singular spectrum analysis: Methodology and comparison. J. Data Sci. 2007, 5, 239–257. [Google Scholar] [CrossRef]
- Console, R. Testing earthquake forecast hypotheses. Tectonophysics 2001, 338, 261–268. [Google Scholar] [CrossRef]
- Shcherbakov, R. Statistics and forecasting of aftershocks during the 2019 Ridgecrest, California, earthquake sequence. J. Geophys. Res. Solid Earth 2021, 126, e2020JB020887. [Google Scholar] [CrossRef]
- Taroni, M.; Marzocchi, W.; Schorlemmer, D.; Werner, M.J.; Wiemer, S.; Zechar, J.D.; Heiniger, L.; Euchner, F. Prospective CSEP Evaluation of 1-Day, 3-Month, and 5-Yr Earthquake Forecasts for Italy. Seismol. Res. Lett. 2018, 89, 1251–1261. [Google Scholar] [CrossRef]











| Series | ADF Test | SW Test | Model | AIC | BIC |
|---|---|---|---|---|---|
| Eartq_Num | ARIMA (2,1,2) | 4.061 | 4.255 | ||
| 0.345 | 7.21 × 10−7 | ARIMA (2,1,1) | 3.995 | 4.175 | |
| SARIMA (2,1,2) (1,0,1)(S=12) | 4.068 | 4.294 | |||
| Max_Mag | ARIMA (2,1,2) | 2.169 | 2.364 | ||
| 0.063 | 0.029 | ARIMA (2,1,1) | 2.191 | 2.425 | |
| SARIMA (2,1,2) (1,0,1)(S=12) | 2.198 | 2.425 |
| Series | Model | RMSE |
|---|---|---|
| Earthq_Num | SSA (12,2) | 3.847 |
| SSA (24,3) | 3.048 | |
| SSA (36,2) | 3.426 | |
| Max_Mag | SSA (12,2) | 0.314 |
| SSA (24,2) | 0.365 | |
| SSA (36,2) | 0.395 |
| Series | ARIMA (p,d,q) RMSE | SSA (L,r) RMSE |
|---|---|---|
| Earthq_Num | (2,1,1) 3.317 | (24,3) 3.048 |
| Max_Mag | (2,1,2) 0.374 | (12,2) 0.314 |
| Years | Series | |
|---|---|---|
| Earthq_Num | Max_Mag | |
| 2020 | 5 | 4.9 |
| 2021 | 6 | 5.1 |
| 2022 | 5 | 4.8 |
| 2023 | 5 | 4.9 |
| 2024 | 5 | 5.1 |
| 2025 | 4 | 5.0 |
| 2026 | 5 | 4.9 |
| 2027 | 6 | 5.0 |
| 2028 | 4 | 5.1 |
| 2029 | 4 | 5.0 |
| 2030 | 5 | 5.1 |
| Year | N Observed | N Forecasted | N-Test δ1 | N-Test δ2 |
|---|---|---|---|---|
| 2016 | 2 | 3.0 | 0.8506 | 0.2240 |
| 2017 | 2 | 3.2 | 0.8705 | 0.2079 |
| 2018 | 0 | 3.5 | 1 | 0.0302 |
| 2019 | 2 | 3.4 | 0.8865 | 0.1929 |
Disclaimer/Publisher’s Note: The statements, opinions and data contained in all publications are solely those of the individual author(s) and contributor(s) and not of MDPI and/or the editor(s). MDPI and/or the editor(s) disclaim responsibility for any injury to people or property resulting from any ideas, methods, instructions or products referred to in the content. |
© 2023 by the authors. Licensee MDPI, Basel, Switzerland. This article is an open access article distributed under the terms and conditions of the Creative Commons Attribution (CC BY) license (https://creativecommons.org/licenses/by/4.0/).
Share and Cite
Merdasse, M.; Hamdache, M.; Peláez, J.A.; Henares, J.; Medkour, T. Earthquake Magnitude and Frequency Forecasting in Northeastern Algeria using Time Series Analysis. Appl. Sci. 2023, 13, 1566. https://doi.org/10.3390/app13031566
Merdasse M, Hamdache M, Peláez JA, Henares J, Medkour T. Earthquake Magnitude and Frequency Forecasting in Northeastern Algeria using Time Series Analysis. Applied Sciences. 2023; 13(3):1566. https://doi.org/10.3390/app13031566
Chicago/Turabian StyleMerdasse, Mouna, Mohamed Hamdache, José A. Peláez, Jesús Henares, and Tarek Medkour. 2023. "Earthquake Magnitude and Frequency Forecasting in Northeastern Algeria using Time Series Analysis" Applied Sciences 13, no. 3: 1566. https://doi.org/10.3390/app13031566
APA StyleMerdasse, M., Hamdache, M., Peláez, J. A., Henares, J., & Medkour, T. (2023). Earthquake Magnitude and Frequency Forecasting in Northeastern Algeria using Time Series Analysis. Applied Sciences, 13(3), 1566. https://doi.org/10.3390/app13031566

