Bearing Capacity of Shallow Foundations on Unsaturated Silty Soils
Abstract
1. Introduction
Estimation of UBC of Foundations on Unsaturated Soils
2. Materials and Methods
2.1. Material
2.2. Method
Sample Preparation
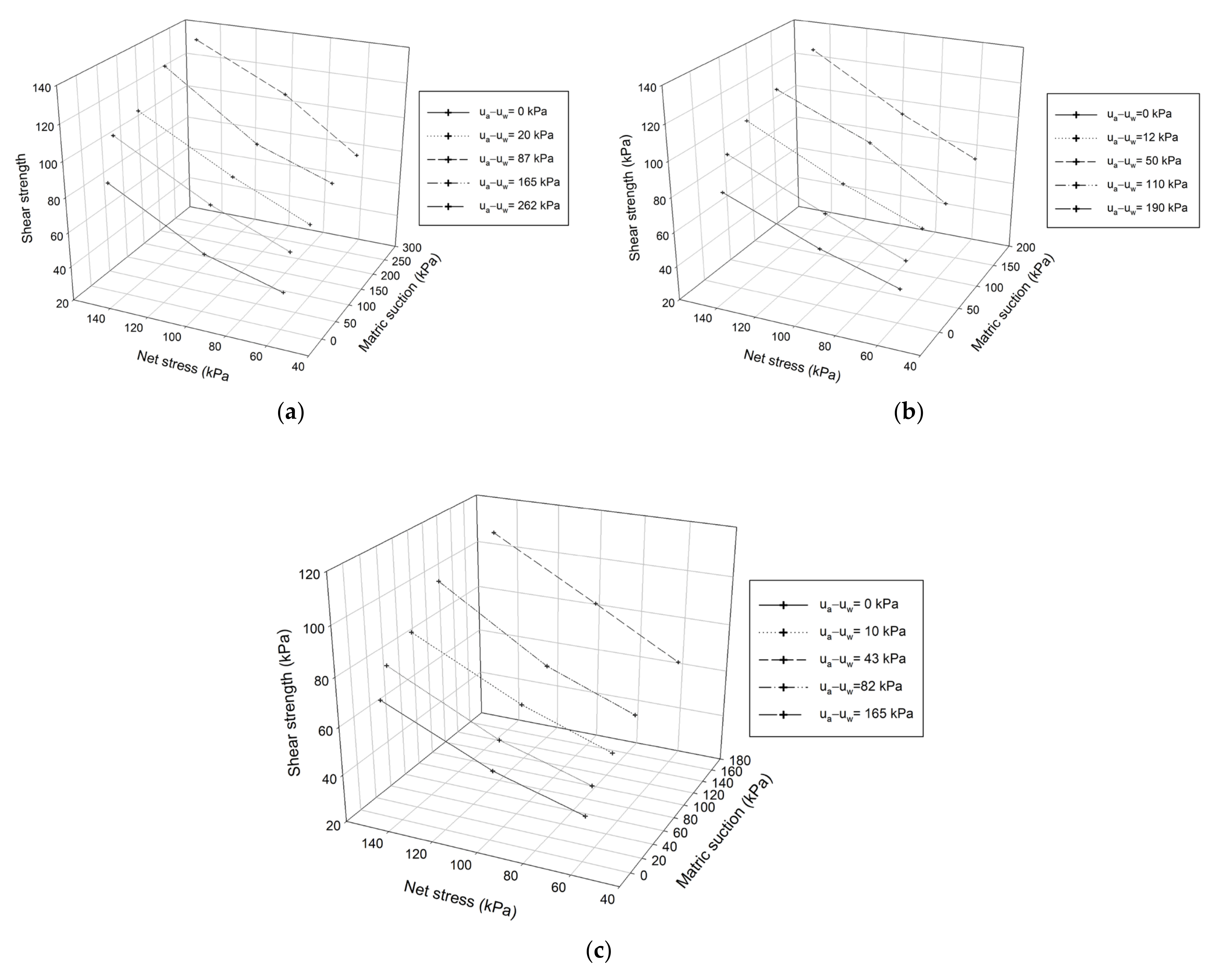
3. Results and Discussion
- A peak is not observed,
- Except for where the load is applied, no soil heave is visible, and
- It is defined that it is created by the vertical shear and compression of the soil immediately beneath the footing.
4. Conclusions
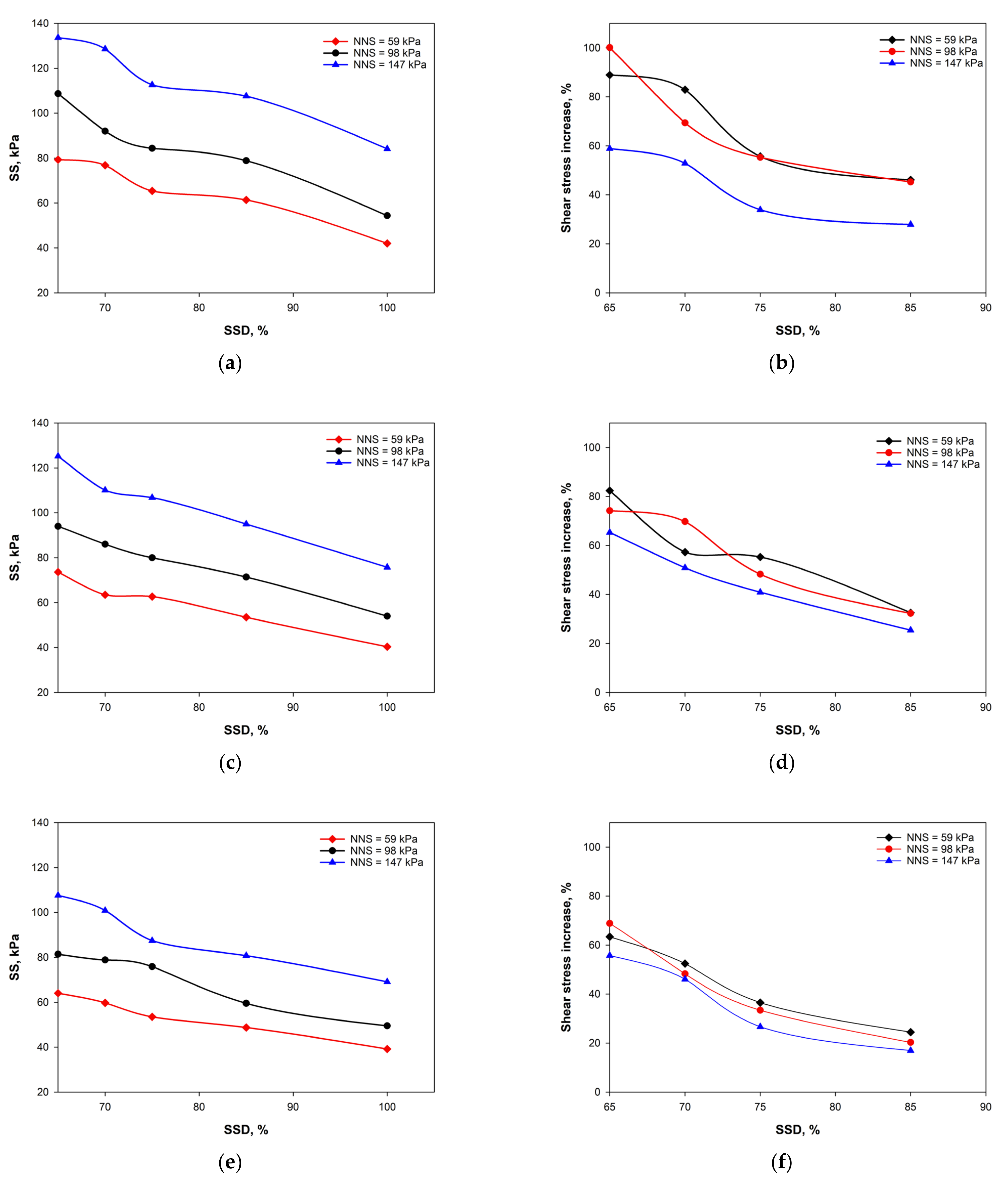
- Although the SS parameters of the unsaturated silty soil sample changes depending on the MS and the VR values, the failure behavior (punching failure) remains the same.
- An increase in cohesion values in accordance with the literature was observed due to the increase in MS for all silt samples with different VRs. However, an increase was observed in the SS angle value due to the MS magnitude.
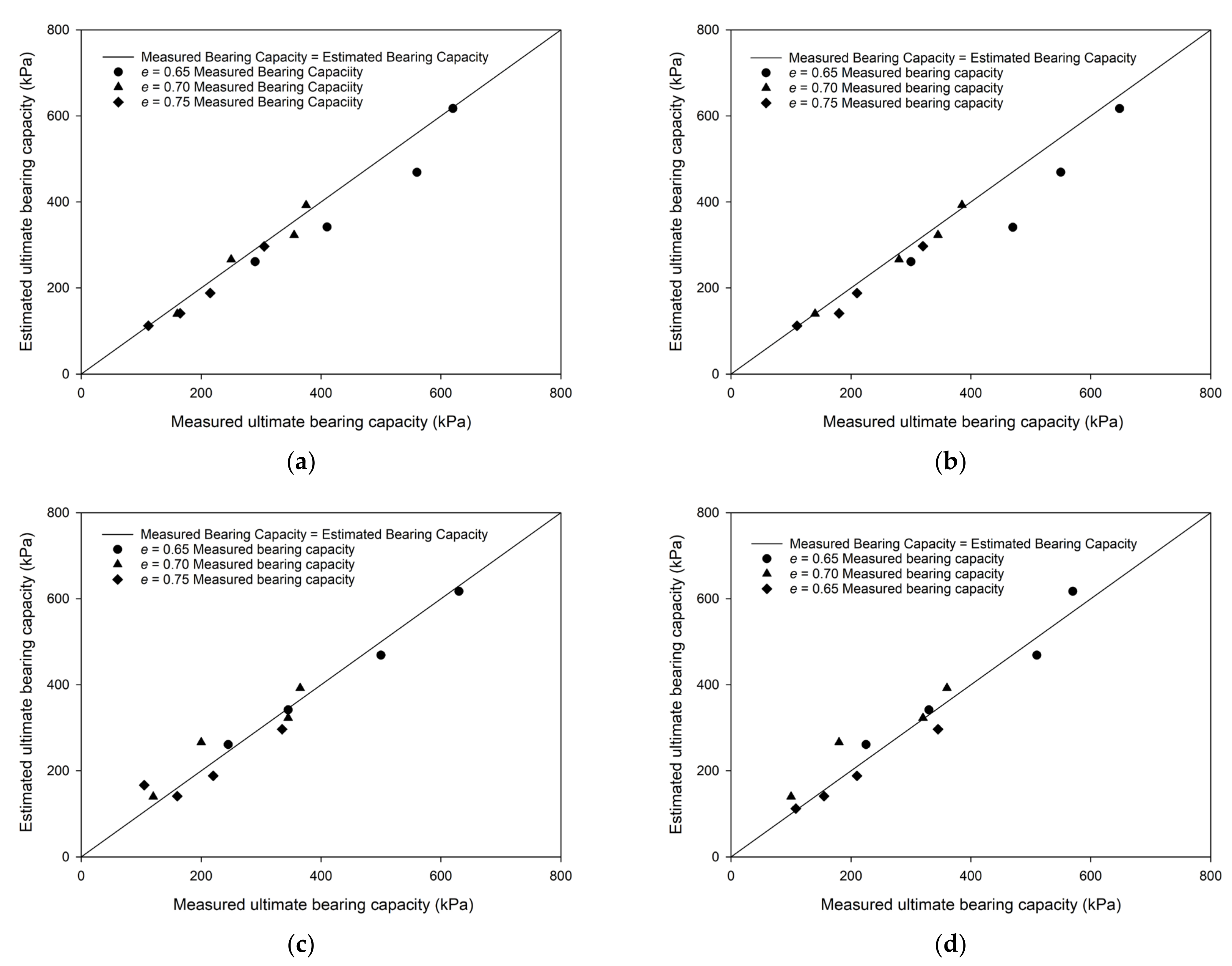
- It was observed in the literature that the values calculated with the equations for the UBC of shallow foundations on unsaturated soils do not comply with the results of the model tests carried out on silty soils. Within the scope of this study, a new equation that gives suitable results for shallow foundations on unsaturated silty soils is proposed (Equation (8)).
- It was determined that the foundation’s UBC value for unsaturated silty soils can be estimated by using the unconfined compression test result and the fitting parameter depending on the SSD.
- To evaluate foundations on unsaturated silty soils, the UBC can be estimated by considering the 0.1B method (ASSHTO method) by using the proposed equation in the current paper and by taking the fitting parameter (Ψ) as −2.89. If the graphical method is taken into account, the estimation can be made by taking the fitting parameter as −1.33 due to the generated relationship.
- As the foundation size becomes smaller, the values of the foundation’s UBC values measured in the model tests and calculated from the proposed equation become closer to each other. In addition, it was observed that the model foundation dimensions, and the variation in the foundation type causes changes to the measured UBC value.
- In future studies, UBC tests can be performed on silt soils with different plasticity indexes and a relationship can be derived between the plasticity index and the fitting parameter (Ψ).
Author Contributions
Funding
Institutional Review Board Statement
Informed Consent Statement
Data Availability Statement
Acknowledgments
Conflicts of Interest
References
- Terzaghi, K. Theoretical Soil Mechanics; John Wiley & Sons, Inc.: New York, NY, USA, 1943. [Google Scholar]
- Skempton, A.W. The φ 0 Analysis of Stability and Its Theoretical Basis. In Proceedings of the 2nd International Conference on Soil Mechanics and Foundation Engineering (Rotterdam), Rotterdam, The Netherlands, 21–30 June 1948; pp. 72–77. [Google Scholar]
- Meyerhof, G.G. The Ultimate Bearing Capacity of Foudations. Geotechnique 1951, 2, 301–332. [Google Scholar] [CrossRef]
- Houston, S.L.; Houston, W.N.; Wagner, A.-M. Laboratory Filter Paper Suction Measurements. Geotech. Test. J. 1994, 17, 185–194. [Google Scholar]
- Guan, Y.; Fredlund, D.G. Use of the Tensile Strength of Water for the Direct Measurement of High Soil Suction. Can. Geotech. J. 1997, 34, 604–614. [Google Scholar] [CrossRef]
- Houston, S.L.; Perez-Garcia, N.; Houston, W.N. Shear Strength and Shear-Induced Volume Change Behavior of Unsaturated Soils from a Triaxial Test Program. J. Geotech. Geoenviron. Eng. 2008, 134, 1619–1632. [Google Scholar] [CrossRef]
- Bulut, R.; Wray, W.K. Free Energy of Water-Suction-in Filter Papers. Geotech. Test. J. 2005, 28, 355–364. [Google Scholar]
- Likos, W.J.; Lu, N. Hysteresis of Capillary Stress in Unsaturated Granular Soil. J. Eng. Mech. 2004, 130, 646–655. [Google Scholar] [CrossRef]
- Aldaood, A. Impact of Fine Materials on the Saturated and Unsaturated Behavior of Silty Sand Soil. Ain Shams Eng. J. 2020, 11, 717–725. [Google Scholar] [CrossRef]
- Zhang, C.; Chen, X.; Fan, W.; Zhao, J. A New Unified Failure Criterion for Unsaturated Soils. Environ. Earth Sci. 2015, 74, 3345–3356. [Google Scholar] [CrossRef]
- Yan, Q.; Zhao, J.; Zhang, C.; Wang, J. Ultimate Bearing Capacity of Strip Foundations in Unsaturated Soils Considering the Intermediate Principal Stress Effect. Adv. Civ. Eng. 2020, 2020, 8854552. [Google Scholar] [CrossRef]
- Oloo, S.Y.; Fredlund, D.G.; Gan, J.K. Bearing Capacity of Unpaved Roads. Can. Geotech. J. 1997, 34, 398–407. [Google Scholar] [CrossRef]
- Costa, Y.D.; Cintra, J.C.; Zornberg, J.G. Influence of Matric Suction on the Results of Plate Load Tests Performed on a Lateritic Soil Deposit. Geotech. Test. J. 2003, 26, 219–227. [Google Scholar]
- Vanapalli, S.K.; Mohamed, F.M. Bearing Capacity of Model Footings in Unsaturated Soils. In Experimental Unsaturated Soil Mechanics; Springer: Berlin/Heidelberg, Germany, 2007; pp. 483–493. [Google Scholar]
- Rojas, J.C.; Salinas, L.M.; Sejas, C. Plate-Load Tests on an Unsaturated Lean Clay. In Experimental Unsaturated Soil Mechanics; Springer: Berlin/Heidelberg, Germany, 2007; pp. 445–452. [Google Scholar]
- Zhang, F.; Bao, X.; Ikariya, T. A New Model for Unsaturated Soil Using Skeleton Stress and Degree of Saturation as State Variables. Soils Found. 2010, 50, 355–370. [Google Scholar] [CrossRef]
- Zhang, C.; Yan, Q.; Zhao, J.; Wang, J. Formulation of Ultimate Bearing Capacity for Strip Foundations Based on the Meyerhof Theory and Unsaturated Soil Mechanics. Comput. Geotech. 2020, 126, 103734. [Google Scholar] [CrossRef]
- Oh, W.T.; Vanapalli, S.K. Interpretation of the Bearing Capacity of Unsaturated Fine-Grained Soil Using the Modified Effective and the Modified Total Stress Approaches. Int. J. Geomech. 2013, 13, 769–778. [Google Scholar] [CrossRef]
- Ibrahim, K.M.H.I. Effect of Percentage of Low Plastic Fines on the Unsaturated Shear Strength of Compacted Gravel Soil. Ain Shams Eng. J. 2015, 6, 413–419. [Google Scholar] [CrossRef]
- Lotfizadeh, M.R.; Kamalian, M. Estimating Bearing Capacity of Strip Footings over Two-Layered Sandy Soils Using the Characteristic Lines Method. Int. J. Civ. Eng. 2016, 14, 107–116. [Google Scholar] [CrossRef]
- Maghvan, S.V.; Imam, R.; McCartney, J.S. Relative Density Effects on the Bearing Capacity of Unsaturated Sand. Soils Found. 2019, 59, 1280–1291. [Google Scholar] [CrossRef]
- Chen, T.; Xiao, S. An Upper Bound Solution to Undrained Bearing Capacity of Rigid Strip Footings Near Slopes. Int. J. Civ. Eng. 2020, 18, 475–485. [Google Scholar] [CrossRef]
- Chen, W.; Xia, W.; Zhang, S.; Wang, E. Study on the Influence of Groundwater Variation on the Bearing Capacity of Sandy Shallow Foundation. Appl. Sci. 2023, 13, 473. [Google Scholar] [CrossRef]
- Silveira, I.A.; Rodrigues, R.A. Collapsible Behavior of Lateritic Soil Due to Compacting Conditions. Int. J. Civ. Eng. 2020, 18, 1157–1166. [Google Scholar] [CrossRef]
- Liu, Y.; Vanapalli, S.K. Mechanical Behavior of a Floating Model Pile in Unsaturated Expansive Soil Associated with Water Infiltration: Laboratory Investigations and Numerical Simulations. Soils Found. 2021, 61, 929–943. [Google Scholar] [CrossRef]
- Tan, M.; Cheng, X.; Vanapalli, S. Simple Approaches for the Design of Shallow and Deep Foundations for Unsaturated Soils I: Theoretical and Experimental Studies. Indian Geotech. J. 2021, 51, 97–114. [Google Scholar] [CrossRef]
- Tan, M.; Vanapalli, S.K. Foundation Bearing Capacity Estimation on Unsaturated Soil Slope under Transient Flow Condition Using Slip Line Method. Comput. Geotech. 2022, 148, 104804. [Google Scholar] [CrossRef]
- Vanapalli, S.K.; Salinas, L.M.; Avila, D.; Karube, D. Suction and Storage Characteristics of Unsaturated Soils. In Unsaturated Soils-Volume 3: Proceedings of the 3rd International Conference on Unsaturated Soils, UNSAT 2002, 10–13 March 2002, Recife, Brazil; CRC Press: Boca Raton, FL, USA, 2021; p. 1045. [Google Scholar]
- Cheng, Y.-Y.; Gao, X.-G.; Liu, T.-H.; Li, L.-X.; Du, W.; Hamad, A.; Wang, J.-P. Effect of Water Content on Strength of Alluvial Silt in The Lower Yellow River. Water 2022, 14, 3231. [Google Scholar] [CrossRef]
- Fredlund, D.G.; Morgenstern, N.R. Stress State Variables for Unsaturated Soils. J. Geotech. Eng. Div. 1977, 103, 447–466. [Google Scholar] [CrossRef]
- Oh, W.T.; Vanapalli, S.K. Modelling the Applied Vertical Stress and Settlement Relationship of Shallow Foundations in Saturated and Unsaturated Sands. Can. Geotech. J. 2011, 48, 425–438. [Google Scholar] [CrossRef]
- Vahedifard, F.; Robinson, J.D. Unified Method for Estimating the Ultimate Bearing Capacity of Shallow Foundations in Variably Saturated Soils under Steady Flow. J. Geotech. Geoenviron. Eng. 2016, 142, 04015095. [Google Scholar] [CrossRef]
- Vo, T.; Russell, A.R. Bearing Capacity of Strip Footings on Unsaturated Soils by the Slip Line Theory. Comput. Geotech. 2016, 74, 122–131. [Google Scholar] [CrossRef]
- Oh, W.T.; Vanapalli, S.K. Modeling the Stress versus Settlement Behavior of Shallow Foundations in Unsaturated Cohesive Soils Extending the Modified Total Stress Approach. Soils Found. 2018, 58, 382–397. [Google Scholar] [CrossRef]
- Ghasemzadeh, H.; Akbari, F. Determining the Bearing Capacity Factor Due to Nonlinear Matric Suction Distribution in the Soil. Can. J. Soil Sci. 2019, 99, 434–446. [Google Scholar] [CrossRef]
- Ghasemzadeh, H.; Akbari, F. Investigation of Soil Active Wedge Angle with Linear Matric Suction Distribution below the Footing. Int. J. Civ. Eng. 2020, 18, 161–168. [Google Scholar] [CrossRef]
- Akbari Garakani, A.; Sadeghi, H.; Saheb, S.; Lamei, A. Bearing Capacity of Shallow Foundations on Unsaturated Soils: Analytical Approach with 3D Numerical Simulations and Experimental Validations. Int. J. Geomech. 2020, 20, 04019181. [Google Scholar] [CrossRef]
- Lu, N.; Godt, J.W.; Wu, D.T. A Closed-Form Equation for Effective Stress in Unsaturated Soil. Water Resour. Res. 2010, 46, W05515. [Google Scholar] [CrossRef]
- Griffiths, D.V.; Lu, N. Unsaturated Slope Stability Analysis with Steady Infiltration or Evaporation Using Elasto-Plastic Finite Elements. Int. J. Numer. Anal. Methods Geomech. 2005, 29, 249–267. [Google Scholar] [CrossRef]
- Zhang, L.L.; Fredlund, D.G.; Fredlund, M.D.; Wilson, G.W. Modeling the Unsaturated Soil Zone in Slope Stability Analysis. Can. Geotech. J. 2014, 51, 1384–1398. [Google Scholar] [CrossRef]
- Consoli, N.C.; Schnaid, F.; Milititsky, J. Interpretation of Plate Load Tests on Residual Soil Site. J. Geotech. Geoenviron. Eng. 1998, 124, 857–867. [Google Scholar] [CrossRef]
- Tang, Y.; Taiebat, H.A.; Russell, A.R. Bearing Capacity of Shallow Foundations in Unsaturated Soil Considering Hydraulic Hysteresis and Three Drainage Conditions. Int. J. Geomech. 2017, 17, 04016142. [Google Scholar] [CrossRef]
- Meyerhof, G.G. Some Recent Research on the Bearing Capacity of Foundations. Can. Geotech. J. 1963, 1, 16–26. [Google Scholar] [CrossRef]
- Vesić, A.S. Analysis of Ultimate Loads of Shallow Foundations. J. Soil Mech. Found. Div. 1973, 99, 45–73. [Google Scholar] [CrossRef]
- Kumbhojkar, A.S. Numerical Evaluation of Terzaghi’s N γ. J. Geotech. Eng. 1993, 119, 598–607. [Google Scholar] [CrossRef]
- Gan, J.K.M.; Fredlund, D.G.; Rahardjo, H. Determination of the Shear Strength Parameters of an Unsaturated Soil Using the Direct Shear Test. Can. Geotech. J. 1988, 25, 500–510. [Google Scholar] [CrossRef]
- Escario, V.; Saez, J. The Shear Strength of Partly Saturated Soils. Geotechnique 1986, 36, 453–456. [Google Scholar] [CrossRef]
- Vanapalli, S.K.; Fredlund, D.G.; Pufahl, D.E. The Relationship between the Soil-Water Characteristic Curve and the Unsaturated Shear Strength of a Compacted Glacial Till. Geotech. Test. J. 1996, 19, 259–268. [Google Scholar]
- ASTM D4318-17e1; Standard Test Methods for Liquid Limit, Plastic Limit, and Plasticity Index of Soils. ASTM International: West Conshohocken, PA, USA, 2010.
- Kruse, G.A.; Dijkstra, T.A.; Schokking, F. Effects of Soil Structure on Soil Behaviour: Illustrated with Loess, Glacially Loaded Clay and Simulated Flaser Bedding Examples. Eng. Geol. 2007, 91, 34–45. [Google Scholar] [CrossRef]
- Ltifi, M.; Abichou, T.; Tisot, J.P. Effects of Soil Aging on Mechanical and Hydraulic Properties of a Silty Soil. Geotech. Geol. Eng. 2014, 32, 1101–1108. [Google Scholar] [CrossRef]
- Dijkstra, T.A.; Rogers, C.D.F.; Smalley, I.J.; Derbyshire, E.; Li, Y.J.; Meng, X.M. The Loess of North-Central China: Geotechnical Properties and Their Relation to Slope Stability. Eng. Geol. 1994, 36, 153–171. [Google Scholar] [CrossRef]
- Wen, B.-P.; Yan, Y.-J. Influence of Structure on Shear Characteristics of the Unsaturated Loess in Lanzhou, China. Eng. Geol. 2014, 168, 46–58. [Google Scholar] [CrossRef]
- Önalp, A.; Arel, E.; Bol, E.; Özocak, A.; Sert, S. The Assessment of Liquefaction Potential with Dissipation Method in Piezocone Penetration Testing (CPTU); Scientific and Technological Research Council of Turkey: Ankara, Türkiye, 2007. [Google Scholar]
- Fredlund, D.G.; Rahardjo, H. Soil Mechanics for Unsaturated Soils; John Wiley & Sons: Hoboken, NJ, USA, 1993. [Google Scholar]
- Hu, Z.Q.; Shen, Z.J.; Xie, D.Y. Research on Structural Behavior of Unsaturated Loess. Chin. J. Rock Mech. Eng. 2000, 19, 775–779. [Google Scholar]
- Maleki, M.; Bayat, M. Experimental Evaluation of Mechanical Behavior of Unsaturated Silty Sand under Constant Water Content Condition. Eng. Geol. 2012, 141, 45–56. [Google Scholar] [CrossRef]
- Oloo, S.Y.; Fredlund, D.G. A Method for Determination of φ b for Statically Compacted Soils. Can. Geotech. J. 1996, 33, 272–280. [Google Scholar] [CrossRef]
- Vanapalli, S.K.; Fredlund, D.G. Comparison of Different Procedures to Predict Unsaturated Soil Shear Strength. Geotech. Spec. Publ. 2000, 99, 195–209. [Google Scholar]
- Vanapalli, S.K.; Lane, J.J. A Simple Technique for Determining the Shear Strength of Finegrained Unsaturated Soils Using the Conventional Direct Shear Apparatus. In Proceedings of the Second Canadian Specialty Conference on Computer Applications in Geotechnique, Winnipeg, Canada; Citeseer. 2002; pp. 245–253. [Google Scholar]
- Gardner, R. A Method of Measuring the Capillary Tension of Soil Moisture over a Wide Moisture Range. Soil Sci. 1937, 43, 277–284. [Google Scholar] [CrossRef]
- Qian, J.S.; Lu, H. Effect of Compaction Degree on Soil-Water Characteristic Curve of Chongming Clay. In Applied Mechanics and Materials; Trans Tech Publications Ltd.: Wollerau, Switzerland, 2011; Volume 90, pp. 701–706. [Google Scholar]
- ASTM D5298-16; Standard Test Method for Measurement of Soil Potential (Suction) Using Filter Paper. ASTM International: West Conshohocken, PA, USA, 2016.
- Hilf, J.W. An Investigation of Pore-Water Pressure in Compacted Cohesive Soils; University of Colorado at Boulder: Boulder, CO, USA, 1956. [Google Scholar]
- Cresswell, H.P.; Green, T.W.; McKenzie, N.J. The Adequacy of Pressure Plate Apparatus for Determining Soil Water Retention. Soil Sci. Soc. Am. J. 2008, 72, 41–49. [Google Scholar] [CrossRef]
- Adams, M.T.; Collin, J.G. Large Model Spread Footing Load Tests on Geosynthetic Reinforced Soil Foundations. J. Geotech. Geoenviron. Eng. 1997, 123, 66–72. [Google Scholar] [CrossRef]
- Oh, W.T.; Garga, V.K.; Vanapalli, S.K. Shear Strength Characteristics of Statically Compacted Unsaturated Kaolin. Can. Geotech. J. 2008, 45, 910–922. [Google Scholar] [CrossRef]
- Oloo, S.Y. A Bearing Capacity Approach to the Design of Low-Volume Traffic Roads; University of Saskatchewan: Saskatoon, SK, Canada, 1999. [Google Scholar]
- ASTM D3080-04; Standard Test Method for Direct Shear Test of Soils under Consolidated Drained Conditions. ASTM International: West Conshohocken, PA, USA, 1999.
- Van Genuchten, M.T. A Closed-Form Equation for Predicting the Hydraulic Conductivity of Unsaturated Soils. Soil Sci. Soc. Am. J. 1980, 44, 892–898. [Google Scholar] [CrossRef]
- ASTM D1194-94; Standard Test Method for Bearing Capacity of Soil for Static Load and Spread Footings. ASTM International: West Conshohocken, PA, USA, 2003.
- Steensen-Bach, J.O.; Foged, N.; Steenfelt, J.S. Capillary Induced Stresses―fact or Fiction? In Proceedings of the 9th European Conference on Soil Mechanics and foundation Engineering, Dublin, Ireland, 31 August–3 September 1987; pp. 83–89. [Google Scholar]














| Authors | UBC Equation | Soil Type |
|---|---|---|
| Oloo et al. (1997) [12] | - | |
| Vanapalli & Mohamed (2007) [14] | Poorly graded sand | |
| Oh & Vanapalli (2013) [18] | Low plasticity clay | |
| Vahedifard & Robinson (2016) [32] | - | |
| Tang et al. (2017) [42] | - | |
| Garakani et al. (2020) [37] | Poorly graded sand | |
| Zhang et al. (2020) [17] | Sand |
| Property | Value | Symbol and Unit |
|---|---|---|
| No 200# | 89 | FC (%) |
| Liquid limit | 35.8 | LL (%) |
| Plastic limit | 25.2 | PL (%) |
| Plasticity index | 10.6 | IP (%) |
| Specific gravity | 2.692 | Gs |
| Clay ratio | 17 | C (%) |
| Silt ratio | 72 | M (%) |
| Sand ratio | 11 | S (%) |
| Soil class: Low Plasticity Silt (ML) | ||
| Symbol | Element | Value (%) |
|---|---|---|
| SiO2 | Silicon dioxide | 40.94 |
| Al2O3 | Alumina | 11.09 |
| Fe2O3 | Iron oxide | 5.36 |
| MgO | Magnesium oxide | 4.48 |
| CaO | Quicklime | 15.58 |
| K2O | Potassium oxide | 1.72 |
| Na2O | Sodium oxide | 2.09 |
| TiO2 | Titanium oxide | 0.82 |
| - | Other | 17.92 |
| e | ( kPa | ||
|---|---|---|---|
| 0.65 | 59 | 4.6 | 6.5 |
| 98 | 7.6 | ||
| 147 | 7.2 | ||
| 0.70 | 59 | 5.7 | 7.3 |
| 98 | 7.1 | ||
| 147 | 9.0 | ||
| 0.75 | 59 | 5.6 | 8.1 |
| 98 | 8.8 | ||
| 147 | 10.0 |
| e | SS Parameters | SSD, % | ||||
|---|---|---|---|---|---|---|
| 100 | 85 | 75 | 70 | 65 | ||
| 0.65 | c | 5.5 | 29.1 | 32.9 | 38.8 | 45.1 |
| ∅ | 27.4 | 27.8 | 28.3 | 30.8 | 31.5 | |
| 0.70 | c | 7.1 | 31.7 | 39.1 | 38.9 | 45.9 |
| ∅ | 24.2 | 22.6 | 23.8 | 26.9 | 27.6 | |
| 0.75 | c | 9.6 | 30.9 | 35.1 | 36.8 | 41.5 |
| ∅ | 21.1 | 17.8 | 18.8 | 22.4 | 23.5 | |
| SSD, % | VR = 0.65 | VR = 0.70 | VR = 0.75 |
|---|---|---|---|
| qu (kPa) | qu (kPa) | qu (kPa) | |
| 65 | 116.05 | 71.88 | 54.31 |
| 70 | 94.68 | 65.19 | 37.99 |
| 75 | 75.58 | 58.89 | 31.23 |
| 85 | 68.2 | 36.57 | 29.31 |
| Model Footing | VR | SSD % | WC % | MS kPa | Oloo et al., 1997 (Equation (5)) | Vanapalli & Muhammed 2007 (Equation (6)) | Oh & Vanapalli 2013 (Equation (3)) | 0.1B Settlement Method (Exp) | Grap. Method (Exp.) | UBC (Equation (8)) | Ψ 0.1B Method | Ψ Grap. Method |
|---|---|---|---|---|---|---|---|---|---|---|---|---|
| 50 mm Circle | 0.651 | 64.2 | 15.69 | 284.1 | 1300 | 1501 | 348 | 899 | 648 | 826 | −2.89 | −1.33 |
| 0.647 | 70.1 | 16.90 | 165.96 | 939 | 1318 | 292 | 762 | 550 | 597 | |||
| 0.648 | 74.4 | 18.00 | 91.90 | 712 | 1121 | 233 | 658 | 470 | 415 | |||
| 0.656 | 83.8 | 20.41 | 21.54 | 497 | 767 | 210 | 445 | 300 | 291 | |||
| 0.696 | 64.3 | 16.70 | 229.09 | 983 | 934 | 222 | 588 | 385 | 526 | −2.89 | −1.33 | |
| 0.699 | 68.6 | 17.80 | 141.25 | 752 | 857 | 201 | 499 | 345 | 411 | |||
| 0.701 | 74.5 | 19.40 | 63.10 | 547 | 679 | 182 | 372 | 280 | 323 | |||
| 0.702 | 83.2 | 21.70 | 15.61 | 423 | 521 | 113 | 213 | 140 | 156 | |||
| 0.749 | 64.7 | 17.99 | 157.28 | 645 | 587 | 167 | 424 | 320 | 397 | −2.89 | −1.33 | |
| 0.75 | 70.5 | 19.67 | 82.54 | 484 | 522 | 117 | 346 | 210 | 240 | |||
| 0.756 | 75.5 | 21.19 | 28.18 | 367 | 426 | 96 | 255 | 180 | 171 | |||
| 0.75 | 84.4 | 23.51 | 14.02 | 336 | 413 | 90 | 187 | 110 | 125 | |||
| 50 mm × 50 mm Square | 0.652 | 64.8 | 15.70 | 284.01 | 1294 | 1255 | 348 | 905 | 625 | 826 | −2.89 | −1.33 |
| 0.650 | 69.4 | 16.80 | 174.16 | 958 | 1136 | 292 | 773 | 560 | 597 | |||
| 0.655 | 73.9 | 18.00 | 91.90 | 706 | 946 | 233 | 595 | 410 | 415 | |||
| 0.647 | 84.1 | 20.22 | 23.99 | 498 | 567 | 210 | 425 | 290 | 291 | |||
| 0.699 | 63.7 | 16.60 | 241.73 | 1016 | 890 | 222 | 548 | 375 | 526 | −2.89 | −1.33 | |
| 0.701 | 68.4 | 17.80 | 141.25 | 752 | 812 | 201 | 503 | 355 | 411 | |||
| 0.706 | 75.2 | 19.70 | 56.67 | 531 | 663 | 182 | 360 | 250 | 323 | |||
| 0.706 | 83.6 | 21.90 | 13.28 | 417 | 485 | 113 | 210 | 160 | 156 | |||
| 0.751 | 64.7 | 18.05 | 149.05 | 620 | 538 | 167 | 398 | 305 | 397 | −2.89 | −1.33 | |
| 0.749 | 70.4 | 19.63 | 82.54 | 477 | 502 | 117 | 327 | 215 | 240 | |||
| 0.748 | 74.4 | 21.19 | 28.18 | 360 | 440 | 96 | 250 | 165 | 171 | |||
| 0.751 | 82.6 | 23.04 | 18.38 | 338 | 410 | 90 | 187 | 112 | 125 | |||
| 42.3 mm Circle | 0.651 | 64.9 | 15.70 | 284.01 | 1294 | 1255 | 348 | 946 | 630 | 826 | −2.89 | −1.33 |
| 0.651 | 69.3 | 16.70 | 157.28 | 906 | 1076 | 292 | 749 | 500 | 597 | |||
| 0.644 | 74.9 | 18.10 | 87.10 | 692 | 922 | 233 | 486 | 345 | 415 | |||
| 0.652 | 83.1 | 20.09 | 28.18 | 511 | 699 | 210 | 406 | 245 | 291 | |||
| 0.698 | 64.0 | 16.70 | 229.09 | 983 | 870 | 222 | 561 | 365 | 526 | −2.89 | −1.33 | |
| 0.693 | 69.4 | 17.90 | 133.86 | 733 | 795 | 201 | 494 | 345 | 411 | |||
| 0.698 | 73.9 | 19.20 | 70.25 | 566 | 703 | 182 | 347 | 200 | 323 | |||
| 0.706 | 84.1 | 22.10 | 11.93 | 413 | 478 | 113 | 201 | 120 | 156 | |||
| 0.754 | 64.7 | 18.13 | 141.25 | 604 | 530 | 167 | 444 | 335 | 397 | −2.89 | −1.33 | |
| 0.751 | 70.7 | 19.68 | 82.54 | 477 | 502 | 117 | 367 | 220 | 240 | |||
| 0.748 | 73.8 | 20.84 | 50.89 | 409 | 480 | 96 | 252 | 160 | 171 | |||
| 0.749 | 84.7 | 23.60 | 12.59 | 326 | 392 | 90 | 176 | 105 | 125 | |||
| 37.5 mm × 37.5 mm Square | 0.644 | 64.9 | 15.72 | 279.46 | 1285 | 1244 | 348 | 887 | 570 | 826 | −2.89 | −1.33 |
| 0.657 | 68.2 | 16.50 | 194.98 | 1026 | 1211 | 292 | 778 | 510 | 597 | |||
| 0.648 | 74.3 | 17.90 | 92.29 | 712 | 948 | 233 | 460 | 330 | 415 | |||
| 0.665 | 84.4 | 20.23 | 23.99 | 503 | 664 | 210 | 335 | 225 | 291 | |||
| 0.701 | 63.6 | 16.60 | 241.73 | 1014 | 890 | 222 | 519 | 360 | 526 | −2.89 | −1.33 | |
| 0.699 | 68.5 | 17.90 | 133.86 | 731 | 796 | 201 | 460 | 320 | 411 | |||
| 0.699 | 74.3 | 19.30 | 68.25 | 559 | 697 | 182 | 314 | 180 | 323 | |||
| 0.703 | 84.6 | 22.10 | 11.93 | 412 | 534 | 113 | 184 | 100 | 156 | |||
| 0.747 | 63.8 | 17.70 | 165.96 | 655 | 554 | 167 | 477 | 345 | 397 | −2.89 | −1.33 | |
| 0.753 | 70.6 | 19.58 | 82.54 | 475 | 502 | 117 | 335 | 210 | 240 | |||
| 0.747 | 74.0 | 20.53 | 56.67 | 419 | 491 | 96 | 253 | 155 | 171 | |||
| 0.769 | 84.7 | 24.48 | 9.12 | 317 | 408 | 90 | 161 | 108 | 125 |
Disclaimer/Publisher’s Note: The statements, opinions and data contained in all publications are solely those of the individual author(s) and contributor(s) and not of MDPI and/or the editor(s). MDPI and/or the editor(s) disclaim responsibility for any injury to people or property resulting from any ideas, methods, instructions or products referred to in the content. |
© 2023 by the authors. Licensee MDPI, Basel, Switzerland. This article is an open access article distributed under the terms and conditions of the Creative Commons Attribution (CC BY) license (https://creativecommons.org/licenses/by/4.0/).
Share and Cite
Yilmazoglu, M.U.; Ozocak, A. Bearing Capacity of Shallow Foundations on Unsaturated Silty Soils. Appl. Sci. 2023, 13, 1308. https://doi.org/10.3390/app13031308
Yilmazoglu MU, Ozocak A. Bearing Capacity of Shallow Foundations on Unsaturated Silty Soils. Applied Sciences. 2023; 13(3):1308. https://doi.org/10.3390/app13031308
Chicago/Turabian StyleYilmazoglu, Mehmet Ugur, and Askin Ozocak. 2023. "Bearing Capacity of Shallow Foundations on Unsaturated Silty Soils" Applied Sciences 13, no. 3: 1308. https://doi.org/10.3390/app13031308
APA StyleYilmazoglu, M. U., & Ozocak, A. (2023). Bearing Capacity of Shallow Foundations on Unsaturated Silty Soils. Applied Sciences, 13(3), 1308. https://doi.org/10.3390/app13031308
