Anthropometry, Body Composition, and Physical Fitness in Semi-Professional Soccer Players: Differences between Sexes and Playing Position
Abstract
1. Introduction
2. Materials and Methods
2.1. Participants
2.2. Study Design
2.3. Anthropometry and Body Composition
2.4. Physical Fitness Assessment
2.4.1. Vertical Jump
2.4.2. Isometric Strength
2.4.3. Maximal Aerobic Capacity
2.4.4. Statistical Analysis
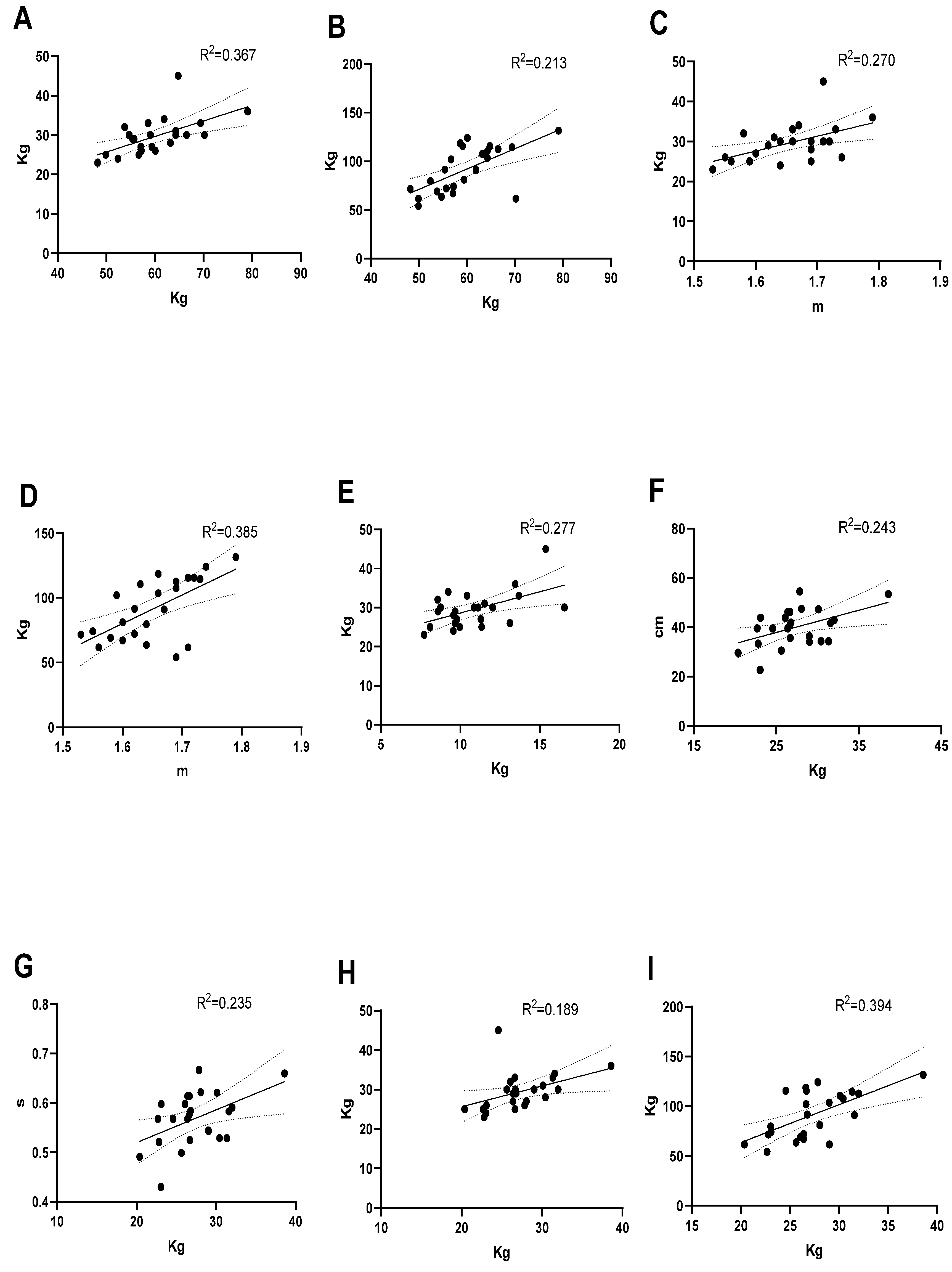
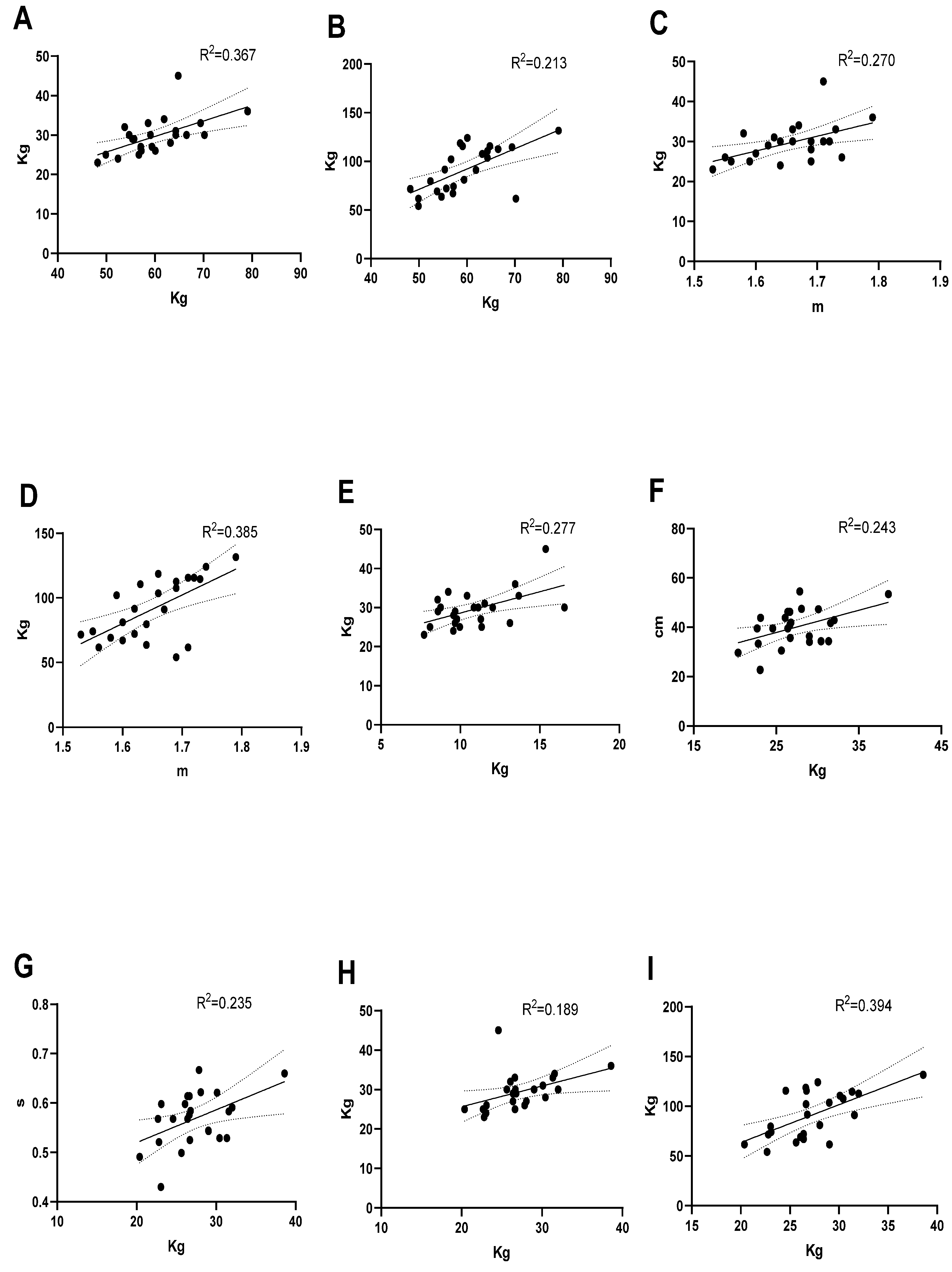
3. Results
4. Discussion
5. Conclusions
Author Contributions
Funding
Institutional Review Board Statement
Informed Consent Statement
Data Availability Statement
Conflicts of Interest
References
- Stølen, T.; Chamari, K.; Castagna, C.; Wisløff, U. Physiology of soccer. Sports Med. 2005, 35, 501–536. [Google Scholar] [CrossRef] [PubMed]
- Caetano, F.G.; da Silva, V.P.; da Silva Torres, R.; de Oliveira Anido, R.; Cunha, S.A.; Moura, F.A. Analysis of match dynamics of different soccer competition levels based on the player dyads. J. Hum. Kinet. 2019, 70, 173–182. [Google Scholar] [CrossRef]
- Bangsbo, J. The physiology of soccer—With special reference to intense intermittent exercise. Acta Physiol. Scand. Suppl. 1994, 619, 1–155. [Google Scholar]
- Wisløff, U.; Castagna, C.; Helgerud, J.; Jones, R.; Hoff, J. Strong correlation of maximal squat strength with sprint performance and vertical jump height in elite soccer players. Br. J. Sports Med. 2004, 38, 285–288. [Google Scholar] [CrossRef] [PubMed]
- Rienzi, E.; Drust, B.; Reilly, T.; Carter, J.E.L.; Martin, A. Investigation of anthropometric and work-rate profiles of elite South American international soccer players. J. Sports Med. Phys. Fit. 2000, 40, 162. [Google Scholar]
- Spehnjak, M.; Gušić, M.; Molnar, S.; Baić, M.; Andrašić, S.; Selimi, M.; Mačak, D.; Madić, D.M.; Žilič Fišer, S.; Sporiš, G. Body composition in elite soccer players from youth to senior squad. Int. J. Environ. Res. Public Health 2021, 18, 4982. [Google Scholar] [CrossRef] [PubMed]
- Toselli, S.; Mauro, M.; Grigoletto, A.; Cataldi, S.; Benedetti, L.; Nanni, G.; Di Miceli, R.; Aiello, P.; Gallamini, D.; Fischetti, F. Assessment of Body Composition and Physical Performance of Young Soccer Players: Differences According to the Competitive Level. Biology 2022, 11, 823. [Google Scholar] [CrossRef]
- Lago-Peñas, C.; Casais, L.; Dellal, A.; Rey, E.; Domínguez, E. Anthropometric and physiological characteristics of young soccer players according to their playing positions: Relevance for competition success. J. Strength Cond. Res. 2011, 25, 3358–3367. [Google Scholar] [CrossRef]
- Pradas, F.; García-Giménez, A.; Toro-Román, V.; Ochiana, N.; Castellar, C. Gender Differences in Neuromuscular, Haematological and Urinary Responses during Padel Matches. Int. J. Environ. Res. Public Health 2021, 18, 5864. [Google Scholar] [CrossRef]
- Lukaski, H.C. Body Composition: Health and Performance in Exercise and Sport, 1st ed.; CRC Press: Boca Raton, FL, USA, 2017; ISBN 1498731686. [Google Scholar]
- Leão, C.; Silva, A.F.; Badicu, G.; Clemente, F.M.; Carvutto, R.; Greco, G.; Cataldi, S.; Fischetti, F. Body Composition Interactions with Physical Fitness: A Cross-Sectional Study in Youth Soccer Players. Int. J. Environ. Res. Public Health 2022, 19, 3598. [Google Scholar] [CrossRef]
- Bloomfield, J.; Polman, R.; O’Donoghue, P. Physical demands of different positions in FA Premier League soccer. J. Sports Sci. Med. 2007, 6, 63. [Google Scholar]
- Barros, R.M.L.; Misuta, M.S.; Menezes, R.P.; Figueroa, P.J.; Moura, F.A.; Cunha, S.A.; Anido, R.; Leite, N.J. Analysis of the distances covered by first division Brazilian soccer players obtained with an automatic tracking method. J. Sports Sci. Med. 2007, 6, 233. [Google Scholar] [PubMed]
- Di Salvo, V.; Baron, R.; Tschan, H.; Montero, F.J.C.; Bachl, N.; Pigozzi, F. Performance characteristics according to playing position in elite soccer. Int. J. Sports Med. 2007, 28, 222–227. [Google Scholar] [CrossRef] [PubMed]
- Di Salvo, V.; Gregson, W.; Atkinson, G.; Tordoff, P.; Drust, B. Analysis of high intensity activity in Premier League soccer. Int. J. Sports Med. 2009, 30, 205–212. [Google Scholar] [CrossRef]
- Gravina, L.; Gil, S.M.; Ruiz, F.; Zubero, J.; Gil, J.; Irazusta, J. Anthropometric and physiological differences between first team and reserve soccer players aged 10–14 years at the beginning and end of the season. J. Strength Cond. Res. 2008, 22, 1308–1314. [Google Scholar] [CrossRef] [PubMed]
- Slimani, M.; Znazen, H.; Hammami, A.; Bragazzi, N.L. Comparison of body fat percentage of male soccer players of different competitive levels, playing positions and age groups: A meta-analysis. J. Sports Med. Phys. Fit. 2018, 58, 857–866. [Google Scholar] [CrossRef] [PubMed]
- Sporis, G.; Jukic, I.; Ostojic, S.M.; Milanovic, D. Fitness profiling in soccer: Physical and physiologic characteristics of elite players. J. Strength Cond. Res. 2009, 23, 1947–1953. [Google Scholar] [CrossRef]
- Canhadas, I.L.; Silva, R.L.P.; Chaves, C.R.; Portes, L.A. Anthropometric and physical fitness characteristics of young male soccer players. Rev. Bras. Cineantropometria Desempenho Hum. 2010, 12, 239–245. [Google Scholar]
- Gil, S.M.; Gil, J.; Ruiz, F.; Irazusta, A.; Irazusta, J. Physiological and anthropometric characteristics of young soccer players according to their playing position: Relevance for the selection process. J. Strength Cond. Res. 2007, 21, 438–445. [Google Scholar] [CrossRef]
- Dodd, K.D.; Newans, T.J. Talent identification for soccer: Physiological aspects. J. Sci. Med. Sport 2018, 21, 1073–1078. [Google Scholar] [CrossRef]
- Kanehisa, H.; Ikegawa, S.; Tsunoda, N.; Fukunaga, T. Cross-sectional areas of fat and muscle in limbs during growth and middle age. Int. J. Sports Med. 1994, 15, 420–425. [Google Scholar] [CrossRef]
- Charkoudian, N.; Joyner, M.J. Physiologic considerations for exercise performance in women. Clin. Chest Med. 2004, 25, 247–255. [Google Scholar] [CrossRef]
- Mascherini, G.; Castizo-Olier, J.; Irurtia, I.; Petri, C.; Galanti, G. Differences between the sexes in athletes’ body composition and lower limb bioimpedance values. Muscles Ligaments Tendons J. 2018, 7, 573–581. [Google Scholar] [PubMed]
- Baker, B.S.; Chen, Z.; Larson, R.D.; Bemben, M.G.; Bemben, D.A. Sex differences in bone density, geometry, and bone strength of competitive soccer players. J. Musculoskelet. Neuronal Interact. 2020, 20, 62. [Google Scholar] [PubMed]
- Baumgart, C.; Hoppe, M.W.; Freiwald, J. Different endurance characteristics of female and male german soccer players. Biol. Sport 2014, 31, 227. [Google Scholar] [CrossRef]
- de Araújo, M.C.; Baumgart, C.; Jansen, C.T.; Freiwald, J.; Hoppe, M.W. Sex differences in physical capacities of German Bundesliga soccer players. J. Strength Cond. Res. 2020, 34, 2329–2337. [Google Scholar] [CrossRef] [PubMed]
- Cárdenas-Fernández, V.; Chinchilla-Minguet, J.L.; Castillo-Rodríguez, A. Somatotype and body composition in young soccer players according to the playing position and sport success. J. Strength Cond. Res. 2019, 33, 1904–1911. [Google Scholar] [CrossRef]
- Porta, J.; Galiano, D.; Tejedo, A.; González, J.M. Valoración de la composición corporal. Utopías y realidades. In Manual de Cineantropometría; Esparza Ros, F., Ed.; Grupo Español de Cineantropometría: Madrid, Spain, 1993; pp. 113–170. [Google Scholar]
- Yuhasz, M.S. Physical Fitness Manual, 1st ed.; University of Western Ontario: London, ON, Canada, 1974. [Google Scholar]
- Bosco, C.; Luhtanen, P.; Komi, P. V A simple method for measurement of mechanical power in jumping. Eur. J. Appl. Physiol. Occup. Physiol. 1983, 50, 273–282. [Google Scholar] [CrossRef]
- Toro-Román, V.; Robles-Gil, M.C.; Muñoz, D.; Bartolomé, I.; Siquier-Coll, J.; Maynar-Mariño, M. Extracellular and Intracellular Concentrations of Molybdenum and Zinc in Soccer Players: Sex Differences. Biology 2022, 11, 1710. [Google Scholar] [CrossRef]
- Bartolomé, I.; Siquier-Coll, J.; Pérez-Quintero, M.; Robles-Gil, M.C.; Muñoz, D.; Maynar-Mariño, M. Effect of handgrip training in extreme heat on the development of handgrip maximal isometric strength among young males. Int. J. Environ. Res. Public Health 2021, 18, 5240. [Google Scholar] [CrossRef]
- Pradas, F.; Toro-Román, V.; de la Torre, A.; Moreno-Azze, A.; Gutiérrez-Betancur, J.F.; Ortega-Zayas, M.Á. Analysis of Specific Physical Fitness in High-Level Table Tennis Players-Sex Differences. Int. J. Environ. Res. Public Health 2022, 19, 5119. [Google Scholar] [CrossRef] [PubMed]
- Hopkins, W.G.; Marshall, S.W.; Batterham, A.M.; Hanin, J. Progressive statistics for studies in sports medicine and exercise science. Med. Sci. Sports Exerc. 2009, 41, 3–12. [Google Scholar] [CrossRef] [PubMed]
- Hinkle, D.E.; Wiersma, W.; Jurs, S.G. Applied Statistics for the Behavioral Sciences; Houghton Mifflin College Division: Boston, MA, USA, 2003; Volume 663, ISBN 0618124055. [Google Scholar]
- Malina, R.M. Body composition in athletes: Assessment and estimated fatness. Clin. Sports Med. 2007, 26, 37–68. [Google Scholar] [CrossRef] [PubMed]
- Santos, D.A.; Dawson, J.A.; Matias, C.N.; Rocha, P.M.; Minderico, C.S.; Allison, D.B.; Sardinha, L.B.; Silva, A.M. Reference values for body composition and anthropometric measurements in athletes. PLoS ONE 2014, 9, e97846. [Google Scholar] [CrossRef]
- Oliveira, R.; Francisco, R.; Fernandes, R.; Martins, A.; Nobari, H.; Clemente, F.M.; Brito, J.P. In-season body composition effects in professional women soccer players. Int. J. Environ. Res. Public Health 2021, 18, 12023. [Google Scholar] [CrossRef]
- Pradas, F.; De la Torre, A.; Carrasco, L.; Muñoz, D.; Courel-Ibáñez, J.; González-Jurado, J.A. Anthropometric Profiles in Table Tennis Players: Analysis of Sex, Age, and Ranking. Appl. Sci. 2021, 11, 876. [Google Scholar] [CrossRef]
- Cichy, I.; Dudkowski, A.; Kociuba, M.; Ignasiak, Z.; Sebastjan, A.; Kochan, K.; Koziel, S.; Rokita, A.; Malina, R.M. Sex differences in body composition changes after preseason training in elite handball players. Int. J. Environ. Res. Public Health 2020, 17, 3880. [Google Scholar] [CrossRef]
- Fields, J.B.; Merrigan, J.J.; White, J.B.; Jones, M.T. Seasonal and longitudinal changes in body composition by sport-position in NCAA Division I basketball athletes. Sports 2018, 6, 85. [Google Scholar] [CrossRef]
- Melvin, M.N.; Smith-Ryan, A.E.; Wingfield, H.L.; Ryan, E.D.; Trexler, E.T.; Roelofs, E.J. Muscle Characteristics and Body Composition of NCAA Division I Football Players. J. Strength Cond. Res. 2014, 28, 3320–3329. [Google Scholar] [CrossRef]
- Taketomi, S.; Kawaguchi, K.; Mizutani, Y.; Yamagami, R.; Sameshima, S.; Takei, S.; Kono, K.; Inui, H.; Tanaka, S.; Haga, N. Anthropometric and musculoskeletal gender differences in young soccer players. J. Sports Med. Phys. Fit. 2021, 61, 1212–1218. [Google Scholar] [CrossRef] [PubMed]
- Stevens, J.; Katz, E.G.; Huxley, R.R. Associations between gender, age and waist circumference. Eur. J. Clin. Nutr. 2010, 64, 6. [Google Scholar] [CrossRef]
- Shi, H.; Clegg, D.J. Sex differences in the regulation of body weight. Physiol. Behav. 2009, 97, 199–204. [Google Scholar] [CrossRef]
- Mujika, I.; Santisteban, J.; Impellizzeri, F.M.; Castagna, C. Fitness determinants of success in men’s and women’s football. J. Sports Sci. 2009, 27, 107–114. [Google Scholar] [CrossRef]
- Ramírez-Campillo, R.; Vergara-Pedreros, M.; Henríquez-Olguín, C.; Martínez-Salazar, C.; Alvarez, C.; Nakamura, F.Y.; De La Fuente, C.I.; Caniuqueo, A.; Alonso-Martinez, A.M.; Izquierdo, M. Effects of plyometric training on maximal-intensity exercise and endurance in male and female soccer players. J. Sports Sci. 2016, 34, 687–693. [Google Scholar] [CrossRef] [PubMed]
- Alegre, L.M.; Lara, A.J.; Elvira, J.L.L.; Aguado, X. Muscle morphology and jump performance: Gender and intermuscular variability. J. Sports Med. Phys. Fit. 2009, 49, 320. [Google Scholar]
- Perez-Gomez, J.; Rodriguez, G.V.; Ara, I.; Olmedillas, H.; Chavarren, J.; González-Henriquez, J.J.; Dorado, C.; Calbet, J.A.L. Role of muscle mass on sprint performance: Gender differences? Eur. J. Appl. Physiol. 2008, 102, 685–694. [Google Scholar] [CrossRef]
- Green, S. Measurement of anaerobic work capacities in humans. Sports Med. 1995, 19, 32–42. [Google Scholar] [CrossRef]
- Tahara, Y.; Moji, K.; Tsunawake, N.; Fukuda, R.; Nakayama, M.; Nakagaichi, M.; Komine, T.; Kusano, Y.; Aoyagi, K. Physique, body composition and maximum oxygen consumption of selected soccer players of Kunimi High School, Nagasaki, Japan. J. Physiol. Anthropol. 2006, 25, 291–297. [Google Scholar] [CrossRef]
- Slimani, M.; Nikolaidis, P.T. Anthropometric and physiological characteristics of male Soccer players according to their competitive level, playing position and age group: A systematic review. J. Sports Med. Phys. Fit. 2017, 59, 141–163. [Google Scholar] [CrossRef]
- Arnason, A.; Sigurdsson, S.B.; Gudmundsson, A.; Holme, I.; Engebretsen, L.; Bahr, R. Physical fitness, injuries, and team performance in soccer. Med. Sci. Sports Exerc. 2004, 36, 278–285. [Google Scholar] [CrossRef]
- Clark, J.R. Positional assessment and physical fitness characteristics of male professional soccer players in South Africa science. Afr. J. Phys. Health Educ. Recreat. Danc. 2007, 13, 453–464. [Google Scholar]
- Harry, J.R.; Barker, L.A.; James, R.; Dufek, J.S. Performance differences among skilled soccer players of different playing positions during vertical jumping and landing. J. Strength Cond. Res. 2018, 32, 304–312. [Google Scholar] [CrossRef]
- Al’Hazzaa, H.M.; Almuzaini, K.S.; Al-Refaee, S.A.; Sulaiman, M.A. Aerobic and anaerobic power characteristics of Saudi elite soccer players. J. Sports Med. Phys. Fit. 2001, 41, 54. [Google Scholar]
- Radzimiński, Ł.; Szwarc, A.; Padrón-Cabo, A.; Jastrzębski, Z. Correlations between body composition, aerobic capacity, speed and distance covered among professional soccer players during official matches. J. Sports Med. Phys. Fit. 2019, 60, 257–262. [Google Scholar] [CrossRef]
- McFadden, B.A.; Walker, A.J.; Arent, M.A.; Bozzini, B.N.; Sanders, D.J.; Cintineo, H.P.; Bello, M.L.; Arent, S.M. Biomarkers correlate with body composition and performance changes throughout the season in women’s Division I collegiate soccer players. Front. Sports Act. Living 2020, 2, 74. [Google Scholar] [CrossRef]


| Men Soccer Players | Women Soccer Players | ||
|---|---|---|---|
| n | 26 | 24 | |
| Playing position (n) | GK + DF | 10 | 10 |
| M | 10 | 7 | |
| F | 6 | 7 | |
| Age (years) | 20.62 ± 2.66 | 23.21 ± 4.11 | |
| Experience (years) | 14.73 ± 3.13 | 14.51 ± 4.94 |
| Men Soccer Players | Women Soccer Players | Sex Effect | Position Effect | Sex × Position | ||
|---|---|---|---|---|---|---|
| Stretch stature (m) | GK + DF | 1.76 ± 0.06 | 1.62 ± 0.05 | <0.001 ^ | 0.701 | 0.494 ′ |
| M | 1.75 ± 0.04 | 1.66 ± 0.07 | ||||
| F | 1.76 ± 0.06 | 1.67 ± 0.06 | ||||
| Body mass (kg) | GK + DF | 73.35 ± 6.87 | 58.55 ± 6.49 | <0.001 ^ | 0.551 ′ | 0.399 ′ |
| M | 68.92 ± 4.37 | 59.02 ± 7.62 | ||||
| F | 71.00 ± 4.95 | 61.88 ± 8.46 | ||||
| Σ6 skinfold (mm) | GK + DF | 57.65 ± 12.27 | 96.50 ± 19.91 | <0.001 ^ | 0.642 ′ | 0.308 ′ |
| M | 56.74 ± 11.44 | 94.50 ± 18.23 | ||||
| F | 60.36 ± 10.52 | 92.14 ± 19.49 | ||||
| Fat (%) | GK + DF | 9.23 ± 1.19 | 18.36 ± 2.84 | <0.001 ^ | 0.830 | 0.457 |
| M | 9.14 ± 1.10 | 18.07 ± 2.60 | ||||
| F | 10.46 ± 1.01 * | 19.73 ± 2.78 * | ||||
| Fat (kg) | GK + DF | 6.78 ± 1.17 | 10.74 ± 1.99 | <0.001 ^ | 0.870 | 0.938 |
| M | 6.31 ± 0.92 | 10.77 ± 2.77 | ||||
| F | 7.42 ± 0.79 | 11.00 ± 2.44 | ||||
| Muscle (%) | GK + DF | 50.87 ± 1.37 | 45.87 ± 3.31 | <0.001 ^ | 0.625 ′ | 0.812 |
| M | 50.63 ± 1.25 | 45.60 ± 2.32 | ||||
| F | 51.45 ± 3.13 | 45.82 ± 3.65 | ||||
| Muscle (kg) | GK + DF | 37.34 ± 4.09 | 26.90 ± 3.84 | <0.001 ^ | 0.479 ^ | 0.565 ′ |
| M | 34.91 ± 2.57 | 26.86 ± 3.24 | ||||
| F | 36.53 ± 3.55 | 28.37 ± 4.85 |
| Men Soccer Players | Women Soccer Players | Sex Effect | Position Effect | Sex × Position | ||
|---|---|---|---|---|---|---|
| SJ (cm) | GK + DF | 54.38 ± 5.81 | 35.55 ± 6.29 | <0.001 ^ | 0.370 ′ | 0.499 |
| M | 47.88 ± 5.94 | 35.12 ± 9.66 | ||||
| F | 52.70 ± 6.32 | 36.70 ± 3.63 | ||||
| SJ (s) | GK + DF | 0.666 ± 0.036 | 0.539 ± 0.048 | <0.001 ^ | 0.355 ′ | 0.643 |
| M | 0.622 ± 0.039 | 0.531 ± 0.07 | ||||
| F | 0.655 ± 0.038 | 0.546 ± 0.026 | ||||
| CMJ (cm) | GK + DF | 57.92 ± 7.37 | 40.00 ± 6.32 | <0.001 ^ | 0.398 ′ | 0.873 |
| M | 53.78 ± 5.05 | 38.46 ± 7.49 | ||||
| F | 60.36 ± 6.63 | 41.67 ± 8.19 | ||||
| CMJ (s) | GK + DF | 0.686 ± 0.044 | 0.569 ± 0.046 | <0.001 ^ | 0.461 | 0.998 |
| M | 0.668 ± 0.030 | 0.551 ± 0.091 | ||||
| F | 0.701 ± 0.038 | 0.581 ± 0.055 | ||||
| Dominant hand grip (kg) | GK + DF | 46.90 ± 5.45 | 28.25 ± 2.96 | <0.001 ^ | 0.092 ^ | 0.069 ^ |
| M | 41.78 ± 4.72 | 25.60 ± 2.70 | ||||
| F | 41.33 ± 5.68 | 34.50 ± 7.85 | ||||
| Isometric strength lower limbs (kg) | GK + DF | 145.78 ± 34.71 | 86.31 ± 22.49 | <0.001 ^ | 0.447 ′ | 0.297 ^ |
| M | 127.28 ± 16.06 | 98.50 ± 22.59 | ||||
| F | 149.16 ± 12.58 | 106.62 ± 25.14 | ||||
| VO2max (L/min) | GK + DF | 3.70 ± 0.29 | 2.36 ± 0.35 | <0.001 ^ | 0.620 | 0.787 |
| M | 3.48 ± 0.18 | 2.29 ± 0.30 | ||||
| F | 3.67 ± 0.49 | 2.25 ± 0.68 | ||||
| VO2max (mL/kg/min) | GK + DF | 51.07 ± 3.70 | 39.47 ± 6.05 | <0.001 ^ | 0.570 | 0.963 |
| M | 53.38 ± 1.79 | 41.30 ± 5.51 | ||||
| F | 50.90 ± 3.26 | 40.17 ± 8.92 | ||||
| Time (min) | GK + DF | 12.42 ± 2.20 | 8.75 ± 1.00 | <0.001 ^ | 0.472 ′ | 0.210 ^ |
| M | 12.78 ± 1.52 | 9.79 ± 1.26 | ||||
| F | 11.33 ± 0.57 | 10.12 ± 1.10 | ||||
| Speedmax (km/h) | GK + DF | 19.42 ± 2.57 | 15.50 ± 1.19 | <0.001 ^ | 0.821 | 0.379 ′ |
| M | 18.16 ± 1.27 | 16.20 ± 1.30 | ||||
| F | 18.33 ± 0.57 | 16.50 ± 1.29 |
| Stretch Stature (m) | Body Mass (kg) | Σ6 Skinfold (mm) | Fat (%) | Fat (Kg) | Muscle (%) | Muscle (Kg) | ||
|---|---|---|---|---|---|---|---|---|
| SJ (cm) | r | 0.631 | 0.677 | −0.572 | −0.711 | −0.516 | 0.695 | 0.726 |
| p | <0.001 | <0.001 | <0.001 | <0.001 | <0.001 | <0.001 | <0.001 | |
| SJ (s) | r | 0.622 | 0.667 | −0.574 | −0.708 | −0.516 | 0.695 | 0.726 |
| p | <0.001 | <0.001 | <0.001 | <0.001 | <0.001 | <0.001 | <0.001 | |
| CMJ (cm) | r | 0.599 | 0.637 | −0.583 | −0.713 | −0.520 | 0.648 | 0.718 |
| p | <0.001 | <0.001 | <0.001 | <0.001 | <0.001 | <0.001 | <0.001 | |
| CMJ (s) | r | 0.592 | 0.635 | −0.596 | −0.718 | −0.525 | 0.654 | 0.757 |
| p | <0.001 | <0.001 | <0.001 | <0.001 | <0.001 | <0.001 | <0.001 | |
| Dominant hand grip (kg) | r | 0.660 | 0.734 | −0.528 | −0.671 | −0.440 | 0.556 | 0.757 |
| p | <0.001 | <0.001 | <0.001 | <0.001 | <0.001 | <0.001 | <0.001 | |
| Isometric strength lower limbs (kg) | r | 0.691 | 0.748 | −0.524 | −0.630 | −0.397 | 0.529 | 0.794 |
| p | <0.001 | <0.001 | <0.001 | <0.001 | <0.001 | <0.001 | <0.001 | |
| VO2max (L/min) | r | 0.672 | 0.732 | −0.667 | −0.667 | −0.631 | 0.791 | 0.718 |
| p | <0.001 | <0.001 | <0.001 | <0.001 | <0.001 | <0.001 | <0.001 | |
| VO2max (mL/kg/min) | r | 0.521 | 0.593 | −0.691 | −0.767 | −0.631 | 0.728 | 0.693 |
| p | <0.001 | <0.001 | <0.001 | <0.001 | <0.001 | <0.001 | <0.001 | |
| Time (min) | r | 0.541 | 0.573 | −0.691 | −0.735 | −0.617 | 0.641 | 0.654 |
| p | <0.001 | <0.001 | <0.001 | <0.001 | <0.001 | <0.001 | <0.001 | |
| Speedmax (km/h) | r | 0.552 | 0.581 | −0.659 | −0.759 | −0.595 | 0.633 | 0.660 |
| p | <0.001 | <0.001 | <0.001 | <0.001 | <0.001 | <0.001 | <0.001 |
| Body Mass (kg) | Stretch Stature (m) | Σ6 Skinfold (mm) | Fat (%) | Fat (Kg) | Muscle (%) | Muscle (Kg) | ||
|---|---|---|---|---|---|---|---|---|
| SJ (cm) | r | 0.360 | 0.360 | −0.139 | −0.145 | −0.296 | −0.051 | 0.297 |
| p | 0.109 | 0.106 | 0.547 | 0.500 | 0.193 | 0.826 | 0.191 | |
| SJ (s) | r | 0.357 | 0.360 | −0.146 | −0.167 | 0.295 | 0.054 | 0.294 |
| p | 0.112 | 0.180 | 0.521 | 0.421 | 0.196 | 0.818 | 0.196 | |
| CMJ (cm) | r | −0.007 | 0.095 | 0.069 | 0.069 | 0.038 | 0.163 | 0.050 |
| p | 0.977 | 0.684 | 0.765 | 0.766 | 0.871 | 0.481 | 0.830 | |
| CMJ (s) | r | −0.052 | 0.090 | 0.006 | 0.006 | −0.032 | 0.183 | 0.017 |
| p | 0.822 | 0.699 | 0.978 | 0.979 | 0.889 | 0.427 | 0.941 | |
| Dominant hand grip (kg) | r | 0.347 | 0.158 | −0.021 | −0.021 | 0.191 | 0.149 | 0.357 |
| p | 0.105 | 0.470 | 0.924 | 0.923 | 0.382 | 0.498 | 0.095 | |
| Isometric strength lower limbs (kg) | r | 0.261 | 0.290 | 0.049 | 0.050 | 0.284 | −0.061 | 0.374 |
| p | 0.223 | 0.169 | 0.819 | 0.818 | 0.179 | 0.779 | 0.072 | |
| VO2max (L/min) | r | 0.609 | 0.558 | −0.076 | −0.076 | 0.246 | 0.269 | 0.605 |
| p | 0.002 | 0.005 | 0.726 | 0.725 | 0.246 | 0.204 | 0.002 | |
| VO2max (mL/kg/min) | r | −0.145 | 0.060 | −0.256 | −0.256 | −0.279 | 0.093 | −0.097 |
| p | 0.500 | 0.780 | 0.228 | 0.228 | 0.187 | 0.666 | 0.652 | |
| Time (min) | r | 0.107 | 0.102 | −0.430 | −0.431 | −0.282 | 0.225 | 0.164 |
| p | 0.620 | 0.635 | 0.036 | 0.036 | 0.181 | 0.291 | 0.443 | |
| Speedmax (km/h) | r | 0.168 | 0.176 | −0.381 | −0.392 | −0.202 | 0.264 | 0.229 |
| p | 0.431 | 0.410 | 0.043 | 0.041 | 0.344 | 0.212 | 0.281 |
| Body Mass (kg) | Stretch Stature (m) | Σ6 Skinfold (mm) | Fat (%) | Fat (Kg) | Muscle (%) | Muscle (kg) | ||
|---|---|---|---|---|---|---|---|---|
| SJ (cm) | r | 0.304 | 0.105 | −0.180 | −0.175 | 0.063 | 0.294 | 0.378 |
| p | 0.158 | 0.632 | 0.412 | 0.431 | 0.774 | 0.173 | 0.075 | |
| SJ (s) | r | 0.281 | 0.107 | −0.185 | −0.190 | 0.046 | 0.290 | 0.357 |
| p | 0.194 | 0.626 | 0.399 | 0.381 | 0.835 | 0.179 | 0.094 | |
| CMJ (cm) | r | 0.139 | 0.217 | −0.158 | −0.143 | 0.164 | 0.298 | 0.493 |
| p | 0.306 | 0.320 | 0.471 | 0.501 | 0.454 | 0.167 | 0.017 | |
| CMJ (s) | r | 0.217 | 0.190 | −0.156 | −0.150 | 0.162 | 0.299 | 0.485 |
| p | 0.320 | 0.384 | 0.477 | 0.489 | 0.460 | 0.166 | 0.019 | |
| Dominant hand grip (kg) | r | 0.606 | 0.520 | 0.228 | 0.211 | 0.526 | −0.152 | 0.434 |
| p | 0.002 | 0.009 | 0.284 | 0.231 | 0.008 | 0.479 | 0.034 | |
| Isometric strength lower limbs (kg) | r | 0.643 | 0.620 | −0.109 | −0.108 | 0.278 | 0.152 | 0.628 |
| p | 0.001 | 0.001 | 0.614 | 0.613 | 0.189 | 0.477 | 0.001 | |
| VO2max (L/min) | r | 0.165 | −0.082 | 0.110 | 0.105 | 0.141 | 0.125 | 0.220 |
| p | 0.527 | 0.754 | 0.674 | 0.712 | 0.588 | 0.631 | 0.397 | |
| VO2max (mL/kg/min) | r | 0.362 | −0.025 | −0.202 | −0.201 | 0.078 | 0.458 | 0.405 |
| p | 0.153 | 0.925 | 0.438 | 0.439 | 0.765 | 0.064 | 0.089 | |
| Time (min) | r | 0.261 | 0.151 | −0.158 | −0.120 | 0.062 | 0.227 | 0.316 |
| p | 0.312 | 0.563 | 0.545 | 0.654 | 0.814 | 0.381 | 0.217 | |
| SpeedMax (km/h) | r | 0.216 | 0.089 | −0.064 | −0.012 | 0.097 | 0.149 | 0.249 |
| p | 0.406 | 0.734 | 0.806 | 0.951 | 0.712 | 0.568 | 0.335 |
Disclaimer/Publisher’s Note: The statements, opinions and data contained in all publications are solely those of the individual author(s) and contributor(s) and not of MDPI and/or the editor(s). MDPI and/or the editor(s) disclaim responsibility for any injury to people or property resulting from any ideas, methods, instructions or products referred to in the content. |
© 2023 by the authors. Licensee MDPI, Basel, Switzerland. This article is an open access article distributed under the terms and conditions of the Creative Commons Attribution (CC BY) license (https://creativecommons.org/licenses/by/4.0/).
Share and Cite
Toro-Román, V.; Grijota, F.J.; Muñoz, D.; Maynar-Mariño, M.; Clemente-Gil, S.; Robles-Gil, M.C. Anthropometry, Body Composition, and Physical Fitness in Semi-Professional Soccer Players: Differences between Sexes and Playing Position. Appl. Sci. 2023, 13, 1249. https://doi.org/10.3390/app13031249
Toro-Román V, Grijota FJ, Muñoz D, Maynar-Mariño M, Clemente-Gil S, Robles-Gil MC. Anthropometry, Body Composition, and Physical Fitness in Semi-Professional Soccer Players: Differences between Sexes and Playing Position. Applied Sciences. 2023; 13(3):1249. https://doi.org/10.3390/app13031249
Chicago/Turabian StyleToro-Román, Víctor, Francisco J. Grijota, Diego Muñoz, Marcos Maynar-Mariño, Sara Clemente-Gil, and María C. Robles-Gil. 2023. "Anthropometry, Body Composition, and Physical Fitness in Semi-Professional Soccer Players: Differences between Sexes and Playing Position" Applied Sciences 13, no. 3: 1249. https://doi.org/10.3390/app13031249
APA StyleToro-Román, V., Grijota, F. J., Muñoz, D., Maynar-Mariño, M., Clemente-Gil, S., & Robles-Gil, M. C. (2023). Anthropometry, Body Composition, and Physical Fitness in Semi-Professional Soccer Players: Differences between Sexes and Playing Position. Applied Sciences, 13(3), 1249. https://doi.org/10.3390/app13031249

