Experiments on the Coal Measures Sandstone’s Dynamic Mechanical Parameter Characteristics under the Combined Action of Temperature and Dynamic Load
Abstract
:1. Introduction
2. Test Method
2.1. Experimental System
2.2. Test Preparation
2.3. Phase Change Characteristics of fine Sandstone
3. Experimental Results
3.1. Dynamic Mechanical Characteristics of Fine Sandstone at Different Temperatures
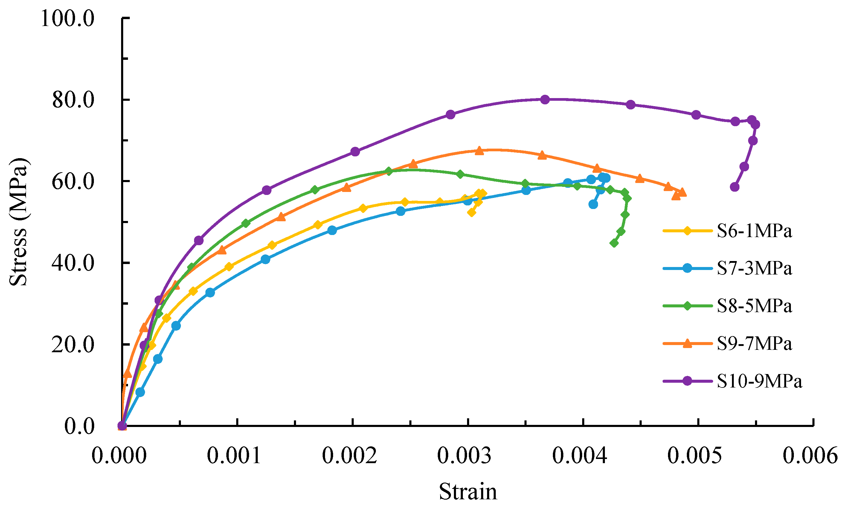
3.2. Dynamic Mechanical Characteristics of Fine Sandstone under Different Axial Static Load
3.3. Dynamic Mechanical Characteristics of Fine Sandstone under Different Strain Rates
4. Discussion
4.1. Characteristics of Surface Strain Field of Fine Sandstone during Impact Process
4.2. Constitutive Relation
- (1)
- The Nishihara model was used to reflect the elastic–viscoelastic–viscoplastic deformation characteristics of fine sandstone, which is expressed as a composite structure composed of three elements (viscosity mass and damaged body), and its stress process is shown in Figure 10.
- (2)
- Micro-elements exhibit linear elastic change in the stress–strain relationship, follow the generalized Hooke’s law prior to failure, and have the macroscopic isotropic damage characteristics.
- (3)
- The micro-element strength parameters obey Weibull probability statistical distribution, and its distribution pattern conforms to the following equation [37,38]:where formula: F is the distribution variable of fine sandstone strength, and m and F0 are constants to characterize the materials mechanical properties.
- (4)
- In the formula: η is the viscosity parameter of the viscous cylinder.
- (5)
- In the constitutive relation modeling, the influence of inertia effect is ignored [41].
5. Conclusions
- (1)
- The increase in temperature and axial static load leads to an increase in the dynamic peak stress of coal bearing fine sandstone. When the temperature changes from 18 degrees to 100 °C, the dynamic peak stress increases by 103.7%. When the axial static load changes from 1 MPA to 9 MPa, the dynamic peak stress increases by 39.7%. Within the temperature range studied in this article (18–100 °C), the dynamic peak stress and peak strain of fine sandstone are positively correlated with strain rate or bullet incidence velocity. At a temperature of 18 °C, when the strain rate changes from 53.1 s−1 to 137.4 s−1, the dynamic peak stress increases by 215.6%. When the temperature is 40 °C and the strain rate changes from 47.1 s−1 to 107.5 s−1, the dynamic peak stress increases by 60.3%. When the temperature is 60 °C and the strain rate changes from 53.1 s−1 to 140.9 s−1, the dynamic peak stress increases by 117.6%. When the temperature is 80 °C and the strain rate changes from 49.1 s−1 to 87.9 s−1, the dynamic peak stress increases by 46.3%. When the temperature is 100 °C and the strain rate changes from 50.2 s−1 to 114.4 s−1, the dynamic peak stress increases by 55.6%.
- (2)
- The influence of external experimental parameters on the dynamic mechanical properties of fine sandstone was analyzed, and it was found that the dynamic stress, strain, temperature, axial static load, strain rate, or bullet incidence velocity of fine sandstone exhibit a polynomial relationship, with a determination coefficient greater than 0.9.
- (3)
- The main components of this group of fine sandstone are quartz, sodium feldspar, muscovite, and kaolinite. The continuous effect of temperature causes free water to precipitate from muscovite and kaolinite, increasing the friction force between fine sandstone particles and improving their macroscopic bearing capacity.
- (4)
- Based on Terzaghi’s effective stress principle, rock mechanics strength theory, and statistical damage theory, a dynamic stress constitutive model of fine sandstone under a one-dimensional stress state was established. The values of model parameters were theoretically determined, and the model was validated through dynamic stress change curves of fine sandstone at different temperatures.
Author Contributions
Funding
Institutional Review Board Statement
Informed Consent Statement
Data Availability Statement
Conflicts of Interest
References
- He, M.C.; Xie, H.P.; Peng, S.P.; Jiang, Y.D. Study on rock mechanics in deep mining engineering. Chin. J. Rock Mech. Eng. 2005, 24, 2803–2813. [Google Scholar]
- Qian, Q.H. The Characteristic Scientific Phenomena of engineering response to deep rock mass and the implication of deepness. J. East China Inst. Technol. 2004, 27, 1–5. [Google Scholar]
- Chen, C.X.; Liu, J.; Ye, S.G. Study and application on ground temperature measurement methods: Taking Huainan Mining Area as an example. Coal Sci. Technol. 2020, 48, 157–163. [Google Scholar]
- Xin, L.T.; Yan, C.X. Mechanical properties of sandstone under impact compression and unloading. Yantu GongCheng XueBao 1987, 9, 57–66. [Google Scholar]
- Liu, S.; Xu, J.Y.; Bai, E.L.; Zhi, L.P.; Chen, T.F. Experimental study of dynamic tensile behaviors of marble after high temperature. Rock Soil Mech. 2013, 34, 3500–3504. [Google Scholar]
- Liu, S.; Xu, J.Y. Study on dynamic characteristics of marble under impact loading and high temperature. Int. J. Rock Mech. Min. Sci. 2013, 62, 51–58. [Google Scholar] [CrossRef]
- Liu, S. Experimental research on mechanical behaviors of marble after high temperatures subjected to impact loading. Chin. J. Rock Mech. Eng. 2013, 32, 273–280. [Google Scholar]
- Xu, J.X.; Liu, S. Effect of impact velocity on dynamic mechanical behaviors of marble after high temperatures. Chin. J. Geotech. Eng. 2013, 35, 879–883. [Google Scholar]
- Tu-bing, Y.I.N.; Xi-bing, L.I.; Bin, W.A.N.G.; Zhi-qiang, Y.I.N.; Jie-fang, J.I.N. Mechanical properties of sandstones after high temperature under dynamic loading. Chin. J. Geotech. Eng. 2011, 33, 777–784. [Google Scholar]
- Yin, T.B.; Li, X.B.; Yin, Z.Q.; Zhou, Z.L.; Liu, X.L. Study and comparison of mechanical properties of sandstone under static and dynamic loadings after high temperature. Chin. J. Rock Mech. Eng. 2012, 31, 273–279. [Google Scholar]
- Yin, T.B. Energy dissipation of rock fracture under thermomechanical coupling and dynamic disturbances. Chin. J. Rock Mech. Eng. 2013, 32, 1197–1202. [Google Scholar]
- Li, M.; Mao, X.B.; Cao, L.L.; Mao, R.R.; Tao, J. Experimental study of mechanical properties on strain rate effect of sandstones after high temperature. Rock Soil Mech. 2014, 35, 3479–3488. [Google Scholar]
- Lu, Z.T.; Wang, Z.L. Dynamic properties of granite subjected to coupling action of impact loading with actual temperature. J. Harbin Inst. Technol. 2016, 48, 143–149. [Google Scholar]
- Wong, L.N.Y.; Li, Z.H.; Kang, H.M. Dynamic loading of carrara marble in a heated state. Rock Mech. Rock Eng. 2017, 50, 1487–1505. [Google Scholar] [CrossRef]
- Wang, Z.L.; Shi, H.; Wang, J.G. Mechanical behavior and damage constitutive model of granite under coupling of temperature and dynamic loading. Rock Mech. Rock Eng. 2018, 51, 3045–3059. [Google Scholar] [CrossRef]
- Ping, Q.; Wu, M.J.; Yuan, P.; Zhang, H. Experimental study on dynamic mechanical properties of high temperature sandstone under impact loads. Chin. J. Rock Mech. Eng. 2019, 38, 782–792. [Google Scholar]
- Heng, S.H.I.; Zhi-liang, W.A.N.G.; Gao-yang, S.H.I.; Shi-yun, H.A.O. Experimental and numerical studies on dynamic compression failure characteristics of granite under real-time temperatures. Chin. J. Geotech. Eng. 2019, 41, 836–845. [Google Scholar]
- Zhang, R.R. Study on Dynamic Mechanical Properties and Constitutive Model of Deep Rock under Hydrothermal Coupling; AnHui University of Science & Technology: Huainan, China, 2019. [Google Scholar]
- Zou, B.P.; Luo, Z.Y.; Xu, F.J.; Ding, H.N.; Tao, Z.G.; He, M.C. Experimental study on impact dynamic characteristics of deep sandstone under thermal-hydraulic-mechanical coupling conditions. Chin. J. Rock Mech. Eng. 2020, 39, 1750–1761. [Google Scholar]
- An, H.; Zeng, T.; Zhang, Z.; Liu, L. Experimental study of the rock mechanism under coupled high temperatures and dynamic loads. Adv. Civ. Eng. 2020, 2020, 8866621. [Google Scholar] [CrossRef]
- Li, X.; Li, B.; Li, X.; Yin, T.; Wang, Y.; Dang, W. Thermal shock effects on the mechanical behavior of granite exposed to dynamic loading. Arch. Civ. Mech. Eng. 2020, 20, 66. [Google Scholar] [CrossRef]
- Zhao, Z.R. Study on the Physico-Mechanical Properties and Temperature Field Evolution of Granite under Different Heating-Cooling Treatments; TaiYuan University of Technology: Taiyuan, China, 2021. [Google Scholar]
- Qi, H.Y.; Liu, L.; Meng, X.; Li, R.; Zhang, H.; Wang, Y.; Liu, Y.; Dong, L. Study on the static and dynamic characteristics of marble at different temperatures. Ind. Miner. Process. 2021, 6, 25–30. [Google Scholar]
- Li, B.J.; Li, X.; Wang, Y.; Yin, T.; Li, X.B. Effect of thermal Shock on the dynamic tensile mechanical behavior of granite. Gold Sci. Technol. 2021, 29, 545–554. [Google Scholar]
- Zhou, S.Q.; Wang, R.; Tian, N.C.; Li, D.W. Research on dynamic mechanical properties of heat-treated granite under impact loading. Gold Sci. Technol. 2022, 30, 222–232. [Google Scholar]
- Zhang, J.Z. Study on Direct Tensile Mechanical Properties and Fracture Energy Consumption Mechanism of Thermally Damaged Coal Measures Sandstone under Impact Load; China University of Ming and Technology: Xuzhou, China, 2022. [Google Scholar]
- Zhu, Y.L.; Yu, J.; Fu, X.Q.; Ren, C.H.; Yao, W.; Liu, X.Y. A novel dynamic constitutive model after temperature damage for rock. J. Yangtze River Sci. Res. Inst. 2022, 39, 102–109. [Google Scholar]
- Yao, W.; Chen, P.Y.; Ge, J.J.; Lu, L.G.; Gu, K.K.; Xu, Y. Effect of temperature and water content on static mechanical properties of sandstone. Eng. Blasting 2022, 28, 33–43. [Google Scholar]
- Yao, W.; Xu, Y.; Wang, W.; Kanopolous, P. Dependence of dynamic tensile strength of longyou sandstone on heat-treatment temperature and loading rate. Rock Mech. Rock Eng. 2016, 49, 3899–3915. [Google Scholar] [CrossRef]
- Yang, S.; Wang, J.; Zhang, Z.; Ning, J.; Sun, G. Experimental investigation on multiscale fracturing in thermally treated sandstone under SHPB impact loading. Shock. Vib. 2021, 3211674. [Google Scholar] [CrossRef]
- Gao, W.; Zhu, Z.; Ying, P.; Li, Y.; Qiu, H.; Wang, M.; Zhou, L. Study on dynamic fracture properties of sandstone under the effect of high-temperature using large-scale sample. Theor. Appl. Fract. Mech. 2022, 121, 103550. [Google Scholar] [CrossRef]
- Yin, Q.; Liu, R.; Jing, H.; Su, H.; Yu, L.; He, L. Experimental study of nonlinear flow behaviors through fractured rock samples after high temperature exposure. Rock Mech. Rock Eng. 2019, 52, 2963–2983. [Google Scholar] [CrossRef]
- Xie, H.; Zhu, J.; Zhou, T.; Zhang, K.; Zhou, C. Conceptualization and preliminary study of engineering disturbed rock dynamics. Geomech. Geophys. Geo-Energ. Geo-Resour. 2020, 34, 1–14. [Google Scholar] [CrossRef]
- Yang, W.W.; Chen, Q.L.; Lu, H. Dynamic characteristics of sandstone after heating at different temperatures in the coal fire area: An experimental study. J. Harbin Eng. Univ. 2023, 44, 572–579. [Google Scholar]
- Akdag, S.; Karakus, M.; Nguyen, G.D.; Taheri, A.; Zhang, Q.B.; Zhao, J. Dynamic response and fracture characteristics of thermally-treated granite under dynamic loading. Int. J. Rock Mech. Min. Sci. 2023, 170, 105482. [Google Scholar] [CrossRef]
- Zhao, E.; Wang, E.; Zang, Z.; Feng, X.; Shen, R. Dynamic mechanical characteristics of impact rock under the combined action of different constant temperatures and static and dynamic loads. Shock. Vib. 2021, 2021, 8484391. [Google Scholar] [CrossRef]
- Wang, H.B.; Gao, Q.; Zong, Q.; Cu, Y.F. Research on dynamic mechanical properties of hard coal under impact load. J. Min. Saf. Eng. 2019, 36, 344–350. [Google Scholar]
- Hu, Q.Z.; Feng, X.T.; Zhou, H. Study of creep model of rock salt with thermal damage considered. Rock Soil Mech. 2009, 30, 2245–2249. [Google Scholar]
- Zhou, G.Q.; Liu, X.M. Viscoelastic Theory; University of Chinese Science and Technology Press: Hefei, China, 1996. [Google Scholar]
- Jaeger, J.C.; Cook, N.G.W. Fundamentals of Rock Mechanics, 3rd ed.; Chapman and Hall: London, UK, 1979. [Google Scholar]
- Li, X.B.; Gu, D.S. Dynamic Behaviors of Rock; Central South University Press: Changsha, China, 1994. [Google Scholar]
- Yu, T.Q.; Qian, J.C. Damage Theory and Its Application; National Defence Industry Press: Beijing, China, 1993. [Google Scholar]
- Krajcinovic, D.; Silva, M.A.G. Statistical aspects of the continuous damage theory. Int. J. Solids Struct. 1982, 18, 551–562. [Google Scholar] [CrossRef]
- Liu, Q.S.; Xu, X.C. Damage analysis of brittle rock at high temperature. Chin. J. Rock Mech. Eng. 2000, 19, 408–411. [Google Scholar]
- Zhang, H.M.; Lei, L.N.; Yang, G.S. Damage model of rock under temperature and load. Chin. J. Rock Mech. Eng. 2014, 33, 3391–3397. [Google Scholar]
- Li, X.B.; Zuo, Y.J.; Ma, C.D. Constitutive model of rock under coupled static-dynamic loading with intermediate strain rate. Chin. J. Rock Mech. Eng. 2006, 25, 865–874. [Google Scholar]












| Sources | Rock Type | Temperature | Strain-Rate Regimes (s−1) | Loading Rate (m/s) | Peak Incident Stress (MPa) | Chamber Pressure (MPa) |
|---|---|---|---|---|---|---|
| Yin, T.B.; Li, X.B.; Wang, Z.Q.; Jin, J.F. (2011) [9] | Sandstone | 25, 200, 400, 600, 800 °C | 79.05–100.26 | - | - | - |
| Liu, S.; Xu, J.Y. (2013) [6] | Marble | 25, 200, 400, 600, 800, 1000 °C | - | 3, 5, 7, 11, 12, 13, 14, 15 | - | - |
| Xu, J.Y.; Liu, S. (2013) [8] | Marble | 25, 200, 400, 600, 800, 1000 °C | - | 11, 12, 13, 14, 15 | - | - |
| Li, M.; Mao, X.B.; Cao, L.L.; Mao, R.R.; Tao, J. (2014) [12] | Sandstone | Room temperature, 800 °C | 14.17–107.02 | 9.54–22.30 | - | - |
| Wong, L.N.Y.; Li, Z.H.; Kang, H.M. (2017) [14] | Carrara marble | 250, 500, 750 °C | 100–102 | - | - | - |
| Shi, H.; Wang, Z.L.; Shi, G.Y.; Hao, S.Y. (2019) [17] | Granite | 20, 100, 200 °C | - | - | 160, 180, 205, 250, 300 | - |
| Ping, Q.; Wu, M.J.; Yuan, P.; Zhang, H. (2019) [16] | Sandstone | 25, 200, 400, 600, 800, 1000 °C | - | 4.5, 5.5, 6.5, 7.5, 8.5, 9.5 | - | - |
| Li, X.; Li, B.; Li, X.; Yin, T.; Wang, Y.; Dang, W. (2020) [21] | Granite | 200, 400, 600 °C | 60–220 | - | - | - |
| Qi, H.Y.; Liu, L.; Meng, X.; Li, R.; Zhang, H.; Wang, Y.; Liu, Y.; Dong, L. (2021) [23] | Marble | 25, 100, 200, 400, 600, 800 °C | 95.12–236.73 | 10, 12, 14 | - | - |
| Zhou, S.Q.; Wang, R.; Tian, N.C.; Li, D.W. (2022) [25] | Granite | 25, 100, 200, 300, 400, 500, 600, 700, 800 °C | 101–102 | 8.1, 12.5, 16.8 | - | - |
| Yao, W.; Chen, P.Y.; Ge, J.J.; Lu, L.G.; Gu, K.K.; Xu, Y. (2022) [28] | Sandstone | 20, −20, −30 °C | - | - | - | 0.6 |
| Akdag, S.; Karakus, M.; Nguyen, G.D.; Taheri, A.; Zhang, Q.B.; Zhao, J. (2023) [35] | Granite | 25, 100, 175, 250 °C | - | 2, 3, 5, 7, 8 | - | - |
| Sampe No. | Air Chamber Pressure/MPa | Axial Static Load/MPa | Temperature /°C | Density /g/cm3 | Bullet Incidence Velocity/m/s |
|---|---|---|---|---|---|
| S6 | 0.07 | 1.0 | 40 | 2.36 | 1.98 |
| S7 | 0.07 | 3.0 | 40 | 2.41 | 1.86 |
| S8 | 0.07 | 5.0 | 40 | 2.40 | 2.02 |
| S9 | 0.07 | 7.0 | 40 | 2.39 | 2.02 |
| S10 | 0.07 | 9.0 | 40 | 2.34 | 2.05 |
| Sampe No. | Air Chamber Pressure/MPa | Axial Static Load/MPa | Temperature /°C | Density /g/cm3 | Bullet Incidence Velocity/m/s | Srain Rate/s−1 |
|---|---|---|---|---|---|---|
| S11 | 0.06 | 3.0 | 18 | 2.31 | 1.31 | 53.1 |
| S12 | 0.07 | 2.40 | 2.79 | 101.5 | ||
| S13 | 0.07 | 2.42 | 3.28 | 118.1 | ||
| S14 | 0.07 | 2.37 | 4.97 | 137.7 | ||
| S15 | 0.06 | 3.0 | 40 | 2.38 | 1.02 | 47.1 |
| S16 | 0.07 | 2.35 | 1.98 | 72.7 | ||
| S17 | 0.07 | 2.43 | 2.96 | 107.5 | ||
| S18 | 0.06 | 3.0 | 60 | 2.42 | 1.31 | 53.1 |
| S19 | 0.06 | 2.32 | 1.72 | 64.5 | ||
| S20 | 0.07 | 2.30 | 3.27 | 117.6 | ||
| S21 | 0.07 | 2.31 | 4.58 | 140.9 | ||
| S22 | 0.06 | 3.0 | 80 | 2.43 | 1.12 | 49.1 |
| S23 | 0.06 | 2.41 | 1.67 | 62.8 | ||
| S24 | 0.07 | 2.38 | 2.08 | 76.3 | ||
| S25 | 0.07 | 2.36 | 2.41 | 87.9 | ||
| S26 | 0.06 | 3.0 | 100 | 2.35 | 1.18 | 50.2 |
| S27 | 0.06 | 2.38 | 1.68 | 63.3 | ||
| S28 | 0.07 | 2.41 | 2.10 | 77.1 | ||
| S29 | 0.07 | 2.40 | 3.17 | 114.4 |
| Temperature/°C | E1/GPa | E2/GPa | F0 | m |
|---|---|---|---|---|
| 18 | 9.12 | 17.43 | 85.33 | 1.0 |
| 40 | 9.57 | 15.95 | 74.25 | 2.0 |
| 60 | 9.86 | 19.87 | 67.89 | 1.0 |
| 80 | 9.41 | 26.77 | 82.46 | 1.2 |
| 100 | 9.24 | 24.12 | 143.60 | 1.2 |
Disclaimer/Publisher’s Note: The statements, opinions and data contained in all publications are solely those of the individual author(s) and contributor(s) and not of MDPI and/or the editor(s). MDPI and/or the editor(s) disclaim responsibility for any injury to people or property resulting from any ideas, methods, instructions or products referred to in the content. |
© 2023 by the authors. Licensee MDPI, Basel, Switzerland. This article is an open access article distributed under the terms and conditions of the Creative Commons Attribution (CC BY) license (https://creativecommons.org/licenses/by/4.0/).
Share and Cite
Zhao, E.; Wang, E.; Chen, H. Experiments on the Coal Measures Sandstone’s Dynamic Mechanical Parameter Characteristics under the Combined Action of Temperature and Dynamic Load. Appl. Sci. 2023, 13, 13125. https://doi.org/10.3390/app132413125
Zhao E, Wang E, Chen H. Experiments on the Coal Measures Sandstone’s Dynamic Mechanical Parameter Characteristics under the Combined Action of Temperature and Dynamic Load. Applied Sciences. 2023; 13(24):13125. https://doi.org/10.3390/app132413125
Chicago/Turabian StyleZhao, Enlai, Enyuan Wang, and Haopeng Chen. 2023. "Experiments on the Coal Measures Sandstone’s Dynamic Mechanical Parameter Characteristics under the Combined Action of Temperature and Dynamic Load" Applied Sciences 13, no. 24: 13125. https://doi.org/10.3390/app132413125
APA StyleZhao, E., Wang, E., & Chen, H. (2023). Experiments on the Coal Measures Sandstone’s Dynamic Mechanical Parameter Characteristics under the Combined Action of Temperature and Dynamic Load. Applied Sciences, 13(24), 13125. https://doi.org/10.3390/app132413125

