Investigation of Element Migration from Aluminum Cooking Pots Using ICP-MS
Abstract
1. Introduction
2. Materials and Methods
2.1. Food Cooking Experiments
2.2. Food Simulant Preparation
2.3. Chemical Composition Analysis of Cooking Pots
2.4. Characterization of the Elements Migrated to the Cooked Food and Food Simulants
3. Results and Discussion
3.1. Chemical Analysis of Aluminum Pots Used in the Present Study
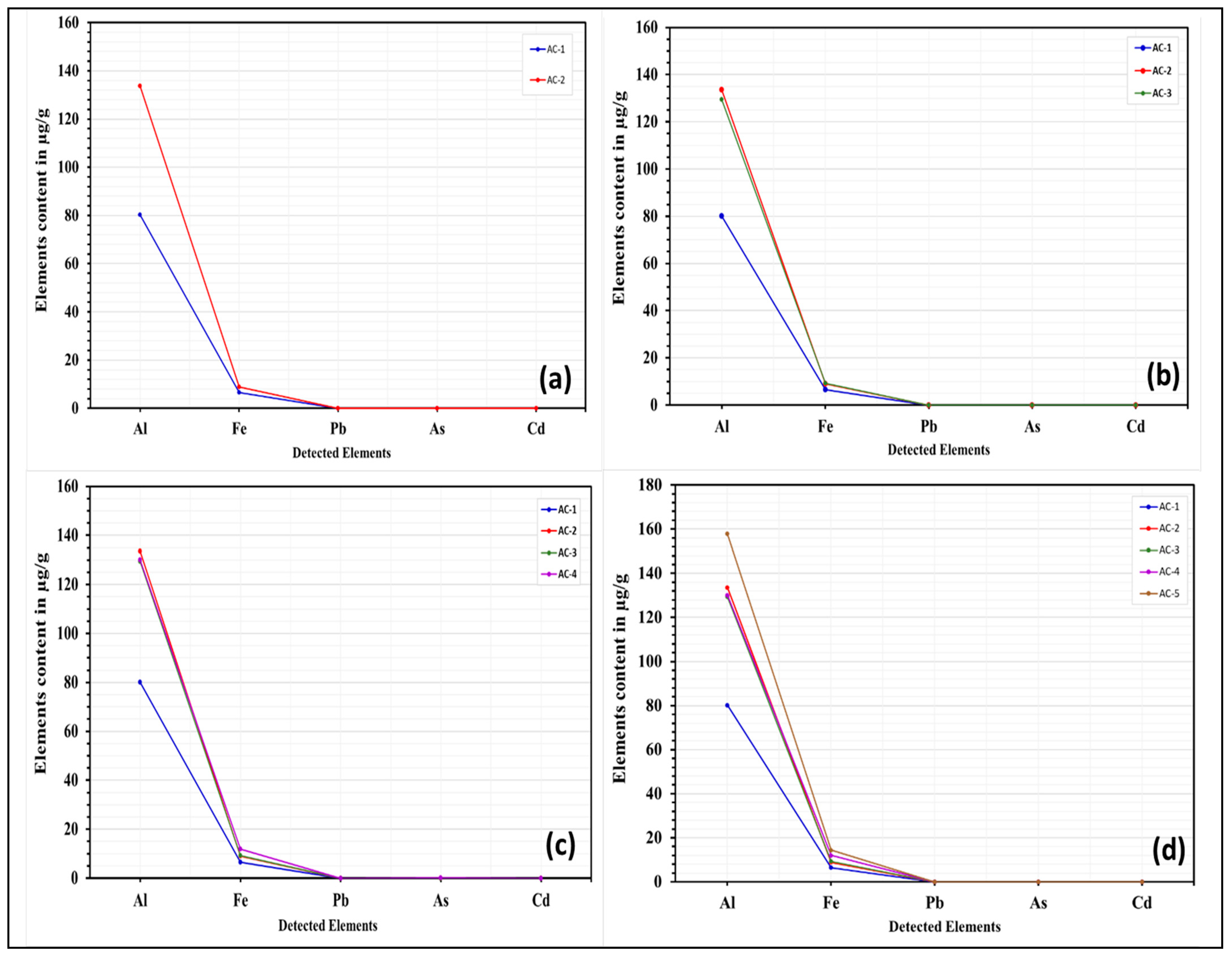
3.2. The Results of Elemental Analysis Using ICP-MS Technique for Cooked Food


3.3. The Results of Elemental Analysis Using ICP-MS Technique for Food Simulants
3.4. The Results of SEM-EDS Analysis
3.5. The Results of XPS Analysis


3.6. The Permissible Daily Intake Limit of Chemical Elements
- Examining element migration from aluminium cooking pots to foods, covering almost all possible variables that meet real-life cooking conditions, such as pot quality, pot type (traditional pots or pressure cookers), water supply (tape or mineral water), food acidity, the addition of salt, spices, and the effect of cooking time.
- Using actual food experiments like real food preparation and validating the results with standard food simulant experiments.
- Studying the effect of extreme cooking conditions on element migration to food such as experiments AC-5; AS-5; ACP-5; APP-5.
- The investigation of element migration from aluminium pressure cookers.
- Element migration was characterized using three techniques (ICP-MS, EDS, and XPS) for evaluating the results, which provided a more comprehensive analysis and more confidence in the results.
- This study confirmed the unsuitability of EDS and XPS techniques for quantifying elements that have migrated to food.
- This study can contribute to the protection of public health by assessing the migration of heavy elements to food and the awareness of consumers about the potential risk of aluminium cookware, especially aluminium pressure cookers.
4. Conclusions
- The concentration of elements that migrated to food in actual food samples was significantly influenced by factors such as food acidity, heating time, and the type of aluminum pot used (traditional or pressure cookers).
- Aluminum was identified as the major element that migrated from aluminum cooking pots, while other elements, such as iron (Fe), exhibited lower concentrations compared to aluminum. Toxic elements like arsenic (As), cadmium (Cd), and lead (Pb) were present in minor concentrations in the cooked food under all cooking conditions, and their levels were below acceptable limits.
- The concentration of aluminum deserves special attention due to its significant variation under various processing variables. Aluminum content increased from 80.17 µg/g to 133.7 µg/g when tomato sauce was added to the food, and a further increase in aluminum concentration (157.9 µg/g) was observed with longer heating times.
- There was a noticeable increase in aluminum concentration in the cooked food when aluminum pressure cookers were used, with the highest concentration of aluminum (252.7 µg/g) observed in food cooked with an ACP pressure cooker.
- The results obtained for element migration content in food simulants were consistent with those obtained from the actual food samples.
- Element migration was observed to significantly increase when applying OM5 tests compared to OM4 due to prolonged heating at 100 °C.
- Food simulants prepared using the ACP pressure cooker with OM5 test conditions exhibited the highest concentrations of aluminum (249.6 µg/g) and iron (9.868 µg/g).
- The concentration of toxic elements in food simulants was minor, and changes after applying OM4 and OM5 tests could be disregarded.
- Based on the results of the analysis conducted in this study, the SEM-EDS and XPS techniques are not suitable for quantifying elements that migrated to food samples due to their detection limits.
- For daily intake, all elements (Fe, As, Cd, and Pb) in the prepared food samples under various conditions were found to be within safe health limits, except for aluminum, which exceeded the daily intake limit when pressure cookers were used for extended cooking times. It should be noted that experimental conditions such as AC5, AS-5, ACP-5, and APP-5 represented extreme cooking scenarios involving 2 h of cooking at 100 °C followed by 8 h at 70 °C.
- To minimize element migration to food, it is recommended to use traditional aluminum cooking pots rather than aluminum pressure cookers for cooking. Furthermore, each cooking cycle using traditional Al pots should not exceed two hours.
Supplementary Materials
Author Contributions
Funding
Data Availability Statement
Acknowledgments
Conflicts of Interest
References
- Lisiewska, Z.; Słupski, J.; Kmiecik, W.; Gebczynski, P. Availability of essential and trace elements in frozen leguminous vegetables prepared for consumption according to the method of pre-freezing processing. Food Chem. 2008, 106, 576–582. [Google Scholar] [CrossRef]
- Zhou, L.; Rui, H.; Wang, Z.; Wu, F.; Fang, J.; Li, K. Migration law of lead and cadmium from Chinese pots during the cooking process. Int. J. Food Prop. 2017, 20, 3301–3310. [Google Scholar] [CrossRef]
- Alabi, O.A.; Adeoluwa, Y.M. Production, usage and potential public health effects of aluminum cookware: A review. Ann. Sci. Eng. Technol. 2020, 5, 20–30. [Google Scholar] [CrossRef]
- Alamri, M.S.; Qasem, A.A.A.; Mohamed, A.A.; Hussain, S.; Ibraheem, M.A.; Shamlan, G.; Alqah, H.A.; Qasha, A.S. Food packaging’s materials: A food safety perspective. Saudi J. Biol. Sci. 2021, 28, 4490–4499. [Google Scholar] [CrossRef] [PubMed]
- Al Zubaidy, E.A.; Mohammad, F.S.; Bassioni, G. Effect of pH, salinity and temperature on Aluminium cookware leaching during food preparation. Int. J. Electrochem. Sci. 2011, 6, 6424–6441. [Google Scholar] [CrossRef]
- Karbouj, R.; Desloges, I.; Nortier, P. A simple pre-treatment of aluminium cookware to minimize aluminium transfer to food. Food Chem Toxicol. 2009, 47, 571–577. [Google Scholar] [CrossRef] [PubMed]
- Tennakone, K.; Perera, W.A.C.; Jayasuriya, A.C. Aluminium contamination via assisted leaching from metallic aluminium utensils at neutral pH. Environ. Monit. Assess. 1992, 21, 79–81. [Google Scholar] [CrossRef]
- Al Juhaiman, L.A. Estimating aluminum leaching from aluminum cookware in different vegetable extracts. Int. J. Electrochem. Sci. 2012, 7, 7283–7294. [Google Scholar] [CrossRef]
- Al Juhaiman, L.A. Estimating Aluminum leaching from Aluminum cookwares in different meat extracts and milk. J. Saudi Chem. Soc. 2010, 14, 131–137. [Google Scholar] [CrossRef]
- Dalipi, R.; Borgese, L.; Casaroli, A.; Boniardi, M.; Fittschen, U.; Tsuji, K.; Depero, L.E. Study of metal release from stainless steels in simulated food contact by means of total reflection X-ray fluorescence. J. Food Eng. 2016, 173, 85–91. [Google Scholar] [CrossRef]
- Razeka, T.M.A.; Kishk, Y.F.M.; Khalil, N.S.A.M.; Shehtaa, A.M. Migration of iron and aluminum from different cookwares to faba bean after cooking cycles and storage refrigerated. J. Environ. Sci. 2018, 42, 45–58. [Google Scholar]
- Mohammad, F.S.; Al Zubaidy, E.A.H.; Bassioni, G. Effect of Aluminum Leaching Process of Cooking Wares on Food. Int. J. Electrochem. Sci. 2011, 6, 222–230. [Google Scholar] [CrossRef]
- Jabeen, S.; Ali, B.; Khan, M.A.; Khan, M.B.; Hasan, S.A. Aluminum Intoxication through Leaching in Food Preparation. Alex. Sci. Exch. 2016, 37, 618–626. [Google Scholar]
- Fermo, P.; Soddu, G.; Miani, A.; Comite, V. Quantification of the Aluminum Content Leached into Foods Baked Using Aluminum Foil. Int. J. Env. Res. Pub. He. 2020, 17, 8357. [Google Scholar] [CrossRef] [PubMed]
- Odularu, A.T.; Ajibade, P.A.; Onianwa, P.C. Comparative study of leaching of aluminium from aluminium, clay, stainless steel, and steel cooking pots. ISRN Public Health 2013, 2013, 517601. [Google Scholar] [CrossRef][Green Version]
- da Silva Campos, N.; Alvarenga, F.B.M.; Sabarense, C.M.; de Oliveira, M.A.L.; Timm, J.G.; Vieira, M.A.; de Sousa, R.A. Evaluation of the influence of different cooking pot types on the metallic elements content in edible chicken tissues by MIP OES. Braz. J. Food Technol. 2020, 23, 30819. [Google Scholar]
- Saxena, S.; Saini, S.; Samtiya, M.; Aggarwal, S.; Dhewa, T.; Sehgal, S. Assessment of Indian cooking practices and cookwares on nutritional security: A review. J. Appl. Nat. Sci. 2021, 13, 357–372. [Google Scholar] [CrossRef]
- Guidetti, R.; Simonetti, P. Materials for cooking. In A Guide to Professional Cookware, 4th ed.; S.A.P.S.: Pretoria, South Africa, 2000; pp. 16–29. [Google Scholar]
- van Ginkel, M.F.; van der Voet, G.B.; D’Haese, P.C.; De Broe, M.E.; de Wolff, F.A. Effect of citric acid and maltol on the accumulation of aluminum in rat brain and bone. J. Lab. Clin. Med. 1993, 121, 453–460. [Google Scholar]
- Rajwanshi, P.; Singh, V.; Gupta, M.K.; Kumari, V.; Shrivastav, R.; Ramanamurthy, M.; Dass, S. Studies on aluminium leaching from cookware in tea and coffee and estimation of aluminium content in toothpaste, baking powder and paan masala. Sci. Total Environ. 1997, 193, 243–249. [Google Scholar] [CrossRef]
- Yumoto, S.; Kakimi, S.; Ohsaki, A.; Ishikawa, A. Demonstration of aluminum in amyloid fibers in the cores of senile plaques in the brains of patients with Alzheimer’s disease. J. Inorg. Biochem. 2009, 103, 1579–1584. [Google Scholar] [CrossRef]
- Veríssimo, M.I.; Oliveira, J.A.; Gomes, M.T.S. Leaching of aluminium from cooking pans and food containers. Sens. Actuators B 2006, 118, 192–197. [Google Scholar] [CrossRef]
- Nagy, E.; Jobst, K. Aluminium dissolved from kitchen utensils. Bull. Environ. Contam. Toxicol. 1994, 52, 396–399. [Google Scholar] [CrossRef] [PubMed]
- Brody, D.J.; Pirkle, J.L.; Kramer, R.A.; Flegal, K.M.; Matte, T.D.; Gunter, E.W.; Paschal, D.C. Blood lead levels in the US population: Phase 1 of the Third National Health and Nutrition Examination Survey (NHANES III, 1988 to 1991). JAMA 1994, 272, 277–283. [Google Scholar] [CrossRef]
- Hajiseyedjavadi, H.K.S.; Blackhurst, M. A Machine Learning Approach to Identify Houses with High Lead Tap Water Concentrations. AAAI 2020, 34, 13300–13305. [Google Scholar] [CrossRef]
- Tchounwou, P.B.; Abdelghani, A.A.; Pramar, Y.V.; Heyer, L.R.; Steward, C.M. Assessment of potential health risks associated with ingesting heavy metals in fish collected from a hazardous-waste contaminated wetland in Louisiana, USA. Rev. Environ. Health 1996, 11, 191–204. [Google Scholar] [CrossRef]
- Abernathy, C.O. Arsenic: Health effects, mechanisms of actions, and research issues. Environ. Health Perspect. 1999, 107, 593–597. [Google Scholar] [CrossRef] [PubMed]
- Kitchin, K.T. Recent advances in arsenic carcinogenesis: Modes of action, animal model systems, and methylated arsenic metabolites. Toxicol. Appl. Pharmacol. 2001, 172, 249–261. [Google Scholar] [CrossRef]
- EC. Commission Regulation (EU) 2016/1416 of 24 August 2016 amending and correcting Regulation (EU) No 10/2011 on plastic materials and articles intended to come into contact with food. Off. J. Eur. Union 2016, 230, 22–42. Available online: http://data.europa.eu/eli/reg/2016/1416/oj (accessed on 9 November 2023).
- Yamamoto, S. How impurities affect ionic migration and how to counter their impact. ESPEC Technol. Rep. 2001, 12, 10–16. [Google Scholar]
- Blackman, A.G.; Gahan, L.R. Metal-coordinated Hydroxide as a Nucleophile: A Brief History. Z. Anorg. Allg. Chem. 2018, 644, 616–629. [Google Scholar] [CrossRef]
- Liu, L.; Sun, W.; Ye, G.; Chen, H.; Qian, Z. Estimation of the ionic diffusivity of virtual cement paste by random walk algorithm. Constr Build Mater. 2012, 28, 405–413. [Google Scholar] [CrossRef]
- Lienig, J.; Thiele, M.; Lienig, J.; Thiele, M. Fundamentals of Electromigration; Springer International Publishing: Berlin/Heidelberg, Germany, 2018; pp. 13–60. [Google Scholar]
- Lienig, J.; Thiele, M. The Pressing Need for Electromigration-Aware Physical Design. In Proceedings of the 2018 International Symposium on Physical Design, Seaside, CA, USA, 25–28 March 2018; pp. 144–151. [Google Scholar]
- Blech, I.A. Electromigration in thin aluminum films on titanium nitride. J. Appl. Phys. 1976, 47, 1203–1208. [Google Scholar] [CrossRef]
- Birks, N.; Meier, G.H.; Pettit, F.S. Introduction to the High Temperature Oxidation of Metals; Cambridge University Press: Cambridge, UK, 2006. [Google Scholar]
- Stahl, T.; Falk, S.; Rohrbeck, A.; Georgii, S.; Herzog, C.; Wiegand, A.; Hotz, S.; Boschek, B.; Zorn, H.; Brunn, H. Migration of aluminum from food contact materials to food-a health risk for consumers? Part I of III: Exposure to aluminum, release of aluminum, tolerable weekly intake (TWI), toxicological effects of aluminum, study design, and methods. Environ. Sci. Eur. 2017, 19, 17. [Google Scholar] [CrossRef] [PubMed]
- Brett, C.M.A. The application of electrochemical impedance techniques to aluminium corrosion in acidic chloride solution. J. Appl. Electrochem. 1990, 20, 1000–1003. [Google Scholar] [CrossRef]
- Hansson, C.M. An introduction to corrosion of engineering materials. In Corrosion of Steel in Concrete Structures; Woodhead Publishing: Sawston, UK, 2023; pp. 3–18. [Google Scholar]
- Macdonald, D.D. Effect of pressure on the rate of corrosion of metals in high subcritical and supercritical aqueous systems. J. Supercrit. Fluids 2004, 30, 375–382. [Google Scholar] [CrossRef]
- Sun, Y.; Li, H.; Yang, J.; Zhang, J. Effects of Temperature and Pressure on Corrosion Behavior of HVOF-Sprayed Fe-Based Amorphous Coating on the Mg-RE Alloy for Dissolvable Plugging Tools. Materials 2023, 16, 1313. [Google Scholar] [CrossRef] [PubMed]
- Kuisma-Kursula, P. Accuracy, Precision and Detection Limits of SEM–WDS, SEM–EDS and PIXE in the Multi-Elemental Analysis of Medieval Glass. X-ray Spectrom. 2000, 29, 111–118. [Google Scholar] [CrossRef]
- Nasrazadani, S.; Hassani, S. Modern analytical techniques in failure analysis of aerospace, chemical, and oil and gas industries. Chapter 2. In Handbook of Materials Failure Analysis with Case Studies from the Oil and Gas Industry; ScienceDirect: Amsterdam, The Netherlands, 2016; pp. 39–54. [Google Scholar]
- Schurra, M.R.; Donohueb, P.H.; Simonettic, A.; Dawson, E.L. Multi-element and lead isotope characterization of early nineteenth century pottery sherds from Native American and Euro-American sites. J. Archaeol. Sci. 2018, 20, 390–399. [Google Scholar] [CrossRef]
- Shard, A.G. Detection limits in XPS for more than 6000 binary systems using Al and Mg Kα X-rays. Surf. Interface Anal. 2014, 46, 175–185. [Google Scholar] [CrossRef]
- Hofmann, S. Characterization of nitride coatings by Auger electron spectroscopy and x-ray photoelectron spectroscopy. J. Vac. Sci. Technol. A 1986, 4, 2789–2796. [Google Scholar] [CrossRef]
- Krishna, D.N.G.; Philip, J. Review on surface-characterization applications of X-ray photoelectron spectroscopy (XPS): Recent developments and challenges. Appl. Sur. Sci. 2022, 12, 100332. [Google Scholar] [CrossRef]
- Al-Hakkani, M.F. Guideline of inductively coupled plasma mass spectrometry “ICP–MS”: Fundamentals, practices, determination of the limits, quality control, and method validation parameters. SN Appl. Sci. 2019, 1, 791. [Google Scholar] [CrossRef]
- Nham, T.T. Typical Detection Limits for an ICP-MS; American Spectroscopy Laboratory: Victoria, Australia, 1998; pp. 17A–17D. [Google Scholar]
- Food and Agriculture Organization of the United Nations (FAO); World Health Organization (WHO). Evaluation of certain food additives and contaminants. In Proceedings of the Seventy-Third Meeting of the Joint Expert Committee on Food Additives JECFA, Technical Report Series 960, Geneva, Switzerland, 8–17 June 2011. [Google Scholar]
- Food and Agriculture Organization of the United Nations (FAO); World Health Organization (WHO). Evaluation of certain food additives and contaminants. In Proceedings of the Seventy-Seventh Report of the Joint Expert Committee on Food Additives JECFA, Technical Report Series 983, Rome, Italy, 4–13 June 2013. [Google Scholar]
- Brima, E.I. Toxic Elements in Different Medicinal Plants and the Impact on Human Health. Int. J. Environ. Res. Public Health 2017, 14, 1209. [Google Scholar] [CrossRef] [PubMed]



| Sample Code | Food Ingredients in Grams | Time of Cooking | Temperature of Food during Cooking | pH before Cooking | pH after Cooking (after Boiling) |
|---|---|---|---|---|---|
| AC-1 | 350 g rice + 500 g meat + 1.25 L tap water + 100 mL oil | 2 h | Cooking experiment started at room temperature and then the temperature increased till boiling conditions at (100 °C). | 8.83 | 8.33 |
| AC-2 | (AC-1) + 60 g tomato sauce + 6 g black lemon | 6.48 | 6.20 | ||
| AC-3 | (AC-2) + 10 g salts + 10 g Kabsa spices + 3 g cinnamon + 3 pieces cloves + 3 pieces Cardamom + 2 g black pepper | 6.72 | 6.17 | ||
| AC-4 | The same (AC-3) except using mineral water (Manhal) instead of tap water | 6.80 | 6.72 | ||
| AC-5 | The same (AC-3) with applying heat for 8 h at 70 °C. | 10 h | The same as in the above + heating at 70 °C for 8 h. | 6.60 | 6.48 |
| AS-5 | The same (AC-5) but using manufacturer (2) aluminum pot (AS) | 6.70 | 6.32 | ||
| ACP-5 | The same (AC-5) but using manufacturer (3) aluminum pressure pot (ACP) | 6.53 | 6.30 | ||
| APP-5 | The same (AC-5) but using manufacturer (4) aluminum pressure pot (APP) | 6.41 | 6.10 |
| Sample Code | Food Constituents | Test Number | Temperature and Time of Cooking Test | pH before Cooking | pH after Cooking (after Boiling) |
|---|---|---|---|---|---|
| AC-FS | Food Simulant “B” “3% (w/v) acetic acid” | OM4 | 100 °C for 1 h | 4.5 | 4.52 |
| AS-FS | 4.56 | ||||
| ACP-FS | 4.71 | ||||
| APP-FS | 4.64 | ||||
| AC-FS | OM5 | 100 °C for 2 h | 4.76 | ||
| AS-FS | 4.78 | ||||
| ACP-FS | 4.93 | ||||
| APP-FS | 4.92 |
| ICP-MS Condition | Value |
|---|---|
| RF power (W) | 1550 |
| Sample Depth (mm) | 8.0 |
| Sample up-take (s) | 30 |
| Nebulizer type | Micro-Mist |
| Carrier gas (L/min) | 1.05 |
| Make up gas (L/min) | 0.15 |
| Plasma gas (L/min) | 15 |
| Nebulizer Pump (rps) | 0.1 |
| He gas (mL/min) | 5 |
| Energy Discrimination (V) | 3 |
| Points/peak | 3 |
| Repetitions | 3 |
| Integration time/mass (s) | 0.3 |
| Element | Chemical Composition, Weight Percent (wt.%) | |||
|---|---|---|---|---|
| Pot Codes | ||||
| AC | AS | ACP | APP | |
| Al | 99.24 | 99.60 | 98.59 | 99.53 |
| Fe | 0.3782 | 0.2483 | 0.6036 | 0.2889 |
| Ni | 0.0029 | 0.0008 | 0.0010 | 0.0011 |
| Mg | 0.0030 | <0.0005 | <0.0005 | <0.0005 |
| P | 0.0040 | 0.0037 | 0.0041 | 0.0039 |
| Cr | 0.0038 | 0.0016 | 0.0085 | 0.0025 |
| Mn | 0.0219 | 0.0012 | 0.6528 | 0.0144 |
| Si | 0.2207 | 0.0859 | 0.0782 | 0.0753 |
| Ti | 0.0267 | 0.0137 | 0.0155 | 0.0091 |
| Cd | 0.0006 | 0.0005 | 0.0006 | 0.0005 |
| Pb | <0.0065 | <0.0065 | <0.0065 | <0.0065 |
| Sn | <0.0005 | <0.0005 | <0.0005 | <0.0005 |
| Sr | <0.0010 | <0.0010 | <0.0010 | <0.0010 |
| Zr | 0.0002 | 0.0001 | 0.0004 | 0.0003 |
| Cu | 0.0045 | <0.0010 | <0.0010 | <0.0010 |
| Zn | 0.0347 | 0.0032 | 0.0089 | 0.0149 |
| V | 0.0105 | 0.0089 | 0.0255 | 0.0143 |
| Sb | 0.0035 | 0.0037 | 0.0021 | 0.0017 |
| B | 0.0026 | 0.0019 | 0.0018 | 0.0016 |
| Co | 0.0008 | <0.0005 | 0.0006 | <0.0005 |
| Ca | 0.0007 | 0.0006 | <0.0005 | <0.0005 |
| Raw Materials | Elements Concentration (µg/g) | |||||||||
|---|---|---|---|---|---|---|---|---|---|---|
| Al | Fe | As | Cd | Pb | ||||||
| * AVE | * SD | AVE | SD | AVE | SD | AVE | SD | AVE | SD | |
| Rice | 15.20 | 1.017 | 10.94 | 0.5971 | 0.0892 | 0.0064 | 0.0313 | 0.0027 | 0.1261 | 0.0029 |
| Dry Lemon | 58.61 | 3.876 | 84.06 | 5.303 | 0.0262 | 0.0012 | 0.0137 | 0.0013 | 0.2101 | 0.0192 |
| Clove | 83.48 | 7.047 | 79.39 | 4.953 | 0.0173 | 0.0009 | 0.0062 | 0.0005 | 0.4919 | 0.0253 |
| Black pepper | 134.4 | 9.630 | 131.6 | 7.834 | 0.0436 | 0.0017 | 0.0169 | 0.0013 | 0.2819 | 0.0171 |
| Cardamom | 48.22 | 2.549 | 52.62 | 2.405 | 0.2691 | 0.0199 | 0.0716 | 0.0061 | 0.6583 | 0.0346 |
| Kabsa Spices | 110.2 | 5.696 | 192.2 | 8.893 | 0.0696 | 0.0053 | 0.0374 | 0.0002 | 0.3814 | 0.0235 |
| Cinnamon | 55.53 | 3.006 | 40.17 | 2.472 | 0.2284 | 0.0061 | 0.0543 | 0.0034 | 1.1688 | 0.0746 |
| Meat | 11.64 | 0.487 | 24.12 | 1.463 | 0.0071 | 0.0003 | 0.0092 | 0.0007 | 0.0360 | 0.0024 |
| Tomato Sauce | 16.10 | 0.5096 | 15.32 | 1.204 | 0.0150 | 0.0011 | 0.0203 | 0.0016 | 0.0158 | 0.0014 |
| Table Salt | 21.55 | 1.361 | 14.54 | 1.005 | 0.1330 | 0.0014 | 0.1663 | 0.0134 | 0.3698 | 0.0307 |
| Sample Code | Elements Concentration (µg/g) | |||||||||
|---|---|---|---|---|---|---|---|---|---|---|
| Al | Fe | As | Cd | Pb | ||||||
| * AVE | * SD | AVE | SD | AVE | SD | AVE | SD | AVE | SD | |
| AC-1 | 80.17 | 5.997 | 6.493 | 0.4941 | 0.0053 | 0.0007 | 0.0005 | 0.00004 | 0.0056 | 0.00084 |
| AC-2 | 133.7 | 8.501 | 8.922 | 0.6759 | 0.0172 | 0.0014 | 0.0008 | 0.00009 | 0.0087 | 0.00092 |
| AC-3 | 129.4 | 6.277 | 9.296 | 0.8298 | 0.0113 | 0.0011 | 0.0002 | 0.000019 | 0.0078 | 0.00089 |
| AC-4 | 130.1 | 9.304 | 11.98 | 0.9419 | 0.0279 | 0.0026 | 0.0001 | 0.000012 | 0.0084 | 0.00091 |
| AC-5 | 157.9 | 8.722 | 14.45 | 1.1573 | 0.0265 | 0.0012 | 0.0010 | 0.00013 | 0.0039 | 0.00049 |
| AS-5 | 145.4 | 7.697 | 9.171 | 0.7209 | 0.0267 | 0.0031 | 0.0007 | 0.00011 | 0.0054 | 0.00078 |
| ACP-5 | 252.7 | 7.793 | 17.22 | 1.3158 | 0.0292 | 0.0021 | 0.0002 | 0.00003 | 0.0034 | 0.00053 |
| APP-5 | 221.0 | 6.085 | 9.401 | 0.3199 | 0.0182 | 0.0017 | 0.0009 | 0.00014 | 0.0025 | 0.00037 |
| Test Number | Sample Code | Elements Concentration (µg/g) | |||||||||
|---|---|---|---|---|---|---|---|---|---|---|---|
| Al | Fe | As | Cd | Pb | |||||||
| * AVE | * SD | AVE | SD | AVE | SD | AVE | SD | AVE | SD | ||
| Reference Sample | R0 | 0.0067 | 0.0005 | 0.0363 | 0.0025 | 0.0014 | 0.00008 | 0.00009 | 0.000011 | 0.0009 | 0.00010 |
| OM4 Test | AC-FS | 11.75 | 0.2930 | 0.9413 | 0.0317 | 0.0072 | 0.00060 | 0.00032 | 0.000028 | 0.0011 | 0.00009 |
| AS-FS | 9.148 | 0.1637 | 0.4725 | 0.0259 | 0.0029 | 0.00030 | 0.00007 | 0.000010 | 0.0006 | 0.00006 | |
| ACP-FS | 61.76 | 1.6927 | 0.2143 | 0.0171 | 0.0102 | 0.00070 | 0.00005 | 0.000006 | 0.0005 | 0.00004 | |
| APP-FS | 35.05 | 0.9137 | 1.064 | 0.0586 | 0.0076 | 0.00040 | 0.00005 | 0.000005 | 0.0010 | 0.00008 | |
| OM5 Test | AC-FS | 121.7 | 4.6288 | 5.397 | 0.3272 | 0.0110 | 0.00090 | 0.00007 | 0.000009 | 0.0013 | 0.00010 |
| AS-FS | 117.6 | 2.0345 | 4.050 | 0.1794 | 0.0175 | 0.00172 | 0.00018 | 0.000024 | 0.0017 | 0.00009 | |
| ACP-FS | 249.6 | 3.3540 | 9.868 | 0.1886 | 0.0151 | 0.00103 | 0.00008 | 0.000011 | 0.0016 | 0.00021 | |
| APP-FS | 211.8 | 5.8550 | 5.843 | 0.3712 | 0.0149 | 0.00106 | 0.00011 | 0.000013 | 0.0021 | 0.00019 | |
| ICP-MS | EDS | XPS | |
|---|---|---|---|
| Principle |
|
|
|
| Advantages |
|
|
|
| Disadvantages |
|
|
|
| Detection limit |
|
|
|
| Sample Code | Calculated Intake Quantity per Day (mg/Day) | ||||
|---|---|---|---|---|---|
| Al | Fe | As | Cd | Pb | |
| AC-1 | 9.327 | 2.417 | 0.0046 | 0.0019 | 0.0079 |
| AC-2 | 14.73 | 2.782 | 0.0056 | 0.0019 | 0.0079 |
| AC-3 | 14.44 | 3.029 | 0.0052 | 0.0020 | 0.0087 |
| AC-4 | 14.52 | 3.298 | 0.0069 | 0.0020 | 0.0088 |
| AC-5 | 17.29 | 3.544 | 0.0067 | 0.0021 | 0.0084 |
| AS-5 | 16.05 | 3.017 | 0.0068 | 0.0021 | 0.0085 |
| ACP-5 | 26.78 | 3.821 | 0.0070 | 0.0020 | 0.0083 |
| APP-5 | 23.61 | 3.040 | 0.0059 | 0.0021 | 0.0082 |
Disclaimer/Publisher’s Note: The statements, opinions and data contained in all publications are solely those of the individual author(s) and contributor(s) and not of MDPI and/or the editor(s). MDPI and/or the editor(s) disclaim responsibility for any injury to people or property resulting from any ideas, methods, instructions or products referred to in the content. |
© 2023 by the authors. Licensee MDPI, Basel, Switzerland. This article is an open access article distributed under the terms and conditions of the Creative Commons Attribution (CC BY) license (https://creativecommons.org/licenses/by/4.0/).
Share and Cite
Ammar, H.R.; Saleh, S.M.; Sivasankaran, S.; Albadri, A.E.A.E.; Al-Mufadi, F.A. Investigation of Element Migration from Aluminum Cooking Pots Using ICP-MS. Appl. Sci. 2023, 13, 13119. https://doi.org/10.3390/app132413119
Ammar HR, Saleh SM, Sivasankaran S, Albadri AEAE, Al-Mufadi FA. Investigation of Element Migration from Aluminum Cooking Pots Using ICP-MS. Applied Sciences. 2023; 13(24):13119. https://doi.org/10.3390/app132413119
Chicago/Turabian StyleAmmar, Hany R., Sayed M. Saleh, Subbarayan Sivasankaran, Abuzar E. A. E. Albadri, and Fahad A. Al-Mufadi. 2023. "Investigation of Element Migration from Aluminum Cooking Pots Using ICP-MS" Applied Sciences 13, no. 24: 13119. https://doi.org/10.3390/app132413119
APA StyleAmmar, H. R., Saleh, S. M., Sivasankaran, S., Albadri, A. E. A. E., & Al-Mufadi, F. A. (2023). Investigation of Element Migration from Aluminum Cooking Pots Using ICP-MS. Applied Sciences, 13(24), 13119. https://doi.org/10.3390/app132413119

