Infinite Series Based on Bessel Zeros
Abstract
:1. Introduction
2. A General Solution
2.1. Solutions for Series Composed of Terms
2.1.1. Solutions for l = 1
- (a)
- The explicit form (based on factorial and gamma functions);
- (b)
- The hypergeometric representation [22];
- (c)
- The third possibility is expressing these polynomials with the help of the Bessel functions [21], p. 109:
2.1.2. Solutions for l ≥ 2
2.2. Solutions for Series Composed of Terms
2.2.1. Solutions for l = 1
2.2.2. Solutions for l ≥ 2
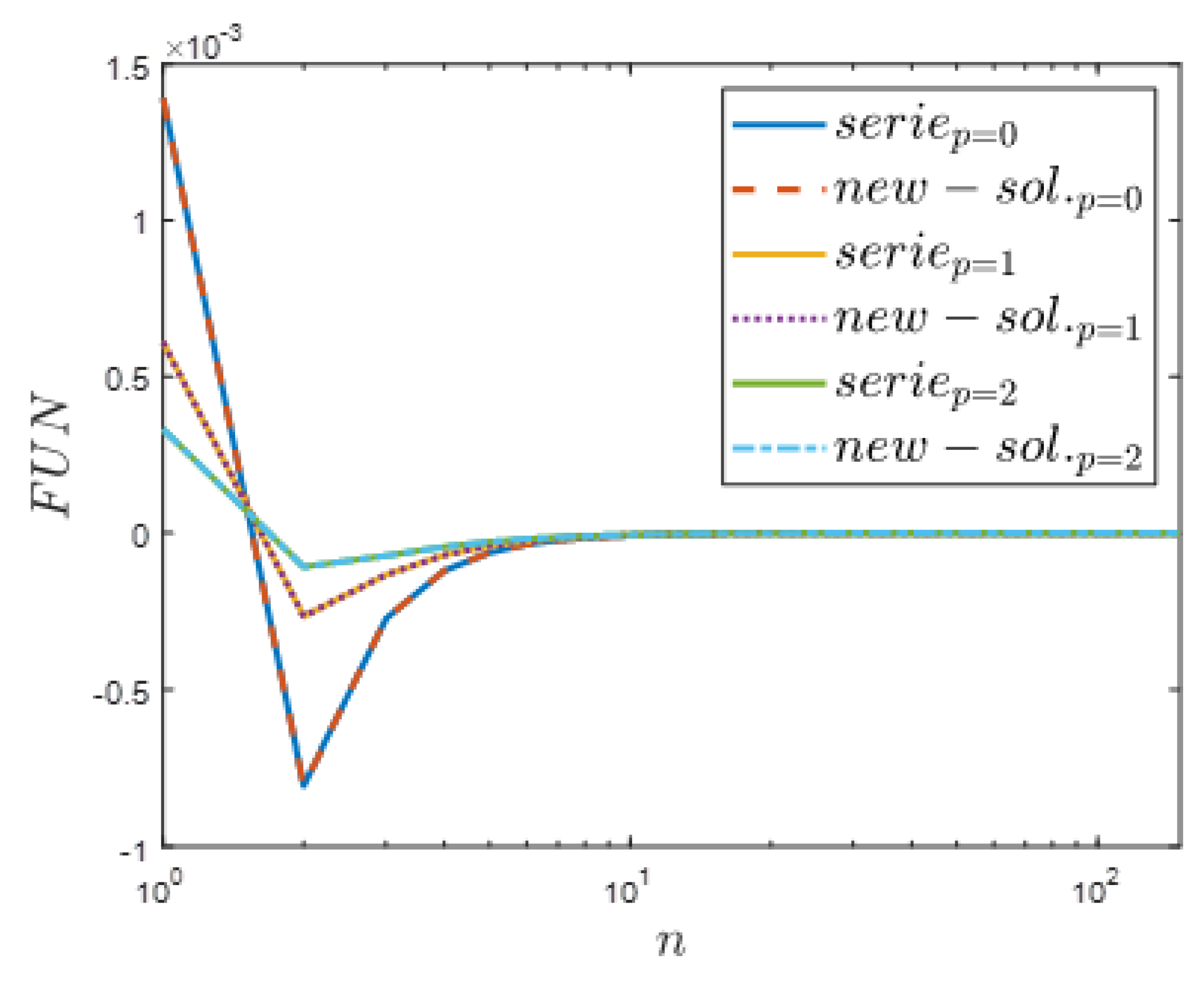
3. Numerical Verification of Solutions
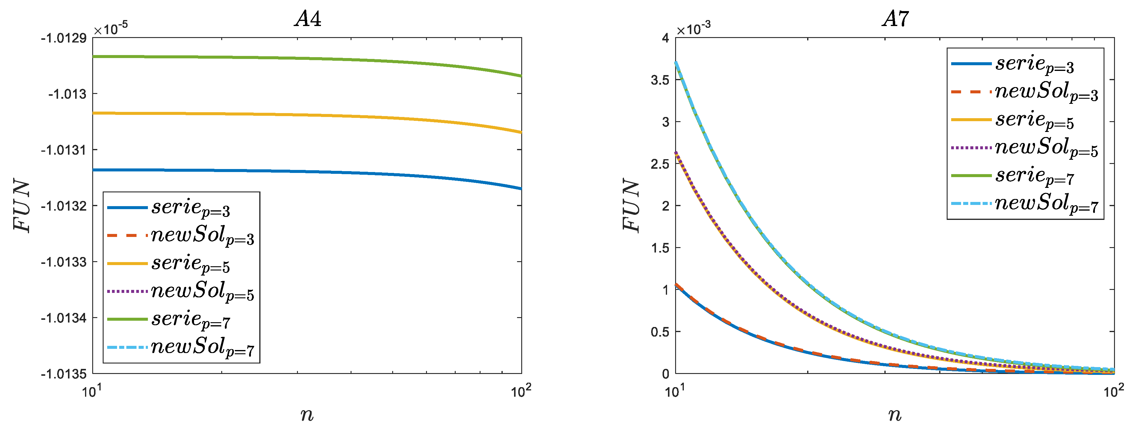
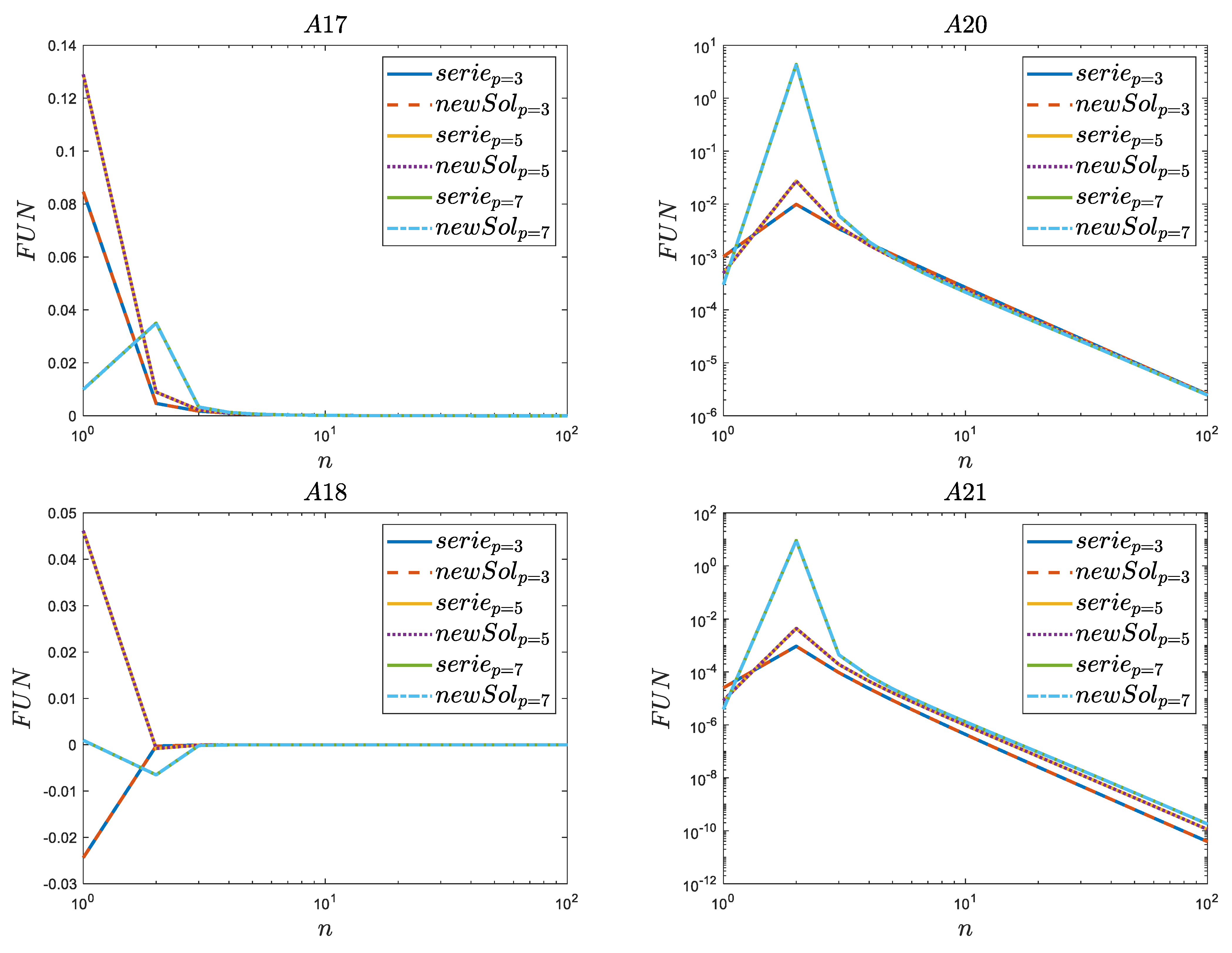
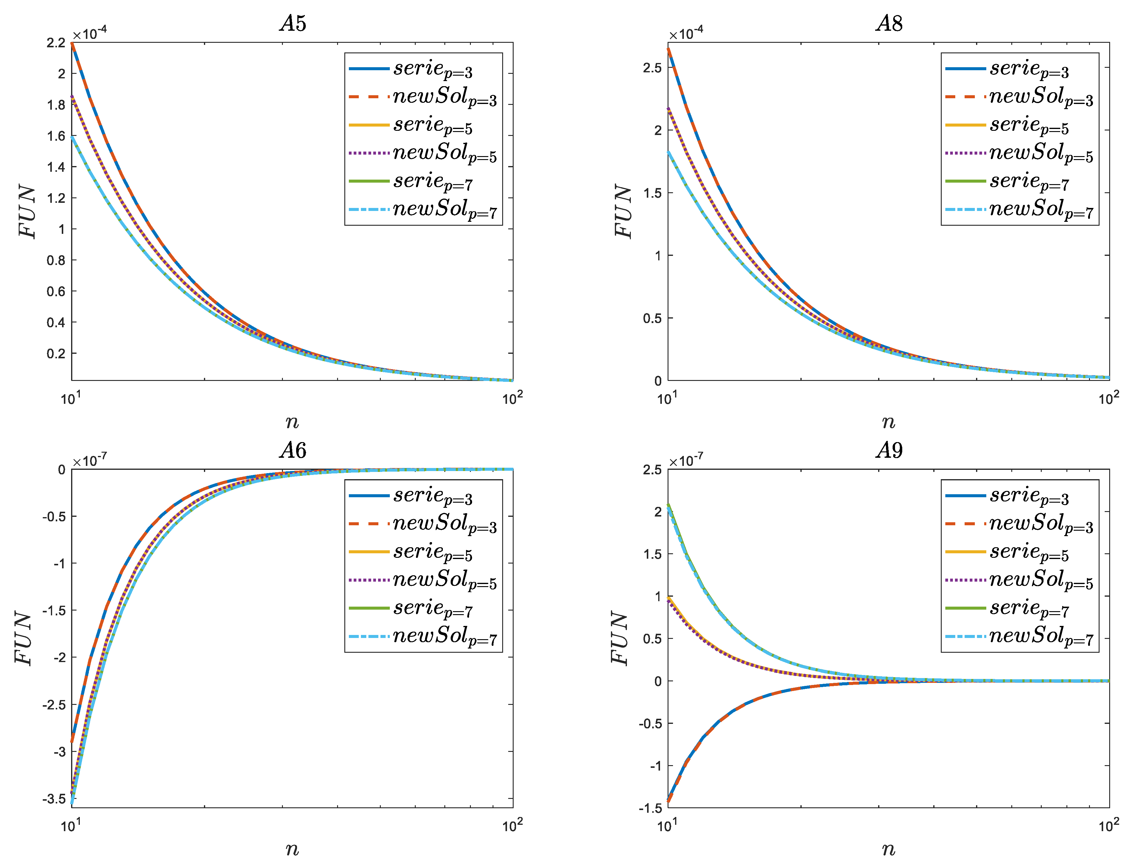
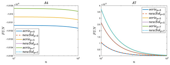
3.1. Analysis of Corrected Afanasiev Solutions (Difference of One Order)
- -
- When the maximum values for are obtained at the lowest p value; in this case, (in the analysis it was not possible to assume a lower value, i.e., , because then the zeros of the function would be subtracted, and this is what we wanted to avoid). The obtained results show that for lower values of p, the dynamics of the decrease in the function value with increasing values of n were greater, as evidenced by the fact that the results for were lower when the difference from the zeros of the higher orders of the Bessel function were taken into account;
- -
- Situations with changing dynamics were not noticed when and Equation (A8) were analyzed. Here, the shape of the function course and the values remained at a level very similar to those obtained from Equation (A5);
- -
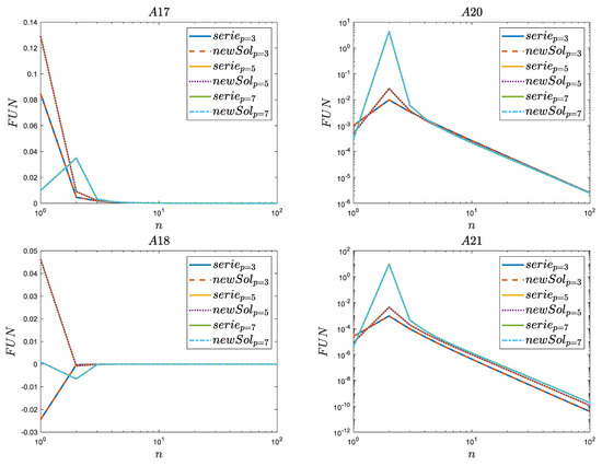
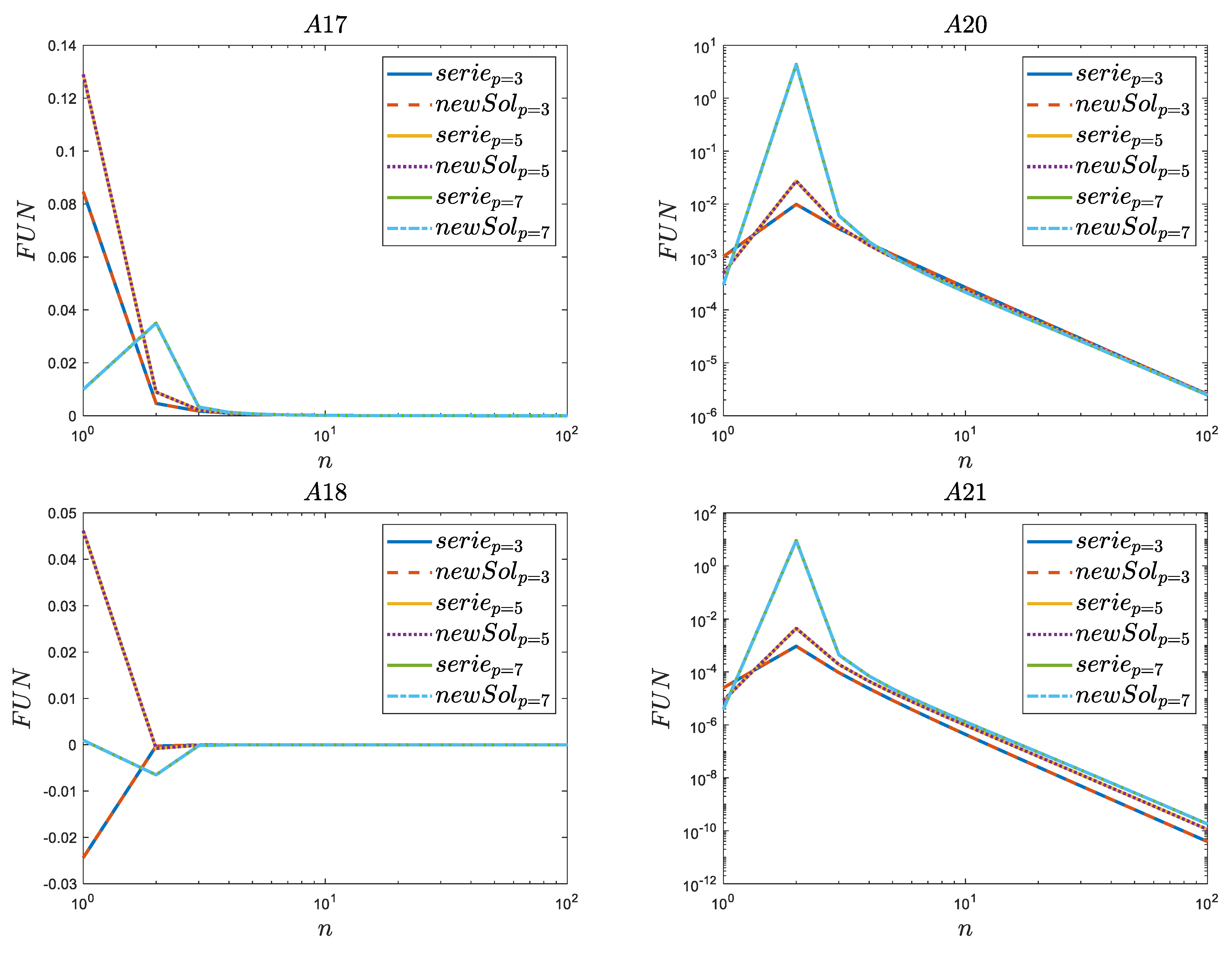
- An interesting behavior was shown by the analysis of Equation (A9) obtained with power . It can be seen from the graph that for the values of this function for were negative, while a similar behavior was not observed for larger values of (values only positive). The zoom of Figure 4 for n ≥ 10 is presented in Appendix D.
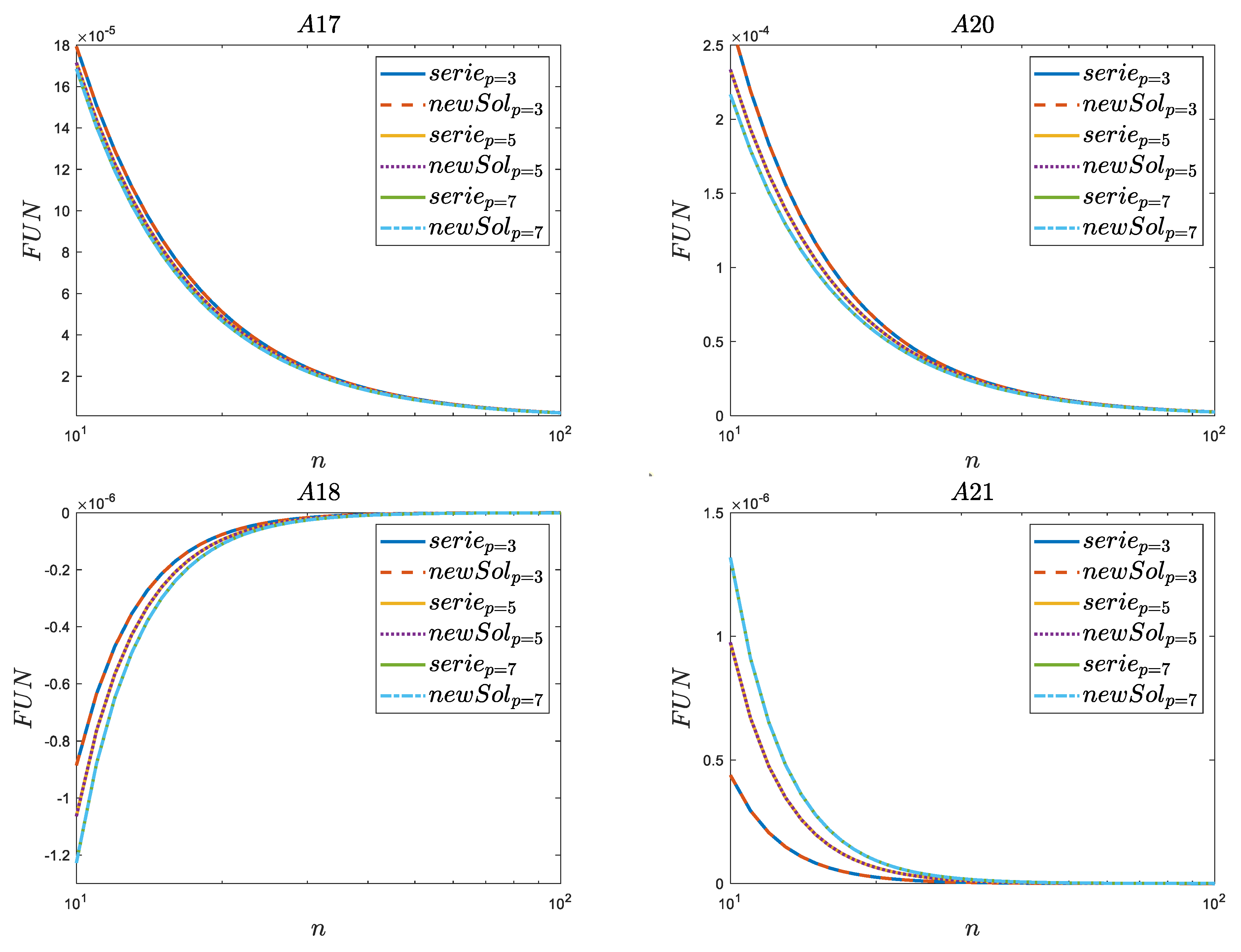
3.2. Analysis of New Solutions (Difference of Two Orders)
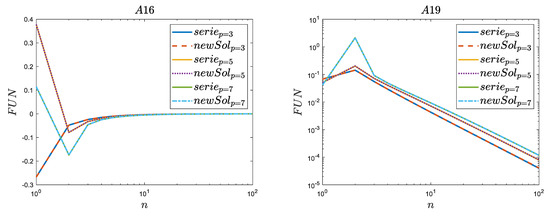
3.3. Analysis of New Solutions (Difference of Three Orders)
4. Practical Examples
4.1. Example I
4.2. Example II
5. Other Series and Their Possible Solutions
6. Conclusions
Funding
Institutional Review Board Statement
Informed Consent Statement
Data Availability Statement
Acknowledgments
Conflicts of Interest
Appendix A
| Calogero [6,7] | |
| (A1) | |
| (A2) | |
| (A3) | |
| Afanasiev [10] difference of zeros by one order of Bessel functions | |
| (A4) | (A7) |
| (A5) | (A8) |
| (A6) | (A9) |
| New formulas (2022)—difference of zeros by two orders of Bessel functions | |
| (A10) | (A13) |
| (A11) | (A14) |
| (A12) | (A15) |
| New formulas (2022)—difference of zeros by three orders of Bessel functions | |
| (A16) | (A19) |
| (A17) | (A20) |
| (A18) | (A21) |
| New formulas (2023)—difference of zeros is four orders of Bessel functions | |
| (A22) | (A24) |
| (A23) | (A25) |
Appendix B
Appendix C
Appendix C.1. Examples of Usefulness of Equation (16)
- (a)
- and then :This gives the following:This result is consistent with Equation (A4).
- (b)
- and then :This gives the following:This result is consistent with Equation (A10).
- (c)
- and then :And the results are as following:This result is consistent with Equation (A16).
- (d)
- and then :And the results are as follows:This result is consistent with Equation (A22).
Appendix C.2. Examples of Usefulness of Equation (35)
- (a)
- and then :This gives the following:This result is consistent with Equation (A7).
- (b)
- and then :This gives the following:This result is consistent with Equation (A13).
- (c)
- and then :And the results are as follows:This result is consistent with Equation (A19).
- (d)
- and then :andAnd the results are as follows:This result is consistent with Equation (A24).
Appendix D




Appendix E
- (a)
- The Laplace transform of the formula found in Giusti-Mainardi’s work [30], which defines the relaxation memory function for a general class of viscoelastic models is as follows:
- (b)
- Even faster, with the help of the method discussed in this appendix, one can obtain the inverse Laplace transformations of the two other functions derived in the other work by Giusti-Mainardi [29] describing the relaxation-memory and creep-memory function :
References
- Rayleigh, L. Note on the numerical calculation of the roots of fluctuating functions. Proc. Lond. Math. Soc. 1873, 1–5, 119–124. [Google Scholar] [CrossRef]
- Sneddon, I.N. On some infinite series involving the zeros of Bessel of the first kind. Proc. Glasg. Math. Assoc. 1960, 4, 144–156. [Google Scholar] [CrossRef]
- Meiman, N.N. On recurrence formulas for power sums of zeros of Bessel functions. Dokl. Akad. Nauk SSSR 1956, 108, 190–193. [Google Scholar]
- Kishore, N. The Rayleigh function. Proc. Am. Math. Soc. 1963, 14, 527–533. [Google Scholar] [CrossRef]
- Elizalde, E.; Leseduarte, S.; Romeo, A. Sum rules for zeros of Bessel functions and an application to spherical Aharonov-Bohm quantum bags. J. Phys. A Math. Gen. 1993, 26, 2409–2419. [Google Scholar] [CrossRef]
- Calogero, F. On the zeros of Bessel functions. Lett. Al Nuovo C. (1971–1985) 1977, 20, 254–256. [Google Scholar] [CrossRef]
- Calogero, F. On the zeros of Bessel functions—II. Lett. Al Nuovo C. (1971–1985) 1977, 20, 476–478. [Google Scholar] [CrossRef]
- Ahmed, S.; Calogero, F. On the zeros of Bessel functions—IV. Lett. Al Nuovo C. (1971–1985) 1978, 21, 531–534. [Google Scholar] [CrossRef]
- Urbanowicz, K.; Stosiak, M.; Bergant, A. On the generalization of Calogero-Ahmed summation formulas. J. Phys. Conf. Ser. 2022, 2367, 012026. [Google Scholar] [CrossRef]
- Afanasiev, G.N. Closed expressions for some useful integrals involving Legendre functions and sum rules for zeroes of Bessel functions. J. Comput. Phys. 1989, 85, 245–252. [Google Scholar] [CrossRef]
- Pedersen, T.G. Sum rules for zeros and intersections of Bessel functions from quantum mechanical perturbation theory. Phys. Lett. A 2018, 382, 1837–1841. [Google Scholar] [CrossRef]
- Ciaurri, Ó.; Durán, A.J.; Pérez, M.; Varona, J.L. Bernoulli–Dunkl and Apostol–Euler–Dunkl polynomials with applications to series involving zeros of Bessel functions. J. Approx. Theory 2018, 235, 20–45. [Google Scholar] [CrossRef]
- Grebenkov, D.S. A physicist’s guide to explicit summation formulas involving zeroes of Bessel functions and related spectral sums. Rev. Math. Phys. 2021, 33, 2130002. [Google Scholar] [CrossRef]
- VanSant, J.H. Conduction Heat Transfer Solutions; Report No.: UCRL-52863; Lawrence Livemore National Laboratory, California University: Livermore, CA, USA, 1980. [Google Scholar]
- Han, J.C.; Wright, L.M. Analytical Heat Transfer, 2nd ed.; CRC Press: Boca Raton, FL, USA, 2022. [Google Scholar]
- Irvan, I.; Zahedi, Z.; Agus, A.; Suparni, S.; Amin, H. Simplified Formulas for Some Bessel Functions and their Applications in Extended Surface Heat Transfer. BAREKENG J. Ilmu Mat. Dan Terap. 2022, 16, 507–514. [Google Scholar] [CrossRef]
- Kung, K.Y.; Gong, M.F.; Srivastava, H.M.; Lin, S.D. Analytic Transient Solutions of a Cylindrical Heat Equation. Filomat 2021, 35, 2617–2628. [Google Scholar] [CrossRef]
- Zare, M.; Sadeghi, S.; Xiong, Q. Analytical and numerical solutions for transient heat conduction in an infinite geometry with heat source subjected to heterogeneous boundary conditions of the third kind. J. Therm. Anal. Calorim. 2021, 143, 725–736. [Google Scholar] [CrossRef]
- Magnus, W.; Oberhettinger, F.; Soni, R.P. Formulas and Theorems for the Special Functions of Mathematical Physics, 3rd ed.; Springer: Berlin, Germany, 1966. [Google Scholar] [CrossRef]
- Lommel, E. Studien über die Bessel’schen Functionen; Druck und Verlag von B.G. Teubner: Leipzig, Germany, 1868. [Google Scholar]
- Lommel, E. Zur Theorie der Bessel’schen Functionen. Math. Ann. 1871, 4, 103–116. [Google Scholar] [CrossRef]
- Dickinson, D. On Lommel and Bessel polynomials. Proc. Amer. Math. Soc. 1954, 5, 946–956. [Google Scholar] [CrossRef]
- Zielke, W. Frequency-Dependent Friction in Transient Pipe Flow. Ph.D. Thesis, University of Michigan, Ann Arbor, MI, USA, 1966. [Google Scholar]
- Urbanowicz, K.; Bergant, A.; Stosiak, M.; Karpenko, M.; Bogdevičius, M. Developments in analytical wall shear stress modelling for water hammer phenomena. J. Sound Vib. 2023, 562, 117848. [Google Scholar] [CrossRef]
- Vogelpohl, G. 15. Uber die Ermittlung der Rohreinlaufstromung aus den Navier-Stokesschen Gleichungen. ZAMM—J. Appl. Math. Mech. Z. Angew. Math. Mech. 1933, 13, 446–447. [Google Scholar] [CrossRef]
- Whittaker, E.T. On the numerical solution of integral-equations. Proc. R. Soc. Lond. A 1918, 94, 367–383. [Google Scholar] [CrossRef]
- Youla, D.C. Theory and Synthesis of Linear Passive Time-Invariant Networks; Cambridge University Press: Cambridge, UK, 2015. [Google Scholar]
- Filanovsky, I.M. Enhancing amplifiers/filters bandwidth by transfer function zeroes. In Proceedings of the 2015 IEEE International Symposium on Circuits and Systems (ISCAS), Lisbon, Portugal, 24–27 May 2015; pp. 141–144. [Google Scholar] [CrossRef]
- Filanovsky, I.M. Design of wide-band amplifiers/filters using Lommel polynomials. In Proceedings of the 2015 IEEE International Symposium on Circuits and Systems (ISCAS), Lisbon, Portugal, 24–27 May 2015; pp. 2672–2675. [Google Scholar] [CrossRef]
- Su, K.L. Time Domain Synthesis of Linear Networks; Prentice-Hall: Saddle River, NY, USA, 1971. [Google Scholar]
- Clarke, K.K.; Hess, D.T. Communication Circuits: Analysis and Design; Addison-Wesley: New York, NY, USA, 1971. [Google Scholar]
- Li, J.C. Analytical solutions for the transient and steady-state responses of linear time-invariant networks. Int. J. Electron. 1993, 74, 423–439. [Google Scholar] [CrossRef]
- Beneventano, C.G.; Fialkovsky, I.V.; Santangelo, E.M. Zeros of combinations of Bessel functions and the mean charge of graphene nanodots. Theor. Math. Phys. 2016, 187, 497–510. [Google Scholar] [CrossRef]
- Giusti, A.; Mainardi, F. A dynamic viscoelastic analogy for fluid-filled elastic tubes. Meccanica 2016, 51, 2321–2330. [Google Scholar] [CrossRef]
- Giusti, A.; Mainardi, F. On infinite series concerning zeros of Bessel functions of the first kind. Eur. Phys. J. Plus 2016, 131, 206. [Google Scholar] [CrossRef]
- Campos, R.G.; Calderón, M.L. Approximate Closed-Form Formulas for the Zeros of the Bessel Polynomials. Int. J. Math. Math. Sci. 2012, 2012, 873078. [Google Scholar] [CrossRef]
- Kerimov, M.K. Studies on the Zeroes of Bessel Functions and Methods for Their Computation: IV. Inequalities, Estimates, Expansions, etc., for Zeros of Bessel Functions. Comput. Math. Math. Phys. 2018, 58, 1–37. [Google Scholar] [CrossRef]
- Kostin, A.B.; Sherstyukov, V.B. Calculation of Rayleigh type sums for zeros of the equation arising in spectral problem. IOP Conf. Ser. J. Phys. Conf. Ser. 2017, 937, 012022. [Google Scholar] [CrossRef]
- Ismail, M.E.H.; Muldoon, M.E. Bounds for the small real and purely imaginary zeros of Bessel and related functions. Methods Appl. Anal. 1995, 2, 1–21. [Google Scholar] [CrossRef]
- Baricz, Á.; Szász, R. The radius of convexity of normalized Bessel functions of the first kind. Anal. Appl. 2014, 12, 485–509. [Google Scholar] [CrossRef]
- Urbanowicz, K.; Bergant, A.; Grzejda, R.; Stosiak, M. About Inverse Laplace Transform of a Dynamic Viscosity Function. Materials 2022, 15, 4364. [Google Scholar] [CrossRef]
- Brühl, M. Analytical Solution for Laminar Water Hammer with Frequency-Dependent Friction. ASME J. Fluids Eng. 2022, 144, 111302. [Google Scholar] [CrossRef]
- Brereton, G.J.; Jiang, Y. Exact solutions for some fully developed laminar pipe flows undergoing arbitrary unsteadiness. Phys. Fluids 2005, 17, 118104. [Google Scholar] [CrossRef]
- Urbanowicz, K.; Haixiao, J.; Bergant, A.; Stosiak, M.; Lubecki, M. Progress in Analytical Modeling of Water Hammer. J. Fluids Eng. 2023, 145, 081203. [Google Scholar] [CrossRef]
- Baricz, A.; Masirevic, D.J.; Pogany, T.K.; Szasz, R. On an identity for zeros of Bessel functions. J. Math. Anal. Appl. 2015, 422, 27–36. [Google Scholar] [CrossRef]
- Anghel, N. On the paper “On an identity for the zeros of Bessel functions” by Baricz et al. J. Math. Anal. Appl. 2018, 468, 359–363. [Google Scholar] [CrossRef]
- Fadel, M.; Raza, N.; Du, W.-S. Characterizing q-Bessel Functions of the First Kind with Their New Summation and Integral Representations. Mathematics 2023, 11, 3831. [Google Scholar] [CrossRef]
- Huo, X.; Yang, W.; Jin, F.; Ben, S.; Song, X. Application of the Generalized Bessel Function to Two-Color Phase-of-the-Phase Spectroscopy. Mathematics 2022, 10, 4642. [Google Scholar] [CrossRef]
- Usman, T.; Khan, N.; Martínez, F. Analysis of Generalized Bessel–Maitland Function and Its Properties. Axioms 2023, 12, 356. [Google Scholar] [CrossRef]
- Li, A.; Qin, H. Fast Calculation of the Derivatives of Bessel Functions with Respect to the Parameter and Applications. Symmetry 2023, 15, 64. [Google Scholar] [CrossRef]
- Zhu, L. New Bounds for the Modified Bessel Function of the First Kind and Toader-Qi Mean. Mathematics 2021, 9, 2867. [Google Scholar] [CrossRef]
- Abramochkin, E.G.; Kotlyar, V.V.; Kovalev, A.A. Double and Square Bessel–Gaussian Beams. Micromachines 2023, 14, 1029. [Google Scholar] [CrossRef] [PubMed]
- Dattoli, G.; Di Palma, E.; Licciardi, S.; Sabia, E. From Circular to Bessel Functions: A Transition through the Umbral Method. Fractal Fract. 2017, 1, 9. [Google Scholar] [CrossRef]
- Watson, G.N. A Treatise on the Theory of Bessel Functions, 2nd ed.; Cambridge University Press: Cambridge, UK, 1966. [Google Scholar]
- Gray, A.; Mathews, G.B. A Treatise on Bessel Functions and Their Applications to Physics, 2nd ed.; Macmillan and Company, Limited: London, UK, 1952. [Google Scholar]
- Bowman, F. Introduction to Bessel Functions, 1st ed.; Dover Publications: New York, NY, USA, 1958. [Google Scholar]
- McLachlan, N.W. Bessel Functions for Engineers, 2nd ed.; Clarendon Press: Oxford, UK, 1955. [Google Scholar]
- Korenev, B.G. Bessel Functions and Their Applications, 1st ed.; CRC Press LLC: Boca Raton, FL, USA, 2002. [Google Scholar]
- Baricz, A.; Masirevic, D.J.; Pogany, T.K. Series of Bessel and Kummer-Type Functions; Lecture Notes in Mathematics; Springer International Publishing AG: Cham, Switzerland, 2017; Volume 2207. [Google Scholar] [CrossRef]








Disclaimer/Publisher’s Note: The statements, opinions and data contained in all publications are solely those of the individual author(s) and contributor(s) and not of MDPI and/or the editor(s). MDPI and/or the editor(s) disclaim responsibility for any injury to people or property resulting from any ideas, methods, instructions or products referred to in the content. |
© 2023 by the author. Licensee MDPI, Basel, Switzerland. This article is an open access article distributed under the terms and conditions of the Creative Commons Attribution (CC BY) license (https://creativecommons.org/licenses/by/4.0/).
Share and Cite
Urbanowicz, K. Infinite Series Based on Bessel Zeros. Appl. Sci. 2023, 13, 12932. https://doi.org/10.3390/app132312932
Urbanowicz K. Infinite Series Based on Bessel Zeros. Applied Sciences. 2023; 13(23):12932. https://doi.org/10.3390/app132312932
Chicago/Turabian StyleUrbanowicz, Kamil. 2023. "Infinite Series Based on Bessel Zeros" Applied Sciences 13, no. 23: 12932. https://doi.org/10.3390/app132312932
APA StyleUrbanowicz, K. (2023). Infinite Series Based on Bessel Zeros. Applied Sciences, 13(23), 12932. https://doi.org/10.3390/app132312932
