Abstract
The effect of aftershocks on the function recovery process of damaged structures after large earthquakes cannot be ignored in the resilience evaluation of buildings and communities. Based on the Monte Carlo simulation method, this paper proposes an approach to evaluate the seismic resilience of reinforced concrete frame considering the effect of mainshock-aftershock sequences. The findings of this study can provide a reference for the seismic performance evaluation of reinforced concrete frame structures under aftershocks.
1. Introduction
Earthquake experience indicates that there is a high probability of a sequence of aftershocks occurring after a large mainshock. For building structures, aftershocks may aggravate the damage generated by the mainshock and increase the risk of collapse in the short term, and will delay the repair and function recovery process of damaged structures in the long term. Strong aftershocks in the main earthquake sequence have a particularly serious impact on the secondary damage of the structure, which not only causes serious damage to the economy, but also has a very bad impact on the post-disaster rescue work. Therefore, aftershocks are imperative for the study of systematic effects. The study of aftershocks has never stopped by scholars around the world. Modern physicist Nagaoka first proposed the concept of aftershocks in 1907. The relationship between the mainshock and aftershocks has been a focal point of researchers around the world. This seminal work laid the foundation for the study of aftershocks and the relationship between mainshocks and aftershocks. It provided important insights into the physical mechanisms that drive aftershock sequences and paved the way for subsequent research [1]. Zhu Ruiguang et al. proposed the Copula distribution and reflected the aftershock earthquake intensity distribution curve, which can be used to predict the intensity parameters of the aftershock earthquake. This work proposed a novel approach for modeling the intensity distribution curve of aftershocks using the Copula distribution. The method is useful for predicting the intensity parameters of future aftershocks and has potential applications in seismic hazard assessment [2]. Jiang Haikun et al. analyzed the statistics of recorded earthquake data and obtained the conclusion that the maximum aftershock magnitude in the sequence increases with the increase of the mainshock magnitude, and predicted the occurrence time and magnitude of the largest aftershock in a mainshock sequence. The findings have important implications for earthquake early warning systems and disaster response planning [3]. Seismic resilience has gradually become one of the indicators to measure the seismic performance of seismic engineering. Relevant scholars have given different quantitative methods for the seismic resilience according to the existing studies. Bruneau proposed a comprehensive framework for assessing the resilience of communities to earthquakes, including quantitative methods for measuring resilience. The approach is useful for identifying vulnerabilities and designing strategies to enhance community resilience [4]. Cimellaro used a case study of a hospital network to analyze the recovery model of elastic frameworks after an earthquake considering the direct and indirect losses, and provided a method for assessing earthquake recovery capabilities. The findings have important implications for minimizing the impact of earthquakes on critical infrastructure [5]. Dong et al. proposed a method for assessing the seismic resilience of steel structure and foundation by considering economic, social, and environmental factors, and considered the impact of building structures with shock absorption and shock insulation on the seismic resilience. The approach is useful for optimizing earthquake engineering design and mitigating the impact of earthquakes on structures [6]. Chang first proposed a method for linking the expected loss of future disasters with the seismic performance of a community, using Monte Carlo simulations to analyze resilience at the system level. The approach is useful for comprehensive assessment of seismic resilience [7]. Bruneau et al. quantified the impact of earthquakes on the resilience of both structural and non-structural systems, including their integrity, lifeline, and structural facilities. The approach is useful for understanding the impact of earthquakes on critical infrastructure [8]. Gian et al. proposed a comprehensive model for quantifying the seismic resilience of systems, including their physical, social, and economic aspects. The approach is useful for designing strategies to enhance resilience and minimize the impact of earthquakes on communities, and the model can provide decision support for earthquake disaster prevention work [9]. Hofer et al. proposed an evaluation method for measuring the indirect economic losses based on the direct economic losses and the business shutdown and interruption caused by the earthquake. The findings have important implications for estimating the true cost of earthquakes and designing policies to minimize their impact [10]. The analysis of the impact of the mainshock-aftershocks sequence on the structure began in 1980 when Mahin first considered the additional impact of the aftershocks on the structure. The results indicate that the ductility and energy accumulation of structures under the action of a mainshock and aftershocks are greatly increased compared to those under a single earthquake, and aftershocks to some extent increase the demand for structural ductility [11]. Amadio et al. analyzed the response of single-degree-of-freedom systems under non-single earthquake scenarios, and compared it with the response under a single earthquake, concluding that aftershocks cause additional damage to structures. The findings have important implications for assessing the impact of aftershocks on structures [12]. Hatzigeorgiou and Beskos proposed a simple and effective structural elastic displacement ratio estimation method that can be used for the analytical process of multiple seismic events and showing that the occurrence of aftershocks has a significant impact on the elastic displacement ratio and maximal inelastic displacement of the single-degree-of-freedom system. The findings have significant implications for the design of resilient earthquake-resistant structures [13,14]. The above work provides a comprehensive overview of the study of aftershocks and their impact on building structures and recovery efforts. The work highlights various research studies that have investigated the characteristics of aftershocks, proposed different methods for predicting their intensity parameters, occurrence time, and magnitude, and discussed the concept of seismic resilience. The information presented is useful for predicting aftershocks, assessing seismic resilience, and improving strategies for mitigating the impact of aftershocks on structures.
At present, seismic resilience has gradually become an important index to measure structural function and recovery capacity. The research on the seismic resilience of the mainshock-aftershock is not perfect at home and abroad, and since the evaluation of the seismic resilience of the mainshock-aftershock is still in its infancy, so the research on the seismic resilience of the structure under the action of the mainshock-aftershock is imperative. In Section 2, a methodology for assessing the seismic vulnerability of mainshock-aftershock sequences was proposed, with a particular focus on the influence of the mainshock-aftershock time interval. In Section 3, a case study of seismic vulnerability assessment for a reinforced concrete frame using the proposed mainshock-aftershock framework was presented. Finally, Section 4 summarizes the conclusions of this study. In order to further improve the defects of aftershocks research in the current code and the incomplete definition of normalized economic loss, based on the existing research, this paper evaluates the seismic resilience of structures under the action of mainshock-aftershocks, and considers the seismic design method of mainshock-aftershocks.
2. Methodology
This section primarily focuses on the seismic vulnerability of mainshock-aftershock sequences and presents a methodology for evaluating this vulnerability, placing special emphasis on the impact of the mainshock-aftershock time interval. The summarized procedure diagram of this article is depicted in Figure 1.
Figure 1.
Procedure diagram.
2.1. Resilience Index Considering Mainshock-Aftershock Sequences
In a broad sense, the seismic resilience of an engineering system refers to the ability of the system to maintain its own function and gradually return to its initial state when the internal elements or external environment changes [15]. For a single earthquake, the resilience could be represented as the shaded area under the functional function, Q(t), from the occurrence of the earthquake to the end of structure restoration, as shown in Figure 2:
Figure 2.
Functional curves of the structure under a single earthquake [15].
According to the shaded area of Figure 2, the structure encounters a single earthquake event during the whole life cycle, and the expression of seismic resilience is [16]
where R is the seismic resilience of engineering structure, Q(t) is the normalized structural functionality, is the time point of earthquake occurrence and is the recovery period. In practice, it is difficult to determine the value of , because the actual repair process of a damaged structure is affected by multiple uncertain factors, e.g., the delay of rescue material transportation caused by the blockage of urban roads after earthquake. Hence, the control period is usually used instead of and its value is fixed for all the damaged structures in an earthquake. The value of Tc is dependent on the expected recovery time and is also related to the intensity of the earthquake. For small earthquakes, Tc is generally between 3 and 6 months. For large earthquakes, Tc is typically between 6 months and 1 year. By setting the control period to initiate at the moment of earthquake occurrence, Equation (1) can be rewritten as
Since the target state level of structural repair after the earthquake may be different from that of the pre-earthquake structural state, the system or structure may suffer multiple earthquake shocks within the earthquake sequence during the whole life cycle of the structure. Therefore, the seismic resilience of the structure throughout its lifecycle is obtained by taking the mean of the normalized function during the structure’s service period, and the seismic resilience under a single earthquake is actually the mean of the normalized function during the post-earthquake repair time. It is assumed that its function returns to the initial levels under structural self-restoration and anthropogenic repair.
This paper aims to assess the seismic resilience of the system subjected to the mainshock and aftershocks. According to the aforementioned Equations (1) and (2), the calculation variables of seismic resilience, the change of the structure normalized function during the post-earthquake repair period, and the functional function expression Q(t):
where the IM parameter is the spectral acceleration, Sa, L(IM) is the loss function of the normalized functionality of the structure caused by earthquake, is the Heaviside step function, and is the recovery function which describes the recovery process of the damaged structure. The Heaviside step function is a function defined on the real number domain R. It takes a value of 0 in the interval (−∞, 0) and a value of 1 in the interval [0, ∞). The loss function is a function of vulnerability. The vulnerability of a structure is a characteristic of the structure, and is usually measured by the vulnerability function and vulnerability curve.
Equations (1) and (2) are also applicable for the seismic resilience evaluation under mainshock-aftershock sequences. However, the time interval between mainshock and aftershock will affect the recovery process of damaged structures. In this paper, it is assumed that just one aftershock occurs. To evaluate the resilience of the structure under this scenario, three cases have been considered. The first case involves an aftershock occurring shortly after the mainshock, allowing no time for the building’s damage to be repaired. The second case is that the aftershock occurs during the restore process of the structure. In this situation, the function of the structure has been repaired but does not totally recover. The third case is that the aftershock occurs so long after the mainshock that the structure has been completely recovered. In this case, the mainshock and aftershock could be treated as two independent earthquakes.
2.2. Loss Function
The analysis of this section includes direct and indirect economic loss and casualty estimation, excluding the impact of casualty losses. The direct economic loss of the earthquake is the sum of the loss caused by the waste of natural resources, asset damage, and the loss caused by the collapse of the buildings themselves. After thorough analysis and careful consideration, the estimation method for the economic loss ratio is defined as shown in Equation (4):
In the equation, K = 1, 2, 3 indicates the residential, commercial, and specifically the medical, industrial, university, and other important categories of buildings that require precision instruments.
In order to estimate the indirect economic loss relatively simply, the economic loss ratio parameter is introduced here, which represents the ratio of the indirect economic loss to the direct economic loss. The analytical equation for indirect economic loss is as follows:
where is direct economic loss when earthquake intensity is I, is indirect economic loss ratio.
2.3. Seismic Loss of Function
Utilizing the structural seismic vulnerability function, the study based on the demand analysis of the probabilistic earthquake concerns the statistical relationship between the structural engineering demand parameter EDP and the geo-seismic strength index IM [17]. The analytical expression is
where and are statistical regression parameters, the IM parameter is the spectral acceleration, Sa.
According to the definition, the transcendence probability of the vulnerability function is a conditional probability, which means that the earthquake vulnerability function is greater than the limit state of the structural carrying capacity under the premise of a certain strength index. The seismic vulnerability function can be expressed as:
where DI is the damage index of the structure, LS is the limit state of the maximum bearing capacity of the structure defined for the structure, Φ(∙) is the standard normal distribution function, represents the standard deviation of the logarithmic regression analysis between the seismic demand parameters and the ground motion intensity, that can be expressed as:
The values of are dependent on a lot of different factors that include characteristics of the input, the structures, the calculation method, etc. [18,19].
When the limit state LS index is not specified, Sc is used to represent the structure resistance, which is the value corresponding to the structure in the limit state LS, and Sd represents the structure demand, which is the value corresponding to the structure failure index DI. Assuming that the probability function of structural resistance also follows lognormal distribution, according to Equation (7), the failure probability of the limit state corresponding to structural resistance is
where is the logarithmic standard deviation of seismic demand, is the logarithmic standard deviation of structure resistance. According to the suggestion in the American Disaster Assessment Management Manual [20], when the geo-seismic strength index IM takes spectral acceleration as the independent variable, can be 0. 4.
In order to represent the vulnerability function more intuitively, it is assumed that event is used to represent the probability that structure i randomly selected from the sample is in the failure state Ek when spectral acceleration is . Seismic vulnerability curves of different failure states can be expressed by the lognormal distribution function:
where is the median value corresponding to the vulnerability curves of each failure state. is the logarithmic standard deviation corresponding to the vulnerability curves of each failure state. represents intact, minor, moderate, severe, and complete ultimate failure states, respectively. Based on the assumption that the vulnerability curve follows the lognormal distribution, the logarithmic standard deviation is taken as the constant . According to Equations (9) and (10), the earthquake vulnerability can be defined as:
On the premise of a certain spectral acceleration value, is the difference between the exceedance probability of the intact structure and the exceedance probability of slight failure according to Equation (11), and it indicates the probability of an intact structure after earthquake damage. Similarly, is the difference between the exceedance probability of the structure in the state of slight damage and the exceedance probability of the structure in the state of moderate damage, and it indicates the probability that the structure is only slightly damaged by earthquake damage; is the difference between the exceedance probability of the structure in the moderate failure state and the exceedance probability of the structure in the severe failure state. is the difference between the exceedance probability of the structure in the state of severe damage and the exceedance probability of complete damage, and it indicates the probability that the structure is severely damaged by earthquake. is the probability that the structure is seriously damaged by earthquake.
2.4. Functional Recovery Process
Based on the recovery data classification, Cimellaro proposed three formally simple, statistically easy, analytical functional recovery functions. According to the importance of the system and the allocation speed of social human resources and resources, you can choose different types of functional recovery functions, mainly including three categories: linear functions, trigonometric functions, and exponential functions [21]. The linear function recovery function assumes the structural repair efficiency is constant, which is suitable for the lack of recovery resources after the earthquake. Under the premise of no human interference and external materials intervention, the general structure can be quickly repaired through the recovery of the structure itself, and its analytical expression is as follows:
The trigonometric function type recovery function assumes that the structure or system repair efficiency changes with time, which is applicable to the case where the structure cannot be repaired quickly due to highway damage or other reasons. Its analytical expression is as follows:
The exponential function recovery function assumes that the specific structure or system repair efficiency changes with time, which is applicable to the emergency repair of the structure or the system due to the importance of the system when the structure is damaged to quickly restore its use function. Its analytical expression is as follows:
where a and b are both empirical undetermined coefficients.
2.5. Definition of the Seismic Resilience Index of the Mainshock-Aftershock
Compared with the definition of the seismic resilience of the system under a single earthquake, Equation (1), the seismic resilience of the system during multiple earthquakes, can be defined as:
where is the time for the structure to recover to the initial state after the i earthquake, is the number of earthquakes experienced in the whole life cycle of the system, is the times of the ith destruction of the system. The definition of multiple earthquakes is shown in Figure 3.
Figure 3.
Significance of seismic resilience under the action of mainshock-aftershock.
According to the difference between the aftershock time and the duration of the mainshock, the system resilience recovery curve can be divided into three cases: (a) time interval ; in a very short time after the mainshock, aftershocks occur. Since the mainshock has not been repaired in time, the system sustains secondary damage, resulting in severe damage; (b) time interval ; after the mainshock, the system undergoes a period of repair. When the system is not completely restored to its initial state, aftershocks occur, causing secondary damage and leading to significant harm; (c) time interval ; after the mainshock, the system undergoes an extended period of repair until it is fully restored to its initial state, followed by the occurrence of aftershocks.
The recovery curve of the system is depicted in Figure 4. The dashed line represents the system’s recovery curve when only the mainshock causes damage to the structure, while the solid line represents the system’s recovery curve under the combined influence of the mainshock-aftershock. The value of the partial area between the solid line and the time axis during the recovery period signifies the seismic resilience of the system at the time interval when the mainshock-aftershock occurs. In summary, aftershocks result in incremental damage compared to the mainshock. Although the magnitude of the aftershock is reduced compared to the mainshock, the secondary damage to the structure in its damaged state is more severe than the damage caused by the aftershock alone. In the damaged state, the area between the restore function and the time axis during the recovery period is significantly smaller than that in the undamaged state. Greater resilience implies easier recovery for the structure and lesser relative loss. Conversely, lower resilience leads to shorter recovery time, higher consumption of human and material resources, and more adverse impacts. The seismic resilience of the system under the mainshock-aftershock is slightly different due to the different time interval of the mainshock-aftershock. For different cases, the seismic resilience is presented as Equation (16):
where is the duration from the occurrence of the aftershock to the restoration of the system to its initial state under the premise of aftershock-induced damage, is the time interval between the occurrence of the mainshock and the occurrence of the aftershock, is the time points of the aftershock occurrence, and . is the duration from the occurrence of the mainshock to the restoration of the system to its initial state after being damaged by the mainshock.
Figure 4.
System resilience curve of mainshock-aftershock (time interval).
2.6. Mainshock-Aftershock Intensity Correlation Model
is the difference between the magnitude of the main earthquake and the largest aftershock magnitude within a one-year period [3]:
Based on the preliminary determination of the sequence type, a statistical estimation of the maximum aftershock magnitude within one year was conducted according to the main earthquake magnitude of the sequence [3]:
2.7. Incremental Model of Aftershock Damage
The damage inflicted on a structure by aftershocks is considered as secondary damage, which occurs on the partially repaired structure following the mainshock. Considering the damage of the structure caused by the mainshock, different repair times and degrees of repair, the damage caused by the maximum aftershocks is referred to as secondary damage, that is the incremental damage. According to the Equation (9), the vulnerability function under a single earthquake can be written as:
where is the corresponding failure probability when the structure failure index is greater than the limit state defined by the structure under the premise of a certain seismic intensity index, represents the median value of seismic demand D under a single earthquake, represents the median value of seismic capacity C.
Considering the damage increment, the reinforced concrete frame-core structure designed according to the current code in China can meet the expected seismic fortification target under the action of the mainshock-aftershock sequence. Taking the structural demand as the evaluation parameter, in this paper, is introduced to measure the difference between the structural demand of the mainshock-aftershock and that of a single earthquake event. is defined as:
where represents the median value of seismic demand D under the mainshock-aftershock. According to Equations (19) and (20), the seismic vulnerability function under the action of the mainshock-aftershock can be expressed as follows:
2.8. The Monte Carlo Method
In this paper, the Monte Carlo method is employed to address the stochastic problem in the resilience analysis of building structure under mainshock-aftershock. Here, the time intervals between mainshock-aftershocks are considered to be random variables. By utilizing the probability density function of these time intervals, a large number of samples can be generated to represent the time intervals. The corresponding functional function values Q(t) can be calculated for each sample, allowing for the determination of resilience sample values. The average value of these resilience sample values represents the seismic resilience of the structure considering the stochasticity of mainshock-aftershock time intervals. In practice, the inversion function method can be employed to simulate and generate sample values for the time intervals. The inversion function method is a technique used in seismic resilience studies to generate samples of random variables based on a given probability density function. It involves inverting the cumulative distribution function of the variable to obtain a sample value from a uniform random number. This process is repeated to generate multiple samples, allowing for the simulation and analysis of the random variable’s behavior in structural performance evaluation. The inversion function method is valuable for capturing the stochasticity of variables and studying their effects on resilience.
3. Examples and Discussion
This section takes an eight-story reinforced concrete frame structure as the research object and establishes the finite element model using the Opensees software v3.5.0 [21]. The seismic resilience of the model under the influence of a single earthquake and the mainshock-aftershock was computed and evaluated. The eight-story reinforced concrete frame structure considers a seismic intensity equal to a PGA = 0.2 g. The geometrical configuration of the frame: the first level is 4.5 m high; the remaining levels are 3.6 m high, with a transverse span of 6m, a longitudinal side span of 7.2 m, and a middle span of 3.6 m, citing the model parameters in the study [21]. The structural layout diagram is shown in Figure 5. This study focuses on the design, modeling, and analysis of a central plane frame structure. The vertical loads take into account the permanent and live loads in the shaded area of the diagram.
Figure 5.
(a) Frame structure plan; (b) Framework structure facade.
3.1. Calculation of Structural Earthquake Vulnerability Function
The structure was analyzed with a non-linear model. The beam-column fiber section model is used to simulate the non-linear behavior of the structure under earthquake. The Kent-Scott-Park model is assigned to the concrete elements [22]. The Kent-Scott-Park model (KSP model) is a constitutive model used to describe the behavior of reinforced concrete materials. The KSP model is primarily used for predicting and analyzing the mechanical response of reinforced concrete structures under bending and shear loading [23]. The Kent-Scott-Park model was used as the control point to determine the constitutive relationship of stirrup-constrained concrete, and the constitutive relationship was established according to the beam-column fiber section model proposed by Menegotto and Pinto [21]. Fan Liutao obtained probabilistic seismic demand parameters through linear fitting of 1000 maximum interstory displacement angles and spectral acceleration [21]; the unit of Sa is g (9.8 m/s2), the interstory angle is dimensionless, and the fitting results are shown in Table 1:
Table 1.
Probabilistic seismic requirement model parameters.
Based on the seismic vulnerability theory, the failure probability of the structure has been calculated at four different levels. The analytical equation that describes the relationship between the maximum interstory displacement angle of the frame structure subjected to longitudinal horizontal earthquake excitation and the spectral acceleration of seismic motion under a single earthquake is presented as follows [21]:
The maximum interstory displacement angle could be calculated by the methods in [24,25]. Substituting the aforementioned equation into the seismic vulnerability function equation, the expression of the single seismic vulnerability curve of the frame structure at different state levels can be obtained after simplification:
The difference between the structural demand of the mainshock-aftershock and that of the single mainshock is 10% [26]. Therefore, the relation expression of seismic motion spectral acceleration under the action of the mainshock-aftershock is
By substituting Equation (22) into Equation (24), the following expression can be derived [21]:
Under the action of the mainshock-aftershock, the vulnerability curve expression of the frame structure at different state levels can be obtained according to Equation (23):
The spectral acceleration of ground motion is the X-axis and the overpassing probability of structure at different levels is the Y-axis. The spectral acceleration follows a lognormal distribution. According to the equation of failure probability, the relationship between failure probability and spectral acceleration is obtained by linear interpolation. The longitudinal seismic vulnerability curve of eight-story reinforced concrete frame under a single seismic event is established. Figure 6 presents the vulnerability curves under the single shock and the mainshock-aftershock. It could be found that the vulnerability curves under mainshock-aftershock are higher than those under a single shock, which indicates that the mainshock-aftershock may cause worse damage to the structure.
Figure 6.
Vulnerability curve of eight-story reinforced concrete frame.
3.2. Analysis of the Seismic Resilience of the Mainshock-Aftershock
The seismic resilience of the engineering structure can be evaluated based on its seismic performance, including the recovery time, cost required, and recoverability of the structure. Three functional recovery models are employed in this study to introduce the theory and methodology for assessing seismic engineering losses, and the seismic resilience of reinforced concrete frames was analyzed under different seismic intensities, including multiple occurrence earthquakes, fortification-level earthquakes, and rare occurrence earthquakes. By analyzing the seismic resilience of three distinct recovery models, an evaluation of the overall seismic performance of the engineering structure was conducted.
Based on the seismic vulnerability curve equation, the seismic vulnerability of the structure was calculated separately for multiple occurrence earthquakes (the seismic impact coefficient is 0.076), fortification-level earthquakes (the seismic impact coefficient is 0.215), and rare occurrence earthquakes (the seismic impact coefficient is 0.429).
- (1)
- Multiple occurrence earthquakes
Under the action of a single seismic event, the exceedance probability P for the loss of the structure under the four failure states can be calculated as follows:
Under the action of the mainshock-aftershock, the exceedance probability P’ for the loss of the structure under the four failure states can be calculated as follows:
- (2)
- Fortification-level earthquakes
Under the action of a single seismic event, the exceedance probability P for the loss of the structure under the four failure states can be calculated as follows:
Under the action of the mainshock-aftershock, the exceedance probability P’ for the loss of the structure under the four failure states can be calculated as follows:
- (3)
- Rare occurrence earthquakes
Under the action of a single seismic event, the exceedance probability P for the loss of the structure under the four failure states can be calculated as follows:
Under the action of the mainshock-aftershock, the exceedance probability P’ for the loss of the structure under the four failure states can be calculated as follows:
According to Equations (27)–(32), the exceedance probability of the structure under the action of the mainshock-aftershock is calculated. The failure probability of the structure at each individual state level is shown in Table 2:
Table 2.
Probabilities of structural disruption at different state levels.
3.3. Structural Normalization and Direct Economic Loss
The calculation methods for normalizing the direct economic loss of structures under three scenarios, multiple earthquakes, fortified earthquakes, and rare earthquakes, can be described as follows.
- (1)
- Normalized economic losses under multiple earthquakes
Under the action of a single earthquake event and mainshock-aftershocks, the direct economic loss of the structure is shown in Equations (33) and (34):
This paper incorporates an indirect economic loss ratio of and computes the summation of direct and indirect economic losses to determine the total normalized economic loss. Under the action of a single earthquake event and mainshock-aftershocks, the total normalized economic loss is
The normalized economic loss of the structure after the earthquake, under the mainshock-aftershock, is slightly higher than the normalized economic loss under a single earthquake event. The difference between the two is calculated as follows:
- (2)
- Normalized economic losses under fortification-level earthquakes
Under the action of a single earthquake event and mainshock-aftershocks, the direct economic loss of the normalized post-earthquake structure is shown in Equations (38) and (39):
Under the action of a single earthquake event and mainshock-aftershocks, the total normalized economic loss is
The normalized economic loss of the structure after the earthquake, under the mainshock-aftershock, is slightly higher than the normalized economic loss under a single earthquake event. The difference between the two is calculated as follows:
- (3)
- Normalized economic loss under rare earthquakes
Under the action of a single earthquake event and mainshock-aftershocks, the direct economic loss of the normalized post-earthquake structure is shown in Equations (43) and (44):
Under the action of a single earthquake event and mainshock-aftershocks, the total normalized economic loss is
The normalized economic loss of the structure after the earthquake, under the mainshock-aftershock, is slightly higher than the normalized economic loss under a single earthquake event. The difference between the two is calculated as follows:
Table 3 shows that the loss index of the structure during the mainshock-aftershock is marginally higher than that during the mainshock alone; furthermore, as the intensity increases, the loss index exhibits a corresponding increase, and the difference of the loss index between the mainshock-aftershock and the main earthquake alone also expands.
Table 3.
Results of normalized economic loss index calculation for structures under different earthquakes.
3.4. Effect of the Mainshock-Aftershocks on the Seismic Resilience
3.4.1. Recovery Curve Parameter Calculation
The recovery curve parameters in this section are calculated based on the assumption that the mainshock-aftershock time interval is 0. Based on the three recovery function Equations (12)–(14), the recovery curves for the three recovery models were calculated considering multiple earthquakes, fortified earthquakes, and rare earthquakes.
Taking the recovery model of the mainshock and mainshock-aftershocks as an example, when the time interval between the mainshock and mainshock-aftershocks occurs, the structure experiences damage and subsequent restoration to restore its integrity to 99.5% of its pre-failure state in order to maintain its basic functionality. According to Equation (3) and Table 1, the functional function can be expressed as:
Substitute Equation (48) into Equation (13).
In Equation (49), considering Table 3, the total economic loss undergoes normalization, and the parameters a = 1 and b = 0.8405 are calculated under the sole action of the main earthquake. The trigonometric recovery function of the structure under the condition of multiple earthquakes can be expressed as:
Based on the normalized economic loss index of the mainshock-aftershock in Table 3, parameters a = 1 and b = 2.6539 are calculated using Equation (50). The recovery function of the structure under the action of the mainshock-aftershock can be expressed as:
Table 4.
Recovery curve parameters at the mainshock-aftershock time interval .
Table 5.
Recovery curve parameters at the mainshock-aftershock time interval .
- (1)
- In the linear function recovery model, the parameter a denotes the slope of the recovery function. During the seismic event, the slope of the recovery function decreases with increasing earthquake intensity. However, for the mainshock-aftershock recovery function, there is a slight increase in the slope compared to a single earthquake scenario. Notably, a larger slope corresponds to a smaller area enclosed by the functional curve and the X-axis in the recovery curve, while a smaller slope indicates a larger enclosed area;
- (2)
- In the triangular function recovery model, parameter b signifies the angular velocity circle frequency of the recovery function, which increases with the increase in seismic intensity and decreases as the period lengthens. The slope of the mainshock-aftershock recovery function exhibits a slight increment compared to that of a single earthquake. Notably, larger single earthquakes are associated with smaller areas enclosed by the functional curve and the X-axis within the recovery time range of the recovery curve. Conversely, a smaller angular velocity circle frequency corresponds to a larger enclosed area;
- (3)
- In the exponential function recovery model, the parameter indicates an exponential, which decreases as the earthquake intensity increases; the slope of the aftershock recovery function decreases slightly compared to that of a single earthquake event. Moreover, a higher index corresponds to a larger area enclosed by the functional curve and the X-axis within the recovery time range, while a lower index indicates a smaller enclosed area.
3.4.2. Function Curves under Mainshock and Mainshock-Aftershock
In the case of multiple earthquakes, fortified earthquakes, and rare earthquakes, the loss function is calculated according to the calculation results of the loss index in Table 3. When the structure is damaged by the earthquake, the residual function index of the structure is displayed in Table 6.
Table 6.
Calculation results of normalized functional and economic losses of structures under different seismic actions.
- (1)
- Frequently occurred earthquake
Based on recovery time and the definition of resilience (1), a simulation is conducted on the trigonometric function recovery model under multiple earthquake intensities. Figure 7 illustrates the functional function curves of the structure solely subjected to the mainshock.
Figure 7.
Functional function curves of the structure under mainshock alone.
As depicted in Figure 7, the structure exhibits a functional loss index of 0.0478 after being subjected to earthquake-induced damage, with a time duration of 24 days required for repair completion from the occurrence of the damage.
The loss-of-function function of the structures under the mainshock-aftershock is simulated using the Monte Carlo method. The simulation results are presented in Table 7. It can be observed that, under the action of multiple earthquakes, the resilience index tends to converge to a value of 0.9981 when a random number of 100 is selected.
Table 7.
Seismic resilience index under multiple earthquakes.
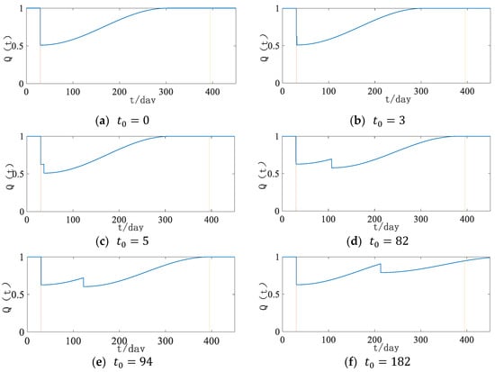
As illustrated in Figure 8, this study focused on analyzing the functional function curves of the structure under six typical sets of mainshock-aftershocks, each characterized by different time intervals. In Figure 8a, it can be observed that the mainshock and aftershocks occur nearly simultaneously, resulting in a functional loss index of 0.0505 for the structure following seismic damage. Figure 8b,c depict the structure was damaged by the mainshock, and was followed by a period of repair over time. The shorter the time interval between the mainshock and aftershocks, the greater the slope of the recovery curve of aftershocks, and the faster the restoration speed. Figure 8d–f demonstrate a high degree of consistency.
Figure 8.
Functional function curves of the mainshock-aftershock structure at different recovery times.
- (2)
- Fortified earthquake
As depicted in Figure 9, the structure exhibits a functional loss index of 0.1350 after being subjected to earthquake-induced damage, with a time duration of 74 days required for repair completion from the occurrence of the damage.
Figure 9.
Functional function curve of the structure under mainshock alone.
The loss-of-function function of the structures under the mainshock-aftershock is simulated using the Monte Carlo method. The simulation results are presented in Table 8. It can be observed that, under the action of fortified earthquakes, the resilience index tends to converge to a value of 0.9819 when a random number of 10,000 is selected.
Table 8.
Seismic resilience index under fortified earthquake.
As illustrated in Figure 10, this study focused on analyzing the functional function curves of the structure under six typical sets of mainshock-aftershocks, each characterized by different time intervals. In Figure 10a, it can be observed that the mainshock and aftershocks occur nearly simultaneously; at this time, it is permissible to approximately superimpose the damage caused by aftershocks onto the damage caused by the mainshock. The structure exhibits a functional loss index of 0.1632 after seismic damage. Figure 10b–d depict the structure was damaged by the mainshock, and was followed by a period of repair over time. The shorter the time interval between the mainshock and aftershocks, the greater the slope of the recovery curve of aftershocks, and the faster the restoration speed. Figure 10e,f demonstrate a high degree of consistency.

Figure 10.
Functional curves of the mainshock-aftershock structure at different recovery times.
- (3)
- Rarely occurred earthquake
As depicted in Figure 11, the structure exhibits a functional loss index of 0.3728 after being subjected to earthquake-induced damage, with a time duration of 274 days required for repair completion from the occurrence of the damage.
Figure 11.
Functional function curve of the structure under mainshock alone.
The loss-of-function function of the structures under the mainshock-aftershock is simulated using the Monte Carlo method. The simulation results are presented in Table 9. It can be observed that, under the action of rare earthquakes, the resilience index tends to converge to a value of 0.8016 when a random number of 10,000 is selected.
Table 9.
Resilience index of mainshock-aftershocks under rare earthquake.
As illustrated in Figure 12, this study focused on analyzing the functional function curves of the structure under six typical sets of mainshock-aftershocks, each characterized by different time intervals. In Figure 12a, it can be observed that the mainshock and aftershocks occur nearly simultaneously; at this time, it is permissible to approximately superimpose the damage caused by aftershocks onto the damage caused by the mainshock. The structure exhibits a functional loss index of 0.4903 after seismic damage. Figure 12b–f depict the structure was damaged by the mainshock, and was followed by a period of repair over time. The shorter the time interval between the mainshock and aftershocks, the greater the slope of the recovery curve of aftershocks, and the faster the restoration speed.
Figure 12.
Functional function curves of the mainshock-aftershock structure at different recovery times.
In conclusion, taking into account economic factors and socio-cultural factors, the comparison of the area enclosed by the functional function and the coordinate axis allows for the following conclusions to be drawn:
The function curve of the main earthquake and mainshock-aftershocks reveals a relationship between seismic intensity and various factors. As the seismic intensity increases, the slope of the curve decreases, resulting in a smaller enclosed area. This reduction signifies a decrease in the resilience of the system or structure, subsequently weakening its capacity to withstand the earthquake. Conversely, when the structure exhibits greater resilience, it indicates a stronger capacity for recovery, ultimately leading to a reduction in the economic loss incurred due to the earthquake.
An analysis of the resilience curve of a structure under the influence of different recovery times reveals that a shorter time interval between the mainshock and aftershocks leads to a smaller enclosed area between the functional function curve and the coordinate axis, indicating decreased resilience and a weaker ability of the system or structure to return to its initial state. Conversely, a longer time interval between the mainshock and aftershocks results in a larger enclosed area between the functional function curve and the coordinate axis, indicating increased resilience and a stronger ability of the system or structure to recover to its initial state. This enhanced recovery capability also reduces the required amount of resources and manpower.
Using the Monte Carlo method, increasing the number of simulation iterations enhances the convergence of resilience values.
4. Conclusions
In Section 2, a methodology for assessing the seismic vulnerability of mainshock-aftershock sequences was proposed, with a particular focus on the influence of the mainshock-aftershock time interval. In Section 3, a case study of seismic vulnerability assessment for a reinforced concrete frame using the proposed mainshock-aftershock framework was presented. Finally, Section 4 summarized the conclusions of this study.
Taking into account the incremental structural damage, this study uses the finite element model to calculate the structural vulnerability curve. The calculation method for normalizing the economic loss of the building structure and the analysis approach for the seismic resilience index in the building seismic design code are enhanced. Given that aftershocks can induce secondary damage to the structure, this research analyzes the seismic resilience of the structure under the mainshock-aftershock and compares it with the seismic resilience during the main earthquake alone. The innovation points and conclusions of this study are summarized as follows:
- (1)
- The calculation method for the seismic resilience index of the structure under the mainshock-aftershock was proposed. This method takes into account the loss of structural function and incorporates boundary conditions. In this study, seismic resilience was analyzed based on three different functional recovery models: linear, triangular, and exponential functions. Moreover, three random factors were taken into account to analyze the structure under the mainshock-aftershock: the strength of the mainshock-aftershock, the time interval between the main earthquake and the aftershock, and the incremental damage. The results reveal that the seismic resilience index during the mainshock-aftershock is lower compared to that of a single earthquake event;
- (2)
- The seismic resilience of reinforced concrete frames was analyzed using the Monte Carlo method. Time interval samples were obtained through random sampling based on the model for mainshock-aftershock time intervals. The seismic resilience of structures under the main earthquake alone and the mainshock-aftershocks was calculated considering multiple, fortified, and rare earthquake intensities. The study findings revealed that if aftershocks occur before the complete repair of structural damage caused by the mainshock, a shorter mainshock-aftershock time interval results in increased damage and decreased seismic resilience of the reinforced concrete frame.
Future research developments entail extending the proposed method to other types of structures such as bridges and enhancing the accuracy of parameter values utilized in the analysis.
Author Contributions
Conceptualization, P.L. and D.W.; Data curation, X.L.; Formal analysis, P.L. and X.W.; Writing-original draft, P.L., X.W. and D.W.; Writing-review &editing, P.L. and D.W. All authors have read and agreed to the published version of the manuscript.
Funding
This research was funded by [Natural Science Foundation of Hebei Province] grant number [E2020203103] and [Science and Technology Project of the Hebei Education Department] grant number [BJ2021043].
Institutional Review Board Statement
Not applicable.
Informed Consent Statement
Not applicable.
Data Availability Statement
All the data utilized during the study are included in the submitted article.
Conflicts of Interest
Author Peiran Li was employed by the company Heilongjiang Transportation Investment Group Co., Ltd.. Author Xin Wang was employed by the company Beijing Shunjie Xinghong Engineering Design Consulting Co., Ltd.. The remaining authors declare that the research was conducted in the absence of any commercial or financial relationships that could be construed as a potential conflict of interest.
References
- Nagaoka, H. On a residual phenomenon illustrating the aftershocks of earthquakes. Phys. Soc. Jpn. Math. Soc. Jpn. 1907, 4, 66–68. [Google Scholar]
- Zhu, R.; Lu, D. Parrelation analysis of seismic intensity parameters of mainshock-aftershock based on Copula function. Eng. Mech. 2019, 36, 114–123. [Google Scholar]
- Jiang, H.; Qu, Y.; Li, Y.; Zheng, J.; Hua, A.; Dai, L.; Hou, H. Partial statistical characteristics of aftershock sequences for moderately strong earthquakes in mainland China. Chin. J. Geophys. 2006, 4, 1110–1117. [Google Scholar]
- Bruneau, M.; Chang, S.E.; Eguchi, R.T.; Lee, G.C.; O’Rourke, T.D.; Reinhorn, A.M.; Shinozuka, M.; Tierney, K.; Wallace, W.A.; von Winterfeldt, D. A framework to quantitatively assess and enhance the seismic resilience of communities. Earthq. Spectra 2003, 19, 733–752. [Google Scholar] [CrossRef]
- Cimellaro, G.P.; Reinhorn, A.M.; Bruneau, M. Framework for analytical quantification of disaster resilience. Eng. Struct. 2010, 32, 3639–3649. [Google Scholar] [CrossRef]
- Dong, Y.; Frangopol, D.M. Performance-based seismic assessment of conventional and base-isolated steel buildings including environmental impact and resilience. Earthq. Eng. Struct. Dyn. 2016, 45, 739–756. [Google Scholar] [CrossRef]
- Chang, S.E.; Shinozuka, M. Measuring improvements in the disaster resilience of communities. Earthq. Spectra 2004, 20, 739–755. [Google Scholar] [CrossRef]
- Bruneau, M.; Reinhorn, A. Exploring the concept of seismic resilience for acute care facilities. Earthq. Spectra 2007, 23, 41–62. [Google Scholar] [CrossRef]
- Cimellaro, G.P.; Reinhorn, A.M.; Bruneau, M. Seismic resilience of a hospital system. Struct. Infrastruct. Eng. 2010, 6, 127–144. [Google Scholar] [CrossRef]
- Hofer, L.; Zanini, M.A.; Faleschini, F.; Pellegrino, C. Profitability analysis for assessing the optimal seismic retrofit strategy of industrial productive processes with business-interruption consequences. J. Struct. Eng. 2018, 144, 04017205. [Google Scholar] [CrossRef]
- Mahin, S.A. Effects of duration and aftershocks on inelastic design earthquakes. In Proceedings of the Seventh World Conference on Earthquake Engineering, Istanbul, Turkey, 8–13 September 1980; pp. 677–679. [Google Scholar]
- Amadio, C.; Fragiacomo, M.; Rajgelj, S. The effects of repeated earthquake ground motions on the non-linear response of SDOF systems. Earthq. Eng. Struct. Dyn. 2010, 32, 291–308. [Google Scholar] [CrossRef]
- Hatzigeorgiou, G.D. Ductility demand spectra for multiple near- and far-fault earthquakes. Soil Dyn. Earthq. Eng. 2010, 30, 170–183. [Google Scholar] [CrossRef]
- Hatzigeorgiou, G.D. Behavior factors for nonlinear structures subjected to multiple near-fault earthquakes. Comput. Struct. 2010, 88, 309–321. [Google Scholar] [CrossRef]
- Allenby, B.; Fink, J. Toward Inherently Secure and Resilient Societies. Science 2005, 309, 1034–1036. [Google Scholar] [CrossRef]
- Cimellaro, G.P. Urban resilience for emergency response and recovery-fundamental concepts and applications. In Geotechnical, Geological and Earthquake Engineering; Springer: Cham, Switzerland, 2016. [Google Scholar]
- Cornell, C.A.; Jalayer, F.; Hamburger, R.O.; Foutch, D.A. Probabilistic basis for 2000 SAC federal emergency management agency steel moment frame guidelines. J. Struct. Eng. 2002, 128, 526–533. [Google Scholar] [CrossRef]
- Lagomarsino, S.; Giovinazzi, S. Macroseismic and mechanical models for the vulnerability and damage assessment of current buildings. Bull. Earthq. Eng. 2006, 4, 415–443. [Google Scholar] [CrossRef]
- Colajanni, P.; D’Anna, J. Seismic risk assessment of residential buildings by the Heuristic vulnerability model: Influence of fragility curve models and inventory scale. Bull. Earthq. Eng. in press. 2023. [Google Scholar]
- Agency, F.E.M.A. Hazards 99 User’s Manual; Federal Emergency Management Agency Mitigation Directorate: Washington, DC, USA, 1999. [Google Scholar]
- Fan, L. Quantitative Analysis of the Seismic Resilience of the Reinforced Concrete Frame Based on Its Vulnerability. Master’s Thesis, Yanshan University, Qinhuangdao, China, 2020. [Google Scholar]
- Barbagallo, F.; Di Domenico, M.; Terrenzi, M.; Cantagallo, C.; Marino, E.M.; Ricci, P.; Verderame, G.M.; Camata, G.; Spacone, E. Influence of the modeling approach on the seismic assessment of RC structures by nonlinear static analyses. Soil Dyn. Earthq. Eng. 2023, 172, 107970. [Google Scholar] [CrossRef]
- Scott, B.D.; Park, R.; Priestley, M.J.N. Stress-strain behavior of concrete by overlapping hoops at low and high strain rates. ACI J. 1982, 79, 13–27. [Google Scholar]
- Cantagallo, C.; Terrenzi, M.; Spacone, E.; Camata, G. Effects of Multi-Directional Seismic Input on Non-Linear Static Analysis of Existing Reinforced Concrete Structures. Buildings 2023, 13, 1656. [Google Scholar] [CrossRef]
- Cantagallo, C.; Camata, G.; Spacone, E. Influence of ground motion selection methods on seismic directionality effects. Earthq. Struct. 2015, 8, 185–204. [Google Scholar] [CrossRef]
- Wang, P.; Shi, Q.X.; Wang, F.; Guo, S.S.; Mebarki, A. Damage assessment of an SRC Frame-Core Tube Structure under the Action of a main-aftershock sequence. Adv. Civ. Eng. 2020, 2020, 1308530. [Google Scholar] [CrossRef]
Disclaimer/Publisher’s Note: The statements, opinions and data contained in all publications are solely those of the individual author(s) and contributor(s) and not of MDPI and/or the editor(s). MDPI and/or the editor(s) disclaim responsibility for any injury to people or property resulting from any ideas, methods, instructions or products referred to in the content. |
© 2023 by the authors. Licensee MDPI, Basel, Switzerland. This article is an open access article distributed under the terms and conditions of the Creative Commons Attribution (CC BY) license (https://creativecommons.org/licenses/by/4.0/).