You are currently viewing a new version of our website. To view the old version click .
Applied Sciences
  • Article
  • Open Access

18 November 2023

Resource Scheduling Method for Equipment Maintenance Based on Dynamic Pricing Model in Cloud Manufacturing

,
,
and
1
School of Management and Engineering, Nanjing University, Nanjing 210093, China
2
Research Center for Novel Technology of Intelligent Equipment, Nanjing University, Nanjing 210093, China
3
School of Information Management and Artificial Intelligence, Zhejiang University of Finance & Economics, Hangzhou 310018, China
*
Author to whom correspondence should be addressed.
This article belongs to the Section Applied Industrial Technologies

Abstract

Cloud manufacturing, as a novel service mode in the manufacturing field with the features of flexible resource assignment, timely service, and quantity-based pricing, has attracted extensive attention in recent years. The cloud manufacturing industry uses a significant amount of smart equipment. In this context, equipment maintenance resource scheduling (EMRS) is an important subject that needs to be studied. Cloud manufacturing platforms must provide effective services for equipment maintenance in a timely manner. In order to improve the efficiency of cloud manufacturing platforms and meet the needs of users, an effective EMRS scheme is required. In this paper, we propose a dynamic resource allocation model for cloud manufacturing to meet the needs of users and maximize the benefit of a cloud manufacturing platform. The model takes into account the needs of users and the benefits of a cloud production platform. The contributions of this paper are divided into the following three aspects. First, the E-CARGO model using role-based collaboration theory is introduced to formally model EMRS activities, forming a solvable optimization model. Second, a dynamic pricing model with a center symmetric curve is designed to realize the flexible conversion between time, cost, and price. Third, the concept of satisfaction in fuzzy mathematics is introduced, in order to meet the different needs of users and platforms, in terms of time, price, and cost, while ensuring service quality and the platform’s benefits. Finally, an improved genetic algorithm is used to solve the cloud manufacturing resource scheduling problem, and good experimental results are obtained. These results demonstrate that the proposed dynamic pricing model is reasonable, and the allocation scheme obtained through a genetic algorithm is feasible and effective.

1. Introduction

1.1. Background and Motivation

New digital technologies have grown to empower the advantages of advanced manufacturing machinery and smarter control [1]. The cloud-based technology of remote data collection, intelligent machine interconnectivity, and sensor monitoring provide the opportunity for pattern modification across all manufacturing divisions [2,3]. Cloud manufacturing is receiving increasing attention as a product of new digital technologies and the industrial Internet of Things. Cloud manufacturing refers to a service-oriented networked manufacturing model in which service consumers are able to configure, select, and utilize resources on demand in order to complete customized manufacturing tasks.
Compared with traditional information manufacturing technology, cloud manufacturing systems have the typical technical characteristics of digitalization, interconnection of objects, virtualization, service, collaboration, and intelligence [4]. Cloud manufacturing comprises a novel manufacturing business model that aims to provide a shared and collaborative pool of manufacturing resources for users [5]. The idea behind the cloud manufacturing concept is establishing a cloud manufacturing platform that aggregates distributed manufacturing resources and then transforms them into manufacturing services while managing them in a centralized manner. This centralized management allows for the handling of multiple tasks simultaneously [6]. One of the critical aspects of centralized management is the scheduling of tasks to achieve optimal system performance. In a cloud manufacturing environment, customers benefit from lower whole-life equipment costs, no upfront capital investments, and flexible services for personalized demands [7]. The customers purchase the service in a pay-per-use paradigm, wherein a customer only pays for what they actually use, regardless of the specific service provider. This is a common pricing plan in the cloud manufacturing environment.
The cloud manufacturing industry involves a significant amount of intelligent equipment that serves as an important basis for the development of the manufacturing industry [8,9,10]. In cases of equipment failure, users will send a task request for equipment maintenance to the cloud manufacturing platform. Consequently, the cloud manufacturing platform needs to allocate resources effectively to complete equipment maintenance, in order to ensure that users can resume production as soon as possible. With the continuous improvement of equipment, in terms of formalization and complexity, the professional scope of maintenance technology involved in maintenance equipment widens, and operational and resource allocation processes become more complex. A large number of resources are involved in the process of equipment maintenance, including material resources, human resources, information resources, and so on. How to effectively schedule and optimize maintenance resources to meet the needs of users and balance the benefits of cloud manufacturing platforms is an important problem that must be solved.
In a cloud computing platform, the cloud service center only provides virtual resources. Cloud manufacturing platforms also provide material resources, human resources, information resources, and virtual or physical resources. These resources may differ in location, cost, and completion performance. Price plays an important role in resource allocation. In addition, how to improve the service quality of cloud manufacturing platforms is also an important aspect. Task scheduling and resource allocation schemes are key factors that affect the efficiency and service satisfaction of cloud manufacturing platforms. Reducing the completion time of each task submitted by users can improve the satisfaction of cloud manufacturing service platforms. In addition, price is also an important factor affecting user satisfaction. Based on this, an effective equipment maintenance resource scheduling (EMRS) scheme is required to meet the needs of users and maximize the benefits of a cloud manufacturing platform.

1.2. Related Works

Many experts and scholars have carried out research on resource scheduling in cloud manufacturing. Yang et al. studied the multi-objective optimization of cloud manufacturing service selection and scheduling considering environmental sustainability [11]. Akbaripour et al. studied distributed resource scheduling in cloud manufacturing services considering transportation factors [12]. Ghomi et al. used a queuing system to realize business load balancing, task scheduling, and transportation optimization in cloud manufacturing [13]. Zhang et al. studied the robust optimization of the cloud manufacturing process under various resource substitution strategies [14]. Many experts and scholars have put forward various advanced ideas and technologies [15].
Pricing based on resource allocation in a cloud manufacturing environment is complex. There have been many studies considering pricing schema in cloud computing; however, there has not been much research in the cloud manufacturing environment. Moreover, most studies on resource allocation costs have only taken the benefits of the cloud platform provider into account [16,17,18]. Therefore, it is important to formulate high-quality EMRS plans and provide reasonable prices to users [19].
In terms of resource scheduling, role-based collaboration (RBC) has been proposed as a new concept. RBC comprises a theoretical system of decision models. Taking roles as the basic core concept, it abstracts, analyzes, and maps complex relations in the real world and uses tools, methods, models, and algorithms to assist in decision-making. In 2006, Professor Zhu of Nipissing University in Canada proposed an RBC model called the E-CARGO (Environment-class, Agent, Role, Group, and Object) model [20,21,22]. The E-CARGO model is a high-level abstract model that has been widely used to describe various complex relationships. The model has become a basic framework for studying role collaboration, as it defines the basic elements of role collaboration and can complete multitask allocation based on a group model. A cooperative system Σ can be defined as a nonuple: = { C , O , M , R , E , G , A , s 0 , H } . When the roles in the model are assigned enough agents, these agents can form a reasonable group, according to the evaluation index regarding the performance of the task, and can work together to accomplish characteristic tasks. In this paper, we use the E-CARGO model to describe the resource scheduling problem in cloud manufacturing.
The satisfaction degree, based on fuzzy theory, is introduced into the study of this problem. The multi-objective programming problem is transformed into a problem of solving the optimal satisfaction degree. Fuzzy theory provides the ability to deal with problems realistically, making it closer to human processing, and shows the ability to introduce the concept of uncertainty into various engineering problems, including project-scheduling problems [23,24]. Fuzzy theory can be combined with human experience and knowledge to solve engineering problems; that is, human knowledge can be transformed into mathematical models, such that it can be better used with the passage of time and the accumulation of experience. The combination of fuzzy theory and artificial intelligence can bring the model closer to the problem itself. Some experts and scholars have applied fuzzy theory to cloud manufacturing. Argoneto et al. studied capacity sharing in cloud manufacturing environments based on genetic algorithm theory and fuzzy logic [25]. Luo et al. studied a modeling and description method based on multidimensional information for the manufacturing capability in a cloud manufacturing system, in which fuzzy information- and dynamic behavior-based descriptions are systematically analyzed [26]. Li et al. studied a two-sided matching decision-making model with hesitant fuzzy preference information for configuring cloud manufacturing tasks and resources [27].
Many experts and scholars have put forward various advanced ideas and technologies in the field of cloud computing. However, most of them focus on job shop scheduling or virtual cloud data scheduling, and there is little research on EMRS in the field of the cloud manufacturing environment. There are also few studies that integrate user satisfaction and platform satisfaction. Different from most of the previous studies, this paper considers both the balance of interests between a cloud manufacturing platform and users in EMRS under the cloud manufacturing environment. Furthermore, the E-CARGO model is used to optimize resource allocation, and fuzzy mathematics is used to put forward the concept of user satisfaction and cloud manufacturing platform satisfaction. It provides useful ideas for future related research.

1.3. Contributions

Due to the complexity of socioeconomic environments and the fuzziness of human cognition [28,29], the expectations of different users regarding cloud manufacturing platform services are often inconsistent. Similarly, the expected benefits of different cloud manufacturing platforms may differ. In consequence, in order to solve the fuzzy problem of task and resource configuration preferences in cloud manufacturing, a dynamic pricing model is proposed in this study, and the concept of satisfaction in fuzzy mathematics is introduced to meet the different needs of users and platforms, in terms of time, price, and cost, while ensuring service quality and platform benefits. In this model, a central symmetric curve is introduced. Symmetry has a wide range of applications in mathematics, including geometry, statistics, topology, and so on [30,31]. The symmetric curve used in this paper can simulate well the relationship between user expectations of the service price and service quality.
In order to solve the problems of EMRS considering both user and cloud manufacturing platform satisfaction quickly and effectively, a genetic algorithm is used in this paper. Genetic algorithms are primarily based on Darwin’s theory of evolution and Mendelian inheritance theory. Genetic algorithms have a strong global optimal searching ability, good information processing ability, and good robustness and adaptability and have consequently become widely used solution methods, for example, in resource scheduling [32,33,34].
We have comprehensively considered both the benefits of cloud manufacturing platforms and the user’s needs for time and cost to achieve better EMRS. To satisfy both cloud manufacturing platforms and users, several contributions are made in this work, as follows:
First, the E-CARGO model using role-based collaboration theory is introduced in order to formally model EMRS activities and develop a solvable optimization model. Second, a dynamic allocation model for resources in cloud manufacturing based on user requirements is designed by measuring the benefits of both the user and the cloud manufacturing platform. A center symmetric curve is designed in order to realize the flexible conversion of time, cost, and price. Thirdly, the concept of user and platform satisfaction is proposed, and user and platform satisfaction is evaluated based on task completion time, cost, and price tolerance to ensure the interests of both cloud manufacturing platforms and users. Finally, an improved genetic algorithm is introduced, which can effectively solve resource allocation problems according to the platform and user demands, realizing optimal resource allocation.
The model can be applied to various fields of intelligent manufacturing, such as intelligent vehicles, drones, intelligent robots, and so on [35,36]. It can serve mixing private and business users who join the cloud manufacturing platform. In this paper, we take intelligent vehicle maintenance as an example to conduct simulation experiments.

1.4. Paper Organization

The remainder of this paper is organized as follows: Section 1 overviews the related literature on scheduling in a cloud manufacturing environment. In Section 2, the problem formulation and proposed scheduling models are presented. In Section 3, the method of solving the problem with the genetic algorithm is described in detail. The results obtained from the computational experiments are provided in Section 4. Finally, our conclusions are drawn and topics for future works are identified in Section 5.

2. Problem Formulation

2.1. Problem Formulation with the Extended E-CARGO Model

The factors related to EMRS in cloud manufacturing are complex and various. It is difficult to describe the characteristics of various elements and the relationships between them at the same time when using conventional modeling methods. In this paper, the E-CARGO model [37] is used to formally model the factors to be considered in the EMRS problem, which is abstracted as a role coordination problem in order to provide model support for better resource scheduling. Therefore, a formal description of EMRS in cloud manufacturing based on the E-CARGO model is proposed in this paper.
When equipment fails, the maintenance demand is transmitted to the cloud manufacturing platform, which must then urgently allocate resources to complete equipment maintenance and ensure that the equipment is put back into production. When multiple equipment maintenance tasks arrive at the cloud manufacturing platform at the same time, how to distribute maintenance resources is an important issue that the cloud manufacturing platform needs to resolve.
According to the research needs of this paper, the basic definition of the E-CARGO model is simplified and improved. Some elements that do not directly affect the research content of this paper are not described here, while related elements are expanded according to the research background of this paper.
Definition 1.
Roles are used to represent equipment maintenance tasks; these are defined as R. Assuming that a batch of faulty equipment generates m maintenance tasks, then  R = r 1 , r 2 , r m .
Definition 2.
Agents are used to represent maintenance resources, denoted by H. For a maintenance task, n resource groups can be configured to complete the task, and the maintenance resource set is  H = h 1 , h 2 , h n .
Definition 3.
The allocation matrix is denoted by T, which represents the matching relationships between resource groups and maintenance tasks. The matrix values are represented by tij. For an equipment maintenance task with m maintenance tasks and n resource groups, T should be a matrix with n rows and m columns. The elements of the matrix take a value of 0 or 1, where tij = 0 indicates that resource group hi is not assigned to maintenance task rj, while tij = 1 indicates that resource group hi is assigned to the maintenance task rj. The distribution matrix T can be represented as follows:
T = t 11 t 1 m t n 1 t n m .
Definition 4.
The evaluation matrix Q represents the benefit of completing a maintenance task for each resource group. For m maintenance tasks and n resource groups, Q should be a matrix with n rows and m columns, which values are expressed as Qij. According to the actual condition of the equipment maintenance, all benefit values are non-negative, and a value of 0 indicates that the resource group cannot be used for the corresponding maintenance task. The larger the value, the better the benefit of the task calling for the corresponding resources. The evaluation matrix Q can be expressed as follows:
Q = q 11 q 1 m q n 1 q n m .
For a set of maintenance tasks, there may be different evaluation matrices, according to different types of maintenance benefits. Users are mainly concerned about the completion time and price of maintenance, while the cloud manufacturing platform is mainly concerned about the cost and completion time. Therefore, we expand the evaluation matrix into time, cost, and price evaluation matrices.
When there are multiple evaluation matrices, in order to ensure that the dimensionality of each matrix is consistent, the value of each column is normalized. The normalization method is as follows:
q i j = q i j min ( q j ) max ( q j ) min ( q j ) .
where q i j represents the value after the normalization of q i j , min( q j ) represents the minimum value of the jth column, and max( q j ) represents the maximum value of the jth column.
The maintenance time when the ith resource completes the jth maintenance task is denoted as t i j , and the maintenance time matrix is expressed as Q T [ i , j ] = t i j . Both the platform and the user want the maintenance time to be as short as possible, so the maintenance time is inversely related to the evaluation value. Therefore, the time evaluation matrix is expressed as the reciprocal of the real maintenance time. The time matrix is normalized as Q t [ i , j ] = q t i j .
The maintenance cost when the ith resource completes the jth maintenance task is denoted as c i j , and the maintenance cost matrix is expressed as Q C [ i , j ] = c i j . The platform wants the maintenance cost to be as low as possible, so the maintenance cost is inversely related to the evaluation value. Therefore, the cost evaluation matrix is expressed as the reciprocal of the real maintenance cost. The cost matrix is normalized as Q c [ i , j ] = q c i j .
The maintenance price when the ith resource completes the jth maintenance task is denoted as p i j , and the maintenance price matrix is expressed as Q P [ i , j ] = p i j . The user wants the maintenance price to be as low as possible, so the maintenance price is inversely related to the evaluation value. Therefore, the price evaluation matrix is expressed as the reciprocal of the real maintenance price. The price matrix is normalized as Q p [ i , j ] = q p i j .
Definition 5.
The role vector is denoted by L, representing the number of resources required for each task. L[j] denotes the number of agents required to assume role j. In this article, each maintenance task may require multiple resource groups; for example, L = [1,2,1,4] means that the first task requires one resource group, the second task requires two resource groups, the third task requires one resource group, and the fourth task requires four resource groups. The value of each number in L[j] is in the range  0 L [ j ] m , j = 1 m L [ j ] = L m m  (where m is the total number of tasks and L[j] must be a natural number). With vector L, we know how many resource groups must be assigned to each task.
Definition 6.
The effect produced by the maintenance group to maintain the equipment is defined as the effect value. Then, the maintenance effect values formed by the maintenance time, maintenance cost, and maintenance price are denoted as  σ t ,  σ c , and  σ p , respectively, and the solution formulas are as follows:
σ t = i = 1 m j = 1 n Q t [ i , j ] × T [ i , j ] ,
σ c = i = 1 m j = 1 n Q c [ i , j ] × T [ i , j ] ,
σ p = i = 1 m j = 1 n Q p [ i , j ] × T [ i , j ] .
where  σ c  is the cost benefit of the platform,  σ p  is the price benefit of the user, and  σ t  is the time benefit of both the platform and the user.

2.2. Dynamic Pricing Model

Based on practical considerations, the equipment repaired on the cloud manufacturing platform is generally a more general intelligent device. Because the maintenance given by the cloud manufacturing platform is relatively standardized maintenance, the EMRS problem considered in this paper is based on equipment maintenance problems that can allocate maintenance resources through a cloud manufacturing platform. After the maintenance equipment breaks down, the cloud manufacturing platform charges for each maintenance task submitted. In actual maintenance scenarios, different users have different requirements for the completion time and price of different tasks. Therefore, this article comprehensively considers the interests of both cloud manufacturing platforms and users and designs a dynamic pricing model. This model can provide a transformation relationship between maintenance cost, price, and maintenance time. Especially for some users that require high completion times, by utilizing high-quality resources to minimize task completion time, users can accept higher prices. On the other hand, for tasks with limited costs, cloud platforms can utilize relatively low-quality resources to reduce maintenance costs, but the maintenance time will be extended. In other words, by using a pricing model, the cost can be reduced to a level that users believe is affordable. Maintenance resources in the cloud manufacturing platform are divided into two types: physical resources and virtual resources. Physical resources include maintenance accessories and equipment, the cost of which is generally fixed. Virtual resources include personnel skills, information, and so on. In general, the higher the resource allocation, the better the maintenance technology, the shorter the maintenance completion time, and the higher the maintenance price. Therefore, we adopt the virtual resource benefit to adjust the maintenance price in this paper. The following definitions are made:
Definition 7.
The average time taken for a single resource to complete the jth maintenance task is defined as
a v g t j = 1 n i = 1 n t i j ,
where n indicates the number of resource groups, i indicates the number of maintenance resources, and j indicates the number of tasks.
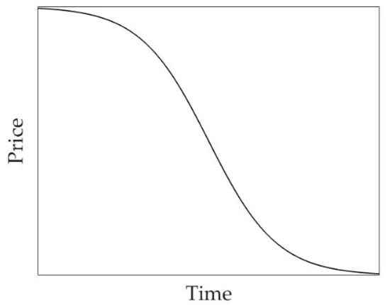
It is obvious that there is a negative correlation between the price of virtual resources and completion time, and the price goes down as time goes by. It should be noted that the longer maintenance time here is due to the insufficient efficiency of the maintenance resources allocated, but the price will not fall without limit. Symmetric sigmoid functions exhibit these properties well. In this paper, a dynamic pricing model based on sigmoid function is designed. The price required by resource i to repair equipment j is as follows:
p i j = c i j + ρ i j × a v g t j × ( 1 1 1 + e ( t i j a v g t j ) ) ,
where c i j is the cost required to repair the jth item of equipment for the ith resource, and ρ i j is the added value of the virtual resource cost per unit of maintenance time. The sigmoid function curve is shown in Figure 1.
Figure 1. Sigmoid function curve.
This curve is a center symmetric curve that effectively simulates the relationship between user price expectations and service quality. Equation (6) can express well the constraints and rules of the pricing model. The longer the completion time of the allocation, the lower the price. However, as the completion time of the allocation increases, the magnitude of the price decrease decreases until it approaches a constant. This demonstrates the rationality of the pricing model and ensures the benefits of cloud manufacturing platforms. The shorter the time the user expects to complete the task, the higher the price. The parameters of the resource pricing model in this paper are determined based on the general market conditions. In order to avoid inflation and other things that are not conducive to market stability, the parameters under special circumstances, such as insufficient resources or excess demand, are not used as pricing standards.

2.3. Benefit Evaluation Model for Platform and User

Cloud manufacturing platforms provide services to users based on their needs. However, the needs of users are difficult to predict, so cloud manufacturing platforms need to provide quantifiable services for users. A resource allocation algorithm that can meet user needs while ensuring the benefits of cloud manufacturing platforms is necessary. On the one hand, cloud manufacturing platforms expect to reduce costs while ensuring the completion of user requirements for maintenance tasks within a specified timeframe. On the other hand, platform users want shorter repair times and lower prices. Improving the system performance is a key criterion for evaluating task allocation models in cloud manufacturing platforms. Therefore, both platform benefits and user satisfaction were considered in our research.
Definition 8.
The total benefit of the cloud manufacturing platform is expressed as F.
The two factors of most concern in a cloud manufacturing platform regarding equipment maintenance—time and cost—are considered in this paper. As the platform benefit is proportional to the maintenance time and cost benefit evaluation, F can be expressed as follows:
max F = w t × σ t + w c × σ c ,
where w t and w c are the weight coefficients of time and cost for the cloud manufacturing platform, respectively. In order to simplify the solution, linear weights are used in this paper. In order to compare the influence of different weight coefficient settings on the total benefit, we normalize the weight coefficients—namely, w t + w c = 1 .
Definition 9.
The total benefit of the user is expressed as S.
The two factors of most concern for users regarding equipment maintenance—time and price—are also considered in this paper. As the users’ benefit is proportional to the maintenance time and price benefit evaluation, S can be expressed as follows:
max S = k t × σ t + k p × σ p ,
where k t and k p are the weight coefficients of time and price for users, respectively. In order to simplify the solution, linear weights are used in this paper. To compare the influence of different weight coefficient settings on the total benefit, we normalize the weight coefficients—namely, k t + k p = 1 .
In this paper, we assume that each task calls for several resource groups. Considering the actual situation of equipment maintenance, each resource group can only be used to complete one task at a given time, and not all resource groups need to be used at the same time. To ensure that all tasks have resources to match them, the number of resource groups should be no less than the number of tasks, with the following constraints:
T [ i , j ] { 0 , 1 }   1 i n ,   1 j m ,
i = 1 n T [ i , j ] = L [ j ] 1 j m ,
j = 1 m T [ i , j ] 1 1 i n .
It should be noted that the model is built as a case of sufficient resources. In a case of insufficient resources or excess demand, users can only reduce their expectation of the maintenance completion time and solve this problem by reducing the allocation of maintenance resources and queuing. In this paper, the maintenance resources given by the cloud manufacturing platform are the maintenance resources that match the maintenance equipment, which can be professional or general. These service resources can be presented as service resource groups based on specialty characteristics. For some areas where resources need to be recovered after use and cannot be interfered with for a long time, we set that only resources that meet the available criteria can re-enter the resource supply sequence of the cloud manufacturing platform.

2.4. Resource Allocation Model Based on Platform and User Satisfaction

In fact, different users have different requirements for the completion time and price of different tasks. For some tasks, users are more concerned about completion time and offer higher prices for this reason. For other tasks, users have limited funds and relatively low requirements for the completion time. However, other users are expected to have lower prices due to limited funds. To address the above issues, this article introduces user expectations for the time and cost of completing maintenance tasks, as well as cloud manufacturing platforms’ expectations for the time and cost of completing tasks. The cloud manufacturing platform can use the dynamic pricing model mentioned above to control the relationship between cost, price, and time for maintenance tasks.
The cloud manufacturing platform can provide the relationship between the completion time and price of maintenance tasks for users to choose from. The cloud manufacturing platform indicates the uptime and price benchmarks in order to help users to form judgments.
In multi-objective programming problems, there are often strong conflicts between multiple objectives, and the optimal solution regarding a given objective may have poor performance in other objectives. In order to take into account the benefits of multiple objectives, the scheme decision maker can give the expected value for the individual objective function in combination with the specific planning scenario, in order to effectively reduce conflict between objectives. At the same time, the scheme decision maker should determine the limit of the results for each objective function. Based on Bellman and Zadeh’s fuzzy theory [30], a fuzzy objective is a decision-making objective combining tolerance and expectation. In this paper, 0 means “completely unacceptable”, 1 means “most satisfactory”, and other satisfaction degrees are expressed by numbers in the range [0, 1].
The difference between the actual completion and expected results of maintenance tasks is used to indicate satisfaction. The trapezoidal membership function is adopted in this paper, as shown below:
μ = 0 , σ < a σ a b a , a σ b 1 , σ > b ,
where a and b denote the user’s tolerance range for the maintenance effect. As a positive evaluation is correlated with user and cloud manufacturing platform expectations, a value higher than b is considered to indicate complete satisfaction, while a value lower than a is considered to indicate complete dissatisfaction. μ represents the satisfaction value, and σ represents the actual maintenance effect value. The membership curve is shown in Figure 2.
Figure 2. Example membership function curve for the user decision satisfaction degree.
Then, the multi-objective EMRS problem can be transformed into a maximum satisfaction problem based on the theoretical decision satisfaction model.
Platform services are expected to improve the time and cost-effectiveness of resource use, so we propose the concept of platform satisfaction. Equation (7) is extended as follows:
max F p = w t × μ f t + w c × μ f c ,
subject to
μ f t = 0 , σ t < a f t σ t a f t b f t a f t , a f t σ t b f t 1 , σ t > b f t ,
μ f c = 0 , σ c < a f c σ c a f c b f c a f c , a f c σ c b f c 1 , σ c > b f c ,
where Fp denotes platform satisfaction, aft and bft are the lowest and highest platform expectations of the time benefit evaluation, respectively, and afc and bfc are the lowest and highest platform expectations of the cost benefit evaluation, respectively. The above equations are also calculated under the constraints in Equations (9)–(11).
Users expect to improve the time and price effectiveness of resources, so we also propose the concept of user satisfaction. Equation (8) is extended as follows:
max F u = k t × μ t + k p × μ p ,
μ t = 0 , σ t < a t σ t a t b t a t , a t σ t b t 1 , σ t > b t ,
subject to
μ p = 0 , σ p < a p σ p a p b p a p , a p σ p b p 1 , σ p > b p ,
where Fu denotes user satisfaction, at and bt are the lowest and highest user expectations of the time benefit evaluation, respectively, and ap and bp are the lowest and highest user expectations of the price benefit evaluation, respectively. The above equations are also subject to the constraint conditions in Equations (9)–(11).
Users want to meet their maintenance time and price requirements at the same time, ensuring that user satisfaction is as high as possible. However, the cloud manufacturing platform should also consider both maintenance time and cost, to ensure the benefits of the cloud manufacturing platform. Therefore, the comprehensive benefit evaluation function is expressed by the following formula, which is the fitness function that will be solved for in the following section:
max f i t n e s s = τ × F p + ( 1 τ ) × F u
where τ is the weight adjustment coefficient.

3. Resource Scheduling Process Based on a Genetic Algorithm

3.1. Genetic Algorithm Flow

Genetic algorithms are heuristic search algorithms, which have been widely used in various fields. They are primarily based on Darwinian evolution theory and Mendelian genetic theory. Such algorithms search for the optimal solution in the feasible space by forming a population and carrying out “survival of the fittest” iterations, simulating the natural law of survival of the fittest in nature.
Obviously, when using conventional analytical and linear programming methods, it is difficult to solve the complex problem of satisfactory decision-making posed in Equation (19). Therefore, in this paper, we take advantage of the excellent global solution ability of genetic algorithms to design and solve for an optimal allocation scheme based on a genetic algorithm.
The main flow of a solution based on the genetic algorithm is shown in Figure 3. According to basic genetic algorithm theory, the three main processes of searching for the optimal solution in the feasible region are gene selection, gene crossover, and gene mutation. Considering the practical problems studied, the gene coding, crossover method, mutation method, and fitness function are redesigned in this paper.
Figure 3. Flowchart of a genetic algorithm for solving the distribution matrix.

3.2. Detailed Design of the Genetic Algorithm

Due to the applicability of genetic algorithms to solving large-scale optimization problems, this article adopts genetic algorithms to solve the above problems. In this paper, the decision variable is the allocation matrix T in the E-CARGO model, which represents an allocation scheme. In our method, individuals are selected by calculating comprehensive satisfaction. For a population, the higher the fitness, the greater the likelihood of being selected. Equation (19) is used as a fitness function, while the roulette wheel algorithm is used to select contemporary populations.
In order to implement genetic algorithms, the population needs to be initialized first, and the allocation scheme needs to be encoded. Based on Equations (9)–(11), we use natural number coding to divide agents into numbers. Obviously, a feasible allocation scheme needs to meet Equation (11). Resource groups must satisfy both the constraint of total allocation and the constraint of unique allocation. The gene coding in this paper is expressed using Equation (20):
g = g 1 = h 11 , h 12 , h 1 l 1 , g 1 = h 21 , h 22 , h 2 l 2 , , g m = h m 1 , h m 2 , h m l m ,
where the assignment matrix of each task rj is represented by gj (as there are m tasks, the value of j in gj is 1–m); lj = L[j] is the resource group demand vector, where lj indicates that the jth task requires lj resources; and hjl indicates the lth resource group allocated by task rj.
Then, g can be represented by an array of natural numbers with length Lm, as shown in Equation (21):
g = h 11 , h 12 , h 1 l 1 , h 21 , h 22 , h 2 l 2 , , h m 1 , h m 2 , h m l m ,
where h 1 , 2 , , n is the specific resource group number. According to the uniqueness of the resource group assigned to the task, the values of h in g do not duplicate each other.
Assuming a total of s chromosomes G = g 1 , g 2 , , g S , a crossover algorithm and mutation algorithm need to be designed for applying the genetic algorithm.
Definition 10.
Define the set used as Hs, assuming that any gene gS is an ordered set of h. Assuming that n is the set of all natural numbers 1–n, Hs is the used number set of gS, and NHs is the unused number set.
Hs1, Hs2, NHs1, and NHs2 can be obtained by any two genes: gS1 and gS2. The idea of the cross operation is to exchange some genes between the two chromosomes; however, they cannot be exchanged arbitrarily, based on Constraints (10) and (11). Therefore, the following cross operation is adopted in this paper.
Taking 2 as the number of steps, we select the chromosome to be crossed with the probability Pc and randomly select the gene to be crossed in the chromosome. We take the gene sequence corresponding to the allocated resource group corresponding to each task rj as a gene segment and randomly generate the gene segment j to be crossed. Then, the gene segments corresponding to the two chromosomes to be crossed are gj1 and gj2. The uncrossed fragment of gS1 is g j 1 = h j 11 , h j 12 , , h j 1 l j , and the uncrossed fragment of gS2 is g j 2 = h j 21 , h j 22 , , h j 2 l j . The crossover procedure is carried out as follows:
  • Traverse x = 1 for the allele crossover.
  • If x > lj, the crossing ends; otherwise, go to step 3.
  • If h j 2 x N H s 1 , this indicates that s1 does not use this number, and the x position of s1 is directly assigned as hj2x. If h j 2 x H s 1 , this indicates that s1 has used the number, and the x position of s1 randomly selects a number from NHs1 for assignment.
  • Update the sets Hs1 and NHs1.
  • If h j 2 x N H s 2 , this indicates that s2 does not use this number, and the x position of s2 is directly assigned as hj1x. If h j 2 x H s 2 , this indicates that s2 has used this number, and the x position of s2 randomly selects a number from NHs2 for assignment.
  • Update the sets Hs2 and NHs2.
  • x + 1, go to step 2.
The operation of gene mutation is also based on the concept of the set used. The gene position x to be mutated is randomly generated from the chromosome. A number is randomly selected from the NHs to be assigned, and then the sets Hs and NHs are updated.
The design of the fitness function is crucially important. The larger the fitness function value, the larger the replication rate of the gene and the more offspring there are. In this paper, Equation (19)—that is, the objective function—is used as the fitness function.
It should be noted that, when Lm = m, the genetic algorithm cannot be used for the calculation; in this situation, the Hungarian algorithm is used.

4. Experimental Evaluation and Performance Analysis

4.1. Experiment Scenario

A cloud manufacturing platform can provide big data intelligent cloud services to help users achieve accurate and intelligent operations and maintenance services. Assuming that the cloud manufacturing platform receives a batch of intelligent vehicle maintenance service requests, it then needs to configure maintenance solutions for the equipment maintenance tasks. The cloud manufacturing platform has a number of equipment maintenance teams that can undertake the maintenance and support tasks for the intelligent vehicles. Different maintenance teams have different maintenance capabilities. By analyzing the equipment, this batch of equipment is divided into four types of maintenance tasks. The first equipment maintenance task is disassembly, including equipment decomposition, equipment assembly, and equipment matching. The second equipment maintenance task is equipment detection, including fault detection and machine debugging. The third equipment maintenance task is equipment maintenance, including sub-professional maintenance, subpart maintenance, component testing, and joint testing. The fourth equipment maintenance task is an equipment quality inspection, including a maintenance acceptance inspection.
Maintenance resources of three groups, two groups, four groups, and one group are used, respectively, to provide these maintenance services. By matching the maintenance task with the maintenance group, 15 maintenance groups were found to be able to carry out the maintenance work, and the cloud manufacturing platform recorded the time, cost, and price indicators for each maintenance group. The cloud manufacturing platform provides users with the relationship between the equipment maintenance time and price based on historical maintenance data, allowing the users to develop reasonable maintenance time and price expectations. The cloud manufacturing platform allocates equipment maintenance resources according to the above data.
In this programming problem, the role vector is L = [3,2,4,1], m is 15 (i.e., numbered 1–15), and n is 4. The basic data, including t i j , c i j , ρ i j   ( 1 i 15 , 1 j 4 ) , are provided by the cloud manufacturing platform. The initial values for the maintenance time, maintenance cost, and price adjustment coefficients were set as follows:
Q T = 2 2 3 4 4 5 7 7 9 7 10 1 7 8 6 9 1 7 9 8 2 3 4 6 7 7 9 9 8 5 6 7 7 6 8 9 7 6 9 8 6 6 9 9 2 3 5 7 1 2 4 5 3 4 5 7 2 6 7 9 , Q P = 5 4 3 6 7 5 7 9 6 7 10 4 8 8 6 9 1 3 9 9 4 3 6 6 7 6 9 9 1 5 9 7 7 4 8 9 2 6 9 8 6 6 9 9 4 3 6 8 5 2 4 5 3 4 5 9 3 8 5 6 , P = 1 3 3 8 3 5 7 7 6 5 10 4 7 8 6 4 1 6 9 6 4 3 6 8 7 6 9 9 9 5 9 7 5 5 8 7 4 6 9 8 6 9 9 9 4 3 6 5 5 4 4 5 3 4 5 9 2 1 5 6 .
According to Equations (1), (5), and (6), the maintenance time, maintenance cost, and maintenance price evaluation matrices were calculated as follows:
Q t = 0.4375 1.0000 1.0000 0.1563 0.1563 0.2000 0.1837 0.0357 0 0.0476 0 1.0000 0.0357 0 0.2857 0 1.0000 0.0476 0.0476 0.0156 0.4375 0.5556 0.6429 0.0625 0.0357 0.0476 0.0476 0 0.0156 0.2000 0.2857 0.0357 0.0357 0.1111 0.1071 0 0.0357 0.1111 0.0476 0.0156 0.0625 0.1111 0.0476 0 0.4357 0.5556 0.4286 0.0357 1.0000 1.0000 0.6429 0.1000 0.2500 0.3333 0.4286 0.0357 0.4375 0.1111 0.1837 0 , Q c = 0.0857 0.3333 1.0000 0.4000 0.0204 0.2000 0.1837 0 0.0476 0.0476 0 1.0000 0 0 0.2857 0 1.0000 0.5556 0.0476 0 0.1429 0.5556 0.2857 0.4000 0.0204 0.1111 0.0476 0 1.0000 0.2000 0.0476 0.2286 0.0204 0.3333 0.1071 0 0.4286 0.1111 0.0476 0.1000 0.0476 0.1111 0.0476 0 0.1429 0.5556 0.2857 0.1000 0.0857 1.0000 0.6429 0.6400 0.2381 0.3333 0.4286 0 0.2381 0 0.4286 0.4000 , Q p = 0.5138 0.5701 1.0000 0.1291 0.1562 0.2368 0.1837 0.1931 0.0393 0.2015 0 1.0000 0.0076 0.0215 0.2857 0.7566 1.0000 0.1838 0.0476 0.3294 0.1353 0.6197 0.2857 0.1291 0.0118 0.1411 0.0476 0 0 0.2368 0.0476 0.2286 0.0620 0.2563 0.1071 0.1931 0.1644 0.1411 0.0476 0.1000 0.0392 0 0.0476 0 0.1353 0.6197 0.2857 0.5395 0.0776 0.4444 0.6429 0.6400 0.2314 0.3804 0.4286 0 0.3754 1.0000 0.4286 0.4000 .
The development environment included an Intel® Core™ i7-8550U CPU (Intel, Santa Clara, CA, USA), 1.80 GHz notebook with an 8.00 GB memory. The operating system of the notebook was Windows 10 (64 bit), and the MATLAB version was R2022a.
Based on the above discussion, the value range for σ t and σ p was set as [0, 10]. The cloud manufacturing platform and the user set parameters were as follows: aft = 2, bft = 7, afc = 2, bfc = 7, at = 2, bt = 7, ap = 2, and bp = 7, from which the decision satisfaction membership function could be determined.
Before using the genetic algorithm in a real-time simulation environment, different genetic algorithm parameters within the implementation were studied, as the parameter settings might impact the solution quality and speed. The influencing factors of genetic algorithms include the population size (POP), maximum number of iterations (MAX), crossover rate (CR), and mutation rate (MR). We compared the influence of each parameter on the experiment and set the final parameters of the genetic algorithm, as shown in Table 1.
Table 1. Parameters of the genetic algorithm.

4.2. Concerning the Benefit of the Cloud Manufacturing Platform

The membership function of a single objective generally does not need to be modified frequently; however, in an actual scheme decision-making process, it is possible that the scheme decision makers have different allocation methods for the weight of each single objective and may have different views on the optimal result, which can be realized by setting different weights.
Cloud manufacturing platforms hope to reduce costs while also shortening the maintenance time. This section only considers the interests of the platform. Therefore, the influence of different maintenance time and cost weights on the calculation results was studied using the experimental parameters shown in Table 2.
Table 2. Experimental parameters of the cloud manufacturing platform.
The change in platform satisfaction is shown in Figure 4, the changes in the evaluation value related to the maintenance time and maintenance cost under different parameters are shown in Figure 5, and the change in the fitness value is shown in Figure 6.
Figure 4. Iterative curves of the platform satisfaction evaluation of the maintenance time and maintenance cost. (a) Experimental parameters of No. 1. (b) Experimental parameters of No. 2. (c) Experimental parameters of No. 3. (d) Experimental parameters of No. 4. (e) Experimental parameters of No. 5.
Figure 5. The changes in the evaluation value of the maintenance time, total maintenance cost, and price under different parameters. (a) Experimental parameters of No. 1. (b) Experimental parameters of No. 2. (c) Experimental parameters of No. 3. (d) Experimental parameters of No. 4. (e) Experimental parameters of No. 5.
Figure 6. The fitness curves of the genetic algorithm after operation. (a) Experimental parameters of No. 1. (b) Experimental parameters of No. 2. (c) Experimental parameters of No. 3. (d) Experimental parameters of No. 4. (e) Experimental parameters of No. 5.
It can be seen from Figure 4 that, with an increase in the cost weight, the satisfaction degree of the cost increased. From Figure 5, it can be seen that the evaluation value of the maintenance cost also increased, the corresponding evaluation value of the maintenance time decreased, and the evaluation value of the maintenance price remained relatively stable. Obviously, the proportion of the goal value can be adjusted by assigning different weight coefficients, which incorporates the results envisaged by the scheme decision maker when assigning the weight coefficient, and the results of the simulation experiment were in accordance with the expectations.

4.3. Concerning Users’ Demands and Satisfaction

Users hope to lower prices while shortening the maintenance time. This section only considers user interests. Therefore, using the experimental parameters shown in Table 3, the effects of different maintenance times and price weights on the calculation results were studied.
Table 3. Experimental parameters of the users.
The change in users’ satisfaction is shown in Figure 7, the changes in the maintenance time and price evaluation values under different parameters are shown in Figure 8, and the change in the fitness value is shown in Figure 9.
Figure 7. Iterative curves for user evaluations of the maintenance time and maintenance price. (a) Experimental parameters of No. 6. (b) Experimental parameters of No. 7. (c) Experimental parameters of No. 8. (d) Experimental parameters of No. 9. (e) Experimental parameters of No. 10.
Figure 8. The changes in the evaluation value of the maintenance time, total maintenance cost, and price under different parameters. (a) Experimental parameters of No. 6. (b) Experimental parameters of No. 7. (c) Experimental parameters of No. 8. (d) Experimental parameters of No. 9. (e) Experimental parameters of No. 10.
Figure 9. Fitness curves of the genetic algorithm after operation. (a) Experimental parameters of No. 6. (b) Experimental parameters of No. 7. (c) Experimental parameters of No. 8. (d) Experimental parameters of No. 9. (e) Experimental parameters of No. 10.
It can be seen from Figure 7 that, with an increase in the price weight, the satisfaction degree of the price increased. From Figure 8, the evaluation value of the maintenance price also increased, the corresponding evaluation value of the maintenance time decreased, and the evaluation value of the maintenance cost remained relatively stable. Obviously, the proportions in the goal value can be adjusted by assigning different weight coefficients, reflecting the results envisaged by the scheme decision maker when assigning the weight coefficients, such that the results of the simulation experiment are in accordance with the expectations.

4.4. Concerning Both Users’ Demands and Cloud Manufacturing Platform Benefits

This section considers the interests of both cloud manufacturing platforms and users, meeting the expectations of both parties for completing maintenance tasks. The influences of different dimension platform benefit and user satisfaction weights on the calculation results were studied using the experimental parameters shown in Table 4.
Table 4. Combined experimental parameters.
The changes in platform and user satisfaction under the different weights are shown in Figure 10.
Figure 10. Satisfaction under different weights of the platform and users.
It can be seen from Figure 10 that, with an increase in user weights, the user satisfaction degree increased. Obviously, the proportion of the goal values can be adjusted by assigning different weight coefficients, reflecting the results envisaged by the scheme decision maker when assigning the weight coefficient, such that the results of the simulation experiment are in accordance with the expectations.
Next, we discuss the influence of different satisfaction levels set by the platform and users on the experimental results. The parameters of the genetic algorithm were set as detailed above, and the weight coefficients were set as in Parameter No. 13. The satisfaction requirements of the platform and users are shown in Table 5.
Table 5. Satisfaction requirement parameters.
As can be seen from Figure 11, whether for the platform or for users, increasing the satisfaction requirement reduced the satisfaction value, while reducing the satisfaction requirement increased the satisfaction value, consistent with the expected results. The experimental results indicate that the maintenance resource allocation scheme proposed in this article can simultaneously consider the interests of both cloud manufacturing platforms and users. The model is reasonable and effective.
Figure 11. Platform benefits and user satisfaction under different weights.

4.5. Discussion

Aiming at the balance between the benefits of cloud manufacturing platforms and the needs of users in the EMRS problem of the cloud manufacturing environment, this paper proposes a dynamic pricing model that considers the maintenance time, the maintenance cost of the cloud platform, and the maintenance price of users. According to the characteristics of maintenance resources in the cloud manufacturing environment that are different from ordinary maintenance, this paper divides maintenance resources into physical resources and virtual resources, and pricing is carried out according to the quality of the maintenance resources and the completion time. In order to better take into account the interests of the cloud manufacturing platform and users and ensure the loyalty of users under the conditions of the cloud platform benefits, the concept of satisfaction is proposed.
Experiments were designed to analyze the influence of different weights on the maintenance time and maintenance cost valued by cloud manufacturing platforms and the impact on the maintenance time and maintenance price valued by users. The research in this paper provides certain guidelines for the actual production process. The experimental results show that the EMRS model in this paper can satisfy the interests of cloud manufacturing platforms and users at the same time, which has great advantages.
Theoretically, this paper fills the gap in EMRS research in the cloud manufacturing environment, proposes a pricing model based on physical resources and virtual resources, builds a model by integrating the E-CARGO model and fuzzy mathematics, and solves it by using a genetic algorithm, achieving good results and providing beneficial ideas for future research on such problems. In practical applications, the theoretical results can be used to price the equipment maintenance tasks of cloud manufacturing platforms, balancing platform interests and user satisfaction, thus helping manufacturers achieve long-term development. The research in this paper provides some guidance for the actual production process.
The case study in this paper is an experimental simulation based on an actual situation that may be different from an actual industrial production situation. In the equipment maintenance process of the actual cloud manufacturing platform, there may still be some situations that we do not intend. For example, our research is based on research under general production conditions, and situations of resource scarcity and resource surplus are not considered enough. In cases of insufficient resources or excess demand, users can only reduce their expectations of the maintenance completion time and solve this problem by reducing the allocation and queuing of maintenance resources. We need to consider more deeply and comprehensively the allocation of equipment maintenance resources in various cases, study the cooperative relationships between different manufacturing objects, and establish a more perfect EMRS model.

5. Conclusions

In this paper, we studied the technology and theoretical methods related to equipment maintenance resource allocation in a cloud manufacturing environment. The equipment maintenance resource scheduling problem based on a cloud manufacturing environment was deeply analyzed. A maintenance support problem was formally described using the E-CARGO model in a role collaboration system. A dynamic pricing model was designed by using a sigmoid curve according to the completion time and cost of the maintenance, and the conversion of the maintenance time, cost, and price was realized. Considering the different requirements of cloud manufacturing platforms and users, the concept of satisfaction was introduced to balance the interests of both users and cloud manufacturing platforms. Then, a resource scheduling algorithm for multi-objective optimization was designed by integrating fuzzy mathematics with a genetic algorithm.
Simulation experiments about intelligent vehicle maintenance were carried out for the equipment maintenance task in a cloud maintenance platform in order verify the effectiveness and rationality of the relevant models, methods, and algorithms proposed in this paper. The method proposed in this article not only solves the problem of meeting user needs while also maintaining the interests of cloud manufacturing platforms but also helps to understand user expectations and requirements for completing maintenance tasks in cloud manufacturing platforms and achieve better resource scheduling.
EMRS is an important and practical problem in cloud manufacturing, and the related research is still in its infancy. The current work in this paper can provide some insights into task scheduling in cloud manufacturing, but the boundary problems such as resource excess and resource shortage have not been thoroughly studied in this paper. It is also necessary to study a situation in which equipment with large differences needs to be repaired at the same time. There is also not enough testing and consideration for real production issues such as uncertainty and variability. The synergistic relationship between different manufacturing objects is studied to establish a more perfect EMRS model. In the follow-up work, we will conduct more in-depth research on boundary problems and EMRS problems in specific fields and consider the impact of more factors on maintenance resource scheduling.

Author Contributions

Conceptualization, Y.W. and X.Z.; Data curation, Y.W.; Formal analysis, Y.W. and L.P.; Funding acquisition, X.Z.; Investigation, Y.W.; Methodology, Y.W.; Project administration, L.P.; Resources, Y.W.; Software, Y.W.; Validation, Y.W. and Q.X.; Visualization, Y.W.; Writing—original draft, Y.W.; Writing—review and editing, Y.W. All authors have read and agreed to the published version of the manuscript.

Funding

This work was supported by the National Natural Science Foundation of China. (Project name: Research on channel matching mechanism for multi-task man-machine collaboration. Grant No.61876079).

Institutional Review Board Statement

Not applicable.

Data Availability Statement

Data is contained within the article.

Conflicts of Interest

The authors declare no conflict of interest.

References

  1. Rakic, S.; Medic, N.; Leoste, J.; Vuckovic, T.; Marjanovic, U. Development and future trends of digital product-service systems: A bibliometric analysis approach. Appl. Syst. Innov. 2023, 6, 89. [Google Scholar] [CrossRef]
  2. Haghnegahdar, L.; Joshi, S.S.; Dahotre, N.B. From IoT-based cloud manufacturing approach to intelligent additive manufacturing: Industrial Internet of Things-an overview. Int. J. Adv. Manuf. Technol. 2022, 119, 1461–1478. [Google Scholar] [CrossRef]
  3. Bastos, T.; Salvadorinhoa, J.; Teixeira, L. UpSkill@Mgmt 4.0-a digital tool for competence management: Conceptual model and a prototype. Int. J. Ind. Eng. Manag. 2022, 4, 225–238. [Google Scholar] [CrossRef]
  4. Zhen, C.; Zhan, D.; Zhao, X.; Hai, W. Multitask oriented virtual resource integration and optimal scheduling in cloud manufacturing. J. Appl. Math. 2014, 2014, 369350. [Google Scholar]
  5. Laili, Y.J.; Lin, S.; Tang, D.Y. Multi-phase integrated scheduling of hybrid tasks in cloud manufacturing environment. Robot. Comput. Integr. Manuf. 2020, 61, 101850. [Google Scholar] [CrossRef]
  6. Liu, Y.G.; Zhang, L.; Wang, L.; Zhong, R.Y. Workload-based multi-task scheduling in cloud manufacturing. Robot. Comput. Integr. Manuf. 2017, 45, 3–20. [Google Scholar] [CrossRef]
  7. Li, F.; Liao, T.W.; Zhang, L. Two-level multi-task scheduling in a cloud manufacturing environment. Robot. Comput. Integr. Manuf. 2019, 56, 127–139. [Google Scholar] [CrossRef]
  8. Yin, L.; Luo, J.; Luo, H. Tasks Scheduling and Resource Allocation in Fog Computing Based on Containers for Smart Manufacturing. IEEE Trans. Ind. Inform. 2018, 14, 4712–4721. [Google Scholar] [CrossRef]
  9. Biplob, P.; Muzaffar, R. Zero-trust model for smart manufacturing industry. Appl. Sci. 2023, 13, 221. [Google Scholar]
  10. Alice Elizabeth, M.; Khumbulani, M. Blockchain-based cloud manufacturing SCM system for collaborative enterprise manufacturing: A case study of transport manufacturing. Appl. Sci. 2022, 12, 8664. [Google Scholar]
  11. Yang, D.; Liu, Q.; Li, J.; Jia, Y. Multi-objective optimization of service selection and scheduling in cloud manufacturing considering environmental sustainability. Sustainability 2020, 12, 7733. [Google Scholar] [CrossRef]
  12. Akbaripour, H.; Houshmand, M.; van Woensel, T.; Mutlu, N. Cloud manufacturing service selection optimization and scheduling with transportation considerations: Mixed-integer programming models. Int. J. Adv. Manuf. Technol. 2018, 95, 43–70. [Google Scholar] [CrossRef]
  13. Ghomi, E.J.; Rahmani, A.M.; Qader, N.N. Service load balancing, task scheduling and transportation optimisation in cloud manufacturing by applying queuing system. Enterp. Inf. Syst. 2019, 13, 865–894. [Google Scholar] [CrossRef]
  14. Zhang, X.; Zheng, X.; Wang, Y. Robustness optimization of cloud manufacturing process under various resource substitution strategies. Appl. Sci. 2023, 13, 7418. [Google Scholar] [CrossRef]
  15. Ghomi, E.J.; Rahmani, A.M.; Qader, N.N. Cloud manufacturing: Challenges, recent advances, open research issues, and future trends. Int. J. Adv. Manuf. Technol. 2019, 102, 3613–3639. [Google Scholar] [CrossRef]
  16. Vahedi-Nouri, B.; Tavakkoli-Moghaddam, R.; Hanzálek, Z.; Arbabi, H.; Rohaninejad, M. Incorporating order acceptance, pricing and equity considerations in the scheduling of cloud manufacturing systems: Matheuristic methods. Int. J. Prod. Res. 2021, 59, 2009–2027. [Google Scholar] [CrossRef]
  17. Pan, X.; Ma, J.; Zhao, D. Study on pricing behaviour and capacity allocation of cloud manufacturing service platform. Clust. Comput. 2019, 22, S14701–S14707. [Google Scholar] [CrossRef]
  18. Moghaddam, S.; Akbaripour, H.; Houshmand, M. Integrated forward and reverse logistics in cloud manufacturing: An agent-based multi-layer architecture and optimization via genetic algorithm. Prod. Eng. 2021, 15, 801–819. [Google Scholar] [CrossRef]
  19. Qian, Z.; Wang, X.; Liu, X.; Xie, X.; Song, T. An approach to dynamically assigning cloud resource considering user demand and benefit of cloud platform. Computing 2020, 102, 1817–1842. [Google Scholar] [CrossRef]
  20. Zhu, H.; Zhou, M. Role-based collaboration and its kernel mechanisms. IEEE Trans. Syst. Man Cybern. Part C Appl. Rev. 2006, 36, 578–589. [Google Scholar]
  21. Zhu, H. Maximizing Group performance while minimizing budget. IEEE Trans. Syst. Man Cybern. Syst. 2020, 50, 633–645. [Google Scholar] [CrossRef]
  22. Lu, F.; Hu, X.; Zhao, B.; Jiang, X.; Liu, D.; Lai, J.; Wang, Z. Review of the research progress in combat simulation software. Appl. Sci. 2023, 13, 5571. [Google Scholar] [CrossRef]
  23. Dayoub, N.; Stashevskiy, A.; Elroba, S.M.; Elshahate, M.R. Application of fuzzy theory in project scheduling. J. Phys. Conf. Ser. 2020, 1687, 012011. [Google Scholar] [CrossRef]
  24. Singh, S.K.; Abolghasemi, V.; Anisi, M.H. Fuzzy logic with deep learning for detection of skin cancer. Appl. Sci. 2023, 13, 8927. [Google Scholar] [CrossRef]
  25. Argoneto, P.; Renna, P. Supporting capacity sharing in the cloud manufacturing environment based on game theory and fuzzy logic. Enterp. Inf. Syst. 2016, 10, 193–210. [Google Scholar] [CrossRef]
  26. Luo, Y.; Zhang, L.; Tao, F.; Ren, L.; Liu, Y.; Zhang, Z. A modeling and description method of multidimensional information for manufacturing capability in cloud manufacturing system. Int. J. Adv. Manuf. Technol. 2013, 69, 961–975. [Google Scholar] [CrossRef]
  27. Li, B.; Yang, Y.; Su, J.; Liang, Z.; Wang, S. Two-sided matching decision-making model with hesitant fuzzy preference information for configuring cloud manufacturing tasks and resources. J. Intell. Manuf. 2020, 31, 2033–2047. [Google Scholar] [CrossRef]
  28. Hu, K.; Jin, J.; Zheng, F.; Weng, L.; Ding, Y. Overview of behavior recognition based on deep learning. Artif. Intell. Rev. 2022, 56, 1833–1865. [Google Scholar] [CrossRef]
  29. Hu, K.; Ding, Y.; Jin, J.; Xia, M.; Huang, H. Multiple attention mechanism graph convolution HAR model based on coordination theory. Sensors 2022, 22, 5259. [Google Scholar] [CrossRef]
  30. Li, Y.; Wang, G.; Xu, Q.; Wang, X.; Zhang, R.; Huang, L. Study of the influence of aspect ratios on hydrodynamic performance of a symmetrical elliptic otter board. Symmetry 2022, 14, 1566. [Google Scholar] [CrossRef]
  31. Sayed, O.R.; Aly, A.A.; Zhang, S. Intuitionistic fuzzy topology based on intuitionistic fuzzy logic. Symmetry 2022, 14, 1613. [Google Scholar] [CrossRef]
  32. Sajadi, S.M.; Alizadeh, A.; Zandieh, M.; Tavan, F. Robust and stable flexible job shop scheduling with random machine breakdowns: Multi-objectives genetic algorithm approach. Int. J. Math. Oper. Res. 2019, 14, 268–289. [Google Scholar] [CrossRef]
  33. Hou, J.; Du, J.; Chen, Z. Time-optimal Trajectory planning for the manipulator based on improved non-dominated sorting genetic algorithm II. Appl. Sci. 2023, 13, 6757. [Google Scholar] [CrossRef]
  34. Snauwaert, J.; Vanhoucke, M. A new algorithm for resource-constrained project scheduling with breadth and depth of skills. Eur. J. Oper. Res. 2021, 292, 43–59. [Google Scholar] [CrossRef]
  35. Li, Y.X.; Yao, X.F. Cloud manufacturing service composition and formal verification based on extended process calculus. Adv. Mech. Eng. 2018, 10, 6. [Google Scholar] [CrossRef]
  36. Mauricio, C.V.; Alejandro, Á.; Eduardo, V.P.; Luis, E.V. Technological Acceptance of Industry 4.0 by Students from Rural Areas. Electronics 2022, 11, 2109. [Google Scholar]
  37. Bellman, R.E.; Zadeh, L.A. Decision-making in a fuzzy environment. Manag. Sci. 1970, 17, 141–161. [Google Scholar] [CrossRef]
Disclaimer/Publisher’s Note: The statements, opinions and data contained in all publications are solely those of the individual author(s) and contributor(s) and not of MDPI and/or the editor(s). MDPI and/or the editor(s) disclaim responsibility for any injury to people or property resulting from any ideas, methods, instructions or products referred to in the content.

Article Metrics

Citations

Article Access Statistics

Multiple requests from the same IP address are counted as one view.