Meat Analogues from Pea Protein: Effect of Different Oat Protein Concentrates and Post Treatment on Selected Technological Properties of High-Moisture Extrudates
Abstract
1. Introduction
2. Materials and Methods
2.1. Materials
2.2. High-Moisture Extrusion
2.3. Compositional Analysis
2.4. Water and Oil Absorption Capacity
2.5. Cooking Yield
2.6. Color Properties
2.7. Texture Properties
2.8. Confocal Laser Scanning Microscopy
2.9. Statistical Analysis
3. Results
3.1. Production Setup and Characterization of the Meat Analogues
3.2. Techno-Functional Properties of Raw Materials and High-Moisture Extrudates
3.3. Color Profile
3.4. Texture Properties of HME
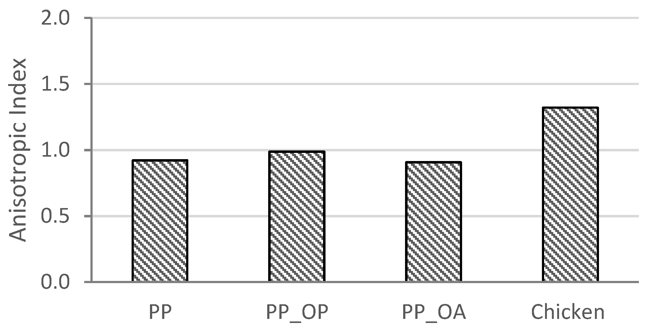
3.5. Microstructure of HME
4. Discussion
4.1. Effect of Oat Addition on Raw Material Techno Functionality
4.2. Techno-Functional Properties of HME
4.3. Effect of Oat Addition on HME Color
4.4. Effect of Oat Addition on HME Texture and Relation to Microstructure
4.5. Effect of Post Treatment on HME Texture
5. Conclusions
Author Contributions
Funding
Informed Consent Statement
Data Availability Statement
Acknowledgments
Conflicts of Interest
Abbreviations
| FR | Mass Feeding rate |
| GFS | Glucose, Fructose, and Sucrose |
| HME | High-moisture extrusion |
| HWT | Hot water treatment |
| LME | Low-moisture extrusion |
| NDO | Non-digestible oligosaccharides (raffinose, stachyose, verbascose) |
| NSP | Non-starch polysaccharides |
| OAC | Oil absorption capacity |
| OA | Oat protein concentrate—oat variety Active |
| OP | Oat protein concentrate—PrOatein® |
| PPC | Pea protein concentrates |
| PPI | Pea protein isolates |
| SRS | Screw rotation speed |
| WAC | Water absorption capacity |
| WFR | Water feeding rate |
References
- Li, Y. Feeding the future: Plant-based meat for global food security and environmental sustainability. Cereal Foods World 2020, 65, 8–11. [Google Scholar]
- Vatansever, S.; Tulbek, M.C.; Riaz, M.N. Low-and high-moisture extrusion of pulse proteins as plant-based meat ingredients: A review. Cereal Foods World 2020, 65, 12–14. [Google Scholar]
- Guyony, V.; Fayolle, F.; Jury, V. High moisture extrusion of vegetable proteins for making fibrous meat analogs: A review. Food Rev. Int. 2022, 39, 4262–4287. [Google Scholar] [CrossRef]
- Plattner, B. Extrusion techniques for meat analogues. Cereal Foods World 2020, 65, 4. [Google Scholar]
- Ferawati, F.; Zahari, I.; Barman, M.; Hefni, M.; Ahlström, C.; Witthöft, C.; Östbring, K. High-moisture meat analogues produced from yellow pea and faba bean protein isolates/concentrate: Effect of raw material composition and extrusion parameters on texture properties. Foods 2021, 10, 843. [Google Scholar] [CrossRef]
- do Carmo, C.S.; Silventoinen, P.; Nordgård, C.T.; Poudroux, C.; Dessev, T.; Zobel, H.; Holtekjølen, A.K.; Draget, K.I.; Holopainen-Mantila, U.; Knutsen, S.H. Is dehulling of peas and faba beans necessary prior to dry fractionation for the production of protein-and starch-rich fractions? Impact on physical properties, chemical composition and techno-functional properties. J. Food Eng. 2020, 278, 109937. [Google Scholar] [CrossRef]
- Maung, T.-T.; Ryu, G.-H. Asian perspective on high-moisture extrusion. Cereal Foods World 2020, 65, 4. [Google Scholar]
- Zhang, C.; Wei, Y.; Zhang, B.; Kang, L. Effect of protein contents on the quality properties of texturized peanut protein products. Sci. Agric. Sin. 2007, 8, 1753–1759. [Google Scholar]
- Mel, R.; Malalgoda, M. Oat protein as a novel protein ingredient: Structure, functionality, and factors impacting utilization. Cereal Chem. 2022, 99, 21–36. [Google Scholar] [CrossRef]
- Ge, J.; Sun, C.X.; Corke, H.; Gul, K.; Gan, R.Y.; Fang, Y. The health benefits, functional properties, modifications, and applications of pea (Pisum sativum L.) protein: Current status, challenges, and perspectives. Compr. Rev. Food Sci. Food Saf. 2020, 19, 1835–1876. [Google Scholar] [CrossRef] [PubMed]
- Osen, R.; Toelstede, S.; Wild, F.; Eisner, P.; Schweiggert-Weisz, U. High moisture extrusion cooking of pea protein isolates: Raw material characteristics, extruder responses, and texture properties. J. Food Eng. 2014, 127, 67–74. [Google Scholar] [CrossRef]
- Nisov, A.; Nikinmaa, M.; Nordlund, E.; Sozer, N. Effect of pH and temperature on fibrous structure formation of plant proteins during high-moisture extrusion processing. Food Res. Int. 2022, 156, 111089. [Google Scholar] [CrossRef]
- Chen, Q.; Zhang, J.; Zhang, Y.; Meng, S.; Wang, Q. Rheological properties of pea protein isolate-amylose/amylopectin mixtures and the application in the high-moisture extruded meat substitutes. Food Hydrocoll. 2021, 117, 106732. [Google Scholar] [CrossRef]
- Peng, H.; Zhang, J.; Wang, S.; Qi, M.; Yue, M.; Zhang, S.; Song, J.; Wang, C.; Zhang, D.; Wang, X. High moisture extrusion of pea protein: Effect of l-cysteine on product properties and the process forming a fibrous structure. Food Hydrocoll. 2022, 129, 107633. [Google Scholar] [CrossRef]
- Schreuders, F.K.; Dekkers, B.L.; Bodnár, I.; Erni, P.; Boom, R.M.; van der Goot, A.J. Comparing structuring potential of pea and soy protein with gluten for meat analogue preparation. J. Food Eng. 2019, 261, 32–39. [Google Scholar] [CrossRef]
- Nikinmaa, M.; Mustonen, S.A.; Huitula, L.; Laaksonen, O.; Linderborg, K.M.; Nordlund, E.; Sozer, N. Wholegrain oat quality indicators for production of extruded snacks. LWT 2023, 174, 114457. [Google Scholar] [CrossRef]
- Diaz, J.R.; Kantanen, K.; Edelmann, J.; Suhonen, H.; Sontag-Strohm, T.; Jouppila, K.; Piironen, V. Fibrous meat analogues containing oat fiber concentrate and pea protein isolate: Mechanical and physicochemical characterization. Innov. Food Sci. Emerg. Technol. 2022, 77, 102954. [Google Scholar] [CrossRef]
- De Angelis, D.; Kaleda, A.; Pasqualone, A.; Vaikma, H.; Tamm, M.; Tammik, M.-L.; Squeo, G.; Summo, C. Physicochemical and sensorial evaluation of meat analogues produced from dry-fractionated pea and oat proteins. Foods 2020, 9, 1754. [Google Scholar] [CrossRef] [PubMed]
- Lantmannen-Oats. Detailed Properties of PrOatein Oat Protein. Available online: https://www.lantmannenoats.com/proatein/properties-of-proatein/ (accessed on 18 July 2022).
- van der Goot, A.J.; Pelgrom, P.J.; Berghout, J.A.; Geerts, M.E.; Jankowiak, L.; Hardt, N.A.; Keijer, J.; Schutyser, M.A.; Nikiforidis, C.V.; Boom, R.M. Concepts for further sustainable production of foods. J. Food Eng. 2016, 168, 42–51. [Google Scholar] [CrossRef]
- Vogelsang-O’Dwyer, M.; Petersen, I.L.; Joehnke, M.S.; Sørensen, J.C.; Bez, J.; Detzel, A.; Busch, M.; Krueger, M.; O’Mahony, J.A.; Arendt, E.K. Comparison of faba bean protein ingredients produced using dry fractionation and isoelectric precipitation: Techno-functional, nutritional and environmental performance. Foods 2020, 9, 322. [Google Scholar] [CrossRef] [PubMed]
- do Carmo, C.S.; Silventoinen-Veijalainen, P.; Zobel, H.; Holopainen-Mantila, U.; Sahlstrøm, S.; Knutsen, S.H. The effect of dehulling of yellow peas and faba beans on the distribution of carbohydrates upon dry fractionation. LWT 2022, 163, 113509. [Google Scholar] [CrossRef]
- Pöri, P.; Nisov, A.; Nordlund, E. Enzymatic modification of oat protein concentrate with trans-and protein-glutaminase for increased fibrous structure formation during high-moisture extrusion processing. Lwt 2022, 156, 113035. [Google Scholar] [CrossRef]
- Immonen, M.; Chandrakusuma, A.; Sibakov, J.; Poikelispää, M.; Sontag-Strohm, T. Texturization of a blend of pea and destarched oat protein using high-moisture extrusion. Foods 2021, 10, 1517. [Google Scholar] [CrossRef] [PubMed]
- do Carmo, C.S.; Knutsen, S.H.; Malizia, G.; Dessev, T.; Geny, A.; Zobel, H.; Myhrer, K.S.; Varela, P.; Sahlstrøm, S. Meat analogues from a faba bean concentrate can be generated by high moisture extrusion. Future Foods 2021, 3, 100014. [Google Scholar] [CrossRef]
- Chemists, A.o.O.A.; Horwitz, W. Official Methods of Analysis; Association of Official Analytical Chemists: Washington, DC, USA, 1975; Volume 222. [Google Scholar]
- Commission, E. Commission Regulation (EC) No 152/2009 of 27 January 2009 laying down the methods of sampling and analysis for the official control of feed. Off. J. Eur. Union 2009, 54, 2–54. [Google Scholar]
- AACC—American Association of Cereal Chemist. Approved Methods of the AACC—Method 74–09; The Association: St. Paul, MN, USA, 1988. [Google Scholar]
- AACC. Approved Methods of Analysis, 11th ed.; Method 56-30.01; Water Hydration Capacity of Protein Materials; The Association: St. Paul, MN, USA, 1999. [Google Scholar] [CrossRef]
- Mazaheri Tehrani, M.; Ehtiati, A.; Sharifi Azghandi, S. Application of genetic algorithm to optimize extrusion condition for soy-based meat analogue texturization. J. Food Sci. Technol. 2017, 54, 1119–1125. [Google Scholar] [CrossRef]
- Kantanen, K.; Oksanen, A.; Edelmann, M.; Suhonen, H.; Sontag-Strohm, T.; Piironen, V.; Ramos Diaz, J.M.; Jouppila, K. Physical properties of extrudates with fibrous structures made of faba bean protein ingredients using high moisture extrusion. Foods 2022, 11, 1280. [Google Scholar] [CrossRef]
- Lin, S.; Huff, H.; Hsieh, F. Extrusion process parameters, sensory characteristics, and structural properties of a high moisture soy protein meat analog. J. Food Sci. 2002, 67, 1066–1072. [Google Scholar] [CrossRef]
- Palanisamy, M.; Töpfl, S.; Aganovic, K.; Berger, R.G. Influence of iota carrageenan addition on the properties of soya protein meat analogues. Lwt 2018, 87, 546–552. [Google Scholar] [CrossRef]
- Aaby, K.; Martinsen, B.K.; Borge, G.I.; Røen, D. Bioactive compounds and color of sea buckthorn (Hippophae rhamnoides L.) purees as affected by heat treatment and high-pressure homogenization. Int. J. Food Prop. 2020, 23, 651–664. [Google Scholar] [CrossRef]
- Altan, A.; McCarthy, K.L.; Maskan, M. Evaluation of snack foods from barley–tomato pomace blends by extrusion processing. J. Food Eng. 2008, 84, 231–242. [Google Scholar] [CrossRef]
- Wittek, P.; Karbstein, H.P.; Emin, M.A. Blending proteins in high moisture extrusion to design meat analogues: Rheological properties, morphology development and product properties. Foods 2021, 10, 1509. [Google Scholar] [CrossRef] [PubMed]
- Clemons, T.; Bradshaw, M.; Toshniwal, P.; Chaudhari, N.; Stevenson, A.; Lynch, J.; Fear, M.; Wood, F.; Iyer, K.S. Coherency image analysis to quantify collagen architecture: Implications in scar assessment. RSC Adv. 2018, 8, 9661–9669. [Google Scholar] [CrossRef] [PubMed]
- Yousif, E.; Ashoush, I.S.; Donia, A.; Goma, K.H. Critical control points for preparing chicken meals in a hospital kitchen. Ann. Agric. Sci. 2013, 58, 203–211. [Google Scholar] [CrossRef][Green Version]
- Bruhn, C.M. Chicken preparation in the home: An observational study. Food Protection Trends 2014, 34, 5. [Google Scholar]
- Sikorski, Z.E. Chemical and Functional Properties of Food Components; CRC Press: Boca Raton, FL, USA, 2006. [Google Scholar]
- Koehl, P.; Delarue, M. Polar and nonpolar atomic environments in the protein core: Implications for folding and binding. Proteins: Struct. Funct. Bioinform. 1994, 20, 264–278. [Google Scholar] [CrossRef] [PubMed]
- Kaukonen, O.; Sontag-Strohm, T.; Salovaara, H.; Lampi, A.M.; Sibakov, J.; Loponen, J. Foaming of differently processed oats: Role of nonpolar lipids and tryptophanin proteins. Cereal Chem. 2011, 88, 239–244. [Google Scholar] [CrossRef]
- Chen, F.L.; Wei, Y.M.; Zhang, B. Characterization of water state and distribution in textured soybean protein using DSC and NMR. J. Food Eng. 2010, 100, 522–526. [Google Scholar] [CrossRef]
- Chen, F.L.; Wei, Y.M.; Zhang, B.; Ojokoh, A.O. System parameters and product properties response of soybean protein extruded at wide moisture range. J. Food Eng. 2010, 96, 208–213. [Google Scholar] [CrossRef]
- Palanisamy, M.; Töpfl, S.; Berger, R.G.; Hertel, C. Physico-chemical and nutritional properties of meat analogues based on Spirulina/lupin protein mixtures. Eur. Food Res. Technol. 2019, 245, 1889–1898. [Google Scholar] [CrossRef]
- Rekola, S.-M.; Kårlund, A.; Mikkonen, S.; Kolehmainen, M.; Pomponio, L.; Sozer, N. Structure, texture and protein digestibility of high moisture extruded meat alternatives enriched with cereal brans. Appl. Food Res. 2023, 3, 100262. [Google Scholar] [CrossRef]
- Poynton, C.A. A technical Introduction to Digital Video; John Wiley & Sons, Inc.: Hoboken, NJ, USA, 1996. [Google Scholar]
- Martin, A. Chapter 4. Colour Management in the Graphic Technologies. In Graphic Design and Print Production Fundamentals; BCcampus: Vancouver, BC, Canada, 2017. [Google Scholar]
- Fletcher, D.; Qiao, M.; Smith, D. The relationship of raw broiler breast meat color and pH to cooked meat color and pH. Poult. Sci. 2000, 79, 784–788. [Google Scholar] [CrossRef] [PubMed]
- Kaleda, A.; Talvistu, K.; Vaikma, H.; Tammik, M.-L.; Rosenvald, S.; Vilu, R. Physicochemical, textural, and sensorial properties of fibrous meat analogs from oat-pea protein blends extruded at different moistures, temperatures, and screw speeds. Future Foods 2021, 4, 100092. [Google Scholar] [CrossRef]




| Material 1 | PP | PP_OA | PP_OP |
|---|---|---|---|
| FR (Kg/h) | 2 | 2 | 3 |
| WFR (Kg/h) | 2.3 | 2.3 | 1.9 |
| Target moisture (%) | 64 | 64 | 52 |
| SRS (rpm) | 600 | 600 | 500 |
| Heating Zone (°C) | |||
| Z1 | 40 | 40 | 40 |
| Z2 | 80 | 80 | 80 |
| Z3 | 130 | 130 | 130 |
| Z4 | 150 | 145 | 145 |
| Measured Cooling die (°C) | 40 | 40 | 40 |
| Composition % | |||
| Protein (dm) | 64.8 ± 0.0 | 64.8 ± 1.4 | 66.1 ± 0.5 |
| Fat | 5.3 ± 0.1 | 4.1 ± 0.1 | 6.5 ± 0.1 |
| Moisture * | 54.2 ± 1.4 | 54.8 ± 1.2 | 39.7 ± 0.3 |
| GFS 2 | 1.1 ± 0.0 | 1.3 ± 0.1 | 1.0 ± 0.0 |
| NDO 3 | 4.7 ± 0.0 | 4.8 ± 0.4 | 4.0 ± 0.0 |
| Material | PP | PP_OP | PP_OA | |||
|---|---|---|---|---|---|---|
| WAC % | RM | 169.7 ± 0.1 b | 212.3 ± 0.2 a | 167.5 ± 0.5 c | ||
| HME | 85.2 ± 19.4 a | 112.6 ± 1.0 a | 115.7 ± 8.9 a | |||
| OAC % | RM | 129.7 ± 0.2 b | 132.9 ± 0.2 c | 128.6 ± 0.1 a | ||
| HME | 0.8 ± 0.5 a | 2.8 ± 1.2 a | 0.9 ± 0.7 a | |||
| Cooking Yield % | 128.2 ± 3.3 a | 128.0 ± 0.6 a | 130.0 ± 4.0 a | |||
| HME Colour | HME | L* | 51.4 ± 0.7 b | 43.3 ± 0.9 c | 55.5 ± 1.2 a | |
| a* | 10.3 ± 0.4 a | 9.4 ± 0.3 a | 7.4 ± 0.8 b | |||
| b* | 26.5 ± 0.8 a | 18.4 ± 0.6 b | 25.5 ± 1.8 a | |||
| Yellowness | 58.2 ± 1.1 a | 49.9 ± 0.6 c | 54.7 ± 2.9 b | |||
| Water-treated * | L* | 67.1 ± 1.2 a | 65.7 ± 1.3 a | 61.5 ± 1.5 b | ||
| a* | 8.6 ± 0.5 a | 8.1 ± 0.0 b | 5.4 ± 0.9 b | |||
| b* | 21.7 ± 2.0 a | 21.7 ± 0.2 ab | 20.7 ± 0.9 ab | |||
| Yellowness | 44.5 ± 3.2 a | 44.9 ± 0.7 a | 45.2 ± 1.8 a | |||
| Oil-treated * | L* | 38.2 ± 1.1 a | 39.6 ± 1.5 a | 39.7 ± 1.6 a | ||
| a* | 11.7 ± 1.2 ab | 10.4 ± 0.4 ab | 13.4 ± 2.3 a | |||
| b* | 14.0 ± 2.1 b | 14.7 ± 0.9 b | 16.2 ± 1.3 b | |||
| Yellowness | 44.1 ± 3.7 a | 44.9 ± 1.2 a | 47.7 ± 2.9 a | |||
| Material | PP | PP_OP | PP_OA |
|---|---|---|---|
| Coefficient of coherency (-) | 0.5 ± 0.0 a | 0.3 ± 0.0 b | 0.2 ± 0.0 c |
| Median mesh pore area (um2) | 73.4 ± 2.0 c | 112.3 ± 6.9 b | 132.9 ± 4.0 a |
| Protein mesh intersection density ×10−3 (int/um2) | 2.8 ± 0.2 b | 4.1 ± 0.5 a | 4.3 ± 0.9 a |
Disclaimer/Publisher’s Note: The statements, opinions and data contained in all publications are solely those of the individual author(s) and contributor(s) and not of MDPI and/or the editor(s). MDPI and/or the editor(s) disclaim responsibility for any injury to people or property resulting from any ideas, methods, instructions or products referred to in the content. |
© 2023 by the authors. Licensee MDPI, Basel, Switzerland. This article is an open access article distributed under the terms and conditions of the Creative Commons Attribution (CC BY) license (https://creativecommons.org/licenses/by/4.0/).
Share and Cite
Gaber, S.M.; Knezevic, D.; Saldanha do Carmo, C.; Zobel, H.; Knutsen, S.H.; Sahlstrøm, S.; Dessev, T. Meat Analogues from Pea Protein: Effect of Different Oat Protein Concentrates and Post Treatment on Selected Technological Properties of High-Moisture Extrudates. Appl. Sci. 2023, 13, 12354. https://doi.org/10.3390/app132212354
Gaber SM, Knezevic D, Saldanha do Carmo C, Zobel H, Knutsen SH, Sahlstrøm S, Dessev T. Meat Analogues from Pea Protein: Effect of Different Oat Protein Concentrates and Post Treatment on Selected Technological Properties of High-Moisture Extrudates. Applied Sciences. 2023; 13(22):12354. https://doi.org/10.3390/app132212354
Chicago/Turabian StyleGaber, Sara M., Dejan Knezevic, Cátia Saldanha do Carmo, Hanne Zobel, Svein H. Knutsen, Stefan Sahlstrøm, and Tzvetelin Dessev. 2023. "Meat Analogues from Pea Protein: Effect of Different Oat Protein Concentrates and Post Treatment on Selected Technological Properties of High-Moisture Extrudates" Applied Sciences 13, no. 22: 12354. https://doi.org/10.3390/app132212354
APA StyleGaber, S. M., Knezevic, D., Saldanha do Carmo, C., Zobel, H., Knutsen, S. H., Sahlstrøm, S., & Dessev, T. (2023). Meat Analogues from Pea Protein: Effect of Different Oat Protein Concentrates and Post Treatment on Selected Technological Properties of High-Moisture Extrudates. Applied Sciences, 13(22), 12354. https://doi.org/10.3390/app132212354

