Prediction of Cyanobacteria Using Decision Tree Algorithm and Sensor Monitoring Data
Abstract
:1. Introduction
2. Research Method
2.1. Research Target Areas and Blue-Green Algae Outbreak Status
2.2. Data Acquisition
2.3. Data Acquisition
3. Results
3.1. Clustering of the Input Data
3.2. Evaluation of Sensor-Based Data Prediction Accuracy
3.3. Evaluation of the Optimal Prediction Model and Cycles
4. Conclusions
Author Contributions
Funding
Institutional Review Board Statement
Informed Consent Statement
Data Availability Statement
Acknowledgments
Conflicts of Interest
References
- Jung, W.S.; Kim, Y.D. Effect of abrupt topographical characteristic change on water quality in a river. KSCE J. Civ. Eng. 2019, 23, 3250–3263. [Google Scholar] [CrossRef]
- Smayda, T.J. Harmful algal blooms: Their ecophysiology and general relevance to phytoplankton blooms in the sea. Limnol. Oceanogr. 1997, 42 Pt 2, 1137–1153. [Google Scholar] [CrossRef]
- Peng, S.; Qin, X.; Shi, H.; Zhou, R.; Dai, M.; Ding, D. Distribution and Controlling Factors of Phytoplankton Assemblages in a Semi-Enclosed Bay during Spring and Summer. Mar. Pollut. Bull. 2012, 64, 941–948. [Google Scholar]
- Fang, X.; Yang, Z.; Ji, D.; Yao, X.; Liu, D. Responses of spring phytoplankton communities to their habitats in the Xiangxi Bay of Three Gorges Reservoir. Acta Ecol. Sin. 2013, 33, 308–316. [Google Scholar]
- Jia, Y.; Dan, J.; Zhang, M.; Kong, F. Growth characteristics of algae during early stages of phytoplankton bloom in Lake Taihu. J. Environ. Sci. 2013, 25, 254–261. [Google Scholar]
- Agrawal, S.C.; Singh, V. Akinete Formation in Three Blue Green Algae and One Green Algae in Relation to Light Intensity, Temperature, Heat Shock and UV Exposure. Folia Microbiol. 2000, 45, 439–446. [Google Scholar] [CrossRef] [PubMed]
- Wicks, R.J.; Thiel, P.G. Environmental factors affecting the production of peptide toxins in floating scums of the cyanobacterium Microcystis aeruginosa in a hypertrophic African reservoir. Environ. Sci. Technol. 1990, 24, 1413–1418. [Google Scholar] [CrossRef]
- Jun, K.S.; Kim, J.S. The Four Major Rivers Restoration Project: Impacts on River Flows. KSCE J. Civ. Eng. 2011, 15, 217–224. [Google Scholar] [CrossRef]
- Ryu, H.S.; Shin, R.Y.; Seo, K.; Lee, J.H.; Kim, K. Succession of cyanobacterial species and taxonomical characteristics of Dolichospermum spp. (Nostocales, Cyanophyceae) in the weir regions of the Nakdong River. J. Korean Soc. Water Environ. 2018, 34, 503–513. [Google Scholar]
- Son, H.J. The analysis of phytoplankton community structure in the middle-lower part of the Nakdong River. J. Korean Soc. Environ. Eng. 2013, 35, 430–435. [Google Scholar] [CrossRef]
- Shin, J.; Park, Y. Spatiotemporal and Longitudinal Variability of Hydro-meteorology, Basic Water Quality and Dominant Algal Assemblages in the Eight Weir Pools of Regulated River (Nakdong). Korean J. Ecol. Environ. 2018, 51, 268–286. [Google Scholar] [CrossRef]
- Kim, Y.W.; Lee, J.H.; Park, T.J.; Byun, I.G. Variation of Water Environment and Algae Occurrence Characteristics After Weirs Construction at Mulgeum Site in Downstream of the Nakdong River. J. Korean Soc. Hazard Mitig. 2017, 17, 383–392. [Google Scholar] [CrossRef]
- Lee, S.M.; Kim, I.K. Analysis of correlation between cyanobacterial population and water quality factors in the middle and down stream region of nakdong river. J. Korean Soc. Water Wastewater 2017, 31, 93–101. [Google Scholar] [CrossRef]
- Yang, S.C.; Xia, T.T.; Kang, T.H. Causes and Overcoming of the Algae Excess in a Dam Water-Based on the Data of Water Quality Analysis of Mulgum Area. J. Korean Soc. Environ. Restor. Technol. 2017, 20, 1–13. [Google Scholar]
- Park, D.Y.; Park, H.S.; Kim, S.J.; Chung, S.W. Analysis of Water Quality Variation by Lowering of Water Level in Gangjeong-Goryong Weirin Nakdong River. J. Environ. Impact Assess. 2019, 28, 245–262. [Google Scholar]
- Choi, H.G.; Han, K.Y.; Park, J.H. Reproducibility evaluation of stratification using EFDC model in Nakdong river. KSCE J. Civ. Environ. Eng. Res. 2017, 37, 561–573. [Google Scholar]
- Demeritt, D.; Wainwright, J. Models, modelling, and geography. In Questioning Geography; Blackwell Publishing: Oxford, UK, 2005; pp. 206–225. [Google Scholar]
- Shiffrin, R.M. Drawing causal inference from big data. Proc. Natl. Acad. Sci. USA 2016, 113, 7308–7309. [Google Scholar] [CrossRef]
- Park, Y.; Lee, H.K.; Shin, J.K.; Chon, K.; Kim, S.; Cho, K.H.; Kim, J.H.; Baek, S.S. A machine learning approach for early warning of cyanobacterial bloom outbreaks in a freshwater reservoir. J. Environ. Manag. 2021, 288, 112415. [Google Scholar] [CrossRef]
- Young, T.; Hazarika, D.; Poria, S.; Cambria, E. Recent trends in deep learning based natural language processing. IEEE Comput. Intell. Mag. 2018, 13, 55–75. [Google Scholar] [CrossRef]
- Xiao, X.; He, J.; Huang, H.; Miller, T.R.; Christakos, G.; Reichwaldt, E.S.; Ghadouani, A.; Lin, S.; Xu, X.; Shi, J. A novel single-parameter approach for forecasting algal blooms. Water Res. 2017, 108, 222–231. [Google Scholar] [CrossRef]
- Sutton, C.D. Classification and regression trees, bagging, and boosting. Handb. Stat. 2005, 24, 303–329. [Google Scholar]
- Jeong, D.H.; Lee, J.; Kim, K.; Lee, D.; Hong, S.; Yoon, J.; Hong, S.; Kim, T. A study on the management and improvement of alert system according to algal bloom in the Daecheong Reservoir. J. Environ. Impact Assess. 2011, 20, 915–925. [Google Scholar]
- MacQueen, J. Some methods for classification and analysis of multivariate observations. Proc. Fifth Berkeley Symp. Math. Stat. Probab. 1967, 1, 281–297. [Google Scholar]
- Jun, G.I.; Jo, G.C.; Nam, G.; Ki, S.J. Performance Assessment of Decision Tree-Based Predictive Models for River Water Quantity and Quality. J. Korean Soc. Environ. Technol. 2022, 23, 307–312. [Google Scholar] [CrossRef]
- Breiman, L. Random Forests. Mach. Learn. 2001, 45, 5–32. [Google Scholar] [CrossRef]
- Dorogush, A.V.; Ershov, V.; Gulin, A. CatBoost: Gradient boosting with categorical features support. arXiv 2018, arXiv:1810.11363. [Google Scholar]
- Chen, T.; Guestrin, C. Xgboost: A scalable tree boosting system. In Proceedings of the 22nd ACM SIGKDD International Conference on Knowledge Discovery and Data Mining, San Francisco, CA, USA, 13–17 August 2016; pp. 785–794. [Google Scholar]
- Boulesteix, A.L.; Janitza, S.; Kruppa, J.; König, I.R. Overview of random forest methodology and practical guidance with emphasis on computational biology and bioinformatics. Wiley Interdiscip. Rev. Data Min. Knowl. Discov. 2012, 2, 493–507. [Google Scholar] [CrossRef]
- Athey, S.; Tibshirani, J.; Wager, S. Generalized random forests. Ann. Stat. 2019, 47, 1148–1178. [Google Scholar] [CrossRef]
- Efron, B.; Hastie, T. Computer Age Statistical Inference, 1st ed.; Cambridge University Press: New York, NY, USA, 2016; ISBN 9781107149892. [Google Scholar]
- Biau, G.; Scornet, E. A random forest guided tour. TEST 2016, 25, 197–227. [Google Scholar] [CrossRef]
- Díaz-Uriarte, R.; De Andres, S.A. Gene selection and classification of microarray data using random forest. BMC Bioinform. 2006, 7, 3. [Google Scholar] [CrossRef]
- Ziegler, A.; König, I.R. Mining data with random forests: Current options for real-world applications. Wiley Interdiscip. Rev. Data Min. Knowl. Discov. 2014, 4, 55–63. [Google Scholar] [CrossRef]
- Zhou, Z.-H. Ensemble Methods: Foundations and Algorithms, 1st ed.; Chapman and Hall: Boca Raton, FL, USA, 2012. [Google Scholar]
- Zounemat-Kermani, M.; Batelaan, O.; Fadaee, M.; Hinkelmann, R. Ensemble machine learning paradigms in hydrology: A review. J. Hydrol. 2021, 598, 126266. [Google Scholar] [CrossRef]
- Ghojogh, B.; Crowley, M. The theory behind overfitting, cross validation, regularization, bagging, and boosting: Tutorial. arXiv 2019, arXiv:1905.12787. [Google Scholar]
- Blaen, P.J.; Khamis, K.; Lloyd, C.E.; Bradley, C.; Hannah, D.; Krause, S. Real-time monitoring of nutrients and dissolved organic matter in rivers: Capturing event dynamics, technological opportunities and future directions. Sci. Total Environ. 2016, 569, 647–660. [Google Scholar] [CrossRef]
- Pellerin, B.A.; Bergamaschi, B.A.; Gilliom, R.J.; Crawford, C.G.; Saraceno, J.; Frederick, C.P.; Downing, B.D.; Murphy, J.C. Mississippi River nitrate loads from high frequency sensor measurements and regression-based load estimation. Environ. Sci. Technol. 2014, 48, 12612–12619. [Google Scholar] [CrossRef] [PubMed]
- Wong, B.P.; Kerkez, B. Real-time environmental sensor data: An application to water quality using web services. Environ. Model. Softw. 2016, 84, 505–517. [Google Scholar] [CrossRef]
- Martinez, K.; Hart, J.K. Environmental Sensor Networks: A Revolution in Earth System Science? American Geophysical Union: Washington, DC, USA, 2007; Volume 2007, p. IN11A-0095. [Google Scholar]
- Jordan, P.; Arnscheidt, A.; McGrogan, H.; McCormick, S. Characterising phosphorus transfers in rural catchments using a continuous bank-side analyser. Hydrol. Earth Syst. Sci. 2007, 11, 372–381. [Google Scholar] [CrossRef]
- Kirchner, J.W.; Feng, X.; Neal, C. The Fine Structure of Water-Quality Dynamics: The Wave of the Future in Catchment Hydrochemistry? American Geophysical Union: Washington, DC, USA, 2004; Volume 2004, p. H51G-02. [Google Scholar]
- Sinshaw, T.A.; Surbeck, C.Q.; Yasarer, H.; Najjar, Y. Artificial neural network for prediction of total nitrogen and phosphorus in US lakes. J. Environ. Eng. 2019, 145, 04019032. [Google Scholar] [CrossRef]
- Kim, J.H.; Shin, J.K.; Lee, H.; Lee, D.H.; Kang, J.H.; Cho, K.H.; Lee, Y.G.; Chon, K.M.; Beak, S.S.; Park, Y. Improving the performance of machine learning models for early warning of harmful algal blooms using an adaptive synthetic sampling method. Water Res. 2021, 207, 117821. [Google Scholar] [CrossRef]
- Ly, Q.V.; Nguyen, X.C.; Lê, N.C.; Truong, T.D.; Hoang TH, T.; Park, T.J.; Magboo, T.; Pyo, J.C.; Cho, K.H.; Lee, K.S.; et al. Application of Machine Learning for eutrophication analysis and algal bloom prediction in an urban river: A 10-year study of the Han River, South Korea. Sci. Total Environ. 2021, 797, 149040. [Google Scholar] [CrossRef]
- Kim, J.; Jung, W.; An, J.; Oh, H.J.; Park, J. Self-optimization of training dataset improves forecasting of cyanobacterial bloom by machine learning. Sci. Total Environ. 2023, 866, 161398. [Google Scholar] [CrossRef] [PubMed]





| Weir | Water Level (EL.m) | Water Storage (Million m3) | HRT (day) | Inflow (m3/s) | Outflow (m3/s) | Blue-Green Algae (Mean) (cell/mL) |
|---|---|---|---|---|---|---|
| Sangju (SJ) | 45.83~47.47 (47.06) | 21.58~29.91 (27.76) | 0.27~30.11 (5.71) | 14.21~1183.78 (118.09) | 10.51~1178.00 (118.31) | 3466.50 |
| Nakdan (ND) | 39.35~40.44 (40.00) | 30.86~37.25 (37.71) | 0.25~48.05 (6.15) | 8.87~1370.84 (153.58) | 8.32~1376.29 (154.09) | 5223.723 |
| Gumi (GM) | 31.63~33.02 (32.56) | 44.71~55.82 (53.17) | 0.42~ 128.51 (22.49) | 1.27~1477.47 (142.92) | 0.5~1486.52 (143.29) | 4062.42 |
| Chilgok (CG) | 24.93~25.85 (25.54) | 66.92~78.71 (75.63) | 0.43~152.40 (15.09) | 8.01~2062.34 (158.71) | 5.73~2076.57 (159.07) | 7954.21 |
| Gangjeong Goryeong (GG) | 18.21~19.78 (19.10) | 72.36~96.38 (85.91) | 0.50~316.14 (25.88) | 0~2140 (159.37) | 3.34~2156.16 (160.38) | 10,235.83 |
| Dalseong (DS) | 10.15~14.44 (13.88) | 20.39~62.94 (57.20) | 0.25~88.05 (8.88) | 0~2860.85 (118.09) | 7.34~2830.42 (118.31) | 19,148.44 |
| Hapcheon Changnyeong (HC) | 4.86~11.22 (10.01) | 18.07~75.43 (63.14) | 0.27~156.37 (9.49) | 9.93~2907.55 (227.01) | 5.02~2794.005 (227.75) | 36,198.61 |
| Changnyeong Haman (CH)H | 2.22~5.76 (4.92) | 51.54~113.58 (99.15) | 0.31~121.38 (7.85) | 11.62~ 3342.76 (317.63) | 9.27~4049.52 (320.24) | 27,128.72 |
| Weir | Cluster 3 | Cluster 4 | Cluster 5 |
|---|---|---|---|
| SJ | 2 | 1 | 0 |
| ND | 2 | 1 | 0 |
| GM | 2 | 1 | 2 |
| CG | 0 | 2 | 2 |
| GG | 0 | 2 | 4 |
| DS | 1 | 0 | 1 |
| HC | 1 | 0 | 1 |
| CH | 1 | 3 | 3 |
| Weir | SJ | ND | GM | CG | GG | DS | HC | CH |
|---|---|---|---|---|---|---|---|---|
| BOD | −1.462 | −1.083 | −0.430 | −0.535 | −0.046 | 1.217 | 1.167 | 1.173 |
| COD | −1.738 | −0.896 | −0.513 | −0.140 | 0.065 | 1.382 | 1.299 | 0.540 |
| EC | −1.110 | −0.986 | −1.018 | −0.059 | −0.146 | 1.603 | 1.447 | 0.269 |
| SS | −0.953 | 0.178 | −0.784 | −0.942 | −0.812 | 1.107 | 0.316 | 1.890 |
| E. coil | −0.636 | −0.260 | −1.156 | −1.130 | 1.037 | 1.921 | −0.138 | 0.361 |
| TN | −0.911 | −0.929 | −0.973 | −0.115 | −0.372 | 1.819 | 1.375 | 0.107 |
| TOC | −1.776 | −0.839 | −0.478 | −0.103 | 0.096 | 1.464 | 1.271 | 0.365 |
| TP | −1.313 | −1.006 | −1.029 | −0.260 | 0.513 | 1.540 | 1.161 | 0.394 |
| W.T. | 0.803 | 1.175 | 0.975 | −0.143 | −2.147 | −0.602 | 0.095 | −0.156 |
| pH | −0.784 | 0.972 | 1.562 | −0.323 | −0.944 | −1.147 | −0.526 | 1.189 |
| DO | −0.150 | −0.463 | 0.075 | −0.939 | −1.651 | 0.437 | 0.932 | 1.758 |
| Chl-a | −1.199 | −0.572 | −0.699 | −0.240 | −0.919 | 0.993 | 0.878 | 1.757 |
| Cyano | −1.051 | −0.843 | −0.792 | −0.713 | −0.060 | 0.325 | 1.461 | 1.674 |
| HRT | −1.209 | −1.121 | 0.998 | 0.786 | 1.659 | −0.670 | 0.208 | −0.651 |
| W. Volume | −1.532 | −1.214 | −0.353 | 0.723 | 1.025 | −0.175 | −0.038 | 1.565 |
| Inflow | −1.042 | −0.685 | −0.583 | −0.470 | −0.306 | 0.181 | 0.575 | 2.330 |
| Outflow | −1.042 | −0.689 | −0.587 | −0.460 | −0.310 | 0.176 | 0.585 | 2.327 |
| Station | Applied Factor | ||
|---|---|---|---|
| All Data | All Data Day + 7 | Sensor Data Day + 7 | |
| SJ–GM | 0.875 | 0.878 | 0.853 |
| CG–GG | 0.754 | 0.719 | 0.761 |
| DS–HC | 0.878 | 0.831 | 0.811 |
| CH | 0.754 | 0.764 | 0.764 |
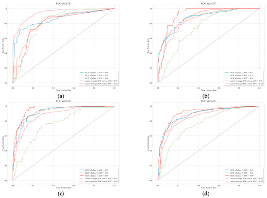
| Station | AUC (Area under the Curve) | ||
|---|---|---|---|
| Attention | Warning | Bloom | |
| SJ–GM | 0.86 | 0.81 | 0.80 |
| CG–GG | 0.87 | 0.75 | 0.92 |
| DS–HC | 0.92 | 0.76 | 0.95 |
| CH | 0.89 | 0.76 | 0.90 |
| Station | Data | Test Accuracy | References | |
|---|---|---|---|---|
| Day | Day + 7 | |||
| Case 1 | TN, NO3, NH4, TP, PO4, Cond, Interval, Wlevel, Inflow, Discharge, Precip, Atemp, Wspeed | 0.785 | 0.757 | [45] |
| Case 2 | TN, NO3, NH4, TP, PO4, Cond, Interval, Wlevel, Inflow, Discharge, Dhydro, Precip, Atemp, Wspeed | 0.809 | 0.746 | [19] |
| Case 3 | DO, Turbidity, TN, TP, TOC, WT, Chl-a, EC, pH, DMAT, DR, DTSD | 0.761 | 0.806 | [46] |
| Case 4 | COD, BOD, TOC, TSS, TP, DTP, PO4-P, TN, DTN, NO3-N, NH3-N, Chl-a, Temperature, Precip, Flow Rate, DO, pH, EC, TColi, FColi | 0.782 | 0.751 | [47] |
| Case 5 | BOD, COD, SS, E.coil, TN, TP, EC, TOC, W.T., pH, DO, Chl-a, HRT, W.Volume, Rainfall, Inflow, Outflow | 0.811 | 0.814 | |
| Case 6 | BOD, COD, SS, E.coil, TN, TP, EC, TOC, W.T., pH, DO, Chl-a | 0.808 | 0.798 | |
| Case 7 | EC, TOC, W.T., pH, DO, Chl-a | 0.785 | 0.791 | |
| Case 8 | EC, TOC, W.T., pH, DO, Chl-a, HRT, W.Volume, Rainfall, Inflow, Outflow | 0.821 | 0.814 | |
| Day Same Time | Day + 7 | |||||
|---|---|---|---|---|---|---|
| DS–HC | RF | XGBoost | CatBoost | RF | XGBoost | CatBoost |
| Test accuracy | 0.831 | 0.739 | 0.746 | 0.825 | 0.725 | 0.722 |
| Ave. cross-validation | 0.865 | 0.832 | 0.852 | 0.854 | 0.798 | 0.884 |
| Day | Three Categories | Seven Categories |
| D | 0.831 | 0.782 |
| D + 7 | 0.825 | 0.762 |
| D + 14 | 0.803 | 0.744 |
| D + 21 | 0.794 | 0.724 |
| D + 28 | 0.757 | 0.683 |
Disclaimer/Publisher’s Note: The statements, opinions and data contained in all publications are solely those of the individual author(s) and contributor(s) and not of MDPI and/or the editor(s). MDPI and/or the editor(s) disclaim responsibility for any injury to people or property resulting from any ideas, methods, instructions or products referred to in the content. |
© 2023 by the authors. Licensee MDPI, Basel, Switzerland. This article is an open access article distributed under the terms and conditions of the Creative Commons Attribution (CC BY) license (https://creativecommons.org/licenses/by/4.0/).
Share and Cite
Jo, B.-G.; Jung, W.-S.; Nam, S.-H.; Kim, Y.-D. Prediction of Cyanobacteria Using Decision Tree Algorithm and Sensor Monitoring Data. Appl. Sci. 2023, 13, 12266. https://doi.org/10.3390/app132212266
Jo B-G, Jung W-S, Nam S-H, Kim Y-D. Prediction of Cyanobacteria Using Decision Tree Algorithm and Sensor Monitoring Data. Applied Sciences. 2023; 13(22):12266. https://doi.org/10.3390/app132212266
Chicago/Turabian StyleJo, Bu-Geon, Woo-Suk Jung, Su-Han Nam, and Young-Do Kim. 2023. "Prediction of Cyanobacteria Using Decision Tree Algorithm and Sensor Monitoring Data" Applied Sciences 13, no. 22: 12266. https://doi.org/10.3390/app132212266
APA StyleJo, B.-G., Jung, W.-S., Nam, S.-H., & Kim, Y.-D. (2023). Prediction of Cyanobacteria Using Decision Tree Algorithm and Sensor Monitoring Data. Applied Sciences, 13(22), 12266. https://doi.org/10.3390/app132212266

