Next Article in Journal
Influence of Pt Oxidation State on the Activity and Selectivity of g-C3N4-Based Photocatalysts in H2 Evolution Reaction
Previous Article in Journal
Developing Web-Based Process Management with Automatic Code Generation
 
 
Font Type:
Arial Georgia Verdana
Font Size:
Aa Aa Aa
Line Spacing:
Column Width:
Background:
Article

Automated Control of the Fresh State of Industrial Concrete Behaviour by Rheometer Test Adjustment

by
Gemma Rojo-López
,
Belén González-Fonteboa
*,
Diego Carro-López
and
Fernando Martínez-Abella
Centro de Innovación Tecnolóxica en Edificación e Enxeñaría Civil (CITEEC), Civil Engineering School, Universidade da Coruña (UDC), Campus Elviña s/n, 15071 La Coruña, Spain
*
Author to whom correspondence should be addressed.
Appl. Sci. 2023, 13(21), 11738; https://doi.org/10.3390/app132111738
Submission received: 28 September 2023 / Revised: 20 October 2023 / Accepted: 25 October 2023 / Published: 26 October 2023

Abstract

This study aimed to develop a rheometer prototype and define a procedure for adjusting the automated control of the fresh state of concrete. Sixteen batches were produced, and their fresh behaviour was measured at different testing times by applying the Abrams cone and flow curve test (FCT) as the rheological protocol. During this test, the yield stress and plastic viscosity of the concretes were measured in relative units. The rheometer prototype was used to define a new protocol to select the most suitable rheometer impeller arrangement and optimal FCT configuration. This protocol considers the torque at the end of the breakdown period, torque reduction during the breakdown period, segregation, and negative values of the yield stress in relative units. This protocol also enabled an iterative adjustment procedure, facilitating the use of a rheometer for the automated control of the homogeneity and behaviour of fresh concrete, as well as real-time decision making.

1. Introduction

Industrial tests to control fresh concrete performance have been developed since the 1920s and currently remain to continue. However, the development of rigorous and automated measurements of concrete as a fluid are required, with rheometers and rheology being the most suitable tools. Since the 1970s, measurements using coaxial cylinders, parallel plates, and impellers have been developed, achieving a limited theoretical understanding.
However, the presence of large aggregates complicates the characterisation of concrete rheology. The size of the sheared specimen in a rheometer must be sufficiently large relative to the aggregate size to obtain a representative measurement of the bulk material [1].
Previous studies have demonstrated that concrete rheometers may be controlled by the shear stress or shear rate; most concrete rheometers are speed- or shear-rate controlled.
Coaxial rheometers consist of two concentric cylinders, where the inner cylinder rotates at a set velocity while the outer cylinder remains fixed. The shear stresses created by the fluid are assessed on the inner cylinder. The distance between both cylinders must be comparatively small in relation to their diameters to determine the shear stress and shear rates and the yield stress and plastic viscosity, using the Bingham equation [2]. To prevent the interaction of the aggregates with the wall of the rheometer, the gap must be at least three to five times the size of the coarse aggregate. This type of rheometer would not be appropriate for field use since its dimensions would have to be enlarged in accordance with the maximum size of the aggregate, making its transport outside the laboratory difficult.
Using coaxial cylinder viscometers for fresh concrete is difficult owing to the necessity of a large gap between the cylinders. Therefore, Tattersall et al. created a very effective and useful device in which a helical impeller rotates inside a cylindrical container filled with fresh concrete [3,4,5]. This was named the “Two-Point” rheometer. The pressure in the power unit was measured across a range of speeds in order to calculate the torque on the rotating impeller. The flow curve can be obtained by assuming that the shear rate and the shear stress are directly proportional to the impeller’s rotational velocity and the torque, respectively [6]. This method permits the analysis of concrete flow at different shear rates; however, it does not permit the assessment of the viscosity and yield stress in fundamental units. The “Two-Point” device was modified and computerised by Wallevik and Gjørv [7].
Other apparatus employed to measure the rheology of concrete in fresh state are BTRHEOM, which uses parallel plates, IBB and ICAR rheometers, which employ an impeller, and BML and CEMAGREF-IMG, which are coaxial cylinder rheometers [8,9,10].
In the BML and CEMAGREF-IMG apparatus, one cylinder (outer for BML and inner for CEMAGREF-IMG) is rotated at various speeds. When the fresh concrete occupies the space between the inner and outer cylinders, the torque on the inner cylinder is measured. The amount of the concrete sample is the most noticeable distinction between these two rheometers, which is only 17 L for the BML, whereas it is 500 L for the CEMAGREFIMG tests [11].
The BTRHEOM rheometer is a parallel-plate apparatus. A cylindrical container with a fixed bottom plate is filled with a sample of concrete. The torque on a top plate inserted into the concrete is measured while it rotates at different speeds [11].
The ICAR, IBB and two-point rheometers have a rotating impeller which is introduced into fresh concrete in a cylinder-shaped container. The impeller of the two-point rheometer shows a helical pattern, but the IBB employs an H-shaped impeller. A four-blade vane is the impeller used in the ICAR device [10]. These are axial rheometers because the impeller rotates at the centre of the sample container, and the torque produced is recorded as a function of the rotation velocity.
Although there is an apparent relationship between measurements for different rheometers, the absolute values determined for a specific mix are not the same. The measurement of the rheological parameters in absolute units is not possible in all rheometers. Rheometers with cone-plate, parallel-plate or concentric cylinders measure rheological values that are independent of the geometry. However, when measuring concrete rheology, due to the aggregate size, these geometries are not possible and relative measuring geometries must be employed (such us rotational devices). A relative measuring geometry provides values in relative units (rotational velocity, rps or rad/s, and torque, N m) as opposed to absolute units (shear rate, rps, and shear stress, Pa). The conversion of relative units into absolute measurements depends on the geometry of the device, on the fluid boundary conditions, etc., and sometimes a direct conversion is not possible [12,13]. Brower and Ferraris [11] showed that all the rheometers were found to rank the mixtures in the same order for both the yield stress and plastic viscosity; the differences in the absolute values can be attributed to several issues, such as the slip at the interface of the device wall with the concrete or the confinement of concrete between the moving parts of the rheometers.

2. Research Objectives

Rheometers can provide the concrete industry with significantly valuable information. Special concretes, such as self-compacting, 3D-printing concrete or the employment of superplasticizers with high dispersing powder, require more information than that provided by the common industrial tests used to measure concrete workability, such as the slump cone or slump flow test. In its fresh state, concrete can be considered a fluid and to fully understand the concrete flowability, various industrial tests must be developed, such as the V-funnel, L-box, J-ring, etc. Rheology is the science that aims to know the flow and deformation of materials by defining their flow curves (relationship between shear stresses and shear rates). In Bingham fluids (such as most of concretes), the flow curves are defined by two rheological parameters: yield stress and plastic viscosity. These two rheological parameters, obtained through a single rheological test, provide information that permits the complete characterisation of the concrete’s fresh performance as a fluid. Fresh behaviour is usually controlled based on industrial tests, such as the Abrams cone or the T-funnel test, that are highly sensitive to the operator. Moreover, the devices used to carry out these tests prevent their automatization (the Abrams cone, J-ring, L-box, etc.).
Nowadays, several new concretes or once-off applications require the characterisation of certain fresh parameters that the traditional industrial test (the Abrams cone) cannot measure, such as the open time, fluidity variation over time, or viscosity. This is the case with highly fluid concretes or SCC, which require several industrial tests (slump flow, L-box, J-ring, etc.) [14,15] that are too time-consuming to be performed on all concrete batches. The same issue exists in the precast industry with 3D-printing concrete [16], or the use of concrete with recycled concrete that absorbs free water from the mixture over time, thereby rapidly changing the fresh behaviour of the concrete [17]. In these recycled concretes, the duration of the mixing procedure and transportation can significantly affect the free water, and therefore the fresh behaviour of the concrete [15]. The same can occur when other by-products are used, such as wood ash, coal bottom ash, and filler from natural stone. The increased use of highly flowable mixtures for the rapid production of flat elements, such as floors or slabs, also requires this type of fresh control.
All these situations require a precise assessment of the concrete fluidity at the production plant occasionally over time, along with certain other premises. In the current digital society, modern quality control tests must provide information for the storage and analysis of concrete performance. Fresh-behaviour control should be fully automated to minimise operator input and allow decision-making. The employment of rheometers permits the automatization and digitalization of all fresh state measurements. Fresh behaviour, throughout scientific parameters, can be assessed and data can be evaluated by experts to take actions (modify mix proportioning, reduce mixing time, etc.) that will improve concrete performance.
This study aims to promote the use of a rheometer to obtain reliable and automated information regarding the fresh state of concrete. The use of rheology is demonstrated to encompass precision, repeatability, speed, and the possibility of controlling the mixtures over time, thereby helping engineers detect problems during casting and understand the fresh behaviour of mixtures (as data can be stored automatically). These issues are essential in several specific concrete applications, such as 3D printing [18], the precast industry [19], recycled aggregates [20], and visible and ornamental concrete. Furthermore, it can improve the control of general-purpose concrete plants.
One of the main issues with rheometers is that there are no standard tests that can be applied to all concrete types. Rheological tests must be adjusted according to the concrete type, fluidity, aggregate type used, and admixtures.
The main objective of this study is to promote the automation of rheological tests for the quality control of fresh concrete performance in the concrete industry. Accordingly, the development and adjustment of a device (rheometer prototype) is presented, which enables users to modify testing parameters, such as the impeller type, speed range, and test type. Once the device is developed, it is necessary to create a protocol to select the correct configuration of the rheometer, such as the impeller type and the most suitable testing procedure (time-speed profile). Once these issues are defined, all concrete batches produced can be controlled, and homogeneous quality is guaranteed. This presents an important step in the promotion of the automatic control of the fresh behaviour of concrete.

3. Variables to Be Adjusted

The developed prototype is a device based on a commercial model using a cylindrical container with an impeller. Therefore, parameters will be measured in relative units that cannot be directly compared with the results obtained using other devices. To obtain the fundamental rheological parameters (yield stress and plastic viscosity), a posterior analysis that considers the device and impeller geometry is necessary. However, this is not required to suitably characterise fresh behaviour, as measuring the relative parameters is sufficient for controlling fluidity and its changes over time. The fundamental parameters can be obtained with post-processing analysis, if necessary.

3.1. Device Characteristics

The device was designed for on-site use, with a variable range of concrete typologies, and thus, a powerful and robust engine is required to produce a sufficient torque. However, to make it portable, it must be compact and low weight, and should include a simple and reliable control system that provides direct results and validates the quality of the mixes.
The engine selected drives the impeller from 0 to 6.54 rad/s (70 Hz), generating a sufficient torque, which is measured with a torque cell ranging between 0 to 17.5 Nm. The parameters were selected so that the rheometer can be used for a wide range of concretes (from fluid to dry consistencies) and to be portable and easily used. Therefore, a lightweight motor was selected that permits a wide range of speeds, and a load cell was chosen that can obtain a wide range of torques.
Selecting the impeller is one of the most important issues when conducting a rheological test using this type of rheometer. The impeller is responsible for creating the optimal flow conditions to determine the rheological parameters. In this study, the following two impellers with different geometries were tested, one of which was similar to the impeller of a mixer and the other consisting of polygonal blades:
  • The polygonal impeller, Impeller A, is 150 mm in diameter and 120 mm in height (Figure 1). It consists of four polygonal-shaped blades that reduce the surface and prevent high friction when the concrete is highly consistent.
  • The propeller impeller, Impeller B, is 150 mm in diameter and 106 mm in height (Figure 2). This impeller incorporates inclined blades, which permit higher testing speeds.
The geometry of the container was defined by considering the geometry of the impellers (Figure 3 and Figure 4), the typical aggregate size in concrete, and the gap between the impeller and edges of the container, which should be within three to five times the maximum aggregate size [10]. The cylindrical container used in this study had a diameter of 250 mm and a height of 300 mm, leaving lateral gaps of 50 mm and 60 mm at the bottom. With this geometry, the maximum aggregate size was 20 mm and the minimum aggregate size was 10 mm. Furthermore, the container can be easily changed if concretes with other aggregate sizes are to be monitored.

3.2. Testing Profiles

The flow curve test (FCT) was selected as the rheological test for adjustment, which has been widely used in previous studies and provides the most important parameters for the fresh state performance of concrete [21]. It was adjusted to be easily automated for use as a control test for concrete fluidity.
This FCT is defined by a pre-established pre-shear period (breakdown period), where the maximum speed is maintained constant. Subsequently, the speed decreases to zero within a fixed time, that is, using a descending ramp. The torque was measured at seven fixed speeds of the descending ramp (Figure 5). The goal of the pre-shear period is to reduce the impact of thixotropy and provide a consistent shear history [22]. A flow curve can be adjusted based on the seven measured speed–torque points, and the dynamic yield stress and viscosity are calculated in relative units. The flow curve of most concretes can be linearly adjusted (Bingham model) or less frequently, with a power function (Herschel–Bulkley) [23]. However, this last model should be avoided in concrete mixes because it makes it difficult to obtain the rheological parameters [24]. The relative dynamic yield stress is the torque at the intersection of the curve with the vertical axis, and the relative plastic viscosity is the slope of the flow curve (Figure 6). In this study, a short period of 5 s and a long period of 90 s were used for the test. Two maximum speeds were analysed (rotational speeds of 10 and 30 rpm).
Figure 7 summarises the rheological tests performed as well as the nomenclature. The testing time is referred to as the time since water–cement contact.

4. Concrete Mix and Mixing Procedure

To adjust the parameters of the rheological tests and select the best impeller, a concrete mix was designed, and its fresh behaviour was controlled using the prototype.
The concrete mix was designed using ordinary Portland cement without CEM I 52.5 R. A modified polycarboxylate ether-based high-range water reducer admixture with a specific gravity of 1.05 g/cm3 was incorporated to achieve a high concrete fluidity (slump values of approximately 19 cm). Fine limestone sand with a 0–4 mm nominal size and a coarse granitic fraction with a nominal size of 4–11 mm were used as aggregates.
Table 1 presents the basic properties of these aggregates.
All mixes were prepared with a cement content of 450 kg and water-to-cement ratio of 0.40. Details of the mix proportions are listed in Table 2.
Considering the mixing protocol, the aggregates (fine and coarse) were first mixed for 30 s for homogeneity. This was followed by adding more water (calculated to compensate for the aggregate absorption capacity of up to 80%) and mixing it with the aggregates for another 30 s. The cement was incorporated and mixed with the aggregates for 60 s. Subsequently, water was added. This cement–water contact time point was considered as the reference age (t = 0) for performing all the fresh concrete tests [25]. After 1 min of mixing, the superplasticiser was introduced, the concrete was mixed for a further two minutes, then let to rest for one minute before being mixed once more for a further minute. Lastly, several buckets were filled with the concrete, and the rheometer container was filled too. After that, the concrete was allowed to rest until it was ready for testing.
Batches of 60 L were produced with the same mix composition in the same mixer under laboratory conditions (20 °C). All batches were controlled using rheological and industrial tests at different times, using the time of the cement–water contact as the initiation reference. The tests were conducted using the slump test (Abrams cone-UNE-EN 12350-2:2020 [26]) and flow curve test (FCT), and were performed at each of the following testing ages: 10, 15, 20, and 30 min. In addition, three 100 × 100 × 100 mm cubes were cast to control the compressive strength at 28 days following UNE-EN 12390-3:2020 [27]. The slump and compressive strength results were used to control the homogeneity of the different batches produced.
After each testing time, the concrete used for the slump test was reintroduced into the mixer, and the vane of the rheometer was extracted, leaving the material in the rheometer. The mixture was remixed for 15 s in the mixer three minutes before the following testing times (15, 20, and 30 min) to re-homogenise the mixture; the concrete in the rheometer containers was also simultaneously re-homogenised using a shovel for the same duration.

5. Results

5.1. Compressive Strength and Slump

The slump test and compressive strength at 28 days were measured for each of the 16 batches to analyse the concrete fresh and hardened behaviour during production (Table 3). The slump was tested at different times from the water-to-cement contact, namely at 10, 15, 20, and 30 min. In all the mixes, two 100 mm cubes were produced to measure compressive strength.
A highly fluid concrete with high strength, which is typically used for high-end applications in the concrete industry, was used for the test in this study. The compressive strength of the concrete was well above 70 MPa with a consistency that can be classified as a liquid [26] without reaching self-compactability. The information obtained by a simple slump test is limited, the results of which can be correlated with the yield stress of the mixture; however, it does not provide any information regarding the viscosity of the mixture [28]. This is a significant drawback, and in many cases, it is insufficient [29].
The dispersion of the results was low, with acceptable standard deviation, which is expectable in mixtures produced under controlled conditions. The typical issues that may have produced biases were controlled by producing everything in the same mixer with the same initial humidity of the aggregates and obtaining a sufficient precision for the weight control of the materials. Therefore, the 16 mixes used were concluded to present similar behaviour, both in terms of strength and slump, and permitted the comparison of the rheology results between the different batches.

5.2. Rheological Measurement Adjustment

5.2.1. Selection of the Pre-Shear Period

The figures demonstrate that the pre-shear time cannot be shortened to 5 s, and that 90 s is required for the complete breakdown of the mixture. Figure 8 shows that, regardless of the impeller type or the velocity value, with a pre-shear period of 90 s, the torque reaches the equilibrium at the end of the breakdown time, that is, it remains constant overtime at the end of the constant speed period. However, when the pre-shear period is 5 s, the equilibrium is not reached (torque goes on decreasing at the end of the constant speed period).
Figure 9 presents the flow curves 15 min after the addition of water to the mixer. The two parameters that varied were the velocity, which was 10 or 30 rpm, and the pre-shear period, which was established at 5 or 90 s.
When a 90 s breakdown period was used, for both velocities and both types of impellers, the Bingham model (solid line) provided a good flow curve adjustment with R2 around 0.99 (Figure 9). However, with the 5 s breakdown period, the flow curves (dotted line) present a non-linear behaviour that suggests shear thickening performance and would require the use of the Hershel–Bulkley model. As was seen in Figure 8, for the 5 s breakdown period, the torque values are not constant, which indicates that the non-linearity of the curve that is due to thixotropy has not been eliminated, and that the testing protocol is not suitable as it may lead to erroneous conclusions [30,31].
The study of the torque reduction as a function of the duration of the breakdown period (Figure 10) indicates that these reductions are always lower in tests with a breakdown period of 5 s. In this case, the differences between the types of impeller and speed applied were small. The reductions were greater with a breakdown period of 90 s, and those achieved in the 10 × 90 test with impeller B were particularly noteworthy. The low torque reduction values indicate that the mixture did not break down effectively.
The short pre-shear period of 5 s may be apparently insufficient to ensure the complete breakdown of the mixture. Therefore, the flow curve for these tests may be incorrectly measured, as the first pairs of torque speed included part of the remaining thixotropy of the concrete and incorrectly indicated an apparent non-linear behaviour [31]. This was confirmed by the shape of the flow curves (Figure 8), which were clearly non-linear. In these cases, the equilibrium of the torque at each rotational speed step in the flow curve measurement should be verified. When the pre-shear period was 90 s, a complete breakdown of the sample was achieved, and all the flow curves presented the behaviour of a Bingham linear model.
Based on this result, the FCT using the pre-shear period of 5 s should be disregarded. This indicates that the total time of the FCT adds up to 120 s, where 90 s correspond to the pre-shear period and 30 s correspond to the testing of the descending ramp. This is not an excessive time for testing, although it presents a drawback that should be considered.

5.2.2. Selection of Speed and Impeller

We first analysed the torque at the end of the pre-shear period to select the speed. If this torque was too low, a limiting effect related to the measurement range would exist, which may be too small, making it impossible to adjust the linear flow curve and provide precise slope values. The torque results at the end of the pre-shear period are shown in Figure 11. A speed of 30 rpm provided the highest values, where the impeller type was not a significant parameter. The values obtained at a speed of 10 rpm were lower than those obtained at 30 rpm, where impeller A provided higher values than impeller B.
Although a speed of 30 rpm appears to be the best option, using high velocities presents certain segregation risks. If the speed is too high and the mixing energy is excessive, part of the volume mix may not move, leading to segregation. This also produces imprecise values for the yield stress and plastic viscosity.
A visual inspection was performed after each rheological test for both impellers, A and B, and for all the testing times. It is important to ensure the absence of heterogeneous areas after the shear tests of the concrete. These can manifest as the separation of the coarse fraction or, more likely, as the segregation of the liquid paste on top of the mix.
Segregation was detected during the FCT with impeller A, which combined a higher velocity of 30 rpm and the longest pre-shear period of 90 s. As shown in Figure 12, the coarse aggregate and mortar are separated, which is analogous to the inner cylinder of a coaxial cylinder rheometer [10]. There was no sign of segregation under the slower velocity of 10 rpm and with the longer pre-shear time of 90 s. None of the other parameter combinations produced any segregation. For impeller B, there was no sign of segregation in any of the tests.
According to this result, the speed of 30 rpm combined with impeller A must be disregarded.
Finally, the flow curves and relative parameters obtained were used to select the best procedure. The values of the relative yield stress and relative plastic viscosity can be obtained from the flow curve as a relative parameter related to the yield stress and plastic viscosity.
Figure 13 presents the flow curves of the different tests with a pre-shear period of 90 s. The flow curves at both speeds, 10 rpm and 30 rpm, tend to be clearly linear and present a similar slope. Regarding the impellers, according to the values of the torque after the pre-shear period, the differences between impellers A and B were insignificant when the speed was high (30 rpm). However, when the speed was 10 rpm, the differences were more notable, where the flow curve of impeller A was always above that of impeller B.
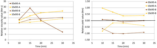
Using the flow curves shown in Figure 13, the values of the relative yield stress and relative viscosity were obtained, as shown in Figure 14.
The analysis of the viscosity results confirms the segregation in test 30 × 90 with impeller A. In this case, the relative viscosity over time demonstrates a decreasing trend from 15 min onwards, while it increases in all the other tests, indicating that the concrete becomes more viscous over time. The segregation detected by visual inspection is responsible for this behaviour. The test procedure of 30 × 90 with impeller A should be disregarded. According to the viscosity values, all other tests appear to be suitable and can accurately predict a slight increase in the concrete viscosity over time.
The relative yield stress results were always negative when impeller B was used. Note, this concrete was highly fluid, thus a low yield stress was expected. However, negative values are inconsistent with the physical indication of the yield stress, implying that this impeller is not sufficiently sensitive to analyse this type of fluid concrete. Considering these results, impeller A appears to be more appropriate for this concrete, which has a higher shaft surface. However, impeller B can be useful for concretes with less fluidity, providing the rheometer with a wider range of possibilities. In addition, impeller A can be suitable for concretes with a higher fluidity, including SCC.
Considering the foregoing and disregarding the tests with impeller B, as well as the 30 × 90 test with impeller A, 10 × 90-A would be the selected configuration for the FCT in this type of concrete, as it produces coherent values for the relative yield stress and relative plastic viscosity.

6. Device Validation

This section presents a comparison between the adjusted rheometer and a commercial rheometer to validate the results and the protocol with the adjusted device. Two additional mixes were produced and tested using the selected FCT protocol (10 × 90). The test was simultaneously performed on two rheometers by using identical test processes. Once the test was performed, it was processed by applying the Bingham model in relative units. The flow curves obtained are shown in Figure 15.
The two rheometers used in this study had varying characteristics considering the dimensions, type of container, and impeller geometry. However, when the flow curves were analysed under different times and for a selected test, although no apparent coincidence in the values was observed, the trends were coincident. Parallelism was observed between the two devices in this test, with the rheometer developed in this study presenting the highest values of the points on the curve. Moreover, they fit the Bingham model with a significantly high R2 value. Table 4 lists the rheological parameters in the relative units obtained from the flow curves in Figure 15.
Figure 16 presents the evolution of both rheological parameters (yield and viscosity values) over time and confirms that both rheometers predict the same behavioural trends, with higher values for the rheometer developed in this study.
Figure 17 presents the relationship between the values of the viscosity obtained with each rheometer (commercial-C and prototype with vane A) and, accordingly, the same relationship has been drawn using the values of the yield. A linear relationship can be observed in both parameters, indicating that the prototype can measure the yield stress and viscosity as sufficiently as a commercial device, and can also accurately detect the changes in the fresh behaviour of a concrete mix.

7. Rheometer Test Adjustment

7.1. Adjusment Flow Chart

To make the rheological control of the behaviour of concrete in a fresh state more widespread and replace traditional industrial tests, a campaign of tests is required to enable the adjustment of the testing profiles and the configuration of the device (blade, container, load cell).
In this study, a procedure to adjust the rheological test that will be used in the automated control of the fresh behaviour of concrete was developed. In this case, two types of impellers were considered, named A and B, with substantially different geometries, and one rheological test (FCT), in which the pre-shear period and speed must be adjusted. The FCT was selected as the most suitable procedure for automated control because it provides information regarding the plastic viscosity and yield stress.
Figure 18 presents the protocol suggested for adjusting the rheological procedure. The first step is to select one impeller (any impeller may be selected first) along with a high rotational speed and short pre-shear period. With this configuration, an FCT can be conducted (FCT0 in the flow chart) to verify that this speed provides a maximum torque near, but lower than, the maximum value permitted by the torque cell. If the torque is excessively low or high, the speed must be increased or decreased, respectively.
Once the high initial speed is selected, the torque reduction in the FCT0 is analysed; if it is lower than 50%, a longer pre-shear period is suggested (limited to 90 s to avoid a test that is too long). In this case, another loop of the procedure starts with a new FCT to verify the new pre-shearing period (FCT1 in the flow chart). If the pre-shear period is longer than 90 s, the impeller should be changed, and the adjustment procedure should be started again with the new impeller (FCT0).
When the torque reduction exceeds 50%, segregation must be visually checked. In the event of segregation, the following must be applied: reduced speed, repeated FCT1 to verify the torque reduction, and readjustment of the breakdown period if necessary. If segregation is not detected, the Bingham model can be used to define the flow curve of the concrete. Using this equation, the yield stress can be calculated to confirm that no negative values are obtained. If the yield stress is negative, the speed must be reduced, and FCT1 must be repeated again to verify the torque reduction and segregation (although segregation would not be expected at a lower speed).
Once the yield stress is positive, the viscosity can be obtained, and the adjustment procedure is complete. As a result of the developed campaign, the impeller, rotational speed, and breakdown period for the flow curve test were adjusted. Using this protocol, concrete can be used with automated control.

7.2. Advantages and Disadvantages

The use of a rheometer to obtain absolute measurements allowing users to compare the results with other devices is complex. Therefore, the use of these devices in relative units were proposed to simplify the process, although it limits the possibility for comparison. Furthermore, the relative parameters provide information regarding concrete workability and allow the comparison of different concretes when the same device is used. If necessary, the absolute parameters (yield stress and plastic viscosity) can be obtained with a post-process analysis.
The need to adjust the rheological tests in advance is also a disadvantage. In addition to adjusting the concrete mix and statistically obtaining the compressive strength during previous tests, it would also be necessary to adjust the rheological tests following the flow chart provided in this study. Once they are fitted, the relative rheometer can evaluate the behaviour of concrete mixes in the fresh state, resulting in both a faster and automated production.
Another aspect that can be easily captured with a rheometer is the tendency of the mixtures to segregate. If the concrete exhibits this issue, the rheometer produces odd results that would trigger corrective steps. This type of device also provides information regarding homogeneity and can detect the defects in certain batches during concrete production.
The automation provided by this device is also a powerful tool. First, its use eliminates the need for operator intervention (most industrial tests are operator sensitive). Second, the information can be automatically stored, and it is possible to create databases that can be analysed in a post-process step to obtain rheography [32], or the relationships between the mixing parameters or raw material properties, and the rheological parameters. This can help engineers learn about concrete behaviour in concrete plants and enable faster and better adjustments of concrete mixes.
The use of a rheometer would imply a decrease in the labour costs owing to the reduction in the manual testing of concrete. At this point, the cost of advanced industrial testing is needed for novel concretes, such as spread and T500, J-Ring, V-funnel, and L-Box, which must be performed when self-compacting concrete is being used. However, when the rheometer device is included in the production chain, it can be used to ensure a 100% automatic control of the concrete.
The time required for rheological testing differs depending on the adjustment. In the flow chart proposed in this study, the time required to breakdown the mixture and reach a shear stress plateau was limited to 90 s. Thus, the total time to develop the FCT would always be less than 120 s.
Although not covered in this study, the rheometer can be adjusted as an indicator for mixed thixotropy. This requires specific tests and a post-process analysis of the measured results [33].

8. Conclusions

This study aims to develop a rheometer prototype and to define a procedure to adjust its configuration and the testing protocols to enable the automated control of the concrete fresh state. This was developed using a highly flowable concrete mix that was characterised at various testing times (ranging from 10 to 30 min from the water-to-cement contact).
The rheometer prototype designed works in relative units. This, although it limits its comparability with other devices, simplifies the process. It was also concluded that, the most suitable rheological test is the FCT, as it provides information regarding both the yield stress and plastic viscosity of the concrete. Taking these two issues into account, the rheometer prototype was compared to a commercial rheometer, concluding that it is equally efficient in capturing the trends of fresh concrete behaviour.
A flow chart was designed that suggests an iterative protocol that enables industrial users to select the FCT profile (breakdown period and rotational speed) and impeller-type with a reduced number of iterations. This protocol considers the torque at the end of the breakdown period, torque reduction during the breakdown period, possibility of segregation, and possible negative values of the yield stress in relative units.
Finally, it can be concluded that a new calibrated device has been developed and a flow chart has been designed suggesting a protocol to adjust the procedure for the assessment of the fresh state behaviour of concrete automatically, thereby requiring minimal operator input.

Author Contributions

Conceptualization, B.G.-F. and D.C.-L.; methodology, B.G.-F. and G.R.-L.; validation, B.G.-F., G.R.-L. and D.C.-L.; formal analysis, B.G.-F., G.R.-L. and D.C.-L.; data curation, G.R.-L.; writing—original draft preparation, G.R.-L. and D.C.-L.; writing—review and editing, B.G.-F. and D.C.-L.; supervision, B.G.-F. and F.M.-A.; funding acquisition, B.G.-F. and F.M.-A. All authors have read and agreed to the published version of the manuscript.

Funding

This research was funded by the Spanish Ministerio de Ciencia e Innovación—Agencia Estatal de Investigación through three research projects entitled: “Design of sustainable concrete for 3D printing based on rheology and on the control of very early properties (Eco3DConcrete)—PID2020-115433RB-I00”, “Design of concrete precast elements incorporating sustainable strategies for self-healing to increase their service life (PREHEALING)—PDC2021-121660-I00” and “Exploiting the synergic effects between 3D printing and self-healing technologies to design sustainable and durable concrete (3DHealConcrete)—TED2021-129757B-I00”.

Institutional Review Board Statement

Not applicable.

Data Availability Statement

Data will be made available on request.

Acknowledgments

We would like to thank Grupo Puentes S.A. for the support of this study.

Conflicts of Interest

The authors declare that they have no known competing financial interest or personal relationships that could have appeared to influence the work reported in this paper.

References

  1. Koehler, E.P. Use of Rheology to Specify, Design and Manage Self-Consolidating Concrete. In Proceedings of the 9th ACI International Conference on Superplasticizers & 10th International Conference on Recent Advances in Concrete Technology and Sustainability Issues, Seville, Spain, 12–16 October 2009. [Google Scholar]
  2. Koehler, E.P.; Fowler, D.W.; Ferraris, C.F.; Amziane, S. A New, Portable Rheometer for Fresh Self-Consolidating Concrete. In Proceedings of the American Concrete Institute; ACI Special Publication: New Orleans, LO, USA, 2006; Volume SP-233, pp. 97–115. [Google Scholar]
  3. Banfill, P.F.G. Rheology of Fresh Cement and Concrete; Routledge: Edinburgh, UK, 1991. [Google Scholar]
  4. Malhotra, V.M. The Rheology of Fresh Concrete. Can. J. Civ. Eng. 1984, 11, 135. [Google Scholar] [CrossRef]
  5. Tattersall, G.H. Progress in Measurement of Workability by the Two-Point Test. In Proceedings of the International RILEM Colloquium: Properties of Fresh Concrete; CRC Press: Boca Raton, FL, USA, 1990; p. 203. [Google Scholar]
  6. Banfill, P.F.G. Additivity Effects in the Rheology of Fresh Concrete Containing Water-Reducing Admixtures. Constr. Build. Mater. 2011, 25, 2955–2960. [Google Scholar] [CrossRef]
  7. Wallevik, O.H.; Gjørv, O.E. Rheology of Fresh Concrete. In Advances in Cement Manufacture and Use; Engineering Foundation: London, UK, 1988; pp. 133–134. ISBN 093920438X. [Google Scholar]
  8. De Larrard, F.; Hu, C.; Sedran, T.; Szitkar, J.C.; Joly, M.; Claux, F.; Derkx, F. A New Rheometer for Soft-to-Fluid Fresh Concrete. ACI Mater. J. 1999, 96, 126–131. [Google Scholar]
  9. Beaupre, D. Rheology of High Performance Shotcrete. Therapiewoche 1981, 31, 6303–6309. [Google Scholar]
  10. Koehler, E.P.; Fowler, D.W. Development of a Portable Rheometer for Fresh Portland Cement Concrete; Research Report ICAR 105-3F; The University of Texas at Austin: Austin, TX, USA, 2004. [Google Scholar]
  11. Brower, L.E.; Ferraris, C.F. Comparison of Concrete Rheometers. In Proceedings of the American Concrete Institute; ACI Special Publication: New Orleans, LO, USA, 2006; Volume SP-233, pp. 117–135. [Google Scholar]
  12. Estellé, P.; Lanos, C.; Perrot, A.; Amziane, S. Processing the Vane Shear Flow Data from Couette Analogy. Appl. Rheol. 2008, 18, 34037-1. [Google Scholar] [CrossRef][Green Version]
  13. Haist, M.; Link, J.; Nicia, D.; Leinitz, S.; Baumert, C.; von Bronk, T.; Cotardo, D.; Eslami Pirharati, M.; Fataei, S.; Garrecht, H.; et al. Interlaboratory Study on Rheological Properties of Cement Pastes and Reference Substances: Comparability of Measurements Performed with Different Rheometers and Measurement Geometries. Mater. Struct. Constr. 2020, 53, 92. [Google Scholar] [CrossRef]
  14. EFNARC. The European Guidelines for Self-Compacting Concrete: Specification, Production and Use; EFNARC: Flums Hochwiese, Switzerland, 2005. [Google Scholar]
  15. González-Fonteboa, B.; González-Taboada, I.; Carro-López, D.; Martínez-Abella, F. Influence of the Mixing Procedure on the Fresh State Behaviour of Recycled Mortars. Constr. Build. Mater. 2021, 299, 124266. [Google Scholar] [CrossRef]
  16. Souza, M.T.; Ferreira, I.M.; Guzi de Moraes, E.; Senff, L.; Novaes de Oliveira, A.P. 3D Printed Concrete for Large-Scale Buildings: An Overview of Rheology, Printing Parameters, Chemical Admixtures, Reinforcements, and Economic and Environmental Prospects. J. Build. Eng. 2020, 32, 101833. [Google Scholar] [CrossRef]
  17. Carro-López, D.; González-Fonteboa, B.; De Brito, J.; Martínez-Abella, F.; González-Taboada, I.; Silva, P. Study of the Rheology of Self-Compacting Concrete with Fine Recycled Concrete Aggregates. Constr. Build. Mater. 2015, 96, 491–501. [Google Scholar] [CrossRef]
  18. Yao, H.; Xie, Z.; Li, Z.; Huang, C.; Yuan, Q.; Zheng, X. The Relationship between the Rheological Behavior and Interlayer Bonding Properties of 3D Printing Cementitious Materials with the Addition of Attapulgite. Constr. Build. Mater. 2022, 316, 125809. [Google Scholar] [CrossRef]
  19. Luo, D.; Lu, T.; Chen, Y.F. Application of Ultra-Highperformance Concrete in Prefabricated Buildings. Mater. Test. 2021, 63, 1174–1183. [Google Scholar] [CrossRef]
  20. Liu, Y.; Ji, H.; Zhang, J.; Wang, W.; Chen, Y.F. Mechanical Properties of Thermal Insulation Concrete with Recycled Coarse Aggregates after Elevated Temperature Exposure. Mater. Test. 2016, 58, 669–677. [Google Scholar] [CrossRef]
  21. Hackley, V.A.; Ferraris, C.F. Guide to Rheological Nomenclature; NIST Special Publication; National Institute of Standards and Technology: Gaithersburg, MD, USA, 2001; Volume 31.
  22. Wallevik, J.E. Rheological Properties of Cement Paste: Thixotropic Behavior and Structural Breakdown. Cem. Concr. Res. 2009, 39, 14–29. [Google Scholar] [CrossRef]
  23. Vance, K.; Sant, G.; Neithalath, N. The Rheology of Cementitious Suspensions: A Closer Look at Experimental Parameters and Property Determination Using Common Rheological Models. Cem. Concr. Compos. 2015, 59, 38–48. [Google Scholar] [CrossRef]
  24. Feys, D.; Wallevik, J.E.; Yahia, A.; Khayat, K.H.; Wallevik, O.H. Extension of the Reiner-Riwlin Equation to Determine Modified Bingham Parameters Measured in Coaxial Cylinders Rheometers. Mater. Struct. Constr. 2013, 46, 289–311. [Google Scholar] [CrossRef]
  25. González-Taboada, I.; González-Fonteboa, B.; Martínez-Abella, F.; Carro-López, D. Self-Compacting Recycled Concrete: Relationships between Empirical and Rheological Parameters and Proposal of a Workability Box. Constr. Build. Mater. 2017, 143, 537–546. [Google Scholar] [CrossRef]
  26. UNE-EN 12350-2; Ensayos de Hormigón Fresco. Parte 2: Ensayo de Asentamiento. Asociación Española de Normalización y Certificación: Madrid, Spain, 2020.
  27. UNE-EN 12390-3; Ensayos de Hormigón Endurecido. Parte 3: Determinación de La Resistencia a Compresión de Probetas. Asociación Española de Normalización y Certificación: Madrid, Spain, 2020.
  28. De Larrard, F.; Ferraris, C.F.; Sedran, T. Fresh Concrete: A Herschel-Bulkley Material. Mater. Struct. Constr. 1996, 31, 494–498. [Google Scholar] [CrossRef]
  29. Ferraris, C.F.; De Larrard, F. Modified Slump Test to Measure Rheological Parameters of Fresh Concrete. Cem. Concr. Aggreg. 1998, 20, 241–247. [Google Scholar] [CrossRef]
  30. González-Taboada, I.; González-Fonteboa, B.; Eiras-López, J.; Rojo-López, G. Tools for the Study of Self-Compacting Recycled Concrete Fresh Behaviour: Workability and Rheology. J. Clean. Prod. 2017, 156, 1–18. [Google Scholar] [CrossRef]
  31. Wallevik, O.H.; Feys, D.; Wallevik, J.E.; Khayat, K.H. Avoiding Inaccurate Interpretations of Rheological Measurements for Cement-Based Materials. Cem. Concr. Res. 2015, 78, 100–109. [Google Scholar] [CrossRef]
  32. Wallevik, O.H.; Wallevik, J.E. Rheology as a Tool in Concrete Science: The Use of Rheographs and Workability Boxes. Cem. Concr. Res. 2011, 41, 1279–1288. [Google Scholar] [CrossRef]
  33. Mewis, J.; Wagner, N.J. Thixotropy. Adv. Colloid Interface Sci. 2009, 147–148, 214–227. [Google Scholar] [CrossRef] [PubMed]
Figure 1. Polygonal Impeller A.
Figure 1. Polygonal Impeller A.
Applsci 13 11738 g001
Figure 2. Polygonal Impeller B.
Figure 2. Polygonal Impeller B.
Applsci 13 11738 g002
Figure 3. Complete device I.
Figure 3. Complete device I.
Applsci 13 11738 g003
Figure 4. Complete device II.
Figure 4. Complete device II.
Applsci 13 11738 g004
Figure 5. Parameters of the FCT.
Figure 5. Parameters of the FCT.
Applsci 13 11738 g005
Figure 6. Bingham model.
Figure 6. Bingham model.
Applsci 13 11738 g006
Figure 7. Nomenclature of the rheological tests.
Figure 7. Nomenclature of the rheological tests.
Applsci 13 11738 g007
Figure 8. Time–torque evolution.
Figure 8. Time–torque evolution.
Applsci 13 11738 g008
Figure 9. Flow curves at 15 min.
Figure 9. Flow curves at 15 min.
Applsci 13 11738 g009
Figure 10. Torque reduction.
Figure 10. Torque reduction.
Applsci 13 11738 g010
Figure 11. Torque at the end of the pre-shear period.
Figure 11. Torque at the end of the pre-shear period.
Applsci 13 11738 g011
Figure 12. (Left): visual observation of FCT-30 × 90-A-30. (Right): visual observation of FCT-10 × 90-A-30.
Figure 12. (Left): visual observation of FCT-30 × 90-A-30. (Right): visual observation of FCT-10 × 90-A-30.
Applsci 13 11738 g012
Figure 13. Flow curves of the mixes.
Figure 13. Flow curves of the mixes.
Applsci 13 11738 g013aApplsci 13 11738 g013b
Figure 14. Relative yield stress and relative plastic viscosity.
Figure 14. Relative yield stress and relative plastic viscosity.
Applsci 13 11738 g014
Figure 15. Validation flow curves in relative units.
Figure 15. Validation flow curves in relative units.
Applsci 13 11738 g015
Figure 16. Yield value and viscosity value.
Figure 16. Yield value and viscosity value.
Applsci 13 11738 g016
Figure 17. Relationship between the viscosity and yield values.
Figure 17. Relationship between the viscosity and yield values.
Applsci 13 11738 g017
Figure 18. Adjustment flow chart.
Figure 18. Adjustment flow chart.
Applsci 13 11738 g018
Table 1. Basic properties of aggregates.
Table 1. Basic properties of aggregates.
PropertyFine AggregateCoarse Aggregate
Fineness modulus4.197.16
Fines percentage (%)11.410.63
Density (t/m3)2.672.61
Water absorption (%)1.150.78
Flakiness index (%)-9.91
Los Angeles coefficient (%)-37
Sand equivalent (%)74-
ShapeCrushedCrushed
Table 2. Concrete mix (1 m3).
Table 2. Concrete mix (1 m3).
PropertyQuantity
Cement (kg)450.00
Water (kg)180.00
Fine aggregate (kg)1012.70
Coarse aggregate (kg)826.27
Superplasticiser/cement (%)1.55
Table 3. Compressive strength and slump test results.
Table 3. Compressive strength and slump test results.
Compressive Strength (MPa)Slump Test (cm)
28 Days10 min15 min20 min30 min
Mean77.2719.5719.0019.0418.79
Std.dev6.211.291.021.642.17
Table 4. Rheological parameters in relative units.
Table 4. Rheological parameters in relative units.
Test Time (min)10152030
Developed (A)Yield value (Nm)0.790.660.400.38
Viscosity value (Nm min)0.330.360.400.44
Contrast (C)Yield value (Nm)0.380.310.150.13
Viscosity value (Nm min)0.260.270.280.30
Disclaimer/Publisher’s Note: The statements, opinions and data contained in all publications are solely those of the individual author(s) and contributor(s) and not of MDPI and/or the editor(s). MDPI and/or the editor(s) disclaim responsibility for any injury to people or property resulting from any ideas, methods, instructions or products referred to in the content.

Share and Cite

MDPI and ACS Style

Rojo-López, G.; González-Fonteboa, B.; Carro-López, D.; Martínez-Abella, F. Automated Control of the Fresh State of Industrial Concrete Behaviour by Rheometer Test Adjustment. Appl. Sci. 2023, 13, 11738. https://doi.org/10.3390/app132111738

AMA Style

Rojo-López G, González-Fonteboa B, Carro-López D, Martínez-Abella F. Automated Control of the Fresh State of Industrial Concrete Behaviour by Rheometer Test Adjustment. Applied Sciences. 2023; 13(21):11738. https://doi.org/10.3390/app132111738

Chicago/Turabian Style

Rojo-López, Gemma, Belén González-Fonteboa, Diego Carro-López, and Fernando Martínez-Abella. 2023. "Automated Control of the Fresh State of Industrial Concrete Behaviour by Rheometer Test Adjustment" Applied Sciences 13, no. 21: 11738. https://doi.org/10.3390/app132111738

APA Style

Rojo-López, G., González-Fonteboa, B., Carro-López, D., & Martínez-Abella, F. (2023). Automated Control of the Fresh State of Industrial Concrete Behaviour by Rheometer Test Adjustment. Applied Sciences, 13(21), 11738. https://doi.org/10.3390/app132111738

Note that from the first issue of 2016, this journal uses article numbers instead of page numbers. See further details here.

Article Metrics

Back to TopTop