The Influence of Co-Firing Coal with Biomass Syngas on the Thermodynamic Parameters of a Boiler
Abstract
:1. Introduction
2. Thermal Calculation
2.1. Mass Conservation
2.2. Heat Conservation
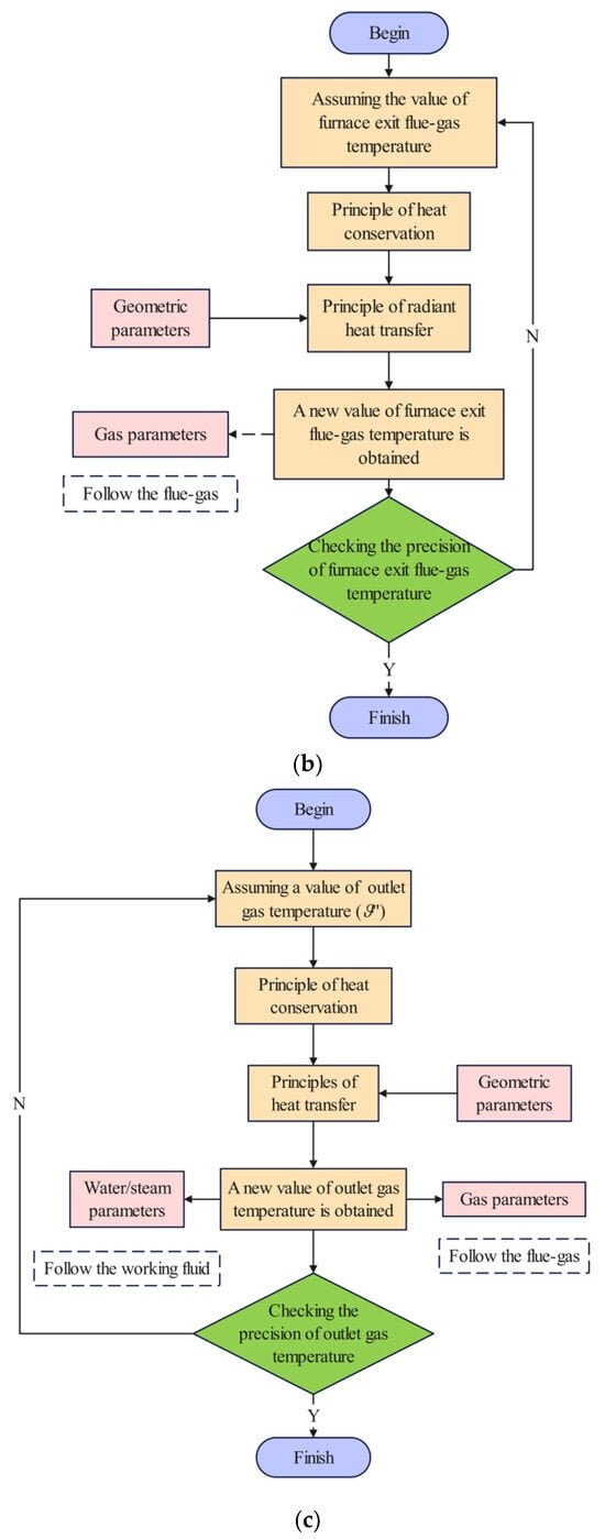
2.3. Heat Transfer Calculations in the Furnace
2.4. Heat Transfer Calculations of the Convective Heating Surfaces
2.5. Acidic Dew Point
2.6. CO2 Annual Emission Reduction
3. Case Study
- (1)
- The excess air coefficient remains unchanged at the exits of the furnace and convective heating surfaces;
- (2)
- The temperatures of the cold air and hot air, and the proportions of primary and secondary air remain unchanged;
- (3)
- No variations happen in the fuel characteristics, boiler structure, and boiler capacity.
4. Results and Discussion
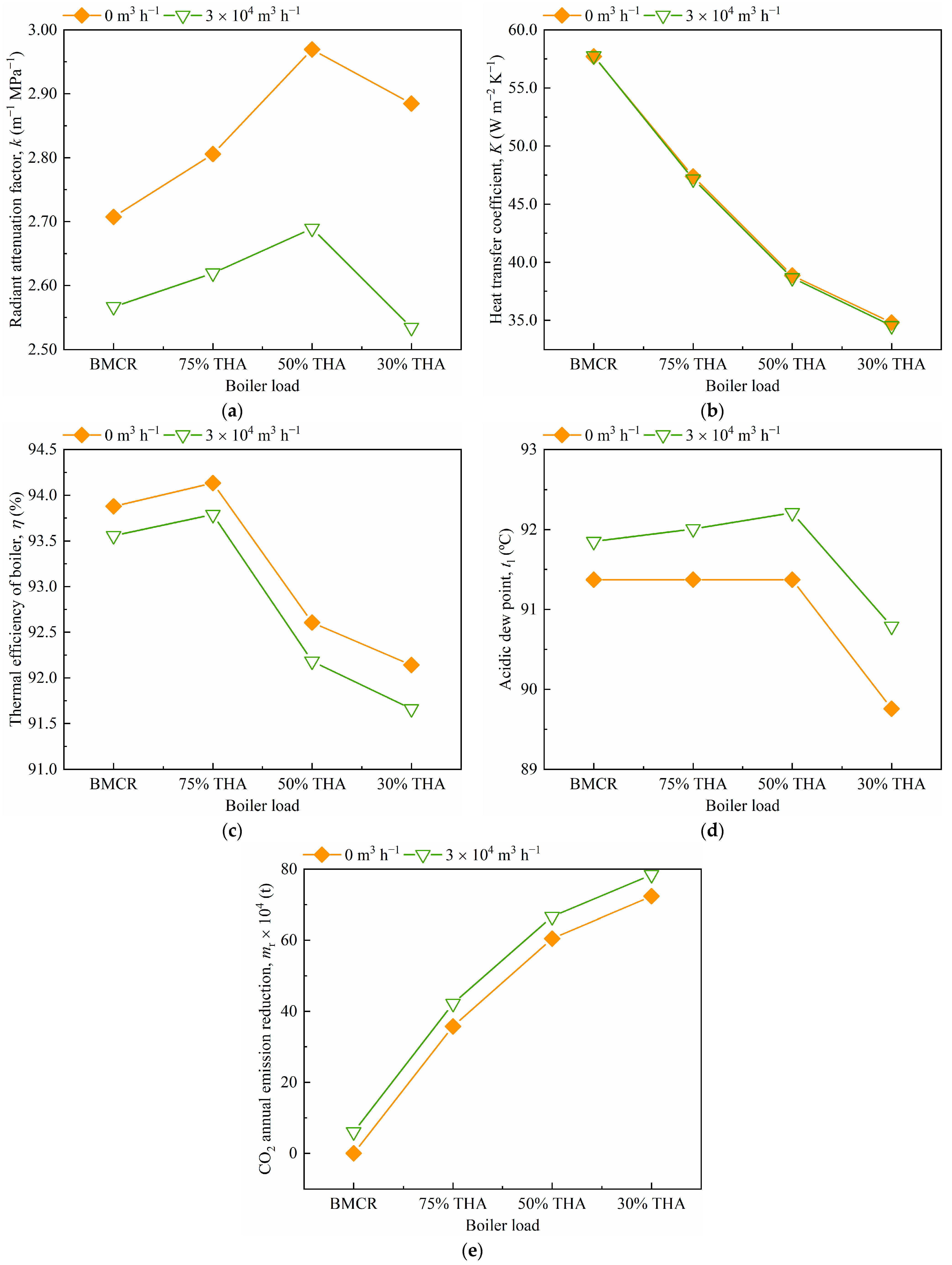
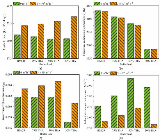
4.1. Effect of Co-Firing on Radiant Heat Transfer
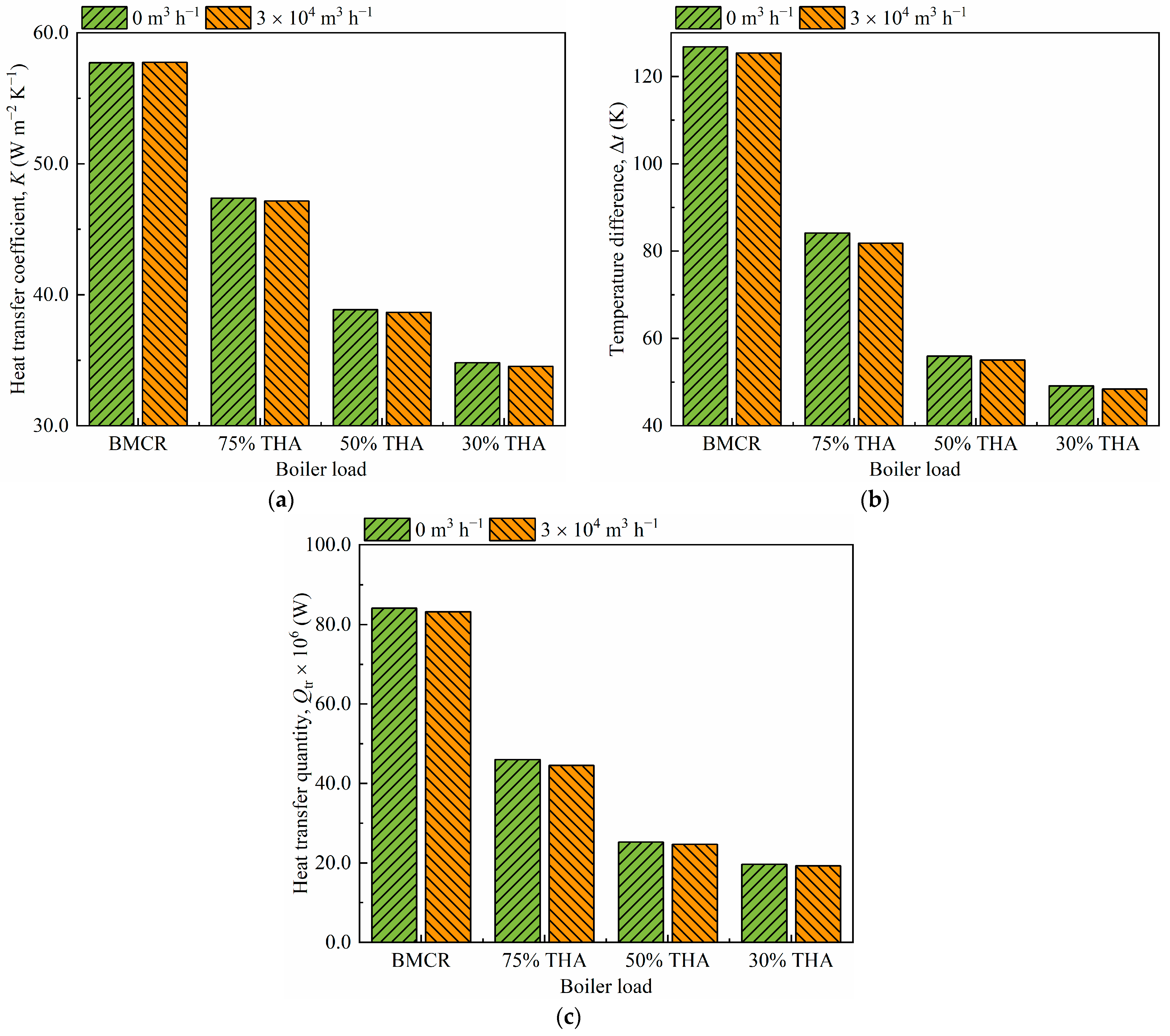
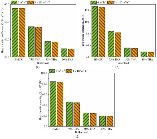
4.2. Effect of Co-Firing on Heat Transfer of the Convective Heating Surfaces
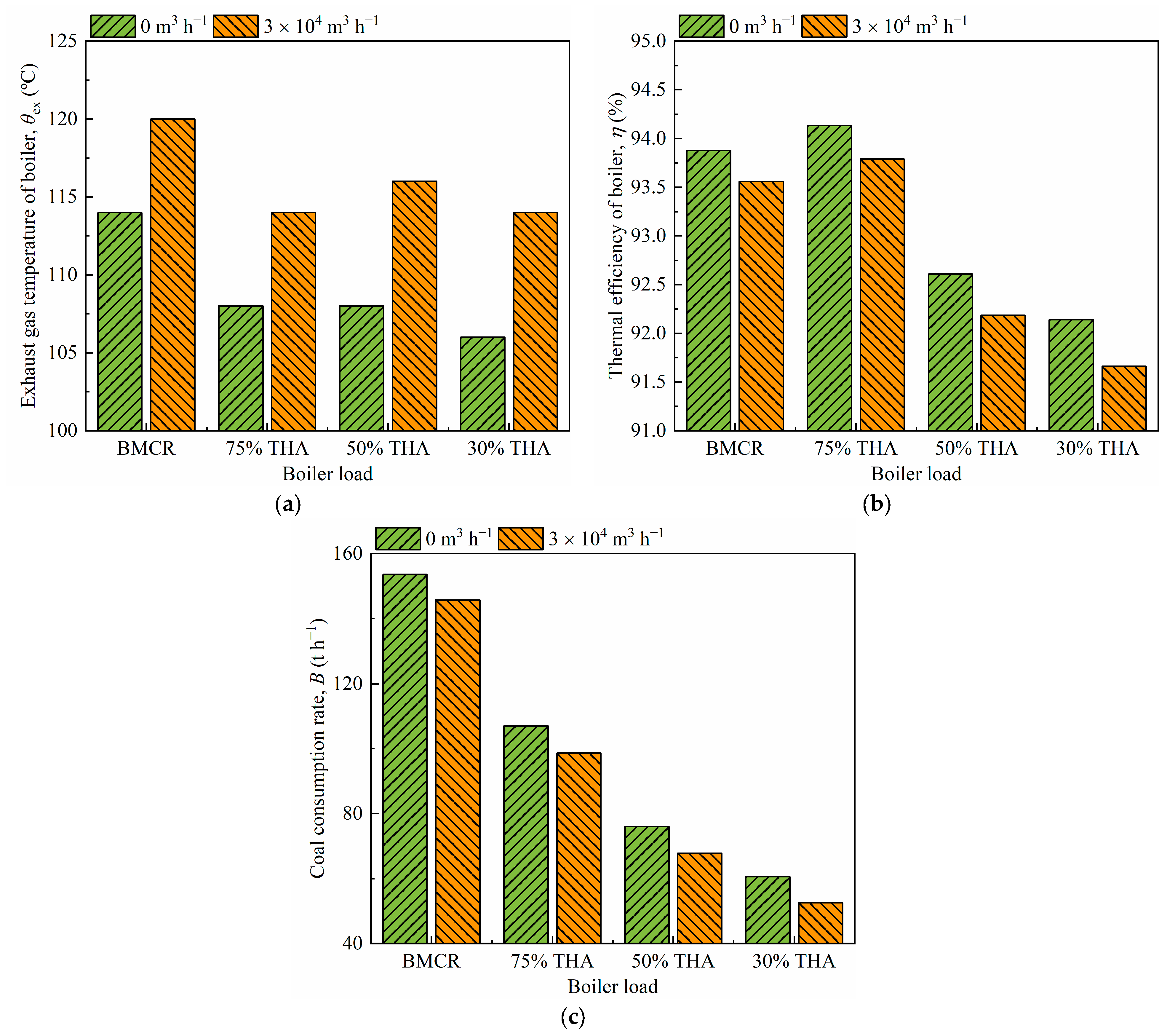
4.3. Effect of Co-Firing on Thermal Efficiency
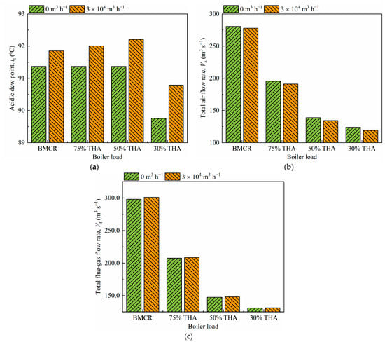
4.4. Effect of Co-Firing on Operational Safety
4.5. Effect of Co-Firing on CO2 Emissions
4.6. Effect of Co-Firing on the Boiler during Peak Regulation
5. Conclusions
- (1)
- The introduction of biomass syngas weakens the average temperature in the furnace and the radiative characteristics of flame, which leads to a reduction of furnace exit flue-gas temperature. The alterations of these thermodynamic parameters are monotonically related to the biomass syngas consumption rate;
- (2)
- The heat absorption of flue gas would be enhanced after the introduction of biomass syngas. Coupling palm syngas and wood syngas with coal would increase the heat transfer on the convective heating surfaces, while that for the straw syngas would be weakened. Thus, a combination of these two parameters leads to an increment in the exhaust gas temperature of the boiler and a decrement in the thermal efficiency of the boiler;
- (3)
- The variations of acidic dew point, total air, and flue-gas flow rates are not monotonous with increasing biomass syngas consumption rates. The variations are within ±1 °C, ±4.0%, and ±7.6%, respectively. The difference between the acidic dew point and exhaust gas temperature ascends after the introduction of biomass syngas. Therefore, the retrofitting of the boiler is not necessary and the corrosion of a low-temperature heating surface would not appear. The coal consumption rate descends dramatically after coupling;
- (4)
- The CO2 annual emission reduction increases dramatically with increasing biomass syngas consumption rates under BMCR, which equals 0.001 to 0.095 million tons for palm syngas, 0.005 to 0.069 million tons for straw syngas, and 0.013 to 0.107 million tons for wood syngas. Although the variations are not monotonous, the introduction of wood syngas enlarges the difference of these thermodynamic parameters between two different consumption rates of wood syngas as the boiler load decreases.
Author Contributions
Funding
Institutional Review Board Statement
Informed Consent Statement
Data Availability Statement
Conflicts of Interest
Nomenclature
| content of ash on the as-received basis (%) | |
| converted content of ash (%) | |
| coal consumption rate (kg s−1) | |
| calculation coal consumption rate (kg s−1) | |
| Boltzmann number | |
| effective value of Bouguer number | |
| content of carbon on the as-received basis (%) | |
| the ratio of water vapor mass to air mass | |
| content of fixed carbon on the as-received basis (%) | |
| area of convective heating surfaces (m2) | |
| content of hydrogen on the as-received basis (%) | |
| sensible heat of mixed fuels (kJ kg−1) | |
| sensible heat of coal (kJ kg−1) | |
| sensible heat of biomass syngas (kJ kg−1) | |
| enthalpy of cold air (kJ kg−1) | |
| enthalpy of exhaust gas (kJ kg−1) | |
| enthalpy of flue gas at the furnace exit (kJ kg−1) | |
| radiant attenuation factor of flue gas (m−1 MPa−1) | |
| radiant attenuation factor of soot (m−1 MPa−1) | |
| radiant attenuation factor of fly ash (m−1 MPa−1) | |
| radiant attenuation factor of char (m−1 MPa−1) | |
| radiant attenuation factor of triatomic gases (m−1 MPa−1) | |
| heat transfer coefficient of convective heating surfaces (W m−2 K−1) | |
| a dimensionless coefficient correlated to the proportion of luminous area in the flame | |
| CO2 annual emission reduction (t) | |
| CO2 annual emission (t) | |
| CO2 annual emission under BMCR (t) | |
| a dimensionless coefficient related to fuel characteristics, combustion mode, and temperature distribution | |
| content of moisture on the as-received basis (%) | |
| CO2 emission intensity of power generation (g kW−1 h−1) | |
| content of nitrogen on the as-received basis (%) | |
| content of oxygen on the as-received basis (%) | |
| power generation (MW) | |
| heat loss owing to the exhaust gas (%) | |
| heat loss owing to incomplete combustion of gaseous fuels (%) | |
| heat loss owing to incomplete combustion of solid fuels (%) | |
| heat loss owing to radiation and convection (%) | |
| heat loss owing to ash residue (%) | |
| available heat of fuel (kJ kg−1) | |
| heat transfer quantity of convective heating surfaces (W) | |
| heat absorption of flue gas (kJ kg−1) | |
| sensible heat of combustion air (kJ kg−1) | |
| lower heating value of mixed fuels (kJ kg−1) | |
| lower heating value of coal (kJ kg−1) | |
| lower heating value of biomass syngas (kJ m−3) | |
| heat entrained into the boiler envelope (kJ kg−1) | |
| total available heat of working fluid (kW) | |
| water vapor volume fraction | |
| content of sulfur on the as-received basis (%) | |
| converted content of sulfur (%) | |
| acidic dew point (°C) | |
| water dew point (°C) | |
| furnace exit flue-gas temperature (K) | |
| theoretical combustion temperature (K) | |
| theoretical air volume (m3 kg−1) | |
| total air flow rate of air heater inlet (m3 s−1) | |
| total flue-gas flow rate of air heater outlet (m3 s−1) | |
| theoretical water vapor volume (m3 kg−1) | |
| total water vapor volume (m3 kg−1) | |
| total flue-gas volume (m3 kg−1) | |
| theoretical flue-gas volume (m3 kg−1) | |
| content of volatile matter on a dry ash-free basis (%) | |
| generation capacity of the boiler (kW h) | |
| volume of biomass syngas to 1 kg of coal under standard conditions (m3 kg−1) | |
| temperature difference of heat transfer (K) | |
| the larger one of initial and final temperature differences between hot and cold fluid (K) | |
| the smaller one of initial and final temperature differences between hot and cold fluid (K) | |
| excess air coefficient of furnace exit | |
| a dimensionless coefficient related to fly ash | |
| excess air coefficient of the air heater outlet | |
| convective heat transfer coefficient of flue gas (W m−2 K−1) | |
| convective heat transfer coefficient of working fluid (W m−2 K−1) | |
| radiant heat transfer coefficient of flue gas (W m−2 K−1) | |
| utilization factor considering imperfect sweeping by flue gas | |
| fouling factor (m2 K W−1) | |
| a dimensionless coefficient that depends on the excess air coefficient at the furnace exit | |
| excess air coefficient of the air heater inlet | |
| thermal efficiency of the boiler (%) | |
| combustion efficiency | |
| heat retention factor | |
| exhaust gas temperature (°C) | |
| air density (kg m−3) | |
| outlet gas temperature (°C) | |
| temperature correction factor | |
| BMCR | boiler maximum continuous rating |
| THA | turbine heat acceptance |
| LHV | lower heating value |
References
- Ziegler, C.; Morelli, V.; Fawibe, O. Climate Change and Underserved Communities. Physician Assist. Clin. 2019, 4, 203–216. [Google Scholar] [CrossRef]
- Wang, Y.; Deng, L.; Chang, G.; Liu, H.; Lyu, K.; Nie, X.; Zhang, G. Influence of biomass gas parameters on coupled coal-fired biomass generation. Therm. Power Gener. 2021, 50, 34–40. (In Chinese) [Google Scholar] [CrossRef]
- Long, J.; Deng, L.; Che, D. Analysis on organic compounds in water leachate from biomass. Renew. Energy 2020, 155, 1070–1078. [Google Scholar] [CrossRef]
- Olivieri, A.; Ravelli, S. Cogasification of Coal and Biomass in an Integrated Gasification Combined Cycle Power Plant: Effects on Thermodynamic Performance and Gas Composition. J. Energy Eng. 2020, 146, 04020071. [Google Scholar] [CrossRef]
- Roni, M.S.; Chowdhury, S.; Marufuzzaman, M.; Mamun, S.; Lein, W.; Johnson, S. Biomass co-firing technology with policies, challenges, and opportunities: A global review. Renew. Sustain. Energy Rev. 2017, 78, 1089–1101. [Google Scholar] [CrossRef]
- Neville, A. Biomass Cofiring: A Promising New Generation Option. Power 2011, 155, 52–56. [Google Scholar]
- Kalisz, S.; Pronobis, M.; Baxter, D. Co-firing of biomass waste-derived syngas in coal power boiler. Energy 2008, 33, 1770–1778. [Google Scholar] [CrossRef]
- Deng, L.; Ma, S.; Jiang, J.; Tie, Y.; Zhang, Y.; Zhu, Z.; Belošević, S.; Tomanović, I.; Che, D. Numerical Investigation on Cofiring Characteristics of Biomass Syngas and Coal in a 660-MW Tower Boiler. J. Energy Eng. 2022, 148, 04022014. [Google Scholar] [CrossRef]
- Robinson, A.L.; Junker, H.; Baxter, L.L. Pilot-Scale Investigation of the Influence of Coal−Biomass Cofiring on Ash Deposition. Energy Fuels 2002, 16, 343–355. [Google Scholar] [CrossRef]
- Badour, C.; Gilbert, A.; Xu, C. Combustion and air emissions from co-firing a wood biomass, a Canadian peat and a Canadian lignite coal in a bubbling fluidised bed combustor. Can. J. Chem. Eng. 2012, 90, 1170–1177. [Google Scholar] [CrossRef]
- Yao, X.; Zhou, H.; Xu, K.; Chen, S.; Ge, J.; Xu, Q. Systematic study on ash transformation behaviour and thermal kinetic characteristics during co-firing of biomass with high ratios of bituminous coal. Renew. Energy 2020, 147, 1453–1468. [Google Scholar] [CrossRef]
- Harding, N.S.; Adams, B.R. Biomass as a reburning fuel: A specialized cofiring application. Biomass Bioenergy 2000, 19, 429–445. [Google Scholar] [CrossRef]
- Sefidari, H.; Ma, C.; Fredriksson, C.; Lindblom, B.; Wiinikka, H.; Nordin, L.O.; Wu, G.; Yazhenskikh, E.; Müller, M.; Öhman, M. The effect of co-firing coal and woody biomass upon the slagging/deposition tendency in iron-ore pelletizing grate-kiln plants. Fuel Process. Technol. 2020, 199, 106254. [Google Scholar] [CrossRef]
- Ma, W.; Zhou, H.; Zhang, J.; Zhang, K.; Liu, D.; Zhou, C.; Cen, K. Behavior of Slagging Deposits during Coal and Biomass Co-combustion in a 300 kW Down-Fired Furnace. Energy Fuels 2018, 32, 4399–4409. [Google Scholar] [CrossRef]
- Luo, Z.; Xu, D.; Ma, Y.; Cheng, Q. Experimental Study on Co-Firing of Coal and Brewery Wastewater Sludge. Appl. Sci. 2020, 10, 7589. [Google Scholar] [CrossRef]
- Unchaisri, T.; Fukuda, S.; Phongphiphat, A.; Saetia, S.; Sajjakulnukit, B. Experimental Study on Combustion Characteristics in a CFB during Co-firing of Coal with Biomass Pellets in Thailand. Int. Energy J. 2019, 19, 101–114. [Google Scholar]
- Hou, S.; Huang, W.; Lin, T. Co-combustion of Fast Pyrolysis Bio-oil Derived from Coffee Bean Residue and Diesel in an Oil-fired Furnace. Appl. Sci. 2017, 7, 1085. [Google Scholar] [CrossRef]
- Chen, C.; Wu, X.; Zhao, L. Simulation of Coal and Biomass Cofiring with Different Particle Density and Diameter in Bubbling Fluidized Bed under O2/CO2 Atmospheres. J. Combust. 2018, 2018, 6931483. [Google Scholar] [CrossRef]
- Szufa, S.; Piersa, P.; Junga, R.; Błaszczuk, A.; Modliński, N.; Sobek, S.; Marczak-Grzesik, M.; Adrian, Ł.; Dzikuć, M. Numerical modeling of the co-firing process of an in situ steam-torrefied biomass with coal in a 230 MW industrial-scale boiler. Energy 2023, 263, 125918. [Google Scholar] [CrossRef]
- Liu, Q.; Zhong, W.; Yu, A.; Wang, C.-H. Modelling the co-firing of coal and biomass in a 10 kWth oxy-fuel fluidized bed. Powder Technol. 2022, 395, 43–59. [Google Scholar] [CrossRef]
- Zhou, M.; Wang, S.; Luo, K.; Fan, J. Three-dimensional modeling study of the oxy-fuel co-firing of coal and biomass in a bubbling fluidized bed. Energy 2022, 247, 123496. [Google Scholar] [CrossRef]
- Dong, L.; Alexiadis, A. Simulation of char burnout characteristics of biomass/coal blend with a simplified single particle reaction model. Energy 2023, 264, 126075. [Google Scholar] [CrossRef]
- Deng, L.; Wang, Y.; Wu, S.; Che, D. Utilization of combustible waste gas as a supplementary fuel in coal-fired boilers. Int. J. Energy Res. 2018, 42, 1677–1692. [Google Scholar] [CrossRef]
- Yao, Q.; Li, R.; Wang, Y.; Li, Y.; Zhang, L.; Deng, L.; Che, D. Feasibility Analysis of Coupling Hydrogen-Derived Fuel on a Coal-Fired Boiler for Power Generation. Energy Fuels 2023, 37, 477–491. [Google Scholar] [CrossRef]
- Blokh, A.G.; Zhuravlev, Y.A.; Gorb, E.I.; Talibdzhanov, Z.S. Heat transfer in furnaces of high-power boilers. Heat Transf. Res. 1993, 25, 418–424. [Google Scholar]
- Antonovskii, V.I. Heat Transfer in Steam Boiler Furnaces. A Retrospective View on the Development of a Standard Calculation Method. Therm. Eng. 2004, 51, 738–749. [Google Scholar]
- Alekhnovich, A.N. Thermal efficiency coefficient of furnace shields as applied to standard method for thermal calculation of boilers. Teploenergetika 2009, 9, 23–29. [Google Scholar]
- Che, D. Boilers: Theory, Design and Operation; Xi’an Jiaotong University Press: Xi’an, China, 2008. [Google Scholar]
- Kuznetsov, N.; Mitor, V.; Karasina, E. Thermal Calculation of Boiler Units (Standard Method); Energiya Press: Moscow, Russia, 1973. [Google Scholar]
- Hsi, C.-L.; Kuo, J.-T. Estimation of fuel burning rate and heating value with highly variable properties for optimum combustion control. Biomass Bioenergy 2008, 32, 1255–1262. [Google Scholar] [CrossRef]
- Song, Q. Numerical Simulation and Combustion Analysis of Biomass Gas and Coal Co-firing Process. J. Henan Sci. Technol. 2016, 15, 25–28. (In Chinese) [Google Scholar]
- Atnaw, S.M.; Sulaiman, S.A.; Yusup, S. Syngas production from downdraft gasification of oil palm fronds. Energy 2013, 61, 491–501. [Google Scholar] [CrossRef]
















| Value | ||||
|---|---|---|---|---|
| BMCR | 75% THA | 50% THA | 30% THA | |
| Power generation (MW) | 330 | 225 | 150 | 113 |
| Main steam output (t h−1) | 1025 | 662 | 441 | 335 |
| Main steam pressure (MPa) | 17.47 | 14.45 | 9.79 | 6.23 |
| Outlet temperature of superheated steam (°C) | 540 | 540 | 540 | 540 |
| Reheated steam output (t h−1) | 880.0 | 582.4 | 395.6 | 313.7 |
| Outlet temperature of reheated steam (°C) | 540 | 540 | 540 | 535 |
| Outlet pressure of reheated steam (MPa) | 3.68 | 2.44 | 1.63 | 1.25 |
| Desuperheating water output (t h−1) | 0 | 0 | 0 | 0 |
| Desuperheating water temperature (°C) | 193 | 176 | 160 | 140 |
| Excess air coefficient of furnace exit | 1.25 | 1.25 | 1.25 | 1.35 |
| Exhaust gas temperature (°C) | 114 | 108 | 108 | 106 |
| Thermal efficiency (%) | 93.88 | 94.13 | 92.61 | 92.14 |
| Fuel | Ultimate Analysis, wt.% | Proximate Analysis, wt.% | LHV | |||||||
|---|---|---|---|---|---|---|---|---|---|---|
| Car | Har | Oar | Nar | Sar | Aar | Mar | FCar | Var | ||
| Coal | 47.49 | 3.25 | 4.97 | 0.80 | 0.98 | 36.21 | 6.30 | 36.95 | 20.54 | 18,460 kJ kg−1 |
| Reference | Volume fraction of components (%) | |||||||||
| H2 | CO | CO2 | N2 | CH4 | ||||||
| Wood Syngas | [30] (pp. 4196–4205) | 17.80 | 20.30 | 8.30 | 51.90 | 1.70 | 5300 kJ m−3 | |||
| Straw Syngas | [31] (pp. 0025–0028) | 5.60 | 17.89 | 10.86 | 55.60 | 10.05 | 3906 kJ m−3 | |||
| Palm Syngas | [32] (pp. 0491–0501) | 9.60 | 25.30 | 8.20 | 55.70 | 1.20 | 4800 kJ m−3 | |||
Disclaimer/Publisher’s Note: The statements, opinions and data contained in all publications are solely those of the individual author(s) and contributor(s) and not of MDPI and/or the editor(s). MDPI and/or the editor(s) disclaim responsibility for any injury to people or property resulting from any ideas, methods, instructions or products referred to in the content. |
© 2023 by the authors. Licensee MDPI, Basel, Switzerland. This article is an open access article distributed under the terms and conditions of the Creative Commons Attribution (CC BY) license (https://creativecommons.org/licenses/by/4.0/).
Share and Cite
Wang, J.; Yao, Q.; Jin, X.; Deng, L. The Influence of Co-Firing Coal with Biomass Syngas on the Thermodynamic Parameters of a Boiler. Appl. Sci. 2023, 13, 11477. https://doi.org/10.3390/app132011477
Wang J, Yao Q, Jin X, Deng L. The Influence of Co-Firing Coal with Biomass Syngas on the Thermodynamic Parameters of a Boiler. Applied Sciences. 2023; 13(20):11477. https://doi.org/10.3390/app132011477
Chicago/Turabian StyleWang, Jin, Qiaopeng Yao, Xiaoling Jin, and Lei Deng. 2023. "The Influence of Co-Firing Coal with Biomass Syngas on the Thermodynamic Parameters of a Boiler" Applied Sciences 13, no. 20: 11477. https://doi.org/10.3390/app132011477
APA StyleWang, J., Yao, Q., Jin, X., & Deng, L. (2023). The Influence of Co-Firing Coal with Biomass Syngas on the Thermodynamic Parameters of a Boiler. Applied Sciences, 13(20), 11477. https://doi.org/10.3390/app132011477

