The Influence of Chamfered and Rounded Corners on Vortex-Induced Vibration of Super-Tall Buildings
Abstract
1. Introduction
2. Aeroelastic Model Skeleton and Wind Tunnel Test
2.1. Design of MDOF Model Skeleton
2.2. Wind Tunnel Test
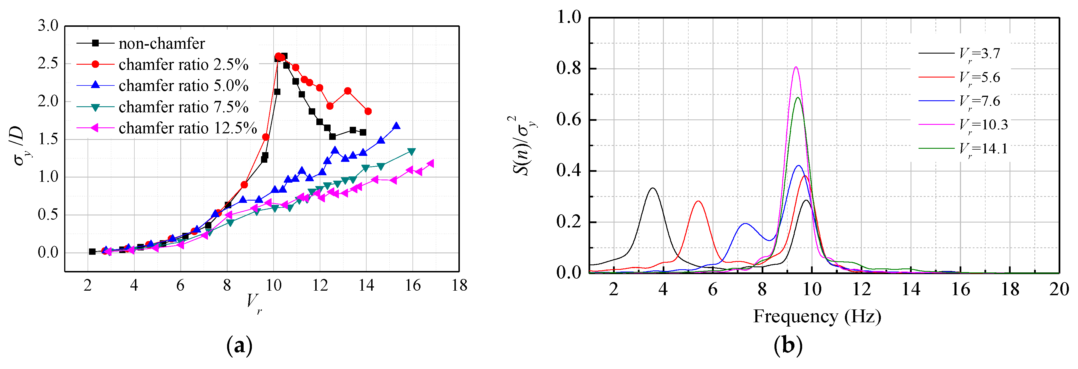
3. Reduction Effect of Chamfered Corner on VIV
Aeroelastic Model with Chamfered Corner
4. Wind-Induced Response of Aeroelastic Model with Chamfered Corner
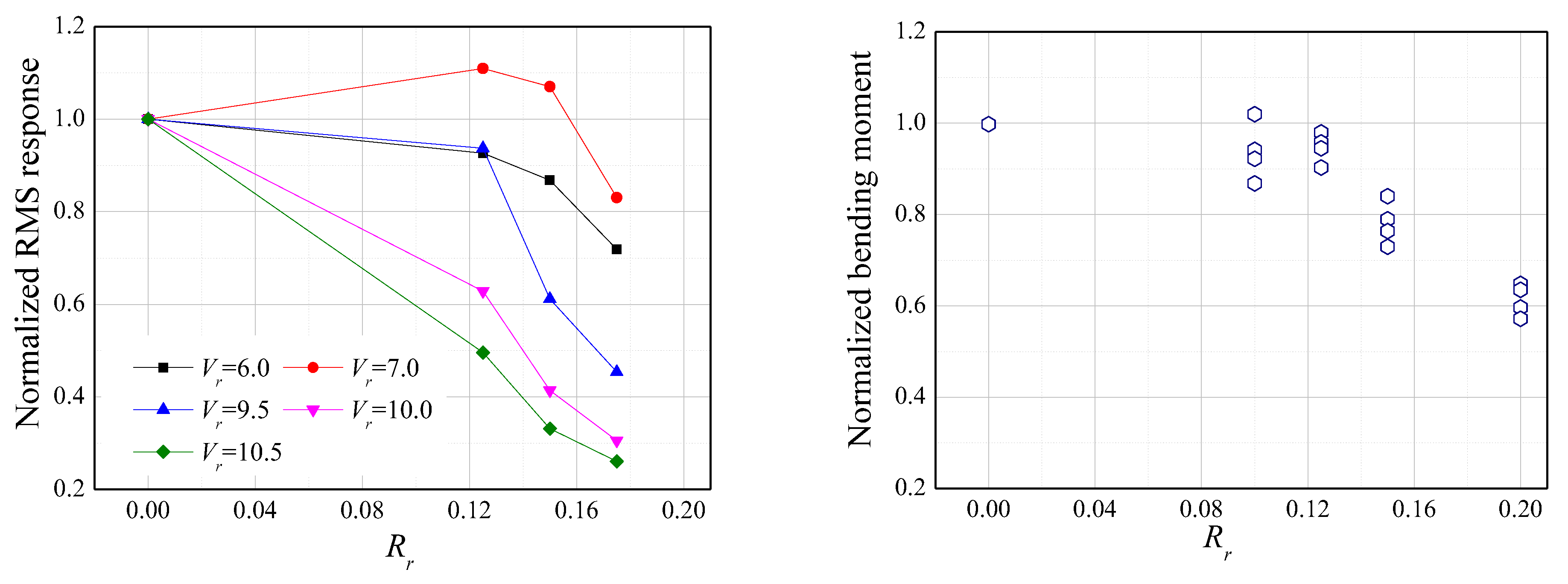
5. A Brief Analysis of the VIV Reduction Mechanism
- (a)
- When Vr is smaller than Vc (Vr = 7.0, Vr = 8.0, etc.), the normalized wind-induced response is consistent with the results of the normalized bending moment, and both of them gradually decrease with the increase in chamfer ratio. When the chamfer ratio reaches 7.5%, the normalized bending moment and wind-induced response reach the minimum, and the decrease is about 25% compared to the non-chamfer model;
- (b)
- When Vr is close to Vc (Vr = 10.0, Vr = 10.5, etc.), the normalized wind-induced response is very different from the normalized bending moment. With the increase of the chamfer ratio, the wind-induced response decreases significantly faster than that of the base bending moment. When the chamfer ratio is equal to 7.5%, the decrease of wind-induced response reaches 70%, which is much greater than that of base bending moment (25%);
- (c)
- The vibration reduction effect is not always positively correlated with the chamfer ratio. When the chamfer ratio is larger than 7.5% (Rc = 10%, Rc = 12.5%, etc.), the normalized wind load and response rebound to some extent.
- (a)
- When the chamfer ratio is 2.5%, the aerodynamic damping is consistent with that of the non-chamfer model, and there is a significant negative aerodynamic damping phenomenon when Vr is close to Vc.
- (b)
- When the chamfer ratio increases to 5%, the negative aerodynamic damping phenomenon disappears. Obviously, this result of the aerodynamic damping ratio is closely related to the wind-induced response.
6. Reduction Effect of Rounded Corners on VIV
Aeroelastic Model with Rounded Corners
7. Wind-Induced Response of Aeroelastic Model with Rounded Corners
8. A Brief Analysis of the VIV Reduction Mechanism
9. Conclusions
- (1)
- The chamfer corner can significantly reduce the crosswind response of super high-rise buildings. A chamfer ratio greater than 5% will significantly reduce the wind-induced response of a tall building with a square section, and when the chamfer ratio is increased to about 7.5%, the modification effect is the best with about a 60% reduction of VIV response. However, an excessive chamfer ratio cannot further increase the modification effect.
- (2)
- The rounded corners can also significantly reduce the crosswind response of super high-rise buildings. When the rounded ratio is not greater than 12.5%, the crosswind response at a small wind speed is not significantly reduced, but the response at the critical wind speed of VIV is effectively controlled. A rounded ratio of more than 15% is recommended to suppress the crosswind vibration of super high-rise buildings, which could reduce the VIV response by 70%.
- (3)
- When the reduced wind speed is small, the reduction of the crosswind response of chamfered and rounded models is mainly caused by the reduction of wind load, while when the reduced wind speed approaches the critical wind speed of VIV, the reduction of the VIV response of the chamfer model is mainly caused by the aeroelastic effects of different shapes.
Author Contributions
Funding
Institutional Review Board Statement
Informed Consent Statement
Conflicts of Interest
References
- Quan, Y.; Gu, M. Across-wind equivalent static wind loads and responses of super-high-rise buildings. Adv. Struct. Eng. 2012, 15, 2145–2155. [Google Scholar] [CrossRef]
- Wang, L.; Zhang, W.; Liu, L.S.; Zhang, Z.H. Wind force of super high-rise buildings with hexagonal section. Structures 2021, 33, 283–291. [Google Scholar] [CrossRef]
- Gu, M.; Cao, H.L.; Quan, Y. Experimental study of across-wind aerodynamic damping of super high-rise buildings with aerodynamically modified square cross-sections. Struct. Design Tall Spec. Build. 2014, 23, 1225–1245. [Google Scholar] [CrossRef]
- Wang, L.; Wang, Z.; Huang, N.; Fan, X.-Y.; Zhang, Z. Comparative analysis of cross-wind load code for high structures with circular sections. Structures 2021, 43, 1177–1186. [Google Scholar] [CrossRef]
- Watanabe, Y.; Isyumov, N.; Davenport, A. Empirical aerodynamic damping function for tall buildings. J. Wind Eng. Ind. Aerodyn. 1997, 72, 313–321. [Google Scholar] [CrossRef]
- Huang, P.; Quan, Y.; Gu, M. Experimental study of aerodynamic damping of typical tall buildings. Math. Probl. Eng. 2013, 2013, 731572. [Google Scholar] [CrossRef]
- Li, S.Y.; Xiao, C.Y.; Fan, Y.G.; Chen, Z.-Q. Experimental investigation of aerodynamic damping on super-high-rise buildings with square cross section under the action of full-direction wind. J. Hunan Univ. 2015, 42, 9–15. [Google Scholar]
- Liu, T.; Zhang, W.; Yue, Q. A study on vortex-induced vibration of supertall buildings in acrosswind. Struct. Des. Tall Spec. Build. 2011, 20, 902–910. [Google Scholar] [CrossRef]
- Wang, L.; Liang, S.; Huang, G.; Song, J.; Zou, L. Investigation on the unstability of vortex induced resonance of high-rise buildings. J. Wind Eng. Ind. Aerodyn. 2018, 175, 17–31. [Google Scholar] [CrossRef]
- Wang, L.; Fan, X.Y.; Liang, S.G.; Song, J.; Wang, Z.K. Improved expression for across-wind aerodynamic damping ratios of super high-rise buildings. J. Wind Eng. Ind. Aerodyn. 2018, 176, 263–272. [Google Scholar] [CrossRef]
- Liang, S.; Yang, W.; Song, J.; Wang, L.; Hu, G. Wind-induced responses of a tall chimney by aeroelastic wind tunnel test using a continuous model. Eng. Struct. 2018, 176, 871–880. [Google Scholar] [CrossRef]
- Kwok, K.; Wilhelm, P.; Wilkie, B. Effect of edge configuration on wind-induced response of tall buildings. Eng. Struct. 1988, 10, 135–140. [Google Scholar] [CrossRef]
- Kawai, H. Effect of corner modifications on aero-elastic instabilities of tall buildings. J. Wind Eng. Ind. Aerodyn. 1998, 74–76, 719–729. [Google Scholar] [CrossRef]
- Hayashida, H.; Iwasa, Y. Aerodynamic shape effects of tall building for vortex induced vibration. J. Wind Eng. Ind. Aerodyn. 1990, 33, 237–242. [Google Scholar] [CrossRef]
- Hayashida, H.; Mataki, Y.; Iwasa, Y. Aerodynamic damping effects of tall building for a vortex induced vibration. J. Wind Eng. Ind. Aerodyn. 1992, 43, 1973–1983. [Google Scholar] [CrossRef]
- Gu, M.; Quan, Y. Across-wind loads of typical tall buildings. J. Wind Eng. Ind. Aerodyn. 2004, 92, 1147–1165. [Google Scholar] [CrossRef]
- Miyashita, K.; Ohkuma, T.; Tamura, Y. Wind-induced response of high-rise buildings. J. Wind Eng. Ind. Aerodyn. 1993, 50, 319–328. [Google Scholar] [CrossRef]
- Tanaka, H.; Tamura, Y.; Ohtake, K.; Nakai, M.; Kim, Y.C. Experimental investigation of aerodynamic forces and wind pressures acting on tall buildings with various unconventional configurations. J. Wind Eng. Ind. Aerodyn. 2012, 107–108, 179–191. [Google Scholar] [CrossRef]
- Zhang, Z.; Quan, Y.; Gu, M.; Xiong, Y. Effects of corner chamfering and rounding modification on aerodynamic coefficients of square tall buildings. China Civ. Eng. J. 2013, 46, 12–20. [Google Scholar]
- Tamura, Y.; Xu, X.D.; Tanaka, H. Aerodynamic and Pedestrian-Level Wind Characteristics of Super-Tall Buildings with Various Configurations. Procedia Eng. 2017, 199, 28–37. [Google Scholar] [CrossRef]
- Kim, Y.M.; You, K.P.; Ko, N.H. Across-wind responses of an aeroelastic tapered tall building. J. Wind Eng. Ind. Aerodyn. 2008, 96, 1307–1319. [Google Scholar] [CrossRef]
- Kim, Y.; Bandi, E.; Yoshida, A.; Tamura, Y. Response characteristics of super-tall buildings–Effects of number of sides and helical angle. J. Wind Eng. Ind. Aerodyn. 2015, 145, 252–262. [Google Scholar] [CrossRef]
- Hu, G.; Hassanli, S.; Kwok, K.C.S.; Tse, K.T. Wind-induced responses of a tall building with a double-skin façade system. J. Wind Eng. Ind. Aerodyn. 2017, 168, 91–100. [Google Scholar] [CrossRef]
- Tse, K.T.; Hu, G.; Song, J.; Park, H.S.; Kim, B. Effects of corner modifications on wind loads and local pressures on walls of tall buildings. Build. Simul. 2020, 14, 1109–1126. [Google Scholar] [CrossRef]
- Hu, J.C.; Zhou, Y.; Dalton, C. Effects of the corner radius on the near wake of a square prism. Exp. Fluids 2006, 40, 106–118. [Google Scholar] [CrossRef]
- GB50009-2012; Load Code for the Design of Building Structures. China Architecture and Building Press: Beijing, China, 2012.
- Kareem, A.; Gurley, K. Damping in structures: Its evaluation and treatment of uncertainty. J. Wind Eng. Ind. Aerodyn. 1996, 59, 131–157. [Google Scholar] [CrossRef]
- Marukawa, H.; Kato, N.; Fujii, K.; Tamura, Y. Experimental evaluation of aerodynamic damping of tall buildings. J. Wind Eng. Ind. Aerodyn. 1996, 59, 177–190. [Google Scholar] [CrossRef]
- Tamura, Y.; Suganuma, S.Y. Evaluation of amplitude-dependent damping and natural frequency of buildings during strong winds. J. Wind Eng. Ind. Aerodyn. 1996, 59, 115–130. [Google Scholar] [CrossRef]













| Case | n0 | M | ξ | Sc | Rc |
|---|---|---|---|---|---|
| 1 | 9.9 Hz | 2.1 kg/m | 2.4% | 8.1 | 0% |
| 2 | 9.6 Hz | 2.2 kg/m | 2.3% | 8.0 | 2.5% |
| 3 | 9.6 Hz | 2.2 kg/m | 2.2% | 7.8 | 5% |
| 4 | 9.2 Hz | 2.1 kg/m | 2.4% | 7.9 | 7.5% |
| 5 | 9.2 Hz | 2.0 kg/m | 2.6% | 8.3 | 12.5% |
| Case | n1 | M | ξ | Sc | Rr |
|---|---|---|---|---|---|
| 1 | 9.94 Hz | 2.1 kg/m | 2.4% | 8.1 | 0% |
| 2 | 9.62 Hz | 2.0 kg/m | 2.7% | 8.4 | 12.5% |
| 3 | 9.30 Hz | 1.9 kg/m | 2.7% | 8.2 | 15.0% |
| 4 | 9.60 Hz | 1.9 kg/m | 2.5% | 7.5 | 17.5% |
Disclaimer/Publisher’s Note: The statements, opinions and data contained in all publications are solely those of the individual author(s) and contributor(s) and not of MDPI and/or the editor(s). MDPI and/or the editor(s) disclaim responsibility for any injury to people or property resulting from any ideas, methods, instructions or products referred to in the content. |
© 2023 by the authors. Licensee MDPI, Basel, Switzerland. This article is an open access article distributed under the terms and conditions of the Creative Commons Attribution (CC BY) license (https://creativecommons.org/licenses/by/4.0/).
Share and Cite
Wang, L.; Zhang, W. The Influence of Chamfered and Rounded Corners on Vortex-Induced Vibration of Super-Tall Buildings. Appl. Sci. 2023, 13, 1049. https://doi.org/10.3390/app13021049
Wang L, Zhang W. The Influence of Chamfered and Rounded Corners on Vortex-Induced Vibration of Super-Tall Buildings. Applied Sciences. 2023; 13(2):1049. https://doi.org/10.3390/app13021049
Chicago/Turabian StyleWang, Lei, and Wei Zhang. 2023. "The Influence of Chamfered and Rounded Corners on Vortex-Induced Vibration of Super-Tall Buildings" Applied Sciences 13, no. 2: 1049. https://doi.org/10.3390/app13021049
APA StyleWang, L., & Zhang, W. (2023). The Influence of Chamfered and Rounded Corners on Vortex-Induced Vibration of Super-Tall Buildings. Applied Sciences, 13(2), 1049. https://doi.org/10.3390/app13021049

