Study on Stability of Elastic Compression Bending Bar in Viscoelastic Medium
Abstract
1. Introduction
2. Methods
2.1. Deflection Function for an Elastic Compression-Bending Bar within an Elastic Medium
2.1.1. Basic Model of Viscoelastic Mechanics
2.1.2. Basic Physical Consumption of Elastic-Viscoelastic Media
2.1.3. Mechanical Model of an Elastic Compression-Bending Bar in an Elastic Medium
2.1.4. A Comprehensive Solution Formula for the Deflection of an Elastic Slender Bar within an Elastic Medium
2.2. Deflection Function for an Elastic Compression-Bending Bar in a Viscoelastic Medium
2.2.1. Mechanical Model of an Elastic Compression-Bending Bar in a Viscoelastic Medium
2.2.2. A Comprehensive Solution Formula for the Deflection of an Elastic Slender Bar within a Viscoelastic Medium
2.2.3. Deflection Solution of an Elastic Slender Bar in a Kelvin Medium
3. Results and Discussion
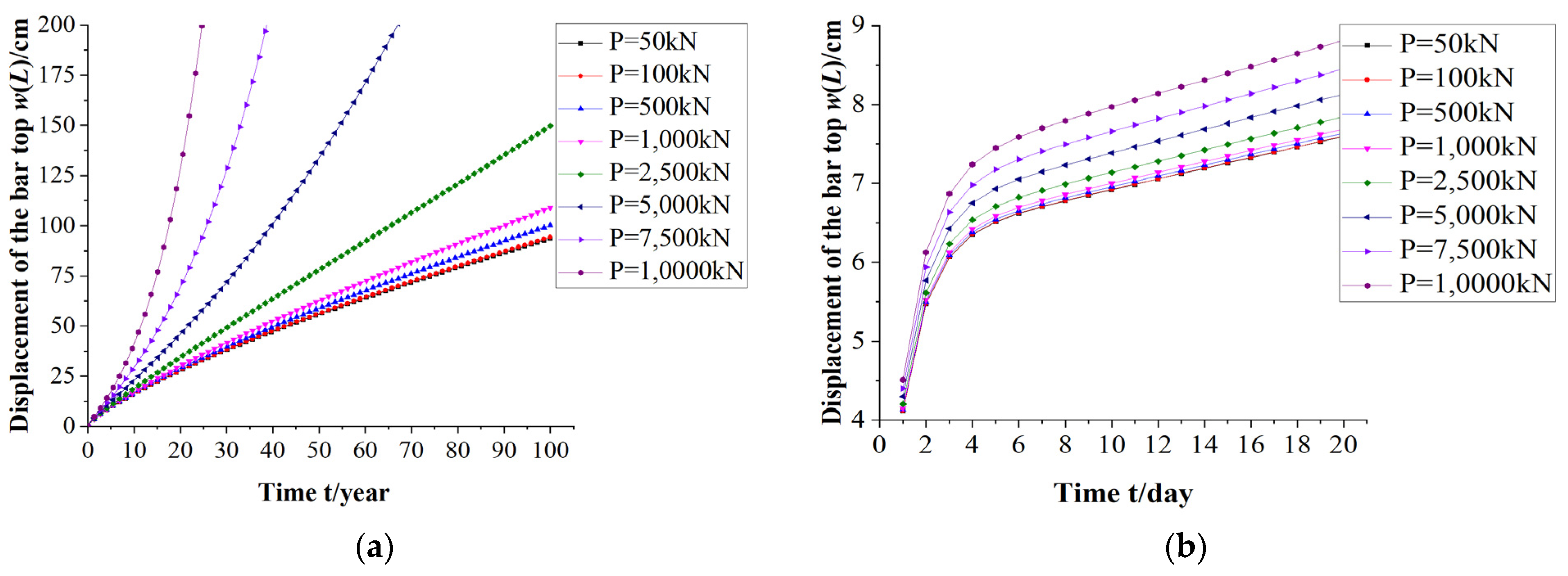
3.1. Time Dependence of the Effect of Axial Force on the Lateral Deflection of the Bar Top
3.2. Time Dependence of the Effect of Bar Length on the Lateral Deflection of the Bar Top
3.3. Time Dependence of the Effect of Bar-Side Pile Loading Intensity on the Lateral Deflection of the Bar Top
4. Conclusions
- A mechanical model of an elastic slender compression-bending bar, constrained by elastic-viscoelastic medium wrapping and fixed at the base while free at the top, was established. Utilizing the energy method criterion and the Rayleigh-Ritz method, an approximate solution for the deflection function of the bar body was derived when subjected to axial force P at the top and horizontal additional load caused by pile loading at the side.
- Employing the elastic-viscoelastic correspondence principle, the approximate solution for the deflection function of the bar body in an elastic medium was transformed into an approximate solution for the deflection function of an elastic compression-bending bar in a viscoelastic medium. Using a Kelvin body as an example for the side medium of the bar, a deflection function under a second-order triangular series was derived. MATLAB is applied in this study to compute the corresponding theoretical solutions under the burgers model.
- The influence of the magnitude of axial force on the change of w(L) over time under equal bar length and equal pile load strength is studied. The calculation results show that when there is constant load on the side of the bar, axial force acts on the top of the bar, and the larger the axial force, the faster the rate of change of w(L) with time, and the earlier it develops towards instability. The influence of pile load strength on the change of w(L) over time under equal bar length condition is studied. The results show that the change of bar length has little effect on the stability of elastic bar in viscoelastic medium, and the research should focus on the influence of axial force and pile load strength on the surface of side medium on bar stability.
Author Contributions
Funding
Institutional Review Board Statement
Informed Consent Statement
Data Availability Statement
Conflicts of Interest
Appendix A

Appendix B
Appendix C

References
- Taylor, D.W.; Merchant, W. A theory of clay consolidation accounting for secondary compression. Stud. Appl. Math. 1940, 19, 167–185. [Google Scholar] [CrossRef]
- Tan, T.K. One Dimensional problems of consolidation and secondary time effects. Chin. Civ. Eng. J. 1958, 5, 1–5. [Google Scholar]
- Tan, T.K. Two Dimensional problems of settlements of clay layers due to consolidation and secondary time effects. Acta Mech. Sin. 1958, 2, 1–10. [Google Scholar]
- Gibson, R.E. A one-dimensional consolidation problem with a moving boundary. Q. Appl. Math. 1960, 18, 123–129. [Google Scholar] [CrossRef][Green Version]
- Nethercot, D.A.; Rockey, K.C. The lateral buckling of beams having discrete intermediate restraints. Struct. Eng. 1972, 50, 391–403. [Google Scholar]
- Mutton, B.R.; Trahair, N.S. Design requirements for column braces. Civ. Eng. Trans. 1975, CE17, 30–35. [Google Scholar]
- Yura, J.A. Winter’s bracing approach revisited. Eng. Struct. 1996, 18, 821–825. [Google Scholar] [CrossRef]
- Helwig, T.A.; Yura, J.A. Torsional bracing of columns. ASCE J. Struct. Eng. 1999, 125, 547–555. [Google Scholar] [CrossRef]
- Gil, H.; Yura, J.A. Bracing requirements of inelastic columns. J. Constr. Steel. Res. 1999, 51, 1–19. [Google Scholar] [CrossRef]
- McCann, F.; Wadee, M.A.; Gardner, L. Lateral stability of imperfect discretely braced steel beams. J. Eng. Mech. 2013, 139, 1341–1349. [Google Scholar] [CrossRef]
- Foster, A.S.J.; Gardner, L. Ultimate behaviour of steel beams with discrete lateral restraints. Thin Walled Struct. 2013, 72, 88–101. [Google Scholar] [CrossRef]
- Winter, G. Lateral bracing of columns and beams. Trans. Am. Soc. Civ. Eng. 1960, 125, 809–825. [Google Scholar] [CrossRef]
- Timoshenko, S.P.; Gere, J.M. Theory of Elastic Stability, 2nd ed.; McGraw-Hill: New York, NY, USA, 1961. [Google Scholar]
- Zhao, M.H. The Calculation of Piles under Simultaneous Axial and Lateral Loading. J. Hunan Univ. Nat. Sci. 1987, 2, 68–81. (In Chinese) [Google Scholar]
- Zhou, J.K.; Du, Q.Q. Modified Winkler foundation model with horizontal force taken into account. J. Hohai Univ. Nat. Sci. 2002, 32, 669–673. (In Chinese) [Google Scholar]
- Chen, L.J.; Yu, Q.D.; Dai, Z.H. Finite difference solution based on composite stiffness and bi-parameter method for calculating vertical and horizontal bending piles. Chin. J. Rock Mech. Eng. 2016, 35, 613–622. (In Chinese) [Google Scholar]
- Feng, H.; Yang, Y.S.; Yu, H.T. Dynamic response of viscoelastic foundation beams under traveling wave effect. Chin. J. Geotech. Eng. 2020, 42, 126–132. (In Chinese) [Google Scholar]
- Dai, Z.H.; Shen, P.S.; Zhang, J.W. Numerical solution of piles under lateral load of trapezoid-distribution by bi-parameter method. Chin. J. Rock Mech. Eng. 2004, 23, 2632–2638. (In Chinese) [Google Scholar]
- Reese, L.C.; Welch, I.L.C. Lateral loading of deep foundations in stiff clay. ASCE J. Soil Mech. Found. Div. 1975, 101, 633–649. [Google Scholar] [CrossRef]
- Sastry, V.V.R.N.; Meyerhof, G.G. Behaviour of flexible piles under inclined Loads. Rev. Can. Geotech. 1990, 27, 19–28. [Google Scholar] [CrossRef]
- Meyerhof, G.G.; Yalcin, A.S. Behaviour of flexible batter piles under inclined loads in layered soil. Rev. Can. Geotech. 1993, 30, 247–256. [Google Scholar] [CrossRef]
- Sastry, V.V.R.N.; Meyerhof, G.G. Behaviour of flexible piles in layered sands under eccentric and inclined loads. Rev. Can. Geotech. 1994, 31, 513–520. [Google Scholar] [CrossRef]
- Zhao, M.H.; Hou, Y.Q.; Shan, Y.M. Calculation and model test study on the bridge piles under inclined loads. J. Hunan Univ. Nat. Sci. 1999, 26, 86–91. (In Chinese) [Google Scholar]
- Zhukov, N.V.; Balov, I.L. Investigation of the effect of a vertical surcharge on horizontal displacements and resistance of pile columns to horizontal loads. J. Geotech. Eng. ASCE 1978, 15, 16–21. [Google Scholar]
- Zhang, L.; Gong, X.N.; Yang, Z.X.; Yu, J.L. Elastoplastic solutions for single piles under combined vertical and lateral loads. J. Cent. South Univ. Technol. 2011, 18, 216–222. [Google Scholar] [CrossRef]
- Han, J.; Frost, J.D. Load-deflection response of transversely isotropic piles under lateral loads. Int. J. Numer. Anal. Methods Geomech. 2000, 24, 509–529. [Google Scholar] [CrossRef]
- Fan, C.C.; Long, J.H. Assessment of existing methods for predicting soil response of laterally loaded piles in sand. Comput. Geotech. 2005, 32, 274–289. [Google Scholar] [CrossRef]
- Poulos, H.G.; Davis, E.H. Pile Foundation Analysis and Design; John Wiley & Sons: New York, NY, USA, 1980. [Google Scholar]
- Wu, H.L. The Composite Stiffness Principle and Bi-Parameter Method for Calculation of Laterally Loaded Piles, 2nd ed.; China Communication Press: Beijing, China, 2000. (In Chinese) [Google Scholar]
- Hunt, G.W.; Peletier, M.A.; Champneys, A.R.; Woods, P.D.; Ahmer Wadee, M.; Budd, C.J.; Lord, G.J. Cellular buckling in long structures. Nonlinear Dyn. 2000, 21, 3–29. [Google Scholar] [CrossRef]
- Wadee, M.K.; Hunt, G.W.; Whiting, A.I.M. Asymptotic and Rayleigh–Ritz routes to localized buckling solutions in an elastic instability problem. Proc. R. Soc. Lond. Ser. A 1997, 453, 2085–2107. [Google Scholar] [CrossRef]
- Hunt, G.W.; Wadee, M.K.; Shiacolas, N. Localized Elasticae for the Strut on the Linear Foundation. J. Appl. Mech. 1993, 60, 1033–1038. [Google Scholar] [CrossRef]
- Groh, R.M.J.; Pirrera, A. Spatial chaos as a governing factor for imperfection sensitivity in shell buckling. Phys. Rev. E 2019, 100, 032205. [Google Scholar] [CrossRef]
- Lugo, C.A.; Airoldi, C.; Chen, C.; Crosby, A.J.; Glover, B.J. Morpho elastic modelling of pattern development in the petal epidermal cell cuticle. J. R. Soc. Interface 2023, 204, 13. [Google Scholar]
- Shen, J.J.; Pirrera, A.; Groh, R.M.J. Building blocks that govern spontaneous and programmed pattern formation in pre-compressed bilayers. Proc. R. Soc. A 2023, 478, 20220173. [Google Scholar] [CrossRef]
- Xu, S.; Yan, Z.; Jang, K.I.; Huang, W.; Fu, H.; Kim, J.; Wei, Z.; Flavin, M.; McCracken, J.; Wang, R.; et al. Assembly of micro/nanomaterials into complex, three-dimensional architectures by compressive buckling. Science 2015, 347, 154–159. [Google Scholar] [CrossRef] [PubMed]
- Yang, S.; Khare, K.; Lin, P.C. Harnessing Surface Wrinkle Patterns in Soft Matter. Adv. Funct. Mater. 2010, 20, 2550–2564. [Google Scholar] [CrossRef]
- Sun, X.F.; Fang, X.S.; Guan, L.T. Mechanics of Materials, 5th ed.; Higher Education Press: Beijing, China, 2009. (In Chinese) [Google Scholar]
- Liu, W. The Program Design and Application of MATLABM; Higher Education Press: Beijing, China, 2008. (In Chinese) [Google Scholar]
- Kerr, A. On the Determination of Foundation Model Parameters. J. Geotech. Geoenviron. 1985, 111, 1334–1340. [Google Scholar] [CrossRef]
- Kerr, A. Elastic and Viscoelastic Foundation Models. ASME J. Appl. Mech. 1964, 31, 491–498. [Google Scholar] [CrossRef]
- Boussinesq, J. Application des Potentiels à L’étude de L’équilibre et du Mouvement des Solides Élastiques: Principalement au Calcul des Déformations et des Pressions que Produisent, dans ces Solides, des Efforts Quelconques Exercés sur une Petite Partie de Leur Surface ou de leur Intérieur: Mémoire Suivi de Notes Étendues sur Divers Points de Physique, Mathematique et D’analyse; Gauthier Villars: Paris, France, 1885. [Google Scholar]
- Flamant, A. Sur la répartition des pressions dans un solide rectangulaire chargé transversalement. CR Acad. Sci. Paris 1892, 114, 1465–1468. [Google Scholar]
- Abate, J.; Whitt, W. A Unified Framework for Numerically Inverting Laplace Transforms. Inf. J. Comput. 2006, 18, 408–421. [Google Scholar] [CrossRef]
- Ministry of Housing and Urban-Rural Development of the People’s Republic of China. Technical Code for Building Pile Foundations (JGJ 94-2008); China Architecture & Building Press: Beijing, China, 2018.
- Das, B.M. Principles of Geotechnical Engineering; Cengage Learning: Boston, MA, USA, 2021. [Google Scholar]
- Krenk, S.; Høgsberg, J. Statics and Mechanics of Structures; Springer: Dordrecht, The Netherlands, 2013. [Google Scholar]
- Christensen, R.M. Theory of Viscoelasticity, an Introduction; Elsevier: Amsterdam, The Netherlands, 1982. [Google Scholar]














| Parameter | Magnitude | Unit |
|---|---|---|
| Width of bar/b1 | 1 | m |
| Length of bar/L | 50 | m |
| Elastic Modulus of bar/E | 3 × 104 | MPa |
| Density of bar/ρ | 2385 | kg/m3 |
| Poisson’s ratio/λ | 0.2 | / |
| Distance from the bar to constant load/dp | 1 | m |
| Magnitude of constant force/q | 50 | kPa |
| Length of constant force/Lp | 20 | m |
| Reaction force coefficient/k | 4500 | kN/m4 |
Disclaimer/Publisher’s Note: The statements, opinions and data contained in all publications are solely those of the individual author(s) and contributor(s) and not of MDPI and/or the editor(s). MDPI and/or the editor(s) disclaim responsibility for any injury to people or property resulting from any ideas, methods, instructions or products referred to in the content. |
© 2023 by the authors. Licensee MDPI, Basel, Switzerland. This article is an open access article distributed under the terms and conditions of the Creative Commons Attribution (CC BY) license (https://creativecommons.org/licenses/by/4.0/).
Share and Cite
Zhang, X.; Hu, J.; Chen, S. Study on Stability of Elastic Compression Bending Bar in Viscoelastic Medium. Appl. Sci. 2023, 13, 11111. https://doi.org/10.3390/app131911111
Zhang X, Hu J, Chen S. Study on Stability of Elastic Compression Bending Bar in Viscoelastic Medium. Applied Sciences. 2023; 13(19):11111. https://doi.org/10.3390/app131911111
Chicago/Turabian StyleZhang, Xiaochun, Jianhan Hu, and Shuyang Chen. 2023. "Study on Stability of Elastic Compression Bending Bar in Viscoelastic Medium" Applied Sciences 13, no. 19: 11111. https://doi.org/10.3390/app131911111
APA StyleZhang, X., Hu, J., & Chen, S. (2023). Study on Stability of Elastic Compression Bending Bar in Viscoelastic Medium. Applied Sciences, 13(19), 11111. https://doi.org/10.3390/app131911111

