Next Article in Journal
A Coupling System for Prediction of Physiological Parameters in an Immersed Condition
Next Article in Special Issue
Study on Mechanisms of NOx Formation and Inhibition during the Combustion of NH3/CH4 and NH3/CO Mixtures
Previous Article in Journal
Analysis of Disinfection in Greenhouse Soils with Medium-Temperature Steam Produced by Solar Energy
Previous Article in Special Issue
An Experimental Study on the Combustion Characteristics of a Methane Diffusion Flame within a Confined Space under Sub-Atmospheric Pressure
 
 
Font Type:
Arial Georgia Verdana
Font Size:
Aa Aa Aa
Line Spacing:
Column Width:
Background:
Article

Thermogravimetric Assessment and Differential Thermal Analysis of Blended Fuels of Coal, Biomass and Oil Sludge

1
State Key Laboratory of Multiphase Flow in Power Engineering, School of Energy and Power Engineering, Xi’an Jiaotong University, Xi’an 710049, China
2
China Special Equipment Inspection and Research Institute, Beijing 100029, China
*
Authors to whom correspondence should be addressed.
Appl. Sci. 2023, 13(19), 11058; https://doi.org/10.3390/app131911058
Submission received: 15 September 2023 / Revised: 28 September 2023 / Accepted: 28 September 2023 / Published: 8 October 2023
(This article belongs to the Special Issue Advances in Combustion and Renewable Energy)

Abstract

:
The coupled combustion of biomass and organic solid wastes including oil sludge has attracted much attention. Although the optimal mixing ratio of different coal types and biomass has been extensively studied, little attention has been paid to oil sludge that has undergone co-combustion. In this study, the combustion characteristics of blended fuel for coal, biomass and oil sludge under different mixing ratios are studied via a thermogravimetric test and differential thermal analysis. Kinetic analysis of tri-fuel is performed using the Flynn–Wall–Ozawa (FWO) and Dolye methods. The results show that the bituminous coal combustion process mainly involves the combustion of fixed carbon (236.0–382.0 °C). Wood pellet combustion (383.0–610.0 °C) has two processes involving the combustion of compound carbon and fixed carbon. Blending wood pellets effectively enhances combustion efficiency. Wood pellets from Korla (KOL) have the most obvious effect on reducing the ignition temperature. The blending combustion of bituminous coal (SC), wood pellets from Hutubi (HTB) and oil sludge (OS) have significant synergistic effects. As the OS mixing ratio increases from 10% to 20% with 45% HTB, Ti and Th decrease from 354.9 and 514.3 °C to 269.8 and 452.7 °C, respectively. In addition, f(α) is [−ln(1 − α)]2 for tri-fuel in most mixing ratios when α < 0.5, while f(α) becomes [−ln(1 − α)]3 at α > 0.5. At a high-HTB-level mixing ratio, increasing the OS content causes a decrease in activation energy to 35.87 kJ mol−1. The moderate blending of oil sludge improves the pre-finger factor and the combustion performance.

1. Introduction

The total amount of biomass used is now the fourth largest after coal, oil and natural gas. Biomass has the natural advantage of being a carbon reduction alternative as it is a renewable resource. To lessen CO2 and NOx emissions, coal has been co-fired with biomass in coal-fired boilers [1]. Xinjiang Province has huge biomass reserves, due to its developed cultivation and high vegetation cover. Common biomass in Xinjiang includes cotton stalks, wood and corn stalks. At the same time, the large amount of oil sludge from oil fields is in urgent need of treatment in Xinjiang. Oil sludge is a hazardous waste from petrochemical processes including oil production and refining [2,3]. Globally, oil sludge reserves reached 300 million tones by the end of 2021 [4]. Disposing of oil sludge is difficult due to its complex composition and difficulty in decomposition. Many methods have been proposed for treating oil sludge, such as incineration (direct combustion), extraction, biological treatment and solidification. Direct combustion is an effective method for treating oil sludge, but it produces large quantities of toxic gases and NOx [5,6]. The involvement of coal blending with biomass or oil sludge for carbon reduction can address the above issues [7,8,9]. Blended combustion provides a good way to utilize biomass and oil sludge extensively. Blending can also reduce pollutant emissions (SOx, NOx and soot) [10,11]. In addition, pollutants from oil sludge could be effectively treated using the mature flue gas treatment equipment of boilers [12]. Therefore, blending combustion of coal with biomass or oil sludge has received increasing attention [13,14]. Because of the shortcomings of seasonality and poor dispersion, current biomass utilization in China is still dominated by small-scale direct-fired units with a relatively low efficiency.
Compared to coal, biomass and oil sludge have different compositions and structural characteristics. Before tri-fuel is applied, a precise understanding of the combustion characteristics of coal, biomass and/or oil sludge blending is particularly significant [15]. The blending combustion process of coal with different biomass fuels has been investigated by many researchers [16,17,18]. Wu et al. [18] and Li et al. [17] performed thermogravimetric and kinetic analyses on blended fuel with different mixing ratios. The results indicated that when the mixing ratio was 70% coal:30% corn straw, the highest exergy was obtained. And different degrees of synergistic effects occurred in the blended fuels. Prompubess et al. [16] investigated the effect of mixing ratios of bituminous coal and rice husk in a circulating fluidized bed on the concentration distributions of the gas product along the vertical upward direction of the furnace chamber. Kazagie et al. [19] analyzed the migration pattern of S during biomass blending with coal in a circulating fluidized bed. The results showed that blending biomass was helpful in dislodging SO2 from the flue gas. When the mixing ratio of biomass increased, the S content in the ash and slag residue increased and the SO2 emission decreased. Liao et al. [20] evaluated the combustion process of blended fuels with polyethylene at different mixing ratios. The kinetics of the blended fuel were analyzed using the Coats–Redfern method. The combustion mechanism of the blended fuel was a diffusion reaction. And blending biomass was beneficial to improving the combustion reactivity and reducing the activation energy.
In earlier studies [21,22,23], the combustion characteristics of fuel mixed with sludge were studied. Oil-bearing sludge (oil sludge), as a sludge with a special composition and structure, has not received much attention [24]. Li et al. [25] explored the combustion characteristics of oil sludge, ginkgo seeds and a blended fuel composed of them via thermogravimetric analysis and kinetic analysis. The combustion stability decreased as the involvement of oil sludge increased. Few studies have addressed blended fuels of coal and organic solids, including oil sludge and biomass together [24]. It is essential to explore the combustion behavior of oil sludge and its blends. Blending combustion is an effective method to deal with the large amount of wood pellets and oil sludge in Xinjiang. Due to the complexity of the interactions when different blended fuels are mixed, the combustion characteristics of the blending fuels are ambiguous. Thermogravimetric experiments and differential thermal analysis are believed to be good methods to accurately study the combustion and kinetic characteristics of fuels. The objective of this study is to determine a suitable range of mixing ratios of tri-fuels and to provide a reference for the optimization of biomass, oil sludge and coal blending technology in production.
In this study, a thermogravimetric experiment and differential thermal analysis are conducted on blended fuels consisting of bituminous coal, oil sludge from Karamay in Xinjiang Province and three wood pellets from the surrounding regions. The influences of biomass species and mixing ratio on the synergistic effect and combustion characteristics represented by the ignition temperature are discussed in detail. Furthermore, the Flynn–Wall–Ozawa (FWO) approach is used for the kinetic analysis of blended fuels. The results of this study could serve as a reference for the practical application of co-combustion.

2. Material and Methods

2.1. Material

In this study, bituminous coal, wood pellets and oil sludge are selected as the blending materials. The bituminous coal (SC) is from Tunnan, Xinjiang. The three kinds of wood pellets are from Hutubi (HTB), Korla (KOL) and Bayingolin (BA) in Xinjiang, respectively. And the oil sludge (OS) is from Karamay, Xinjiang. Samples with particle sizes of 106–150 μm were chosen for the experiment. The raw materials’ properties and ultimate analyses are indicated in Table 1.
Tri-fuel consists of a different mixing ratio of bituminous (SC), wood pellets (HTB or KOL or BA) and oil sludge (OS). In the experiments, the SC mixing ratio of the tri-fuel ranges from 30% to 50%, with an interval of a 5% blending percentage, and the mixing ratio of HTB also ranges from 30% to 50%. OS is blended with 10%, 15% or 20%. To investigate the impact of the wood pellets proportion on the combustion of tri-fuel, three wood pellets (HTB, KOL and BA) are blended in mass proportions of 50%:30%:20% and 40%:45%:15%, respectively.

2.2. Thermogravimetric Experiment and Differential Thermal Experiment

A simultaneous thermal analyzer (TGA/DSC3+ thermogravimetric simultaneous analyzer, METTLER TOSEDO, Greifensee, Switzerland) is applied to conduct the thermogravimetric experiment and differential thermal experiment. Prior to the experimental tests, each raw material is crushed, milled and screened to 100–200 µm and oven dried at 105 °C for 24 h. The dried samples are stored in a desiccator. A simulated combustion environment of air (21% O2 and 79% N2) is employed in the investigation, with an average flow rate of 50 mL min−1. At a heating rate of 10, 20 and 30 °C min−1, samples weighing 5.00000 ± 1000 mg are heated from 40 to 1000 °C. The TGA continuously measures the thermogravimetric mass loss (TG), derivative thermogravimetric mass loss (DTG) and differential scanning calorimetry (DSC). Prior to the experiment, a blank calibration experiment is set up, and all experiments are run at least three times to ensure reproducibility.

2.3. Analytical Method

Ti describes the mixture’s simplicity in the combustion process. The tangent method, denoted as Ti, is employed to calculate the ignition temperature. The greatest weight loss rate and the beginning of the TG weight loss spectrum are taken as tangent lines, respectively. Ti is defined as the point where the two tangent lines intersect [26]. Th is the temperature corresponding to the highest rate of weight loss, and Tmax is the burnout temperature. A combined combustion index (Ci) is presented to compare the efficiency of combustion of the mixtures. Ci is usually applied to reflect the comprehensive combustion performance of the sample. It is a metric that combines Ti and Th. A tri-fuel which burns with an increasing efficiency results in a higher value of Ci. Additionally, the combustion stability is represented by the combustion stability score (Csi). A high value of Csi indicate the good combustion stability. It means that the values of Ti and Th are low; meanwhile, the value of (dw/dt)max is high [20,26,27].
C i = ( d w / d t ) max × ( d w / d t ) mean T i 2 × T h
C si = 8.5875 10 7 × ( d w / d t ) max T i × T max
where (dw/dt)max is the maximum rate of weight loss (% min−1), (dw/dt)mean is the average rate of weight loss (% min−1).
The synergistic effect of blending combustion analysis is conducted. The total weight loss ΔTG is introduced to further analyze the synergistic effect of the specific properties. Equations (3) and (4) indicate the computation process [28,29].
T G cal = λ SC T G SC + λ b i o m a s s T G b i o m a s s + λ OS T G OS
Δ T G = T G exp T G cal
where λSC, λbiomass and λOS are the contents of SC, biomass and OS in the mixture (%), respectively. TGSC, TGbiomass and TGOS are the weight loss of SC, biomass and OS (%), respectively. TGexp and TGcal are the experimental and calculated weight loss (%), respectively.
The energy needed for the stimulation of molecules that react in a chemical reaction is known as the activation energy (E). The reaction is easier to carry out with a smaller activation energy. It could accurately identify how difficult a chemical reaction is. The effective frequency of collisions between molecules is represented by the pre-exponential factor (A), which determines how quickly or slowly the chemical process takes place. The combination of E and A provides a more comprehensive assessment of the blending combustion reaction occurring in a mixture.
The thermal conversion process under the experimental condition is non-isothermal and non-homogeneous. The reactant concentration (c) is typically replaced by the conversion rate (α) in the non-homogeneous process [30,31]. According to Equation (6), a constant rate of temperature increase (β = dT/dt) is chosen. The chemical rate expression for the reaction process is given below:
α = m 0 m t m 0 m
k ( T ) = A × exp ( E a R T )
G ( α ) = 0 α 1 f ( α ) d α = A β T 0 T exp ( E α R T ) d T
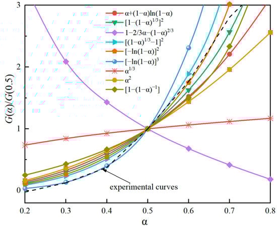
The Flynn–Wall–Ozawa (FWO) manner is employed to solve the kinetic analysis [32]. The TG curve data corresponding to the multiple heating rates at the same conversion rate are selected. Three heating rates, including 10, 20 and 30 °C min−1, are chosen. According to Equation (8), the least squares approach fitted to a horizontal line with a grade of −1.052 Eα/R can be used to obtain the E of the sample corresponding to different conversion rates. Further, the E can be established in the different temperature ranges. It is crucial to analyze the most probable mechanism function at different combustion stages. The master curve method is adopted to solve the combustion reaction mechanism function. Based on the similarity between the forms of 20 standard curves and test curves, it is possible to establish the most likely mechanism functions of blended fuels at different combustion stages. This method is more intuitive and credible than the numerical calculations. The expression given in Equation (10), which represents the temperature integral, is solved by the Dolye technique. The reference point of 0.5 is then selected to continue to search for the most likely mechanism function. After that, α = 0.5 is chosen as the reference point to further find the most probable mechanism function [33,34].
ln β = ln A E α G α R 5.331 1.052 E α R T
G α = A β 0 T 0 exp E α R T d T = A E α β R P u
P u = 0.00484 × exp ( 1.0516 u )
G 0.5 = A E α β R P ( u 0.5 )
G ( α ) G ( 0.5 ) = P ( u ) P ( u 0.5 )

3. Results and Discussion

3.1. Combustion Characteristics of Raw Materials

Figure 1 displays the TG-DTG plots for OS, SC, HTB, KOL and BA. The combustion characterization parameters of the three raw materials are listed in Table 2. As can be seen from the plots, the only significant weight loss temperature interval occurs in the SC combustion. A peak is only visible on the DTG curve at 487.0 °C. The combustion process of SC can be roughly divided into three stages. Before 310 °C, the water of crystallization and volatiles in the coal precipitate. From 310.0 to 666.4 °C, a significant weight loss occurs due to the coal’s low content of volatile matter. The burning of the fixed carbon dominates. It can also be seen from the DSC curve that SC releases a large amount of heat during the second stage. The heat release in the weight loss process is up to 20.0 w g−1 at 551.2 °C. After 666.4 °C, the weight has not changed significantly. The result is similar to the weight loss curve of bituminous coal reported by Wu et al. [18].
The three varieties of wood pellets’ TG, DTG and DSC curves show the same pattern. The DTG curves of HTB, KOL and BA all show two distinct peaks; thus, their combustion process could be separated into four parts. The first high point of the DSC curve is near 325.2 °C, the second is between 220.0 and 400.0 °C. It could be that some of the carbon in the wood pellets occurs in the form of compounds, which are thermally decomposed at the higher temperature to form the gaseous products and precipitate carbon. The carbon combustion reaction happens and the weight decreases. In Stage 3, the DTG curve’s peak arrives again. This peak has a smaller value than SC’s peak and the temperature interval is narrower because of the lower fixed carbon content of wood pellets. Therefore, the combustion is not concentrated at this stage. Additionally, BA is highest at the DSC second peak. The higher weight loss resulting from its high fixed carbon content supports this. As shown in Table 2, the Ci of wood pellets is higher than that of SC and OS, and they provide the best combustion performance and the lowest ignition temperature. Among the three types of wood pellets, HTB has the lowest Ti and the highest Th. And BA has the best combustion performance. Generally, there is little difference in the combustion characteristics of the three types of wood pellets.
The TG curve of OS also shows a multistage decline. The DTG curve appears as two distinct peaks, which is consistent with previous studies [35,36]. Unlike wood pellets, the second peak of the DTG curve for OS is higher than the first peak. However, the peak values are lower than those of HTB, KOL, BA and SC, which results from its own low carbon content (shown in Table 1). As soon as the weightlessness begins, the heat release of OS gradually increases to 12 w g−1. The mass loss of OS is concentrated at 190.0~590.0 °C, while the (dw/dt)max is 1.9% min−1. Only 44% of OS’s weight is lost. The thermal decomposition of the compound components occurs firstly during the warming process, followed by the combustion of the fixed carbon. The Ci of OS is only 1.68, with a poor overall combustion performance.

3.2. Influence of Biomass Species on Combustion Characteristics

Based on the TG and DTG curves of tri-fuels (see Figure 2), blended different wood pellets have the same burning tendency. The combustion process of blended fuels is divided into five stages as DSC curves. Heat release appears in Stage 2, Stage 3 and Stage 4. Stage 3 has the highest amount of heat release, while Stage 4 is the melting process with the lowest amount of heat release. It is noteworthy that the tri-fuel with KOL has the highest exotherm with a peak value of 19 w g−1. This value is twice that of the exotherm of the tri-fuel with HTB (11.2 w g−1). This could explain the fact that the tri-fuel with KOL has the largest weight loss followed by tri-fuel with BA at the same mixing ratio. The second stage takes place between 251.2 and 380.0 °C. This stage is dominated by the thermochemical release and combustion of volatiles from the wood pellets. The third stage, known as the raw fixed carbon combustion in fuels, takes place between 380.0 and 500.0 °C. The fourth stage is about 600.0 °C, which is marked by a downward peak in DSC but no appreciable weight change.
The mixing of different wood pellets has little impact on the general trend of combustion, but it has a substantial impact on the combustion’s features. At the same mixing ratio, blending KOL results in the highest final weight loss. The tri-fuel blended with HTB has the lowest temperature reaching the first peak, followed by KOL and BA. This phenomenon is caused by the different volatile content of the three blended wood pellets. The volatile content of BA is higher than KOL and HTB (see Table 1). Wood pellets all have a high lignin content [37]. The above factors cause BA to reach the maximum mass loss rate only at higher temperatures. As a result, under the same mixing ratio, the DSC curve displays a higher initial temperature peak of BA. It is interesting that at the mixing ratio of 35%:45%:20%, the first peak of the DSC curve for the tri-fuel blended with HTB and KOL is larger than the second peak. This is due to the low SC content in the blend. However, BA does not show this phenomenon under the same mixing ratio, which indicates that the fixed carbon combustion dominates the combustion process of tri-fuel involved BA. For most mixing ratios, the peak of fixed carbon combustion for the tri-fuel blended with the three wood pellets is higher than the first peak.
Table 2 gives the combustion characterization parameters of nine tri-fuels including three wood pellets blended. It can be observed that the Ti and Th of the three wood pellets differ little from each other. Since the first peak of the aforementioned tri-fuel consisting of KOL and HTB is higher than the second peak, the Tmax of both is small. The combustion stability is investigated by Csi. The tri-fuel containing HTB is the least stable. The combustion stability of the tri-fuel containing KOL is the best. Csi rises rapidly with decreasing SC content and increasing OS content, and the degree of increase is close to 50%. In the case of a high SC mixing ratio, Ci shows the trend of KOL > BA > HTB (tri-fuel blended), which indicates that the tri-fuel including KOL has the best combustion performance. At a low SC mixing ratio, the combustion performance of the tri-fuel containing KOL or HTB is better than that of the tri-fuel containing BA. And their Ci values are 1.14 × 10−7 and 1.19 × 10−7, respectively. The large variation in the combustion performance of HTB makes it a prime candidate for upcoming investigations of the effects of mixing ratios on combustion characteristics.

3.3. Influence of Blended Ratio on Combustion Characteristics

Figure 3 presents the weight loss and rate of weight loss curves of the samples obtained by blending SC with HTB and OS in different ratios at a temperature heating rate of 10 °C min−1. As mentioned in the previous section, based on the DSC curves, the entire combustion process could be separated into five stages (see Figure 3E,F). The DSC curves and DTG curves show the same tendency. Initial peaks can be seen on all DTG curves around 310 °C. The first peak is higher than OS but significantly lower than that of HTB combustion alone. The peak temperature of the second peak is between 365 and 542.8 °C, which is much lower than that of SC. This indicates that the blending of OS and HTB promotes the combustion reaction of tri-fuel. The values of the peaks vary irregularly.
When the SC content in the tri-fuel is high (Figure 3A,C,E), the first peak value of the DTG curve is smaller than the second. The tri-fuel does not begin to release a large amount of heat until Stage 3. The above phenomenon indicates that the tri-fuel is dominated by the combustion of fixed carbon mainly. The exothermic peak of Stage 3 is as high as 24.8 w g−1 for a mixing ratio of SC:HTB:OS = 50%:40%:10%, while its exothermic peak of Stage 2 is lower than for SC:HTB:OS = 50%:35%:15%. From Figure 3A, when the SC content is high and the OS percentage is low, significant weightlessness can be seen. The final weight loss is highest at mixing ratios of SC:HTB:OS = 50%:30%:20%, 50%:40%:10% and 45%:45%:10%, which can reach 90%. When SC:HTB:OS is 45%:35%:20%, the combustion characteristics are poor, and the weight loss is only 49.3%. The tri-fuel exergy at this ratio does not exceed more than 10 w g−1, which indicates that the tri-fuel has an inhibitory effect on combustion. And its Ci is only 0.23 × 10−7, which is the lowest among all mixing ratios. When the SC mixing ratio is high, excessive OS inhibits the tri-fuel’s combustion. After mixing OS, the ignition temperature of the tri-fuel rises.
Figure 3B,D,F show TG, DTG and DSC curves for a low SC percentage mixed tri-fuel. Figure 3F shows that the heat release in Stage 2 is overall higher than that of tri-fuels with a high SC percentage blending. The combustion advances and Stage 2’s involvement in the combustion pathway rises as the mixing ratio of HTB and OS increases. When the SC:HTB:OS is 40%:50%:10% and 35%:45%:20%, respectively, the first peak of the DTG curve is larger than the second peak. At the same time, Table 2 shows that the Ti of the two mixing ratios are 271.5 and 269.8 °C, respectively, and the combustion temperature is also advanced. Additionally, when Ci is 1.2 × 10−7, the optimal mixing ratio for combustion efficiency is 40%:50%:10%. The performance of combustion obviously improves when HTB adopts the primary body. Different from previous studies [38,39], as the OS mixing ratio increases from 10% to 20% with the 45% HTB, Ti and Th decrease from 354.9 and 514.3 °C to 269.8 and 452.7 °C, respectively. For OS, the modification of Ti is greater than that of Th. When the HTB mixing ratio is higher than 50% or lower than 40%, the blending of OS would reduce the expected combustion performance of the tri-fuel.
Stage 2’s heat output is considerably less than Stage 3’s heat emission, the exotherm of Stage 2 is still not high. Carbon in compound form has a lower calorific value than fixed carbon. This clarifies why the rate of weight loss decreased but the heat release rose from Stage 2 to Stage 3 when the SC, HTB and OS were, respectively 40%, 50% and 10% and 35%, 45% and 20%. Compounds containing carbon can increase ignition characteristics and combustion performance without producing much heat.

3.4. The Synergistic Effect of Tri-Fuel

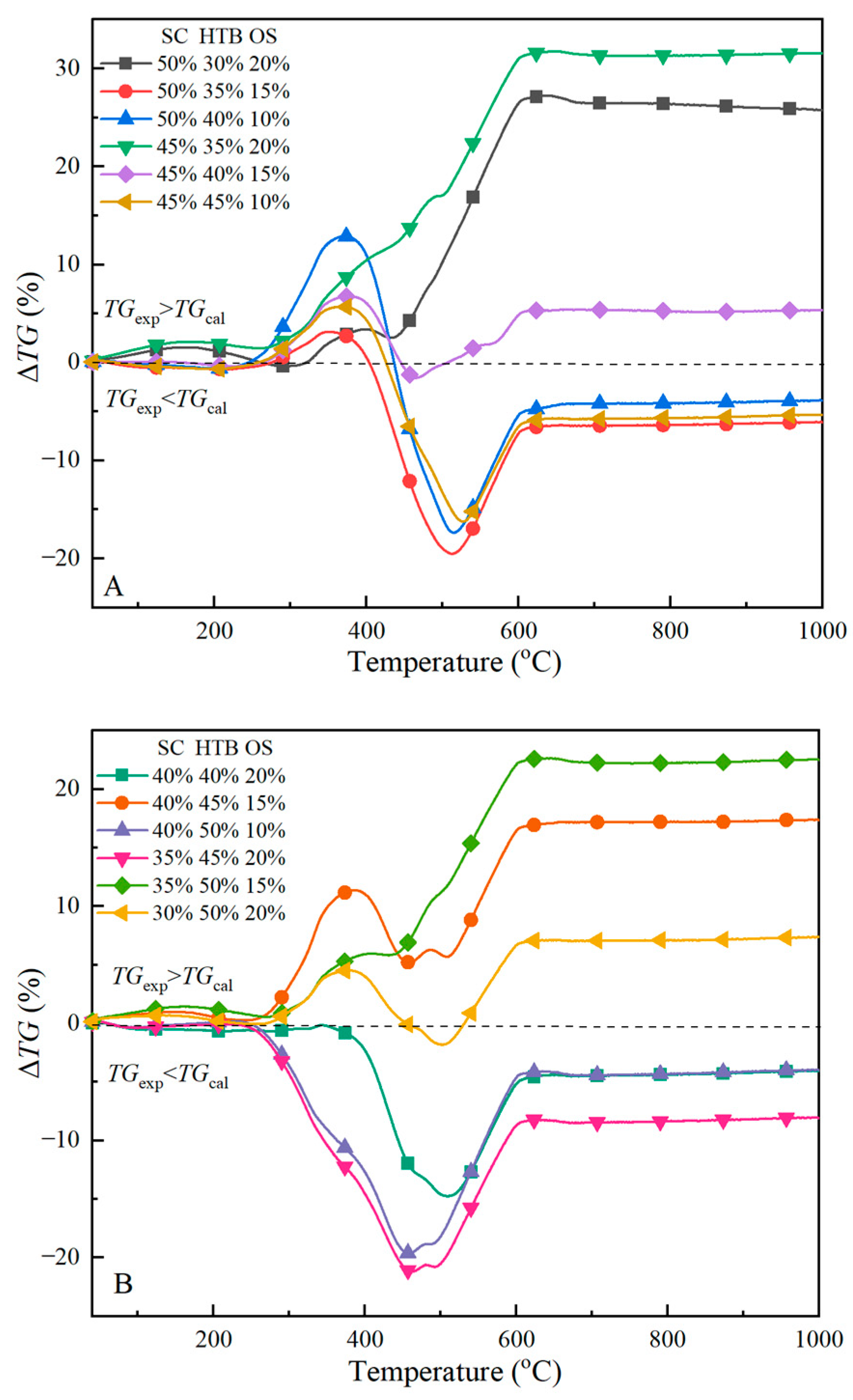
The ΔTG plots of different mixing ratios of the tri-fuels are shown in Figure 4. ΔTG is equal to 0 only at 265.2 °C, which indicates that the three raw materials are not simply linearly superimposed when they are blended and burned; rather, they interact with each other during the combustion process. According to the algorithm mentioned previously, a value of ΔTG equal to zero indicates that the experimental residual mass of combustion is less than the calculated value. This also indicates that the weight loss of real blended combustion is larger than the weight loss calculated by proportion. Therefore, it can be known that the three raw materials’ combustion together is not a simple linear superposition but there is a synergistic effect to promote combustion when ΔTG is less than zero. This situation exists when SC:HTB:OS are 50%:35%:15%, 50%:40%:10%, 45%:45%:10%, 40%:40%:20%, 40%:50%:10% and 35%:45%:20%.
Under most mixing ratios, the ΔTG peaks of tri-fuel are at 370.0 and 510.0 °C, which are not far from the value where the ultimate peak of TG occurs. The main reason for the peak’s appearance near 510.0 °C is the combustion of fixed carbon in SC and HTB. During 400.0 and 510.0 °C, the combustion of fixed carbon is completed in advance, and the absolute TG value is increased. During 510.0~610.0 °C, the experimental curve gradually converges to the calculated value because the inhibition of the product becomes the main factor affecting the reaction rate with the increasing temperature. Thus, HTB has a facilitating effect in the combustion of tri-fuel. When the OS mixing ratio is greater than 10%, ΔTG is mostly greater than zero. It can be seen that the introduction of OS inhibits the combustion of tri-fuel. As a raw material with poor combustion characteristics, moisture and ash accounted for 39.8% and 34.24%, respectively. The ash produced by its combustion has an inhibitory effect on the reaction. ΔTG is less than zero when the OS mixing ratio is 20% and the HTB mixing ratios are 40% and 45%. The tri-fuel combustion performance is the best among all mixing ratios when the HTB mixing ratio is 45%. This is different from previous studies [40]. Due to the numerous OS particles, the tri-fuel combustion process may occur in a relatively small unit. Under the same heating conditions, HTB and SC with the dense particle arrangement will be more exposed to oxygen [41]. In the case of a high HTB mixing ratio, due to a suboptimal combustion performance, the impact of OS on promoting combustion outweighs its inhibitory effect, resulting in a synergistic effect among the three raw materials.

3.5. Kinetic Analysis

Figure 5 displays the p(u)/p(u0.5) curves for the tri-fuel with SC:HTB:OS of 40%:45%:15% at three heating rates. The deviation between the test curve and the other two curves is about 0.5 < α < 0.7. The divergence has no bearing on the validity of the mechanism function; thus, it is feasible to select a single heating rate to study the combustion reaction. In this study, the experimental curve of combustion at 20.0 °C min−1 is selected and compared with the standard curves drawn by 20 common kinetic models. The standard and experimentation curves are shown in Figure 6. When the conversion rate α < 0.5, the most probable function f(α) of tri-fuel is [−ln(1 − α)]2. With increasing temperature and the reaction proceeding, the reaction mechanism exhibits some differences. When the conversion rate is greater than 0.5, the f(α) becomes [−ln(1 − α)]3. The f(α) of each blended sample is listed in Table 3.
Table 3 lists the E and A of the tri-fuels at the different mixing ratios. When a high proportion of HTB is present in the mixture, E is approximately 20% to 30% less than SC. The reactant particles can undergo conversion into active particles without the need for additional energy absorption, thereby the tri-fuel of high HTB proportion facilitats the reaction. The HTB fixed carbon occurs in a form similar to SC, leading to mixed combustion where more molecules are simultaneously participating in a reaction and the same particles smash into one another. This can explain the facilitating effect of HTB on the tri-fuel combustion. The A gradually decreases with the increase in HTB content, which has an inhibitory effect on the combustion. Overall, the promoting effect of HTB for tri-fuel combustion dominates. When the OS content is 10%, E decreases to 35.87 and 49.04 kJ mol−1. Meanwhile, the increase is significant at 0.5 < α < 0.8 when SC:HTB:OS = 40%:50%:10%. The pre-exponential factor of the three fuels increased as the OS content decreased. This phenomenon can be attributed to the limited spatial response that OS provides for HTB and SC, as mentioned in the previous section. A suitable mixing ratio results in a weakening of the combustion hindering effect of noncombustible particles in OS and thus an increase in the kinetic index of tri-fuel.

4. Conclusions

This study uses thermogravimetric experiment and differential thermal analysis to investigate the effects of different wood pellet species and mixing ratios on the combustion performance of blended fuels. The synergistic effect of bituminous coal (SC), biomass (HTB, KOL and BA) and oil sludge (OS) is evaluated. The kinetic analysis is conducted utilizing both the FWO and Dolye techniques. The main conclusions are as follows:
(1)
The weight loss rate curve of bituminous coal exhibits a distinct peak value. The combustion of wood pellets could be divided into two processes, including the combustion of compound carbon (236.0–382.0 °C) and fixed carbon (383.0–610.0 °C). The combined combustion index (Ci) of BA wood pellets is as high as 1.88 × 10−7. The combustion properties of oil sludge are poor with a large amount of ash.
(2)
The effective blending of wood pellets enhances the combustion capacity of the tri-fuel and raises the Ci. The largest weight loss peak is correlated with a lower temperature and a more intense combustion. The KOL wood pellets exhibited the most pronounced effect in reducing the ignition temperature (Ti) to 265.0 °C among the three different wood pellets. The mixing ratio has the most significant influence on the combustion performance of tri-fuel with HTB.
(3)
The blending combustion of SC, HTB and OS has a significant synergistic effect. The char combustion of SC and HTB promote each other. When there is a high SC mixing ratio, an excess of OS inhibits the tri-fuel’s combustion. As the OS ratio increases from 10% to 20% with 45% HTB, Ti decreases from 354.9 to 269.8 °C, while Th drops by 12%. The impact of OS on the ignition performance is greater than that on the burnout performance.
(4)
The most probable function f(α) of tri-fuel is obtained by the master plot method. The f(α) is [−ln(1 − α)]2 for tri-fuel of most mixing ratios when the conversion rate α < 0.5, while f(α) becomes [−ln(1 − α)]3 at α > 0.5. At the high HTB level, an increase in OS content causes the activation energy to decrease to 35.87 and 49.04 kJ mol−1 and the pre-exponential factor increases significantly at 0.5 < α < 0.8. OS particles provide numerous relatively small units for combustion, so that HTB and SC with the dense particle arrangement can be exposed to more oxygen. The moderate blending of oil sludge improves the pre-finger factor and the combustion performance.

Author Contributions

Conceptualization, L.D. (Lingxiao Dong), X.H., J.R., L.D. (Lei Deng) and Y.D.; data curation, L.D. (Lingxiao Dong), X.H., L.D. (Lei Deng) and Y.D.; investigation, L.D. (Lingxiao Dong), J.R. and L.D. (Lei Deng); resources, L.D. (Lei Deng); supervision, L.D. (Lei Deng); writing—original draft, L.D. (Lingxiao Dong) and L.D. (Lei Deng); writing—review and editing, Y.D. and X.H. All authors have read and agreed to the published version of the manuscript.

Funding

This research was funded by the National Natural Science Foundation of China, grant number [51406147].

Institutional Review Board Statement

Not applicable.

Informed Consent Statement

Not applicable.

Data Availability Statement

The data that support the findings of this study are available from the corresponding author.

Acknowledgments

The authors also thank the staff at the Instrument Analysis Center of Xi’an Jiaotong University for their assistance with sample analysis.

Conflicts of Interest

The authors declare no conflict of interest.

References

  1. Kantova, N.C.; Sladek, S.; Jandacka, J.; Caja, A.; Nosek, R. Simulation of Biomass Combustion with Modified Flue Gas Tract. Appl. Sci. 2021, 11, 1278. [Google Scholar] [CrossRef]
  2. Zhang, X.; Ma, J.; Liu, L.; Shen, B.; Li, Z.; Zhang, Z. Melting solidification of oily sludge with coal fly ash: Fusion characteristics, phases transformation and metals leaching behavior. Fuel 2023, 332, 126240. [Google Scholar] [CrossRef]
  3. Xu, M.; Zhang, J.; Liu, H.; Zhao, H.; Li, W. The resource utilization of oily sludge by co-gasification with coal. Fuel 2014, 126, 55–61. [Google Scholar] [CrossRef]
  4. Cheng, S.; Wang, Y.; Fumitake, T.; Kouji, T.; Li, A.; Kunio, Y. Effect of steam and oil sludge ash additive on the products of oil sludge pyrolysis. Appl. Energy 2017, 185, 146–157. [Google Scholar] [CrossRef]
  5. Wang, Z.; Gong, Z.; Wang, W.; Zhang, Z. Study on combustion characteristics and the migration of heavy metals during the co-combustion of oil sludge char and microalgae residue. Renew. Energy 2020, 151, 648–658. [Google Scholar] [CrossRef]
  6. Nhut Minh, N.; Alobaid, F.; Dieringer, P.; Epple, B. Biomass-Based Chemical Looping Gasification: Overview and Recent Developments. Appl. Sci. 2021, 11, 7069. [Google Scholar] [CrossRef]
  7. Gan, J.; Smith, C.T. Biomass Utilization Allocation in Biofuel Production: Model and Application. Int. J. For. Eng. 2012, 23, 38–47. [Google Scholar] [CrossRef]
  8. Burak, U.; Bozidar, A.; Liyan, Z.; Weigang, L.; Bona, L.; Wei, W.; Kim, D.J.; Hao, W. Multifunctional Additives for NOX Abatement in Fluidized Bed Biomass Combustion. Energy Fuels 2021, 35, 12367–12379. [Google Scholar] [CrossRef]
  9. Li, Y.; Lin, X.; Li, Z.; Liu, J. Highly-Efficient and Visible Light Photocatalytical Degradation of Organic Pollutants Using TiO2-Loaded on Low-Cost Biomass Husk. Materials 2022, 15, 8671. [Google Scholar] [CrossRef]
  10. Paolo, L.; Vincenzo, C.; Aldo, C. Economic and environmental sustainability of Dynamic Wireless Power Transfer for electric vehicles supporting reduction of local air pollutant emissions. Renew. Sustain. Energy Rev. 2020, 138, 110537. [Google Scholar] [CrossRef]
  11. Alper, K.; Tekin, K.; Karagöz, S.; Ragauskas, A.J. Sustainable energy and fuels from biomass: A review focusing on hydrothermal biomass processing. Sustain. Energy Fuels 2020, 4, 4390–4414. [Google Scholar] [CrossRef]
  12. Gu, J.; Zhang, M.; Wang, S.; Liu, Y. Integrated upflow anaerobic fixed-bed and single-stage step-feed process for mainstream deammonification: A step further towards sustainable municipal wastewater reclamation. Sci. Total Environ. 2019, 678, 559–564. [Google Scholar] [CrossRef] [PubMed]
  13. Farid, M.M.; Jeong, H.J.; Hwang, J. Kinetic study on coal–biomass mixed char co-gasification with H2O in the presence of H2. Fuel 2016, 181, 1066–1073. [Google Scholar] [CrossRef]
  14. Fadzil, S.M.; Sarmani, S.; Majid, A.A.; Hamzah, A.; Khoo, K.S. Modeling of cumulative release on long term leaching behaviour of selected oil sludge from crude oil terminal and petroleum refining plant. J. Radioanal. Nucl. Chem. 2013, 297, 265–270. [Google Scholar] [CrossRef]
  15. Yuan, G.; Liang, R.; Duan, E.; Liu, R. Co-combustion characteristics and kinetic analysis of three different wastes of antibiotic fermentation and coal. Sustain. Energy Fuels 2023, 7, 1793–1803. [Google Scholar] [CrossRef]
  16. Prompubess, C.; Mekasut, L.; Piumsomboon, P.; Kuchontara, P. Co-combustion of coal and biomass in a circulating fluidized bed combustor. Korean J. Chem. Eng. 2007, 24, 985–995. [Google Scholar] [CrossRef]
  17. Li, M. Study on co-combustion characteristics of pulverized coal and different biomass at large mixing ratios. Clean Coal Technol. 2020, 26, 86–92. [Google Scholar] [CrossRef]
  18. Wu, P.; Han, K. Thermpgravimetric analysis and kinetic study on blended fuel of semicoke and straw. Clean Coal Technol. 2022, 28, 134–142. [Google Scholar] [CrossRef]
  19. Kazagic, A.; Smajevic, I. Experimental investigation of ash behavior and emissions during combustion of Bosnian coal and biomass. Energy 2007, 32, 2006–2016. [Google Scholar] [CrossRef]
  20. Liao, X.; Surjit, S.; Yang, H.; Wu, C.; Zhang, S. A thermogravimetric assessment of the tri-combustion process for coal, biomass and polyethylene. Fuel 2020, 287, 119355. [Google Scholar] [CrossRef]
  21. Niu, S.; Chen, M.; Li, Y.; Song, J. Co-combustion characteristics of municipal sewage sludge and bituminous coal. J. Therm. Anal. Calorim. 2018, 131, 1821–1834. [Google Scholar] [CrossRef]
  22. Trache, D. Comments on “Co-pelletization of sewage sludge and biomass: Thermogravimetric analysis and ash deposits”. Fuel Process. Technol. 2016, 153, 173. [Google Scholar] [CrossRef]
  23. Fang, S.; Yu, Z.; Lin, Y.; Hu, S.; Liao, Y.; Ma, X. Thermogravimetric analysis of the co-pyrolysis of paper sludge and municipal solid waste. Energy Convers. Manag. 2015, 101, 626–631. [Google Scholar] [CrossRef]
  24. Scala, F.; Chirone, R. Fluidized bed combustion of alternative solid fuels. Exp. Therm. Fluid Sci. 2003, 28, 691–699. [Google Scholar] [CrossRef]
  25. Li, S.; Niu, S.; Han, K.; Li, Y.; Wang, Y.; Lu, C. Investigating the co-combustion characteristics of oily sludge and ginkgo leaves through thermogravimetric analysis coupled with an artificial neural network. Sci. China (Technol. Sci.) 2022, 65, 261–271. [Google Scholar] [CrossRef]
  26. Abian, M.; Alzueta, M.U.; Carvalho, A.; Rabacal, M.; Costa, M. Role of Potassium and Calcium on the Combustion Characteristics of Biomass Obtained from Thermogravimetric Experiments. Energy Fuels 2017, 31, 12238–12246. [Google Scholar] [CrossRef]
  27. Lysenko, E.N.; Surzhikov, A.P.; Nikolaev, E.V.; Vlasov, V.A.; Zhuravkov, S.P. The oxidation kinetic study of mechanically milled ultrafine iron powders by thermogravimetric analysis. J. Therm. Anal. Calorim. 2018, 134, 307–312. [Google Scholar] [CrossRef]
  28. Greenhalf, C.E.; Nowakowski, D.J.; Harms, A.B.; Titiloye, J.O.; Bridgwater, A.V. A comparative study of straw, perennial grasses and hardwoods in terms of fast pyrolysis products. Fuel 2013, 108, 216–230. [Google Scholar] [CrossRef]
  29. Liu, H.-P.; Liang, W.-X.; Qin, H.; Wang, Q. Synergy in co-combustion of oil shale semi-coke with torrefied cornstalk. Appl. Therm. Eng. 2016, 109, 653–662. [Google Scholar] [CrossRef]
  30. Qin, H.; Wang, W.; Liu, H.; Zhang, L.; Wang, Q.; Shi, C.; Yao, K. Thermal behavior research for co-combustion of furfural residue and oil shale semi-coke. Appl. Therm. Eng. 2017, 120, 19–25. [Google Scholar] [CrossRef]
  31. Kumar, A.; Mylapilli, S.V.P.; Reddy, S.N. Thermogravimetric and kinetic studies of metal (Ru/Fe) impregnated banana pseudo-stem (Musa acuminate). Bioresour. Technol. 2019, 285, 121318. [Google Scholar] [CrossRef] [PubMed]
  32. Miao, W.; Li, X.; Wang, Y.; Lv, Y. Pyrolysis characteristics of oil-field sludge and the comparison of kinetic analysis with two representative methods. J. Pet. Sci. Eng. 2019, 182, 106309. [Google Scholar] [CrossRef]
  33. Cui, B.; Guan, Y.; Bi, W. Non-isothermal Kinetic Analysis on the Thermal Decomposition of the Phase 517 from Hydration Product of Magnesium Sulfide Cement. J. Wuhan Univ. Technol. Mater. Sci. Ed. 2023, 38, 374–380. [Google Scholar] [CrossRef]
  34. Huang, Z.; Zhao, Y.; Qin, L.; Qin, Y. Preparation and Thermal Decomposition Mechanism of Magnesium Oxychloride Cement. J. Wuhan Univ. Technol. 2008, 30, 39–42. [Google Scholar]
  35. Liu, L.; Wang, Z.; Qin, Y. The Combustion Characteristics of Coal Blends under Low Oxygen Atmosphere Using the Thermogravimetric Analyzer. In Proceedings of the 6th Annual International Conference on Material Science and Environmental Engineering (MSEE), Chongqing, China, 23–25 November 2019. [Google Scholar] [CrossRef]
  36. Zhang, L.; Duan, F.; Huang, Y. Effect of organic calcium compounds on combustion characteristics of rice husk, sewage sludge, and bituminous coal: Thermogravimetric investigation. Bioresour. Technol. 2015, 181, 62–71. [Google Scholar] [CrossRef]
  37. Rueda, S.J.; de Vasconcelos, B.R.; Duret, X.; Lavoie, J.-M. Lignin Pellets for Advanced Thermochemical Process-From a Single Pellet System to a Laboratory-Scale Pellet Mill. Energies 2022, 15, 3007. [Google Scholar] [CrossRef]
  38. Wen, H.; Zhang, Y.; Ji, D.; Zhang, G. Co-combustion of oil sludge char and brown coal: Characteristics and kinetics. CIESC J. 2020, 71, 755–765. [Google Scholar]
  39. Zhao, R.; Qin, J.; Chen, T.; Wang, L.; Wu, J. Experimental study on co-combustion of low rank coal semicoke and oil sludge by TG-FTIR. Waste Manag. 2020, 116, 91–99. [Google Scholar] [CrossRef]
  40. Shi, B.; Qiao, F.; Zhang, G.; Liu, X.; Zhang, Y.; Wen, H.; Wang, F.; Zhang, J.; Xu, G. Co-Combustion of Oil Sludge Char and Brown Coal in a Continuous Fluidized-Bed Combustor. Chem. Ing. Tech. 2022, 95, 77–88. [Google Scholar] [CrossRef]
  41. Deng, L.; Qiu, Y.; Jiang, J.; Zhu, Z.; Che, D. Co-combustion characteristics of electrolytic aluminum waste and coal. Fuel 2022, 325, 124890. [Google Scholar] [CrossRef]
Figure 1. TG, DTG and DSC curves of coal (A), wood pellets (B) and oil sludge (C).
Figure 1. TG, DTG and DSC curves of coal (A), wood pellets (B) and oil sludge (C).
Applsci 13 11058 g001
Figure 2. TG (A), DTG (B) and DSC (C) curves of SC and OS blended with different biomass.
Figure 2. TG (A), DTG (B) and DSC (C) curves of SC and OS blended with different biomass.
Applsci 13 11058 g002
Figure 3. TG (A,B), DTG (C,D) and DSC (E,F) curves of tri-fuel under different mixing ratios.
Figure 3. TG (A,B), DTG (C,D) and DSC (E,F) curves of tri-fuel under different mixing ratios.
Applsci 13 11058 g003
Figure 4. The ΔTG curves of tri-fuel under different mixing ratios (high proportion of mixed wood pellets (A) and low proportion of mixed wood pellets (B)).
Figure 4. The ΔTG curves of tri-fuel under different mixing ratios (high proportion of mixed wood pellets (A) and low proportion of mixed wood pellets (B)).
Applsci 13 11058 g004
Figure 5. Experimental curves of combustion of tri-fuel (SC:HTB:OS = 40%:45%:15%) at different heating rates.
Figure 5. Experimental curves of combustion of tri-fuel (SC:HTB:OS = 40%:45%:15%) at different heating rates.
Applsci 13 11058 g005
Figure 6. Comparison between the standard curves and the experimental curve.
Figure 6. Comparison between the standard curves and the experimental curve.
Applsci 13 11058 g006
Table 1. Fuel properties of coal.
Table 1. Fuel properties of coal.
SampleProximate Analysis (wt.%)Ultimate Analysis (wt.%)Qnet,p,ar
kJ kg−1
MadAadVadFCad aCadHadOad aNadSadClad
SC10.5811.0728.9649.3960.463.1712.821.190.700.0119,280
HTB3.626.8372.9416.6144.725.3238.990.480.040.0116,120
KOL3.8211.1068.4116.6742.595.1536.850.430.060.0115,200
BA5.586.0368.5119.8844.215.1438.490.480.050.0216,380
OS39.834.2423.642.3221.793.200.280.180.540.077990
a By difference. ad air dry basis, Qnet,p,ar, lower heating value on an as-received basis.
Table 2. Combustion characteristic parameters of samples.
Table 2. Combustion characteristic parameters of samples.
SamplesBlend Ratio(dw/dt)mean
(% min−1)
(dw/dt)max
(% min−1)
Tmax (°C)Ti (°C)Th (°C)Ci (10−7)Csi
SC-1.04.21487.5398.2572.80.461862
HTB-0.895.69324.3269.9409.31.695581
KOL-0.895.60328.4272.1408.21.655381
BA-0.956.07326.2272.6408.51.885860
OS-0.381.93446.6288.4524.40.171286
SC:KOL:OS50%:30%:20%0.80 4.29 427.0 301.8491.00.77 2859
40%:45%:15%0.91 4.76 441.0 319.1 497.4 0.86 2904
35%:45%:20%0.84 4.28 324.3 265.0 447.0 1.14 4276
SC:BA:OS50%:30%:20%0.64 3.12 417.5 288.5 471.7 0.51 2224
40%:45%:15%0.71 3.79 424.0 318.1 479.9 0.55 2413
35%:45%:20%0.91 4.27 463.4 324.3 514.6 0.72 2439
SC:HTB:OS50%:30%:20%0.56 2.82 423.7 310.2 492.1 0.33 1843
50%:35%:15%0.93 5.57 448.7 358.6 503.9 0.80 2974
50%:40%:10%0.93 6.54 439.5 374.4 502.8 0.86 3410
45%:35%:20%0.50 2.30 437.3 317.5 509.0 0.23 1423
45%:40%:15%0.80 4.36 440.0 440.0 510.7 0.35 1934
45%:45%:10%0.94 5.20 447.5 354.9 514.3 0.75 2812
40%:40%:20%0.87 4.76 438.6 338.6 498.4 0.72 2751
40%:45%:15%0.67 4.11 432.0 353.5 494.5 0.45 2311
40%:50%:10%0.92 4.46 326.7 271.5 455.1 1.22 4314
35%:45%:20%0.91 4.34 326.7 269.8 452.7 1.19 4227
35%:50%:15%0.62 2.67 433.8 294.6 489.9 0.391795
30%:50%:20%0.74 3.47 438.0 313.1 502.0 0.522172
Table 3. Kinetic parameters of SC and tri-fuel.
Table 3. Kinetic parameters of SC and tri-fuel.
SamplesBlend RatioαE (kJ mol−1)A (min−1)f(α)
SC-0.2–0.863.49255.50(1 − α)3.2
SC:KOL:OS50%:30%:20%0.2–0.542.50189.03[−ln(1 − α)]2
0.5–0.837.7192.05[−ln(1 − α)]3
40%:45%:15%0.2–0.543.21192.18[−ln(1 − α)]2
0.5–0.837.8679.55[−ln(1 − α)]3
35%:45%:20%0.2–0.538.36100.43[−ln(1 − α)]2
0.5–0.845.10567.46[−ln(1 − α)]3
SC:BA:OS50%:30%:20%0.2–0.541.28150.32[−ln(1 − α)]2
0.5–0.834.7146.50[−ln(1 − α)]3
40%:45%:15%0.2–0.537.1650.78[−ln(1 − α)]2
0.5–0.836.6259.33[−ln(1 − α)]3
35%:45%:20%0.2–0.536.2766.24[−ln(1 − α)]2
0.5–0.841.07239.30[−ln(1 − α)]3
SC:HTB:OS50%:30%:20%0.2–0.536.8152.91[−ln(1 − α)]2
0.5–0.824.664.26[−ln(1 − α)]3
50%:35%:15%0.2–0.551.59682.45[−ln(1 − α)]2
0.5–0.828.235.62[−ln(1 − α)]3
50%:40%:10%0.2–0.571.3622,029.19[−ln(1 − α)]2
0.5–0.853.46699.46[−ln(1 − α)]3
45%:35%:20%0.2–0.536.2239.72[−ln(1 − α)]2
0.5–0.826.666.27[−ln(1 − α)]3
45%:40%:15%0.2–0.542.42111.83[−ln(1 − α)]2
0.5–0.824.762.77[−ln(1 − α)]3
45%:45%:10%0.2–0.546.86271.30[−ln(1 − α)]2
0.5–0.827.945.48[−ln(1 − α)]3
40%:40%:20%0.2–0.529.0011.70[−ln(1 − α)]2
0.5–0.822.462.05[−ln(1 − α)]3
40%:45%:15%0.2–0.546.76310.25[−ln(1 − α)]2
0.5–0.825.854.13[−ln(1 − α)]3
40%:50%:10%0.2–0.535.8756.39[−ln(1 − α)]2
0.5–0.849.041252.78[−ln(1 − α)]3
35%:45%:20%0.2–0.535.8355.77[−ln(1 − α)]2
0.5–0.846.43698.35[−ln(1 − α)]3
35%:50%:15%0.2–0.533.0529.09[−ln(1 − α)]2
0.5–0.837.3093.81[−ln(1 − α)]3
30%:50%:20%0.2–0.537.2458.54[−ln(1 − α)]2
0.5–0.837.3176.92[−ln(1 − α)]3
Disclaimer/Publisher’s Note: The statements, opinions and data contained in all publications are solely those of the individual author(s) and contributor(s) and not of MDPI and/or the editor(s). MDPI and/or the editor(s) disclaim responsibility for any injury to people or property resulting from any ideas, methods, instructions or products referred to in the content.

Share and Cite

MDPI and ACS Style

Dong, L.; Huang, X.; Ren, J.; Deng, L.; Da, Y. Thermogravimetric Assessment and Differential Thermal Analysis of Blended Fuels of Coal, Biomass and Oil Sludge. Appl. Sci. 2023, 13, 11058. https://doi.org/10.3390/app131911058

AMA Style

Dong L, Huang X, Ren J, Deng L, Da Y. Thermogravimetric Assessment and Differential Thermal Analysis of Blended Fuels of Coal, Biomass and Oil Sludge. Applied Sciences. 2023; 13(19):11058. https://doi.org/10.3390/app131911058

Chicago/Turabian Style

Dong, Lingxiao, Xiaole Huang, Jiyun Ren, Lei Deng, and Yaodong Da. 2023. "Thermogravimetric Assessment and Differential Thermal Analysis of Blended Fuels of Coal, Biomass and Oil Sludge" Applied Sciences 13, no. 19: 11058. https://doi.org/10.3390/app131911058

APA Style

Dong, L., Huang, X., Ren, J., Deng, L., & Da, Y. (2023). Thermogravimetric Assessment and Differential Thermal Analysis of Blended Fuels of Coal, Biomass and Oil Sludge. Applied Sciences, 13(19), 11058. https://doi.org/10.3390/app131911058

Note that from the first issue of 2016, this journal uses article numbers instead of page numbers. See further details here.

Article Metrics

Back to TopTop