The Effect of Cranio-Cervical Position on Core Muscle Activation during the Prone Plank Exercise
Abstract
Featured Application
Abstract
1. Introduction
2. Materials and Methods
2.1. Study Design
2.2. Participants
2.3. Procedures
2.3.1. Familiarisation Session
2.3.2. Experimental Session
2.3.3. sEMG Instrumentation
2.3.4. sEMG Maximal Voluntary Isometric Contraction Measurements
2.3.5. sEMG Data Collection
2.3.6. sEMG Data Analysis
2.3.7. Kinematics Data Collection
2.3.8. RPE Data Collection
2.4. Statistical Analyses
3. Results
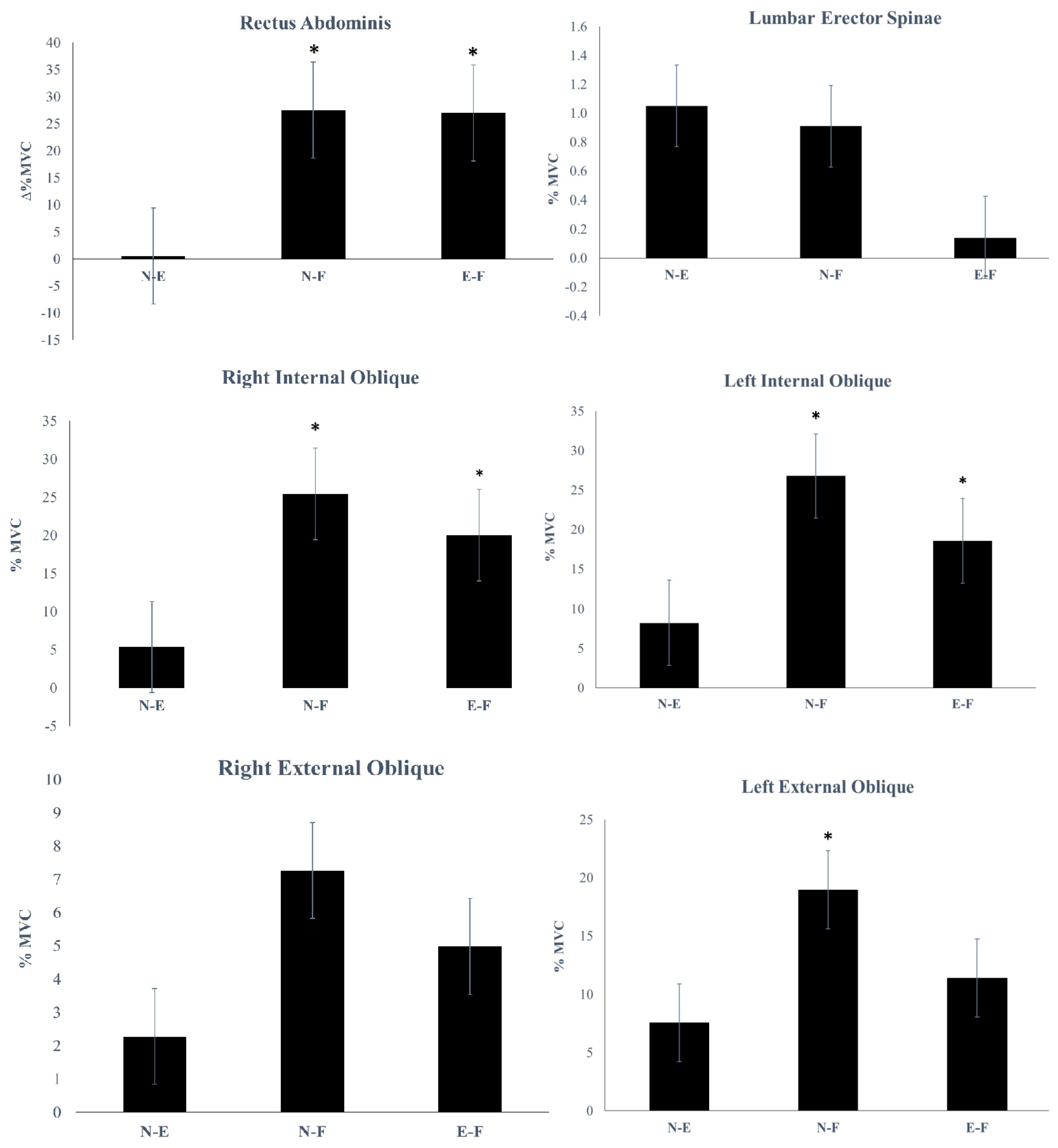
3.1. sEMG Differences across Muscles
3.2. sEMG Differences across Conditions
3.3. Total Intensity and Rating of Perceived Exertion
3.4. Kinematic Analysis
4. Discussion
4.1. Comparison of sEMG Activation across Muscles and Conditions
4.2. Comparison of Perceived Exertion Rating across Conditions
4.3. Biomechanical Foundations and Hypotheses
4.4. Practical Applications and Implications for Future Practice
5. Conclusions
Author Contributions
Funding
Institutional Review Board Statement
Informed Consent Statement
Data Availability Statement
Acknowledgments
Conflicts of Interest
References
- Hoogenboom, B.J.; Kiesel, K. 74—Core Stabilization Training A2—Giangarra, Charles E., 4th ed.; Elsevier Inc.: Amsterdam, The Netherlands, 2018; ISBN 978-0-323-39370-6. [Google Scholar]
- Vera-García, F.J.; Barbado, D.; Moreno-Pérez, V.; Hernández-Sánchez, S.; Juan-Recio, C.; Elvira, J.L.L. Core stability. Concepto y aportaciones al entrenamiento y la prevención de lesiones. Rev. Andal. Med. Del Deporte 2015, 8, 79–85. [Google Scholar] [CrossRef]
- Wirth, K.; Hartmann, H.; Mickel, C.; Szilvas, E.; Keiner, M.; Sander, A. Core Stability in Athletes: A Critical Analysis of Current Guidelines. Sport. Med. 2017, 47, 401–414. [Google Scholar] [CrossRef] [PubMed]
- Willardson, J.M. Core stability training: Applications to sports conditioning programs. J. Strength Cond. Res. 2007, 21, 979–985. [Google Scholar] [CrossRef] [PubMed]
- Huxel Bliven, K.C.; Anderson, B.E. Core Stability Training for Injury Prevention. Sport. Health A Multidiscip. Approach 2013, 5, 514–522. [Google Scholar] [CrossRef] [PubMed]
- McGill, S. Core Training: Evidence Translating to Better Performance and Injury Prevention. Strength Cond. J. 2010, 32, 33–46. [Google Scholar] [CrossRef]
- Behm, D.G.; Drinkwater, E.J.; Willardson, J.M.; Cowley, P.M. The use of instability to train the core musculature. Appl. Physiol. Nutr. Metab. 2010, 35, 91–108. [Google Scholar] [CrossRef]
- La Scala Teixeira, C.V.; Evangelista, A.L.; Silva, M.S.; Bocalini, D.S.; Da Silva-Grigoletto, M.E.; Behm, D.G. Ten Important Facts about Core Training. ACSM Health Fit. J. 2019, 23, 16–21. [Google Scholar] [CrossRef]
- Akuthota, V.; Nadler, S.F. Core strengthening. Arch. Phys. Med. Rehabil. 2004, 85, S86–S92. [Google Scholar] [CrossRef]
- Borghuis, J.; Hof, A.L.; Lemmink, K.A.P.M. The Importance of Sensory-Motor Control in Providing Core Stability. Sport. Med. 2008, 38, 893–916. [Google Scholar] [CrossRef]
- Bergmark, A. Stability of the lumbar spine. A study in mechanical engineering. Acta Orthop. Scand. Suppl. 1989, 230, 1–54. [Google Scholar] [CrossRef]
- Panjabi, M.M. The Stabilizing System of the Spine. Part I. Function, Dysfunction, Adaptation, and Enhancement. J. Spinal Disord. 1992, 5, 383–389. [Google Scholar] [CrossRef] [PubMed]
- McGill, S.M. Low Back Stability: From Formal Description to Issues for Performance and Rehabilitation. Exerc. Sport Sci. Rev. 2001, 29, 26–31. [Google Scholar] [CrossRef]
- Akuthota, V.; Ferreiro, A.; Moore, T.; Fredericson, M. Core Stability Exercise Principles. Curr. Sports Med. Rep. 2008, 7, 39–44. [Google Scholar] [CrossRef] [PubMed]
- Kavcic, N.; Grenier, S.; McGill, S.M. Determining the stabilizing role of individual torso muscles during rehabilitation exercises. Spine 2004, 29, 1254–1265. [Google Scholar] [CrossRef] [PubMed]
- van Dieën, J.H.; Cholewicki, J.; Radebold, A. Trunk Muscle Recruitment Patterns in Patients With Low Back Pain Enhance the Stability of the Lumbar Spine. Spine 2003, 28, 834–841. [Google Scholar] [CrossRef] [PubMed]
- McGill, S.M.; Grenier, S.; Kavcic, N.; Cholewicki, J. Coordination of muscle activity to assure stability of the lumbar spine. J. Electromyogr. Kinesiol. 2003, 13, 353–359. [Google Scholar] [CrossRef]
- Byrne, J.M.; Bishop, N.S.; Caines, A.M.; Crane, K.A.; Feaver, A.M.; Pearcey, G.E.P. Effect of Using a Suspension Training System on Muscle Activation During the Performance of a Front Plank Exercise. J. Strength Cond. Res. 2014, 28, 3049–3055. [Google Scholar] [CrossRef]
- Zemková, E.; Zapletalová, L. Back Problems: Pros and Cons of Core Strengthening Exercises as a Part of Athlete Training. Int. J. Environ. Res. Public Health 2021, 18, 5400. [Google Scholar] [CrossRef]
- Escamilla, R.F.; Lewis, C.; Pecson, A.; Imamura, R.; Andrews, J.R. Muscle Activation Among Supine, Prone, and Side Position Exercises With and Without a Swiss Ball. Sports Health 2016, 8, 372–379. [Google Scholar] [CrossRef]
- Imai, A.; Kaneoka, K.; Okubo, Y.; Shiina, I.; Tatsumura, M.; Izumi, S.; Shiraki, H. Trunk Muscle Activity During Lumbar Stabilization Exercises on Both a Stable and Unstable Surface. J. Orthop. Sport. Phys. Ther. 2010, 40, 369–375. [Google Scholar] [CrossRef]
- Maeo, S.; Takahashi, T.; Takai, Y.; Kanehisa, H. Trunk muscle activities during abdominal bracing: Comparison among muscles and exercises. J. Sports Sci. Med. 2013, 12, 467–474. [Google Scholar] [PubMed]
- Vera-García, F.J.; Barbado, D.; Moreno-Pérez, V.; Hernández-Sánchez, S.; Juan-Recio, C.; Elvira, J.L.L. Core stability: Evaluación y criterios para su entrenamiento. Rev. Andal. Med. Del Deporte 2015, 8, 130–137. [Google Scholar] [CrossRef]
- Oliva-Lozano, J.M.; Muyor, J.M. Core muscle activity during physical fitness exercises: A systematic review. Int. J. Environ. Res. Public Health 2020, 17, 4306. [Google Scholar] [CrossRef] [PubMed]
- Smrcina, Z.; Woelfel, S.; Burcal, C. A systematic review of the effectiveness of core stability exercises in patients with non-specific low back pain. Int. J. Sports Phys. Ther. 2022, 17, 766. [Google Scholar] [CrossRef]
- Hibbs, A.E.; Thompson, K.G.; French, D.; Wrigley, A.; Spears, I. Optimizing performance by improving core stability and core strength. Sports Med. 2008, 38, 995–1008. [Google Scholar] [CrossRef]
- Myrtos, C.D. Low Back Disorders. Evidence-Based Prevention and Rehabilitation. J. Can. Chiropr. Assoc. 2012, 56, 76. [Google Scholar]
- Arundale, A.J.H.; Bizzini, M.; Giordano, A.; Hewett, T.E.; Logerstedt, D.S.; Mandelbaum, B.; Scalzitti, D.A.; Silvers-Granelli, H.; Snyder-Mackler, L. Exercise-Based Knee and Anterior Cruciate Ligament Injury Prevention. J. Orthop. Sport. Phys. Ther. 2018, 48, A1–A42. [Google Scholar] [CrossRef]
- Smith, B.E.; Littlewood, C.; May, S. An update of stabilisation exercises for low back pain: A systematic review with meta-analysis. BMC Musculoskelet. Disord. 2014, 15, 416. [Google Scholar] [CrossRef]
- Kim, M.; Kim, M.; Oh, S.; Yoon, B.C. The Effectiveness of Hollowing and Bracing Strategies With Lumbar Stabilization Exercise in Older Adult Women With Nonspecific Low Back Pain: A Quasi-Experimental Study on a Community-based Rehabilitation. J. Manip. Physiol. Ther. 2018, 41, 1–9. [Google Scholar] [CrossRef]
- Akhtar, M.W.; Karimi, H.; Gilani, S.A. Effectiveness of core stabilization exercises and routine exercise therapy in management of pain in chronic non-specific low back pain: A randomized controlled clinical trial. Pakistan J. Med. Sci. 2017, 33, 1002. [Google Scholar]
- Faciszewski, T. Biomechanics of Spine Stabilization. Spine J. 2001, 1, 304–305. [Google Scholar] [CrossRef]
- McGill, S.M.; Karpowicz, A. Exercises for Spine Stabilization: Motion/Motor Patterns, Stability Progressions, and Clinical Technique. Arch. Phys. Med. Rehabil. 2009, 90, 118–126. [Google Scholar] [CrossRef]
- Grenier, S.G.; McGill, S.M. Quantification of Lumbar Stability by Using 2 Different Abdominal Activation Strategies. Arch. Phys. Med. Rehabil. 2007, 88, 54–62. [Google Scholar] [CrossRef] [PubMed]
- Scannell, J.P.; McGill, S.M. Lumbar posture—Should it, and can it, be modified? A study of passive tissue stiffness and lumbar position during activities of daily living. Phys. Ther. 2003, 83, 907–917. [Google Scholar] [CrossRef]
- García-Jaén, M.; Cortell-Tormo, J.M.; Hernández-Sánchez, S.; Tortosa-Martínez, J. Influence of abdominal hollowing maneuver on the core musculature activation during the prone plank exercise. Int. J. Environ. Res. Public Health 2020, 17, 7410. [Google Scholar] [CrossRef] [PubMed]
- Schoenfeld, B.J.; Contreras, B.; Tiryaki-Sonmez, G.; Willardson, J.M.; Fontana, F. An electromyographic comparison of a modified version of the plank with a long lever and posterior tilt versus the traditional plank exercise. Sport. Biomech. 2014, 13, 296–306. [Google Scholar] [CrossRef] [PubMed]
- Calatayud, J.; Casaña, J.; Martín, F.; Jakobsen, M.D.; Colado, J.C.; Andersen, L.L. Progression of Core Stability Exercises Based on the Extent of Muscle Activity. Am. J. Phys. Med. Rehabil. 2017, 96, 694–699. [Google Scholar] [CrossRef]
- Cortell-Tormo, J.M.; García-Jaén, M.; Chulvi-Medrano, I.; Hernández-Sánchez, S.; Lucas-Cuevas, Á.G.; Tortosa-Martínez, J. Influence of scapular position on the core musculature activation in the prone plank exercise. J. Strength Cond. Res. 2017, 31, 2255–2262. [Google Scholar] [CrossRef]
- Cruz-Montecinos, C.; Bustamante, A.; Candia-González, M.; González-Bravo, C.; Gallardo-Molina, P.; Andersen, L.L.; Calatayud, J. Perceived physical exertion is a good indicator of neuromuscular fatigue for the core muscles. J. Electromyogr. Kinesiol. 2019, 49, 102360. [Google Scholar] [CrossRef]
- Bohannon, R.W.; Steffl, M.; Glenney, S.S.; Green, M.; Cashwell, L.; Prajerova, K.; Bunn, J. The prone bridge test: Performance, validity, and reliability among older and younger adults. J. Bodyw. Mov. Ther. 2018, 22, 385–389. [Google Scholar] [CrossRef]
- Workman, J.C.; Docherty, D.; Parfrey, K.C.; Behm, D.G. Influence of pelvis position on the activation of abdominal and hip flexor muscles. J. Strength Cond. Res. 2008, 22, 1563–1569. [Google Scholar] [CrossRef]
- Drysdale, C.L.; Earl, J.E.; Hertel, J. Surface Electromyographic Activity of the Abdominal Muscles during Pelvic-Tilt and Abdominal-Hollowing Exercises. J. Athl. Train. 2004, 39, 32–36. [Google Scholar]
- Vezina, M.J.; Hubley-Kozey, C.L. Muscle activation in therapeutic exercises to improve trunk stability. Arch. Phys. Med. Rehabil. 2000, 81, 1370–1379. [Google Scholar] [CrossRef] [PubMed]
- García-Jaén, M.; Sanchis-Soler, G.; Casanova-Juliá, M.; Sebastia-Amat, S.; Cortell-Tormo, J.M. Can the craniocervical position modulate trunk muscle activation during a deadlift? A preliminary electromyographical analysis comparing conventional and sumo variations. J. Phys. Educ. Sport 2022, 22, 2904–2912. [Google Scholar] [CrossRef]
- Su, J.G.; Won, S.J.; Gak, H. Effect of craniocervical posture on abdominal muscle activities. J. Phys. Ther. Sci. 2016, 28, 654–657. [Google Scholar] [CrossRef] [PubMed][Green Version]
- Takasaki, H.; Okubo, Y. Deep Neck Flexors Impact Rectus Abdominis Muscle Activity During Active Straight Leg Raising. Int. J. Sports Phys. Ther. 2020, 15, 1044–1051. [Google Scholar] [CrossRef]
- Beaudette, S.M.; Briar, K.J.; Mavor, M.P.; Graham, R.B. The effect of head and gaze orientation on spine kinematics during forward flexion. Hum. Mov. Sci. 2020, 70, 102590. [Google Scholar] [CrossRef]
- Chanthapetch, P.; Kanlayanaphotporn, R.; Gaogasigam, C.; Chiradejnant, A. Abdominal muscle activity during abdominal hollowing in four starting positions. Man. Ther. 2009, 14, 642–646. [Google Scholar] [CrossRef]
- Neumann, P.; Gill, V. Pelvic floor and abdominal muscle interaction: EMG activity and intra-abdominal pressure. Int. Urogynecol. J. Pelvic Floor Dysfunct. 2002, 13, 125–132. [Google Scholar] [CrossRef]
- von Elm, E.; Altman, D.G.; Egger, M.; Pocock, S.J.; Gøtzsche, P.C.; Vandenbroucke, J.P. STROBE Initiative The Strengthening the Reporting of Observational Studies in Epidemiology (STROBE) statement: Guidelines for reporting observational studies. Lancet 2007, 370, 1453–1457. [Google Scholar] [CrossRef]
- Marfell-Jones, M.J.; Stewart, A.D.; de Ridder, J.H. International Standards for Anthropometric Assessment; International Society for the Advancement of Kinanthropometry, Ed.; Open Polytechnic of New Zealand’s Institutional Digital Repository for Research: Wellington, New Zealand, 2012; ISBN 9780620362078. [Google Scholar]
- Robertson, R.J.; Timmer, J.; Dube, J.; Frazee, K.; Goss, F.L.; Dixon, C.; Rutowski, J.; Andreacci, J.; Lenz, B. Concurrent Validation of the OMNI Perceived Exertion Scale for Resistance Exercise. Med. Sci. Sport. Exerc. 2005, 35, 333–341. [Google Scholar] [CrossRef] [PubMed]
- Hermens, H.J.; Freriks, B.; Disselhorst-Klug, C.; Rau, G. Development of recommendations for SEMG sensors and sensor placement procedures. J. Electromyogr. Kinesiol. 2000, 10, 361–374. [Google Scholar] [CrossRef] [PubMed]
- Rutkowska-Kucharska, A.; Szpala, A.; Pieciuk, E. Symmetry of muscle activity during abdominal exercises. Acta Bioeng. Biomech. 2009, 11, 25–30. [Google Scholar] [PubMed]
- Ng, J.K.; Kippers, V.; Richardson, C.A. Muscle fibre orientation of abdominal muscles and suggested surface EMG electrode positions. Electromyogr. Clin. Neurophysiol. 1998, 38, 51–58. [Google Scholar] [PubMed]
- Criswell, E. Cram’s Introduction to Surface Electromyography, 2nd ed.; Jones & Bartlett Publishers: Sudbury, MA, USA, 2010; ISBN 3978-0763732745. [Google Scholar]
- Perotto, A.O.; Delagi, E.F. Anatomical Guide for the Electromyographer: The Limbs and Trunk, 4th ed.; Thomas Charles C Publisher: Springfield, IL, USA, 2011. [Google Scholar]
- Vera-Garcia, F.J.; Moreside, J.M.; McGill, S.M. MVC techniques to normalize trunk muscle EMG in healthy women. J. Electromyogr. Kinesiol. 2010, 20, 10–16. [Google Scholar] [CrossRef]
- Antonaci, F.; Ghirmai, S.; Bono, G.; Nappi, G. Current methods for cervical spine movement evaluation: A review. Clin. Exp. Rheumatol. 2000, 18, 45. [Google Scholar]
- Wu, G.; Siegler, S.; Allard, P.; Kirtley, C.; Leardini, A.; Rosenbaum, D.; Whittle, M.; D’Lima, D.D.; Cristofolini, L.; Witte, H.; et al. ISB recommendation on definitions of joint coordinate system of various joints for the reporting of human joint motion—Part I: Ankle, hip, and spine. J. Biomech. 2002, 35, 543–548. [Google Scholar] [CrossRef]
- Wu, G.; Van Der Helm, F.C.T.; Veeger, H.E.J.; Makhsous, M.; Van Roy, P.; Anglin, C.; Nagels, J.; Karduna, A.R.; McQuade, K.; Wang, X.; et al. ISB recommendation on definitions of joint coordinate systems of various joints for the reporting of human joint motion—Part II: Shoulder, elbow, wrist and hand. J. Biomech. 2005, 38, 981–992. [Google Scholar] [CrossRef]
- Nagai, T.; Clark, N.C.; Abt, J.P.; Sell, T.C.; Heebner, N.R.; Smalley, B.W.; Wirt, M.D.; Lephart, S.M. The Effect of Target Position on the Accuracy of Cervical-Spine-Rotation Active Joint-Position Sense. J. Sport Rehabil. 2015, 25, 58–63. [Google Scholar] [CrossRef]
- Weir, J.P. Quantifying test-retest reliability using the intraclass correlation coefficient and the SEM. J. Strength Cond. Res. 2005, 19, 231–240. [Google Scholar]
- Fleiss, J.L. The Design and Analysis of Clinical Experiments; John Willey and Sons: New York, NY, USA, 1986. [Google Scholar]
- Durlak, J.A. How to Select, Calculate, and Interpret Effect Sizes. J. Pediatr. Psychol. 2009, 34, 917–928. [Google Scholar] [CrossRef] [PubMed]
- Escamilla, R.F.; Lewis, C.; Bell, D.; Bramblet, G.; Daffron, J.; Lambert, S.; Pecson, A.; Imamura, R.; Paulos, L.; Andrews, J.R. Core Muscle Activation During Swiss Ball and Traditional Abdominal Exercises. J. Orthop. Sport. Phys. Ther. 2010, 40, 265–276. [Google Scholar] [CrossRef] [PubMed]
- Ekstrom, R.A.; Donatelli, R.A.; Carp, K.C. Electromyographic Analysis of Core Trunk, Hip, and Thigh Muscles During 9 Rehabilitation Exercises. J. Orthop. Sport. Phys. Ther. 2007, 37, 754–762. [Google Scholar] [CrossRef] [PubMed]
- Okubo, Y.; Kaneoka, K.; Imai, A.; Shiina, I.; Tatsumura, M.; Izumi, S.; Miyakawa, S. Electromyographic Analysis of Transversus Abdominis and Lumbar Multifidus Using Wire Electrodes During Lumbar Stabilization Exercises. J. Orthop. Sport. Phys. Ther. 2010, 40, 743–750. [Google Scholar] [CrossRef] [PubMed]
- Shirado, O.; Ito, T.; Kaneda, K.; Strax, T.E. Electromyographic analysis of four techniques for isometric trunk muscle exercises. Arch. Phys. Med. Rehabil. 1995, 76, 225–229. [Google Scholar] [CrossRef]
- Massó, N.; Rey, F.; Romero, D.; Gual, G.; Costa, L.; Germán, A. Aplicaciones de la electromiografía de superficie en el deporte. Apunt. Sports Med. 2010, 45, 127–136. [Google Scholar]
- Caneiro, J.P.; O’Sullivan, P.; Burnett, A.; Barach, A.; O’Neil, D.; Tveit, O.; Olafsdottir, K. The influence of different sitting postures on head/neck posture and muscle activity. Man. Ther. 2010, 15, 54–60. [Google Scholar] [CrossRef]
- Claus, A.P.; Hides, J.A.; Moseley, G.L.; Hodges, P.W. Thoracic and lumbar posture behaviour in sitting tasks and standing: Progressing the biomechanics from observations to measurements. Appl. Ergon. 2016, 53, 161–168. [Google Scholar] [CrossRef]
- Wilke, J.; Krause, F.; Vogt, L.; Banzer, W. What Is Evidence-Based About Myofascial Chains: A Systematic Review. Arch. Phys. Med. Rehabil. 2016, 97, 454–461. [Google Scholar] [CrossRef]
- Liebsch, C.; Wilke, H.-J. Chapter 3—Basic Biomechanics of the Thoracic Spine and Rib Cage. In Biomechanics of the Spine; Galbusera, F., Wilke, H.-J., Eds.; Academic Press: Cambridge, MA, USA, 2018; pp. 35–50. ISBN 978-0-12-812851-0. [Google Scholar]
- Bogduk, N.; Mercer, S. Biomechanics of the cervical spine. I: Normal kinematics. Clin. Biomech. 2000, 15, 633–648. [Google Scholar] [CrossRef]
- Castanharo, R.; Duarte, M.; McGill, S. Corrective sitting strategies: An examination of muscle activity and spine loading. J. Electromyogr. Kinesiol. 2014, 24, 114–119. [Google Scholar] [CrossRef] [PubMed]
- O’Sullivan, P.B.; Dankaerts, W.; Burnett, A.F.; Farrell, G.T.; Jefford, E.; Naylor, C.S.; O’Sullivan, K.J. Effect of different upright sitting postures on spinal-pelvic curvature and trunk muscle activation in a pain-free population. Spine 2006, 31, E707–E712. [Google Scholar] [CrossRef] [PubMed]
- Teyhen, D.S.; Bluemle, L.N.; Dolbeer, J.A.; Baker, S.E.; Molloy, J.M.; Whittaker, J.; Childs, J.D. Changes in Lateral Abdominal Muscle Thickness During the Abdominal Drawing-in Maneuver in Those With Lumbopelvic Pain. J. Orthop. Sport. Phys. Ther. 2009, 39, 791–798. [Google Scholar] [CrossRef] [PubMed]



| Exercise | Protocol |
|---|---|
| Traditional prone plank | Face-down lying with both fists on the floor, feet shoulder width apart, and lumbar, thoracic, and cervical spine, pelvis, and scapulae in a neutral position. Elbows spaced shoulder width apart directly below the glenohumeral joint. Lift the body up on the forearms and toes. |
| Experimental plank conditions | |
| Neutral | Perform the traditional prone plank protocol as described here. |
| Flexion | From the traditional prone plank, perform a full cranio-cervical flexion and actively maintain the posture contracting the neck flexor musculature. |
| Extension | From the traditional prone plank, perform a full cranio-cervical extension and actively maintain the posture contracting the neck extensor musculature. |
| Experimental Conditions | |||||||||
|---|---|---|---|---|---|---|---|---|---|
| Neutral | Flexion | Extension | |||||||
| Muscles | Mean ± SD | 95% CI | ICC(2,1) | Mean ± SD | 95% CI | ICC(2,1) | Mean ± SD | 95% CI | ICC(2,1) |
| RA | 33.20 ± 26.23 | 20.93–45.47 | 0.986 | 60.69 ± 40.51 | 41.73–79.65 | 0.939 | 33.71 ± 32.06 | 18.71–48.71 | 0.942 |
| ES | 4.28 ± 1.49 | 3.58–4.98 | 0.968 | 5.19 ± 2.20 | 4.16–6.23 | 0.740 | 5.33 ± 2.34 | 4.23–6.43 | 0.974 |
| LEO | 29.84 ± 12.44 | 23.21–36.47 | 0.975 | 42.84 ± 23.12 | 30.52–55.16 | 0.945 | 31.44 ± 16.74 | 22.52–40.36 | 0.939 |
| REO | 27.39 ± 12.04 | 21.75–33.02 | 0.946 | 34.65 ± 16.72 | 26.82–42.48 | 0.759 | 29.67 ± 14.51 | 22.88–36.46 | 0.926 |
| LIO | 28.64 ± 14.86 | 21.69–35.60 | 0.982 | 55.41 ± 26.96 | 42.79–68.03 | 0.943 | 36.87 ± 26.05 | 24.68–49.06 | 0.951 |
| RIO | 31.46 ± 19.32 | 22.42–40.50 | 0.992 | 56.87 ± 29.66 | 42.99–70.75 | 0.982 | 36.82 ± 22.22 | 26.42–47.21 | 0.976 |
| Total Intensity | Rating of Perceived Exertion | ||||||
|---|---|---|---|---|---|---|---|
| Testing Conditions | Mean ± SD | 95% CI | Mean ± SD | 95% CI | ICC(2,1) | ||
| Low High | Low High | ||||||
| Neutral | 23.772 ± 10.237 | 18.981 | 28.563 | 3.225 ± 1.280 | 2.626 | 3.824 | 0.966 |
| Flexion | 39.366 ± 15.389 * | 32.163 | 46.567 | 4.750 ± 1.717 ‡ | 3.947 | 5.554 | 0.962 |
| Extension | 26.692 ± 13.634 | 20.310 | 33.073 | 4.525 ± 1.686 † | 3.736 | 5.314 | 0.931 |
Disclaimer/Publisher’s Note: The statements, opinions and data contained in all publications are solely those of the individual author(s) and contributor(s) and not of MDPI and/or the editor(s). MDPI and/or the editor(s) disclaim responsibility for any injury to people or property resulting from any ideas, methods, instructions or products referred to in the content. |
© 2023 by the authors. Licensee MDPI, Basel, Switzerland. This article is an open access article distributed under the terms and conditions of the Creative Commons Attribution (CC BY) license (https://creativecommons.org/licenses/by/4.0/).
Share and Cite
García-Jaén, M.; Konarski, J.M.; Hernández-Sánchez, S.; Cortell-Tormo, J.M. The Effect of Cranio-Cervical Position on Core Muscle Activation during the Prone Plank Exercise. Appl. Sci. 2023, 13, 10970. https://doi.org/10.3390/app131910970
García-Jaén M, Konarski JM, Hernández-Sánchez S, Cortell-Tormo JM. The Effect of Cranio-Cervical Position on Core Muscle Activation during the Prone Plank Exercise. Applied Sciences. 2023; 13(19):10970. https://doi.org/10.3390/app131910970
Chicago/Turabian StyleGarcía-Jaén, Miguel, Jan M. Konarski, Sergio Hernández-Sánchez, and Juan Manuel Cortell-Tormo. 2023. "The Effect of Cranio-Cervical Position on Core Muscle Activation during the Prone Plank Exercise" Applied Sciences 13, no. 19: 10970. https://doi.org/10.3390/app131910970
APA StyleGarcía-Jaén, M., Konarski, J. M., Hernández-Sánchez, S., & Cortell-Tormo, J. M. (2023). The Effect of Cranio-Cervical Position on Core Muscle Activation during the Prone Plank Exercise. Applied Sciences, 13(19), 10970. https://doi.org/10.3390/app131910970

