Analysis of Grating Lobe Effects on GEO DSC Distributed Antennas
Abstract
:1. Introduction
- We established a distributed antenna cooperative transmission scenario for DSC systems, utilizing multiple DSC satellites equipped with antennas operating in the same frequency band. Moreover, we present the cooperative transmission principles of DSC distributed antennas at both the satellite and ground ends. Furthermore, mathematical expressions for the synthesis of far-field signal strength and the far-field antenna pattern of DSC distributed antennas are provided.
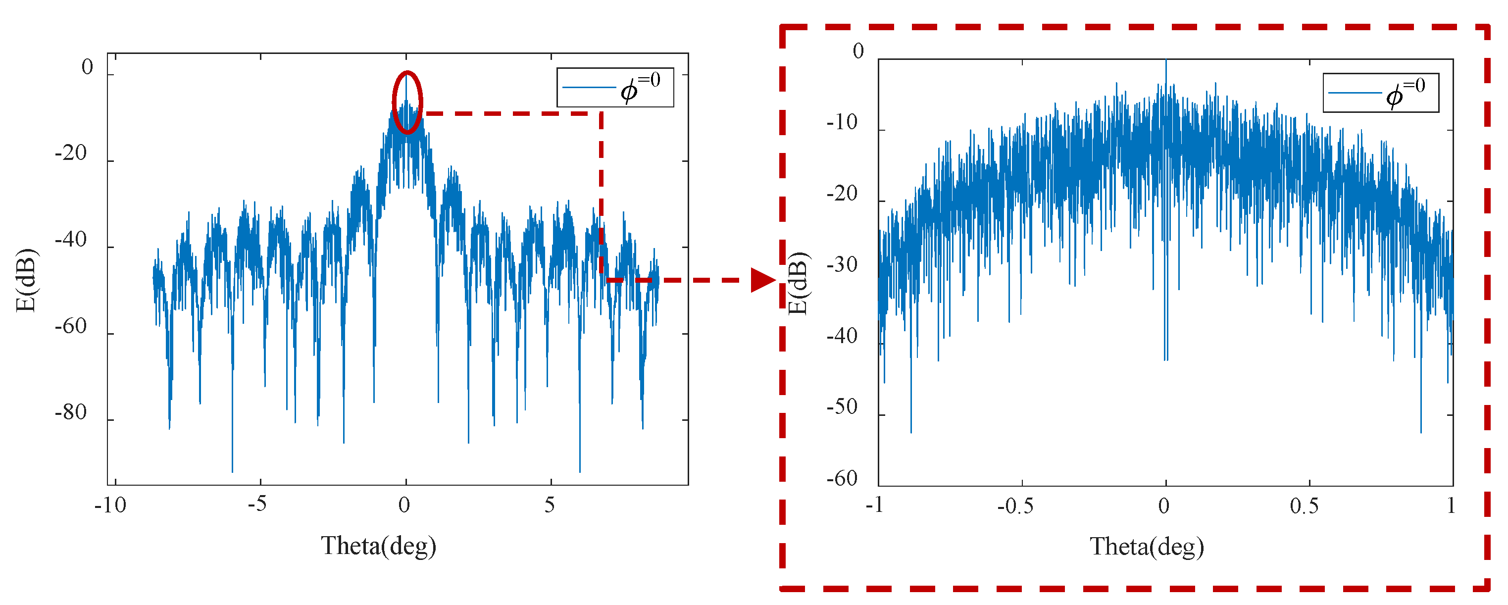
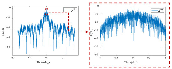
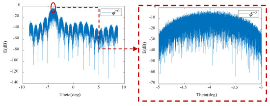
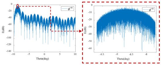
- Considering the grating lobe effect of DSC distributed antennas during the cooperative transmission process, a simulation analysis was conducted on the far-field pattern of DSC distributed antennas by changing the relative positions and carrier phases of the distributed antennas in the scenario of two DSC satellites. The simulation results indicate that the relative positions of the satellites will affect the interference patterns, and changes in the carrier phase will result in the translation of interference patterns.
- In order to effectively avoid the occurrence of grating lobes, we considered each individual DSC satellite as an antenna element, while the satellites themselves formed a super-sparse array with a non-periodic arrangement. The antenna patterns of two different array layouts, namely, uniform and non-periodic arrangements of 10 satellites in clusters, were simulated and analyzed. The simulation results indicate that non-periodic array can mitigate the appearance of grating lobes, but it disperses the energy of the grating lobes into the sidelobe region, resulting in an overall increase in the sidelobe level. To control the overall sidelobe level, further optimization of the layout is required.
2. DSC Distributed Antenna Cooperative Transmission
2.1. Scenario Modelling
2.2. Antenna Arraying
3. Analysis of Grating Lobes in DSC Distributed Antennas
3.1. Grating Lobe Effect
3.2. Two Satellite Antennas
3.3. Grating Lobe Suppression
3.3.1. Spatial Grating Lobe Suppression
3.3.2. Signal Domain Grating Lobe Suppression
4. Suppression of Grating Lobes Using Sparse Arrays
4.1. Layout of a Single Satellite Antenna Array
4.2. Distributed Antenna Array for DSC
4.2.1. Uniform Array
4.2.2. Sparse Array
5. Conclusions
Author Contributions
Funding
Data Availability Statement
Conflicts of Interest
References
- He, Y.; Wang, C. Optimization Design for Sparse Planar Array in Satellite Communications. Electronics 2023, 12, 1763. [Google Scholar] [CrossRef]
- Merlo, J.M.; Mghabghab, S.R.; Nanzer, J.A. Wireless Picosecond Time Synchronization for Distributed Antenna Arrays. IEEE Trans. Microw. Theory Tech. 2023, 71, 1720–1731. [Google Scholar] [CrossRef]
- Awan, W.A.; Naqvi, S.I.; Ali, W.A.E.; Hussain, N.; Iqbal, A.; Tran, H.H.; Alibakhshikenari, M.; Limiti, E. Design and realization of a frequency reconfigurable antenna with wide, dual, and single-band operations for compact sized wireless applications. Electronics 2021, 10, 1321. [Google Scholar] [CrossRef]
- Alibakhshikenari, M.; Virdee, B.S.; See, C.H.; Shukla, P.; Moghaddam, S.M.; Zaman, A.U.; Shafqaat, S.; Akinsolu, M.O.; Liu, B.; Yang, J.; et al. Dual-polarized highly folded bowtie antenna with slotted self-grounded structure for sub-6 GHz 5G applications. IEEE Trans. Antennas Propag. 2021, 70, 3028–3033. [Google Scholar] [CrossRef]
- Tuzi, D.; Delamotte, T.; Knopp, A. Satellite Swarm-Based Antenna Arrays for 6G Direct-to-Cell Connectivity. IEEE Access 2023, 11, 36907–36928. [Google Scholar] [CrossRef]
- Hasnain, S.N.; Stephan, R.; Brachvogel, M.; Michael, M.; Hein, M.A. Performance of distributed antenna sub-arrays for robust satellite navigation in automotive applications. Eur. J. Navig. 2019, 19, 11–18. [Google Scholar]
- Li, C.; Zhu, H.; Cai, J.; Hu, J.; Li, G.; Li, G. Capacity analysis of terrestrial antenna array in distributed satellite MIMO communication system. IEEE Trans. Veh. Technol. 2021, 70, 4435–4450. [Google Scholar] [CrossRef]
- Zhou, D.; Sheng, M.; Li, B.; Li, J.; Han, Z. Distributionally robust planning for data delivery in distributed satellite cluster network. IEEE Trans. Wirel. Commun. 2019, 18, 3642–3657. [Google Scholar] [CrossRef]
- Dolgopolov, A.V.; Smith, P.M.; Stroup, T.; Christensen, C.B.; Starzyk, J.; Jones, T. Analysis of the Commercial Satellite Industry, Key Indicators and Global Trends. In Proceedings of the ASCEND 2020, Las Vegas, NV, USA, 16–18 November 2020; p. 4244. [Google Scholar]
- Peng, C.; He, Y.; Zhao, S.; Song, L.; Deng, B. Integration of Data Center Into The Distributed Satellite Cluster Networks: Challenges, Techniques, And Trends. IEEE Netw. 2022, 37, 52–58. [Google Scholar] [CrossRef]
- He, Y.; Sheng, B.; Yin, H.; Liu, Y.; Zhang, Y. Distributed Satellite Cluster Laser Networking Algorithm with Double-Layer Markov DRL Architecture. Space Sci. Technol. 2023, 3, 0012. [Google Scholar] [CrossRef]
- Mghabghab, S.; Ouassal, H.; Nanzer, J.A. Wireless frequency synchronization for coherent distributed antenna arrays. In Proceedings of the 2019 IEEE International Symposium on Antennas and Propagation and USNC-URSI Radio Science Meeting, Atlanta, GA, USA, 7–12 July 2019; pp. 1575–1576. [Google Scholar]
- Jones, D.L. Weak-Signal Phase Calibration Strategies for Large DSN Arrays. In Proceedings of the 2005 IEEE Aerospace Conference, Big Sky, MT, USA, 5–12 March 2005; pp. 1150–1157. [Google Scholar]
- Mileant, A.; Hinedi, S. Overview of Arraying Techniques in the Deep Space Network. In The Telecommunications and Data Acquisition Report; NASA: Washington, DC, USA, 1991. [Google Scholar]
- Balanis C, A. Antenna Theory: Analysis and Design; John Wiley & Sons: Hoboken, NJ, USA, 2016. [Google Scholar]
- Tang, T.; Su, W.; Han, Y.; Li, J. Research on Spatial Power Combining Efficiency of High Power Radar. Radar Sci. Technol. 2013, 11, 325–328. [Google Scholar]
- Daly, M.P.; Bernhard, J.T. Directional modulation technique for phased arrays. IEEE Trans. Antennas Propag. 2009, 57, 2633–2640. [Google Scholar] [CrossRef]
- Delos, P.; Broughton, B.; Kraft, J. Phased array antenna patterns—Part 2: Grating lobes and beam squint. Analog. Dialogue 2020, 54, 1–4. [Google Scholar]
- Zhu, J.; Lei, P.; Wang, J.; Zhang, Y.; Yuan, C. Grating Lobe Suppression and Angle Estimation Based on Virtual Antennas Filling in Sparse Array. IEEE Antennas Wirel. Propag. Lett. 2022, 22, 502–506. [Google Scholar] [CrossRef]
- Barott, W.C.; Steffes, P.G. Grating lobe reduction in aperiodic linear arrays of physically large antennas. IEEE Antennas Wirel. Propag. Lett. 2008, 8, 406–408. [Google Scholar] [CrossRef]
- Dillon, J. Grating lobe prediction and deconvolution for synthetic aperture sonar. J. Acoust. Soc. Am. 2018, 144 (Suppl. S3), 1685. [Google Scholar] [CrossRef]
- Hua, G.; Abeysekera, S.S. Receiver design for range and Doppler sidelobe suppression using MIMO and phased-array radar. IEEE Trans. Signal Process. 2012, 61, 1315–1326. [Google Scholar] [CrossRef]


















| (m) | = 8 | = 16 | = 24 |
| 100 | 1.6 | 4.54 | 6.1 |
| 120 | 1.72 | 4.35 | 6.2 |
| 140 | 1.80 | 4.60 | |
| 160 | 1.77 | 4.37 |
| Scanning Angle () | |||
) | 2.09 | 1.59 | 1.55 |
Disclaimer/Publisher’s Note: The statements, opinions and data contained in all publications are solely those of the individual author(s) and contributor(s) and not of MDPI and/or the editor(s). MDPI and/or the editor(s) disclaim responsibility for any injury to people or property resulting from any ideas, methods, instructions or products referred to in the content. |
© 2023 by the authors. Licensee MDPI, Basel, Switzerland. This article is an open access article distributed under the terms and conditions of the Creative Commons Attribution (CC BY) license (https://creativecommons.org/licenses/by/4.0/).
Share and Cite
Wang, C.; He, Y.; Qi, C. Analysis of Grating Lobe Effects on GEO DSC Distributed Antennas. Appl. Sci. 2023, 13, 10912. https://doi.org/10.3390/app131910912
Wang C, He Y, Qi C. Analysis of Grating Lobe Effects on GEO DSC Distributed Antennas. Applied Sciences. 2023; 13(19):10912. https://doi.org/10.3390/app131910912
Chicago/Turabian StyleWang, Changxu, Yuanzhi He, and Chengwu Qi. 2023. "Analysis of Grating Lobe Effects on GEO DSC Distributed Antennas" Applied Sciences 13, no. 19: 10912. https://doi.org/10.3390/app131910912
APA StyleWang, C., He, Y., & Qi, C. (2023). Analysis of Grating Lobe Effects on GEO DSC Distributed Antennas. Applied Sciences, 13(19), 10912. https://doi.org/10.3390/app131910912

