Advances in Riblets Design
Abstract
1. Introduction
2. Physics of Riblets
3. Experimental Investigation of Riblets Performance
3.1. Wind Tunnel Testing
| Researcher | Laboratory | Riblet Geometry | Material | Instruments | Description |
|---|---|---|---|---|---|
| Walsh [23] | NASA Langley, close loop low-speed wind tunnel, Test section: | Flat plate, triangular | Aluminum machined plate | Floating balance, hot wire | = 12, = 12, U = 7.6–43 m/s Drag reduction: 4% |
| Flat plate, semi-circular | = 16, = 8, U = 7.6–43 m/s Drag reduction: 4% | ||||
| Choi [65] | Applied Fluid Mechanics Division British Maritime Technology Ltd., Open loop wind tunnel, Test section: | Flat plate, bladed | machine cut of soft steel | Surface flush hot film, flow visualization by smoke wire, microphone | = 4600, , , U = 3 m/s |
| Gaudet [88] | Royal Aerospace, UK Test section: | Flat plate, triangular | 3M | Floating balance, traverse, pressure probe | h = 50 mic, h/s = 1, Re > M = 1.25 Drag reduction: 7% |
| Nieuwstadt et al. [55] | Technical University of Delft Test section: | Flat plate, triangular | Machined and flattened PVC pipe | Drag balance, pitot probe, static pressure tapings | APG and ZPG, h = s = 0.36 mm–0.64 mm, = 13, U = 4 m/s–17 m/s, Drag reduction in ZPG: 5% Drag reduction in APG:7% |
| Park et al. [80] | University of Maryland, open low-speed wind tunnel, | Flat plate, triangular | Fiberglass | Hot wire, sensor probe | U = 1–5.5 m/s, in 1.29 m/s the Drag reduction: 4% |
| Viswanath et al. [97] | National Aerospace Laboratories, India | Airfoil, Supercritical airfoil ADA-S1, triangular | 3M | Pitot probe, static pressure tapings, | M = 0.6–0.76, Rec = 3 × 106 Riblet heights = 0.033–0.018 mm means |
| Sundaram et al. [63] | National Aerospace Laboratories, India Test section: | Airfoil, NACA 0012 Triangular | 3M | Hot wire, pitot probe, static pressure tapings, oil-flow visualization | U = 30 m/s, Rec = 1 × 106, |
| Lee et al. [92] | Pohang University of Science and Technology, closed-loop wind tunnel, Test section: | Flat late, semi-circular | Hot wire, Olive-oil atomizer and Smoke wire, laser sheet, PIV | U = 3–5 m/s S+ = 25.2, 40.6 = 2340–4950 h/s = 0.192 | |
| Han et al. [83] | Pohang University of Science and Technology, Closed-loop wind tunnel Test section: | Airfoil NACA 0012 and Cylinder, Triangular | Polydimethylsiloxane (PDMS) micro-molding technique | Drag balance, PIV | Spacing = 300 , height = 180 Airfoil drag reduction: 4.3% in U = 3.3 m/s Cylinder drag reduction: 7.6% in U = 3 m/s |
| Lee et al. [99] | Pohang University of Science and Technology, closed-loop wind tunnel Test section: | Airfoil, NACA 0012, spaced triangular micro-riblet films | Polydimethylsiloxane (PDMS) micro-molding technique | Drag balance, PIV | , Airfoil chord = 75 mm, Drag reduction: 6.6% at U = 3 m/s |
| Saravi et al. [90] | Brunel University, Vertical blower Test section: | Flat plate, Serrate-Semi-Circular | Fly-cutting method on aluminum plate | Hot wire, Pitot probe Microphone | = 14–19.5, = 7.5–10.5, U = 30 m/s Drag reduction: 7% |
| Zhang et al. [40] | Chinese Academy of Sciences, Test section: | Flat plate, triangular | Hot wire, traverse mechanism | = = 18.7, U = 8.5 m/s, based on BL thickness = 2130–2101, Drag reduction = 6.6% | |
| Muhammad et al. [51] | Brunel University, open loop wind tunnel, Test section: | Flat plate, trapezoidal | 3D printing by stereolithography | Hot wire, probe microphone | = 27.1,31.9,38.7, = 12.2,14.3,17.4 U = 10, 12, 15 m/s, |
3.2. Flight Tests and In-Service Applications of Riblets
4. Manufacturing and Fabrication of Riblets
5. Computational Efforts
6. Crossflows and Riblet Surfaces
7. Pressure Gradients in Riblet Surfaces
8. Fluctuating Terms of the Flow
8.1. Riblet Effects on Velocity Fluctuations
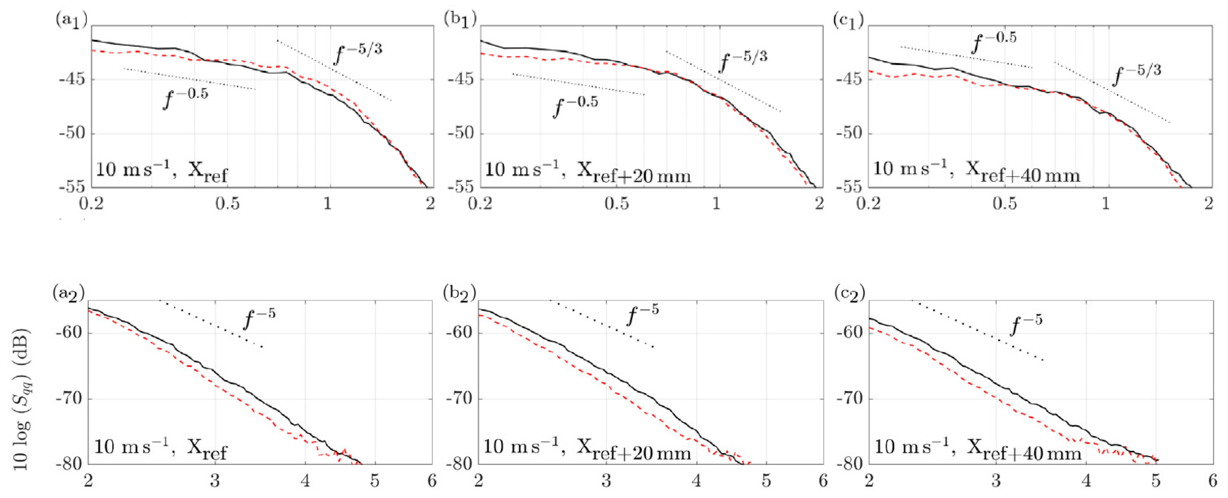
8.2. Effects of Riblets on Wall Pressure Fluctuations
8.3. Far-Field Noise
9. Contamination and Deterioration in Riblets
10. Highlighted Challenges
11. Summary
Author Contributions
Funding
Conflicts of Interest
References
- Hwang, J.; Jeong, Y.; Park, J.M.; Lee, K.H.; Hong, J.W.; Choi, J. Biomimetics: Forecasting the Future of Science, Engineering, and Medicine. Int. J. Nanomed. 2015, 10, 5701. [Google Scholar] [CrossRef]
- Bhushan, B. Biomimetics: Lessons from Naturean Overview. Philos. Trans. R. Soc. A Math. Phys. Eng. Sci. 2009, 367, 1445–1486. [Google Scholar] [CrossRef]
- Bhushan, B. Biomimetics. Philos. Trans. R. Soc. A Math. Phys. Eng. Sci. 2009, 367, 1443–1444. [Google Scholar] [CrossRef]
- Zhang, Y.; Meng, W.; Fan, B.; Tang, W. Biomimetic Optimization Research on Wind Noise Reduction of an Asymmetric Cross-Section Bar. Springerplus 2016, 5, 1221. [Google Scholar] [CrossRef] [PubMed]
- Jung, Y.C.; Bhushan, B. Biomimetic Structures for Fluid Drag Reduction in Laminar and Turbulent Flows. J. Phys. Condens. Matter 2010, 22, 035104. [Google Scholar] [CrossRef] [PubMed]
- Bechert, D.W.; Bruse, M.; Hage, W.; Meyer, R. Fluid Mechanics of Biological Surfaces and Their Technological Application. Naturwissenschaften 2000, 87, 157–171. [Google Scholar] [CrossRef]
- Jo, S.; Ahn, S.; Lee, H.; Jung, C.-M.; Song, S.; Kim, D.R. Water-Repellent Hybrid Nanowire and Micro-Scale Denticle Structures on Flexible Substrates of Effective Air Retention. Sci. Rep. 2018, 8, 16631. [Google Scholar] [CrossRef]
- Jiakun, H.; Zhe, H.; Fangbao, T.; Gang, C. Review on Bio-Inspired Flight Systems and Bionic Aerodynamics. Chin. J. Aeronaut. 2021, 34, 170–186. [Google Scholar] [CrossRef]
- Weger, H.; Weger, M.; Klaas, M.; Schröder, W. Features of Owl Wings That Promote Silent Flight. Interface Focus 2017, 7, 78. [Google Scholar] [CrossRef]
- Jaworski, J.W.; Peake, N. Aeroacoustics of Silent Owl Flight. Annu. Rev. Fluid Mech. 2020, 52, 395–420. [Google Scholar] [CrossRef]
- Clark, C.J.; Lepiane, K.; Liu, L. Evolution and Ecology of Silent Flight in Owls and Other Flying Vertebrates. Integr. Org. Biol. 2020, 2, obaa001. [Google Scholar] [CrossRef]
- Sagar, P.; Teotia, P.; Sahlot, A.D.; Thakur, H.C. An Analysis of Silent Flight of Owl. Mater. Today Proc. 2017, 4, 8571–8575. [Google Scholar] [CrossRef]
- Wang, Y.; Zhao, K.; Lu, X.Y.; Song, Y.B.; Bennett, G.J. Bio-Inspired Aerodynamic Noise Control: A Bibliographic Review. Appl. Sci. 2019, 9, 2224. [Google Scholar] [CrossRef]
- Dean, B.; Bhushan, B. Shark-Skin Surfaces for Fluid-Drag Reduction in Turbulent Flow: A Review. Philos. Trans. R. Soc. A Math. Phys. Eng. Sci. 2010, 368, 4775–4806. [Google Scholar] [CrossRef] [PubMed]
- Bechert, D.W.; Hoppe, G.; Reif, W.E. On the Drag Reduction of the Shark Skin. In Proceedings of the 23rd Aerospace Sciences Meeting, Reno, NV, USA, 14–17 January 1985. [Google Scholar] [CrossRef]
- Bechert, D.W.; Bartenwerfer, M.; Hoppe, G.; Reif, W.-E. Drag Reduction Mechanisms Derived from Shark Skin. AIAA 1986, 2, 1044–1068. [Google Scholar]
- Fu, Y.F.; Yuan, C.Q.; Bai, X.Q. Marine Drag Reduction of Shark Skin Inspired Riblet Surfaces. Biosurf. Biotribol. 2017, 3, 11–24. [Google Scholar] [CrossRef]
- Bechert, D.W.; Hage, W. Drag Reduction with Riblets in Nature and Engineering. In Flow Phenomena in Nature; WIT Press: Southampton, UK, 2006; Volume 2, pp. 457–504. [Google Scholar]
- Nature as a Role Model: Lufthansa Group and BASF Roll Out Sharkskin Technology. Available online: https://www.basf.com/global/en/media/news-releases/2021/05/p-21-204.html (accessed on 3 May 2021).
- Brostow, W. Drag Reduction in Flow: Review of Applications, Mechanism and Prediction. J. Ind. Eng. Chem. 2008, 14, 409–416. [Google Scholar] [CrossRef]
- Martin, S.; Bhushan, B. Modeling and Optimization of Shark-Inspired Riblet Geometries for Low Drag Applications. J. Colloid. Interface Sci. 2016, 474, 206–215. [Google Scholar] [CrossRef]
- Bixler, G.D.; Bhushan, B. Shark Skin Inspired Low-Drag Microstructured Surfaces in Closed Channel Flow. J. Colloid. Interface Sci. 2013, 393, 384–396. [Google Scholar] [CrossRef]
- WALSH, M. Turbulent Boundary Layer Drag Reduction Using Riblets. In Proceedings of the 20th Aerospace Science Meeting, Orlando, FL, USA, 11–14 January 1982. [Google Scholar] [CrossRef]
- Bhushan, B. Nanotribology and Nanomechanics: An Introduction, 4th ed.; Springer: Berlin/Heidelberg, Germany, 2017; pp. 1–928. [Google Scholar] [CrossRef]
- Choi, K.S. Smart Flow Control with Riblets. Adv. Mat. Res. 2013, 745, 27–40. [Google Scholar] [CrossRef]
- Walsh, M.J.; Lindemann, A.M. Optimization and Application of Riblets for Turbulent Drag Reduction. In Proceedings of the 22nd Aerospace Sciences Meeting, Reno, NV, USA, 9–12 January 1984. [Google Scholar] [CrossRef]
- Xu, F.; Zhong, S.; Zhang, S. Vortical Structures and Development of Laminar Flow over Convergent-Divergent Riblets. Phys. Fluids 2018, 30, 051901. [Google Scholar] [CrossRef]
- Guo, T.; Zhong, S.; Craft, T. Secondary Flow in a Laminar Boundary Layer Developing over Convergent-Divergent Riblets. Int. J. Heat Fluid Flow 2020, 84, 108598. [Google Scholar] [CrossRef]
- Walsh, M. Drag Characteristics of V-Groove and Transverse Curvature Riblets. In Viscous Flow Drag Reduction; American Institute of Aeronautics and Astronautics, Inc.: Reston, VA, USA, 1980; pp. 168–184. [Google Scholar] [CrossRef]
- Bechert, D.W.; Bruse, M.; Hage, W. Experiments with Three-Dimensional Riblets as an Idealized Model of Shark Skin. Exp. Fluids 2000, 28, 403–412. [Google Scholar] [CrossRef]
- Sareen, A.; Deters, R.W.; Henry, S.P.; Selig, M.S. Drag Reduction Using Riblet Film Applied to Airfoils for Wind Turbines. J. Sol. Energy Eng. Trans. ASME 2014, 136, 021007. [Google Scholar] [CrossRef]
- Martin, S.; Bhushan, B. Fluid Flow Analysis of Continuous and Segmented Riblet Structures. RSC Adv. 2016, 6, 10962–10978. [Google Scholar] [CrossRef]
- Wen, L.; Weaver, J.C.; Lauder, G.V. Biomimetic Shark Skin: Design, Fabrication and Hydrodynamic Function. J. Exp. Biol. 2014, 217, 1656–1666. [Google Scholar] [CrossRef]
- WALSH, M.; WEINSTEIN, L. Drag and Heat Transfer on Surfaces with Small Longitudinal Fins. In Proceedings of the 11th Fluid and PlasmaDynamics Conference, Seattle, WA, USA, 10–12 July 1978. [Google Scholar] [CrossRef]
- Bechert, D.W.; Bruse, M.; Hage, W.; Van Der Hoeven, J.G.T.; Hoppe, G. Experiments on Drag-Reducing Surfaces and Their Optimization with an Adjustable Geometry. J. Fluid Mech. 1997, 338, 59–87. [Google Scholar] [CrossRef]
- Ciliberti, D.; Della Vecchia, P.; Memmolo, V.; Nicolosi, F.; Wortmann, G.; Ricci, F. The Enabling Technologies for a Quasi-Zero Emissions Commuter Aircraft. Aerospace 2022, 9, 319. [Google Scholar] [CrossRef]
- Cacciatori, L.; Brignoli, C.; Mele, B.; Gattere, F.; Monti, C.; Quadrio, M. Drag Reduction by Riblets on a Commercial UAV. Appl. Sci. 2022, 12, 5070. [Google Scholar] [CrossRef]
- Ran, W.; Zare, A.; Jovanović, M.R. Model-Based Design of Riblets for Turbulent Drag Reduction. J. Fluid Mech. 2021, 906, A7. [Google Scholar] [CrossRef]
- Endrikat, S.; Modesti, D.; García-Mayoral, R.; Hutchins, N.; Chung, D. Influence of Riblet Shapes on the Occurrence of Kelvin-Helmholtz Rollers. J. Fluid Mech. 2021, 913, A37. [Google Scholar] [CrossRef]
- Zhang, Z.L.; Zhang, M.M.; Cai, C.; Cheng, Y. Characteristics of Large- and Small-Scale Structures in the Turbulent Boundary Layer over a Drag-Reducing Riblet Surface. Proc. Inst. Mech. Eng. C J. Mech. Eng. Sci. 2020, 234, 796–807. [Google Scholar] [CrossRef]
- NASA—NASA Riblets for Stars & Stripes. Available online: https://www.nasa.gov/centers/langley/news/factsheets/Riblets.html (accessed on 19 July 2021).
- BMW ORACLE Racing Wins 33rd America’s Cup. The US-Challenger Defeats the Defender 2 to 0. Available online: https://www.press.bmwgroup.com/global/article/detail/T0077733EN/bmw-oracle-racing-wins-33rd-america%E2%80%99s-cup-the-us-challenger-defeats-the-defender-2-to-0?language=en (accessed on 14 September 2023).
- Riblets Competence—Bionic Surface Technologies. Available online: https://www.bionicsurface.com/riblets-competence/ (accessed on 14 September 2023).
- Chen, D.; Liu, Y.; Chen, H.; Zhang, D. Bio-inspired Drag Reduction Surface from Sharkskin. Biosurf. Biotribol. 2018, 4, 39–45. [Google Scholar] [CrossRef]
- Bilinsky, H.C.; Builth-Williams, J.; Quinn, M. Curing Functional Properties into UV Coatings: Direct Contactless Microfabrication of Drag Reducing, Anti-Bacterial, Anti-Fouling and Optical Microstructures. In Proceedings of the adTech NA Conference, Milano, Italy, 27–28 May 2020. [Google Scholar]
- Zhang, D.; Chen, H.; Jiang, Y.; Cai, J.; Feng, L.; Zhang, X. Bionic Drag Reduction Surface from Shark Skin and Bioinspired Anti-Icing Surface from Superhydrophobic Lotus Leaf. Micro-Nano-Bionic Surf. 2022, 2022, 197–226. [Google Scholar] [CrossRef]
- Bechert, D.W.; Hoppe, G.; van der Hoeven, J.G.T.; Makris, R. The Berlin Oil Channel for Drag Reduction Research. Exp. Fluids 1992, 12, 251–260. [Google Scholar] [CrossRef]
- Hou, J.; Vajdi Hokmabad, B.; Ghaemi, S. Three-Dimensional Measurement of Turbulent Flow over a Riblet Surface. Exp. Therm. Fluid Sci. 2017, 85, 229–239. [Google Scholar] [CrossRef]
- Lloyd, C.J.; Peakall, J.; Burns, A.D.; Keevil, G.M.; Dorrell, R.M.; Wignall, P.B.; Fletcher, T.M. Hydrodynamic Efficiency in Sharks: The Combined Role of Riblets and Denticles. Bioinspir. Biomim. 2021, 16, 046008. [Google Scholar] [CrossRef]
- Walsh, M.J. Riblets as a Viscous Drag Reduction Technique. AIAA J. 1983, 21, 485–486. [Google Scholar] [CrossRef]
- Muhammad, C.; Chong, T.P. Mitigation of Turbulent Noise Sources by Riblets. J. Sound Vib. 2022, 541, 117302. [Google Scholar] [CrossRef]
- Van der Hoeven, J.G.T.; Bechert, D.W. Experiments with a 1:4.2 Model of a Commuter Aircraft with Riblets in a Large Wind Tunnel; Springer: Dordrecht, The Netherlands, 1991; pp. 3–24. [Google Scholar] [CrossRef]
- Sundaram, S.; Viswanath, P.R.; Subaschandar, N. Viscous Drag Reduction Using Riblets on a Swept Wing. AIAA J. 1999, 37, 851–856. [Google Scholar] [CrossRef]
- Leitl, P.A.; Kuntzagk, S.; Flanschger, A.; Pfingsten, K. Experimental and Numerical Investigation of the Reduction in Skin Friction Due to Riblets Applied on the Surface of a Taylor-Couette Cell. In Proceedings of the AIAA Scitech 2019 Forum, San Diego, CA, USA, 7–11 January 2019. [Google Scholar] [CrossRef]
- Nieuwstadt, F.T.M.; Wolthers, W.; Leijdens, H.; Krishna Prasad, K.; Schwarz-van Manen, A. The Reduction of Skin Friction by Riblets under the Influence of an Adverse Pressure Gradient. Exp. Fluids 1993, 15, 17–26. [Google Scholar] [CrossRef]
- Viswanath, P.R. Aircraft Viscous Drag Reduction Using Riblets. Prog. Aerosp. Sci. 2002, 38, 571–600. [Google Scholar] [CrossRef]
- García-Mayoral, R.; Jiménez, J. Hydrodynamic Stability and Breakdown of the Viscous Regime over Riblets. J. Fluid Mech. 2011, 678, 317–347. [Google Scholar] [CrossRef]
- Aupoix, B.; Pailhas, G.; Houdeville, R. Towards a General Strategy to Model Riblet Effects. AIAA J. 2012, 50, 708–716. [Google Scholar] [CrossRef]
- Boomsma, A.; Sotiropoulos, F. Riblet Drag Reduction in Mild Adverse Pressure Gradients: A Numerical Investigation. Int. J. Heat Fluid Flow 2015, 56, 251–260. [Google Scholar] [CrossRef]
- Lee, S.; Ayton, L.; Bertagnolio, F.; Moreau, S.; Chong, T.P.; Joseph, P. Turbulent Boundary Layer Trailing-Edge Noise: Theory, Computation, Experiment, and Application. Prog. Aerosp. Sci. 2021, 126, 100737. [Google Scholar] [CrossRef]
- Gonzalez, A.; Glegg, S.A.; Hari, N.; Devenport, W.J. Fundamental Studies of the Mechanisms of Pressure Shielding. In Proceedings of the 25th AIAA/CEAS Aeroacoustics Conference, Delft, The Netherlands, 20–23 May 2019; American Institute of Aeronautics and Astronautics: Reston, VA, USA, 2019. [Google Scholar]
- Choi, K. so Near-Wall Structure of a Turbulent Boundary Layer with Riblets. J. Fluid Mech. 1989, 208, 417–458. [Google Scholar] [CrossRef]
- Sundaram, S.; Viswanath, P.R.; Rudrakumar, S. Viscous Drag Reduction Using Riblets on NACA 0012 Airfoil to Moderate Incidence. AIAA J. 1996, 34, 676–682. [Google Scholar] [CrossRef]
- Saravi, S.S.; Cheng, K. A review of drag reduction by riblets and micro-textures in the turbulent boundary layers. Eur. Sci. J. ESJ 2013, 9, 62–81. [Google Scholar]
- Choi, K.S. The Wall-Pressure Fluctuations of Modified Turbulent Boundary Layer with Riblets; International Union of Theoretical and Applied Mechanics; Springer: Berlin/Heidelberg, Germany, 1988. [Google Scholar]
- Stenzel, V.; Wilke, Y.; Hage, W. Drag-Reducing Paints for the Reduction of Fuel Consumption in Aviation and Shipping. Prog. Org. Coat. 2011, 70, 224–229. [Google Scholar] [CrossRef]
- Grüneberger, R.; Hage, W. Drag Characteristics of Longitudinal and Transverse Riblets at Low Dimensionless Spacings. Exp. Fluids 2011, 50, 363–373. [Google Scholar] [CrossRef]
- Suzuki, Y.; Kasagi, N. Turbulent Drag Reduction Mechanism above a Riblet Surface. AIAA J. 1994, 32, 1781–1790. [Google Scholar] [CrossRef]
- Mele, B. Riblet Drag Reduction Modeling and Simulation. Fluids 2022, 7, 249. [Google Scholar] [CrossRef]
- Mele, B.; Tognaccini, R.; Catalano, P. Performance Assessment of a Transonic Wing–Body Configuration with Riblets Installed. J. Aircr. 2016, 53, 129–140. [Google Scholar] [CrossRef]
- Robinson, S.K. The Kinematics of Turbulent Boundary Layer Structure. NASA Technical Memorandum; NASA Ames Research Center: Moffett Field, CA, USA, 1991.
- Choi, K.S. A Survey of the Turbulent Drag Reduction Using Passive Devices. STIN 1984, 85, 20268. [Google Scholar]
- Karniadakis, G.E.; Choi, K.-S. Mechanisms On Transverse Motions In Turbulent Wall Flows. Annu. Rev. Fluid Mech. 2003, 35, 45–62. [Google Scholar] [CrossRef]
- Hage, W.; Bechert, D.W.; Bruse, M. Yaw Angle Effects on Optimized Riblets. In Aerodynamic Drag Reduction Technologies; Springer: Berlin/Heidelberg, Germany, 2001; pp. 278–285. [Google Scholar] [CrossRef]
- Rastegari, A.; Akhavan, R. The Common Mechanism of Turbulent Skin-Friction Drag Reduction with Superhydrophobic Longitudinal Microgrooves and Riblets. JFM 2018, 838, 68–104. [Google Scholar] [CrossRef]
- Walsh, M.J.; Sellers, W.L.; McGinley, C.B. Riblet Drag at Flight Conditions. J. Aircr. 1988, 26, 570–575. [Google Scholar] [CrossRef]
- Bushnell, D.M.; Hefner, J.N. Viscous Drag Reduction in Boundary Layers; American Institute of Aeronautics and Astronautics: Washington, DC, USA, 1990; ISBN 978-0-930403-66-9. [Google Scholar]
- Choi, H.; Moin, P.; Kim, J. Direct Numerical Simulation of Turbulent Flow over Riblets. J. Fluid Mech. 1993, 255, 503–539. [Google Scholar] [CrossRef]
- Chu, D.; Karniadakis, G.E. A Direct Numerical Simulation of Laminar and Turbulent Flow over Riblet-Mounted Surfaces. J. Fluid Mech. 1993, 250, 1–42. [Google Scholar] [CrossRef]
- Park, S.R.; Wallace, J.M. Flow Alteration and Drag Reduction by Riblets in a Turbulent Boundary Layer. AIAA J. 1994, 32, 31–38. [Google Scholar] [CrossRef]
- Bilinsky, H.C. Direct Contactless Microfabrication of 3D Riblets: Improved Capability and Metrology. In Proceedings of the AIAA Scitech 2019 Forum, San Diego, CA, USA, 7–11 January 2019. [Google Scholar] [CrossRef]
- Hamilton, B.W.; Tutunea-Fatan, R.O.; Bordatchev, E.V. Preliminary Assessment of Asymmetric Triangular Riblet Microstructures for Drag Deduction and Fouling Resistance: Numerical Modeling, Fabrication, and Performance Evaluation. Micromachines 2022, 13, 2208. [Google Scholar] [CrossRef] [PubMed]
- Han, M.; Lim, H.C.; Jang, Y.G.; Lee, S.S.; Lee, S.J. Fabrication of a Micro-Riblet Film and Drag Reduction Effects on Curved Objects. In Proceedings of the TRANSDUCERS 2003—12th International Conference on Solid-State Sensors, Actuators and Microsystems, Digest of Technical Papers, Boston, MA, USA, 8–12 June 2003; Volume 1, pp. 396–399. [Google Scholar] [CrossRef]
- Hage, W.; Stenzel, V.; Vynnyk, T. Investigation of the Wear Properties of a Riblet Paint Structure on an Airbus A300-600ST Beluga. Notes Numer. Fluid Mech. Multidiscip. Des. 2013, 121, 185–192. [Google Scholar] [CrossRef]
- Kai-Christoph Pfingsten (28) The AeroSHARK Story—Part I:|LinkedIn. Available online: https://www.linkedin.com/pulse/aeroshark-story-part-i-dr-kai-christoph-pfingsten/ (accessed on 19 July 2021).
- Bilinsky, H. Microfabrication of Riblets for Drag Reduction. In Proceedings of the AIAA SciTech Forum—55th AIAA Aerospace Sciences Meeting, Grapevine, TX, USA, 9–13 January 2017. [Google Scholar] [CrossRef]
- Haritonidis, J.H. The Measurement of Wall Shear Stress. In Advances in Fluid Mechanics Measurements; Springer: Berlin/Heidelberg, Germany, 1989; pp. 229–261. [Google Scholar] [CrossRef]
- Gaudet, L. Properties of Riblets at Supersonic Speed. Appl. Sci. Res. 1989, 46, 245–254. [Google Scholar] [CrossRef]
- Zhao, D.-Y.; Huang, Z.-P.; Wang, M.-J.; Wang, T.; Jin, Y. Vacuum Casting Replication of Micro-Riblets on Shark Skin for Drag-Reducing Applications. J. Mater. Process. Technol. 2012, 212, 198–202. [Google Scholar] [CrossRef]
- Saravi, S.; Cheng, K.; Chong, T.; Vathylakis, A. Design of Serrate-Semi-Circular Riblets with Application to Skin Friction Reduction on Engineering Surface. Int. J. Flow Control 2014, 6, 83–92. [Google Scholar] [CrossRef][Green Version]
- Takahashi, H.; Iijima, H.; Kurita, M.; Koga, S. Evaluation of Skin Friction Drag Reduction in the Turbulent Boundary Layer Using Riblets. Appl. Sci. 2019, 9, 5199. [Google Scholar] [CrossRef]
- Lee, S.J.; Lee, S.H. Flow Field Analysis of a Turbulent Boundary Layer over a Riblet Surface. Exp. Fluids 2001, 30, 153–166. [Google Scholar] [CrossRef]
- Hutchins, N.; Choi, K.-S. Automated and Accurate Wall Positioning of Hot-Wire Sensors for Measurement of Local Skin-Friction Coefficient. In Proceedings of the 15th AIAA Computational Fluid Dynamics Conference, Anaheim, CA, USA, 11–14 June 2001; American Institute of Aeronautics and Astronautics: Reston, VA, USA, 2001. [Google Scholar]
- CLAUSER, F.H. Turbulent Boundary Layers in Adverse Pressure Gradients. J. Aeronaut. Sci. 1954, 21, 91–108. [Google Scholar] [CrossRef]
- Debisschop, J.R.; Nieuwstadt, F.T.M. Turbulent Boundary Layer in an Adverse Pressure Gradient—Effectiveness of Riblets. AIAA J. 1996, 34, 932–937. [Google Scholar] [CrossRef]
- Sasamori, M.; Koga, S.; Kurita, M. Pressure Gradient Effects on the Performance of Riblets Installed on Aircraft Surfaces. J. Aircr. 2022, 59, 447–457. [Google Scholar] [CrossRef]
- Viswanath, P.R.; Mukund, R. Turbulent Drag Reduction Using Riblets on a Supercritical Airfoil at Transonic Speeds. AIAA J. 1995, 33, 945–947. [Google Scholar] [CrossRef]
- Löfdahl, L.; Gad-el-Hak, M. MEMS-Based Pressure and Shear Stress Sensors for Turbulent Flows. Meas. Sci. Technol. 1999, 10, 665. [Google Scholar] [CrossRef]
- Lee, S.J.; Jang, Y.G. Control of Flow around a NACA 0012 Airfoil with a Micro-Riblet Film. J. Fluids Struct. 2005, 20, 659–672. [Google Scholar] [CrossRef]
- Liu, C.K. An Experimental Study of Turbulent Boundary Layer on Rough Walls. Ph.D. Thesis, Stanford University, Stanford, CA, USA, 1966. [Google Scholar]
- Pulvin, P.; Truong, T.V. Riblets in Internal Flows with Adverse Pressure Gradients. In Structure of Turbulence and Drag Reduction; Springer: Berlin/Heidelberg, Germany, 1990; pp. 569–576. [Google Scholar] [CrossRef]
- Yang, S.Q.; Li, S.; Tian, H.P.; Wang, Q.Y.; Jiang, N. Tomographic PIV Investigation on Coherent Vortex Structures over Shark-Skin-Inspired Drag-Reducing Riblets. Acta Mech. Sin./Lixue Xuebao 2016, 32, 284–294. [Google Scholar] [CrossRef]
- McLean, D.; George-Falvey, N.; Sullivan, P. Flight Test of Turbulent Skin-Friction Reduction by Riblets [Presentation]. In Proceedings of the International Conference on Turbulent Drag Reduction by Passive Means, London, UK, 15–17 September 1987. [Google Scholar]
- Kurita, M.; Nishizawa, A.; Kwak, D.; Iijima, H.; Iijima, Y.; Takahashi, H.; Sasamori, M.; Abe, H.; Koga, S.; Nakakita, K. Flight Test of a Paint-Riblet for Reducing Skin-Friction. In Proceedings of the 2018 Applied Aerodynamics Conference, Atlanta, GA, USA, 25–29 June 2018. [Google Scholar] [CrossRef]
- SZODRUCH, J. Viscous Drag Reduction on Transport Aircraft. In Proceedings of the 29th Aerospace Sciences Meeting, Reno, NV, USA, 7–10 January 1991; American Institute of Aeronautics and Astronautics: Reston, VA, USA, 1991. [Google Scholar]
- SWISS Equips Entire Boeing 777-300ER Fleet with AeroSHARK. Available online: https://www.basf.com/tr/en/Media/news-releases/2022/02/p-22-153.html (accessed on 23 February 2022).
- Takahashi, H.; Kurita, M.; Iijima, H.; Koga, S. Time-Series-Data Interpolation Applied to Boundary-Layer Profiles Measured on Different Flights. Aerospace 2023, 10, 322. [Google Scholar] [CrossRef]
- Kevin, K.; Monty, J.; Hutchins, N. Turbulent Structures in a Statistically Three-Dimensional Boundary Layer. J. Fluid Mech. 2019, 859, 543–565. [Google Scholar] [CrossRef]
- Denkena, B.; Köhler, J.; Wang, B. Manufacturing of Functional Riblet Structures by Profile Grinding. CIRP J. Manuf. Sci. Technol. 2010, 3, 14–26. [Google Scholar] [CrossRef]
- Husen, N.M.; Naughton, J.W.; Dale, G.A. Viscous Drag on Smooth and Riblet Surfaces. In Proceedings of the AIAA Scitech 2021 Forum, Online, 11–15 January 2021. [Google Scholar] [CrossRef]
- Siegel, F.; Klug, U.; Kling, R.; Ostendorf, A. Rainer KLING Extensive Micro-Structuring of Metals Using Picosecond Pulses—Ablation Behavior and Industrial Relevance. J. Laser Micro/Nanoeng. 2009, 4, 104–110. [Google Scholar] [CrossRef]
- Agrawal, P.; Aggarwal, S.; Banthia, N.; Singh, U.S.; Kalia, A.; Pesin, A. A Comprehensive Review on Incremental Deformation in Rolling Processes. J. Eng. Appl. Sci. 2022, 69, 20. [Google Scholar] [CrossRef]
- CHOI, K.-S. Improvements in/Relating to Reduction of Drag; WO 89/11343; World Intellectual Property Organization (WIPO): Geneva, Switzerland, 1989. [Google Scholar]
- Klocke, F.; Feldhaus, B.; Mader, S. Development of an Incremental Rolling Process for the Production of Defined Riblet Surface Structures. Prod. Eng. 2007, 1, 233–237. [Google Scholar] [CrossRef]
- Chen, H.; Zhang, X.; Ma, L.; Che, D.; Zhang, D.; Sudarshan, T.S. Investigation on Large-Area Fabrication of Vivid Shark Skin with Superior Surface Functions. Appl. Surf. Sci. 2014, 316, 124–131. [Google Scholar] [CrossRef]
- Zhang, D.; Li, Y.; Han, X.; Li, X.; Chen, H. High-Precision Bio-Replication of Synthetic Drag Reduction Shark Skin. Chin. Sci. Bull. 2011, 56, 938–944. [Google Scholar] [CrossRef]
- Barbier, C.; Jenner, E.; Urso, B.D. Large Drag Reduction over Superhydrophobic Riblets. arXiv 2014, arXiv:1406.0787. [Google Scholar]
- Marentic, F.J.; Morris, T.L. Drag Reduction Article. U.S. Patent 4,986,496, 22 January 1991. [Google Scholar]
- Kurita, M.; Iijima, H.; Koga, S.; Nishizawa, A.; Kwak, D.; Iijima, Y.; Takahashi, H.; Abe, H. Flight Test for Paint-Riblet. In Proceedings of the AIAA Scitech 2020 Forum, Orlando, FL, USA, 6–10 January 2020; Volume 1 Part F, pp. 1–8. [Google Scholar] [CrossRef]
- US-5133516-A—Drag Reduction Article|Unified Patents. Available online: https://portal.unifiedpatents.com/patents/patent/US-5133516-A (accessed on 2 March 2023).
- Boomsma, A.; Sotiropoulos, F. Direct Numerical Simulation of Sharkskin Denticles in Turbulent Channel Flow. Phys. Fluids 2016, 28, 035106. [Google Scholar] [CrossRef]
- Okabayashp, K. Direct Numerical Simulation for Investigation on Yaw Angle Effects on Riblets. J. Fluid Sci. Technol. 2017, 12, JFST0008. [Google Scholar] [CrossRef]
- Goldstein, D.; Handler, R.; Sirovich, L. Direct Numerical Simulation of Turbulent Flow over a Modeled Riblet Covered Surface. J. Fluid Mech. 1995, 302, 333–376. [Google Scholar] [CrossRef]
- Duan, L.; Choudhari, M.M. Direct Numerical Simulations of High-Speed Turbulent Boundary Layers over Riblets. In Proceedings of the 52nd Aerospace Sciences Meeting, National Harbor, MD, USA, 13–17 January 2014; American Institute of Aeronautics and Astronautics: Reston, VA, USA, 2014. [Google Scholar]
- Zhang, Y.; Ye, Z.; Li, B.; Xie, L.; Zou, J.; Zheng, Y. Numerical Analysis of Turbulence Characteristics in a Flat-Plate Flow with Riblets Control. Adv. Aerodyn. 2022, 4, 29. [Google Scholar] [CrossRef]
- Tullis, S.; Pollard, A. The Time Dependent Flow over V- and U-groove Riblets of Different Sizes. Phys. Fluids 1998, 6, 1310. [Google Scholar] [CrossRef]
- Klumpp, S.; Meinke, M.; Schröder, W. Numerical Simulation of Riblet Controlled Spatial Transition in a Zero-Pressure-Gradient Boundary Layer. Flow Turbul. Combust. 2010, 85, 57–71. [Google Scholar] [CrossRef]
- Launder, B.E.; Li, S.P. On the Prediction of Riblet Performance with Engineering Turbulence Models. Appl. Sci. Res. 1993, 50, 283–298. [Google Scholar] [CrossRef]
- Zhang, Y.; Chen, H.; Fu, S.; Dong, W. Numerical Study of an Airfoil with Riblets Installed Based on Large Eddy Simulation. Aerosp. Sci. Technol. 2018, 78, 661–670. [Google Scholar] [CrossRef]
- Bliamis, C.; Vlahostergios, Z.; Misirlis, D.; Yakinthos, K. Numerical Evaluation of Riblet Drag Reduction on a MALE UAV. Aerospace 2022, 9, 218. [Google Scholar] [CrossRef]
- Zhang, Y.; Yin, Y. Study on Riblet Drag Reduction Considering the Effect of Sweep Angle. Energies 2019, 12, 3386. [Google Scholar] [CrossRef]
- Choi, K.-S. Effects of Longitudinal Pressure Gradients on Turbulent Drag Reduction with Riblets; Springer: Berlin/Heidelberg, Germany, 1990; pp. 109–121. [Google Scholar] [CrossRef]
- Williams, J.E.F.; Hall, L.H. Aerodynamic Sound Generation by Turbulent Flow in the Vicinity of a Scattering Half Plane. J. Fluid Mech. 1970, 40, 657–670. [Google Scholar] [CrossRef]
- Amiet, R.K. Noise Due to Turbulent Flow Past a Trailing Edge. J. Sound Vib. 1976, 47, 387–393. [Google Scholar] [CrossRef]
















| Institute/Airliner/Aircraft | Year | Description | Riblet | Drag Reduction |
|---|---|---|---|---|
| Boeing T-33 trainer [103] | 1987 | Wing sweep = 15° , M = 0.35–0.7 | 3M | Friction drag reduction: 6–7% |
| Learjet 28/29/NASA [76] | 1988 | Lightweight plastic film was applied by use of two rakes and two drag balances h = s = 0.03 mm (first case) h = s = 0.075 mm (second case) Re = 1–2.75 × 106, M = 0.3–0.7 | 3M | Friction drag reduction: 6% |
| Airbus 300–600 [105] Airbus/Lufthansa/3M | 1988 | Riblet films with triangular cross sections, patched in 15 different areas Metallic riblet foil | 3M | Only the deterioration and erosion were checked |
| Airbus 320 [105] | 1989 | Riblet films with triangular cross-sections 70% covering area (600 square meters) | 3M | Net drag reduction: 2% |
| Airbus 340/Airbus/Cathay Pacific Airways [6] | 1996 | Triangular riblets with s = 0.06 mm 30% covering area | 3M | Friction drag reduction: 4% |
| Aircraft Zivko Edge 450 V2./Red Bull Air Race/ Joanneum Research [85] | 2008 | Joanneum Research printed microstructures in a very thin adhesive film | Joanneum Research | |
| Airbus 300–600ST BLUG/ Fraunhofer IFAM [66] | 2011 | Implementation of some patches on the body and wing s = 0.05 mm | Micro-structured paint, trapezoidal | Drag reduction effectiveness was evaluated after a period of in-service operation |
| Bionic Surface Technologies/ Swiss Air Race Team | 2013 | Bionic surface film | ||
| Airbus 340–300/Lufthansa/ Fraunhofer IFAM/BWM GmbH [85] | 2014 | Automatic application of microstructures | Riblet coating | |
| Hisho (JAXA research aircraft) [104] | 2018 | h = 0.1 mm, M = 0.5–0.78 | Aircraft paint | Demonstrated in different Mach numbers based on flight condition by graphs in log-low region |
| Lufthansa/Boeing 747–400 | 2019 | The lower half of fuselage was covered with 500 square meters of riblet films with 100 × 50 cm film patches | BASF | |
| Lufthansa/Boeing 777 F [19] | 2021 | h = 0.05 mm, 800 square meters of riblet films | BASF | Drag reduction: more than 1% |
| Swiss Airlines/Boeing 777–300 ER [106] | 2021 | h = 0.05 mm, 950 square meters of riblet films | BASF | Drag reduction: about 1.1% |
| Method | Advantages | Disadvantages |
|---|---|---|
| Milling [34,65,90,110,111] | High precision Ability to make different patterns Wide material compatibility Suitable surface finished Suitable for research | Time-consuming Material removal Possibility of misalignment |
| Grinding [109] | Offering excellent surface-finished Material versatility | Time time-consuming but faster than milling method Limited to specific materials Potential for abrasive wear Limited number of patterns Material removal Possibility of misalignment |
| Rolling [112,113,114] | Ideal for deformable materials No material removal Uniform riblet patterns Quick application for industrial use | Limited to deformable materials Initial tooling setup Possibility of misalignment |
| 3D printing [33,51] | High customization Complex shape compatibility Suitable for research | Material limitations Variable implementation time and cost |
| Casting and mold making [89,115,116] | Effective replication Versatile material compatibility | Time-consuming mold creation Possibility of misalignment |
| Chemical Etching and mold making [83,99,117] | High-precision micro-riblets Repeatability Moderate implementation time | Limited to specific materials Chemical handling Shape limitations |
| Adhesive films [85,118] | Ease of application Time of application Uniform thickness Suitable for aviation | Difficulties during the application on curved surfaces Possibility of detachment during the flight Limited in riblet configurations Application challenges Environmental impact |
| Painting [66,67,84,119] | Quick application Cost-effective Suitable for complex shapes In some cases possible to have different height Durability Suitable for aviation | Limited precision Environmental impact |
| Reference/Year | Geometry | Method | Solver | Result and Discussion |
|---|---|---|---|---|
| Choi et al. [78] | Flat plate, triangular | DNS | In-house code | Re = 4200, Different triangular geometries drag reduction: 5–6% drag increased |
| Launder et al. [128] | Flat plate, triangular, semi-circular, bladed | RANS | Two-equation eddy viscosity model | 10,000 < Re < 15,000 Drag reduction achieved for Little drag reduction in |
| Chu et al. [79] | Flat plate, triangular | DNS | In-house code incompressible Newtonian fluid governed by NS | Re = 3500 Drag reduction: 6% |
| Goldstain et al. [123] | Flat plate, triangular | DNS | In-house spectral method code | Drag reduction: 4% |
| Klumpp et al. [127] | Flat plate, semi-circular | LES | In-house code | |
| Aupoix et al. [58] | Flat plate, semi-circular, triangular | RANS | Modified k-ω and Spalart–Allmaras ONERA | Adverse pressure gradient Re_channel = 5000, h/s = 0.3 Drag reduction: 9% in APG () |
| Boomsma et al. [59] | Flat plate, semi-circular | LES | In-house code | Use of riblet experiments, sweep angle: 0, 10, 15, 20, 30 different s/h values |
| Martin et al. [32] | Flat plate, semi-circular, Blade, triangular | LES | ANSYS Fluent 14.5 | ZPG and mild APG, (), h/s = 0.5 |
| Zhang et al. [129] | Flat plate, bladed, semi-circular, triangle | LES | In-house code | and Drag reduction in bladed: 11.6% Drag reduction in semi-circular: 5.6% Drag reduction in triangular: 4.1% |
| Airfoil Eppler E374, triangular riblet film, numerical trip | LES | Comparing two grid sizes and Choi DNS data Streamwise riblet, Re = 2800 , | ||
| Ran et al. [38] | Flat plate, triangular | DNS | In-house code incompressible Newtonian fluid governed by NS | M = 0.2, , Drag reduction of about 9.5% in drag at 45° of sweep angle |
| Zhang et al. [125] | Flat plate, triangular | DNS | In-house code | and Different riblets tip angles: 45°, 60°, 75°, 90°, 105° |
| Mele [69] | Flat plate, triangular, transonic airfoil, NASA CRM | RANS | FLOWer | = 30.82 = 15.41 |
| Sasamori et al. [96] | Flat plate, TRA2022 aircraft, spaced triangular | RANS | FaSTAR | s = 100µm for flat plate for the aircraft |
| Cacciatori et al. [37] | UAV, triangular | RANS | OpenFOAM | Cruise speed: 22 m/s Re chord base: Drag reduction about 3% |
| Bliamis et al. [130] | UAV, triangular | RANS | ANSYS Fluent | Cruise speed = 39 m/s Re chord base: Drag reduction: 5% |
Disclaimer/Publisher’s Note: The statements, opinions and data contained in all publications are solely those of the individual author(s) and contributor(s) and not of MDPI and/or the editor(s). MDPI and/or the editor(s) disclaim responsibility for any injury to people or property resulting from any ideas, methods, instructions or products referred to in the content. |
© 2023 by the authors. Licensee MDPI, Basel, Switzerland. This article is an open access article distributed under the terms and conditions of the Creative Commons Attribution (CC BY) license (https://creativecommons.org/licenses/by/4.0/).
Share and Cite
Pakatchian, M.R.; Rocha, J.; Li, L. Advances in Riblets Design. Appl. Sci. 2023, 13, 10893. https://doi.org/10.3390/app131910893
Pakatchian MR, Rocha J, Li L. Advances in Riblets Design. Applied Sciences. 2023; 13(19):10893. https://doi.org/10.3390/app131910893
Chicago/Turabian StylePakatchian, Mohammad Reza, Joana Rocha, and Lucy Li. 2023. "Advances in Riblets Design" Applied Sciences 13, no. 19: 10893. https://doi.org/10.3390/app131910893
APA StylePakatchian, M. R., Rocha, J., & Li, L. (2023). Advances in Riblets Design. Applied Sciences, 13(19), 10893. https://doi.org/10.3390/app131910893

