Efficient Removal of Representative Chemical Agents by Rapid and Sufficient Adsorption via Magnetic Graphene Oxide Composites
Abstract
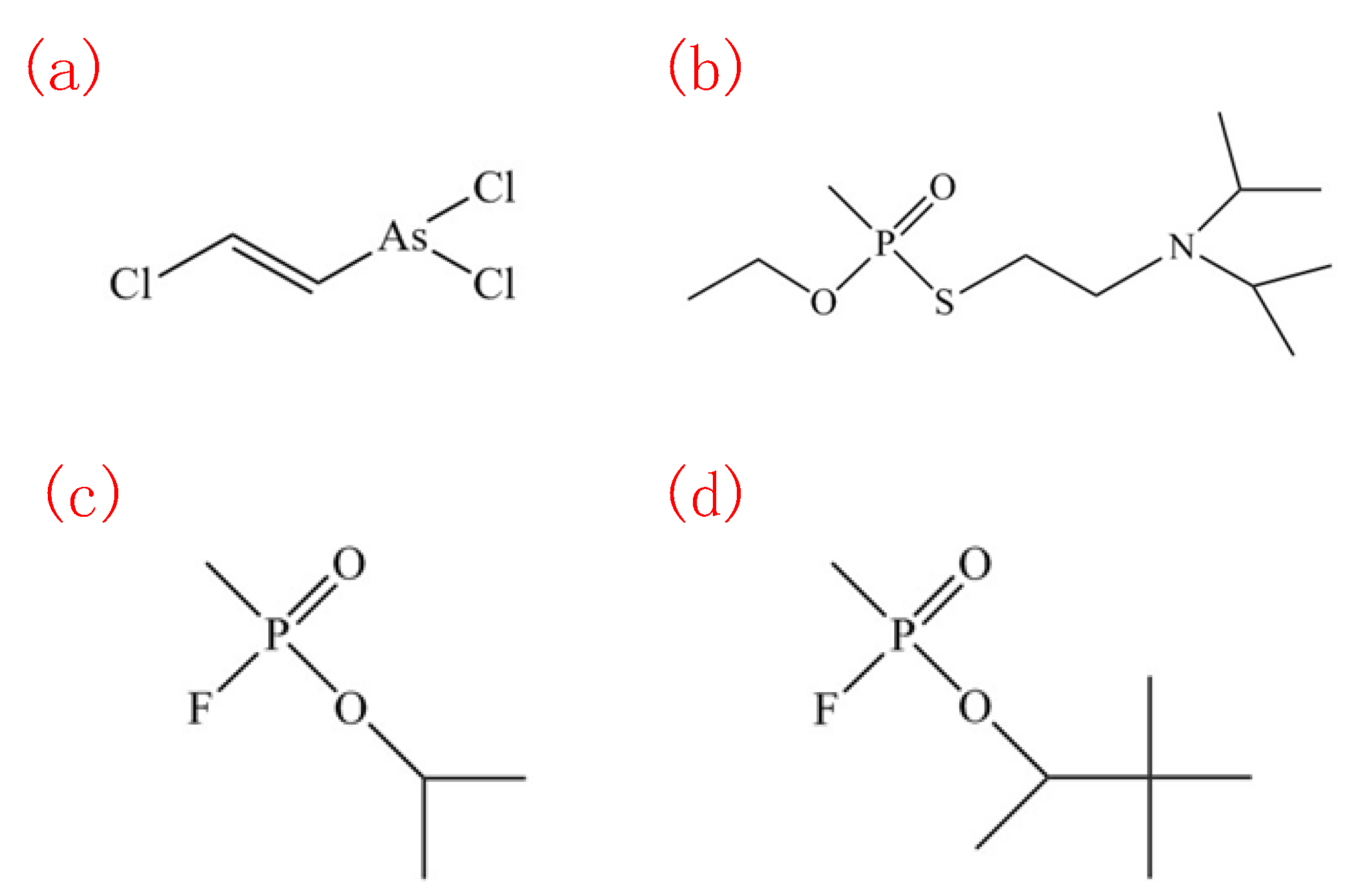
:1. Introduction
2. Materials and Methods
2.1. Materials
2.2. Preparation of Magnetic Graphene Oxide Nanoplatelet Composites (MGONCs)
2.2.1. Synthesis of Magnetic Nanoparticles (MNs)
2.2.2. Synthesis of MGONCs
2.3. Adsorption Experiment
2.4. Evaluation of Adsorption Performance
2.5. Instrumentation
3. Results and Discussion
3.1. Characterization of MGONCs
3.1.1. XRD
3.1.2. TEM
3.1.3. FTIR
3.1.4. VSM
3.1.5. TGA-DSC
3.1.6. BET
3.2. Adsorption of Magnetic Nanomaterials
3.2.1. Effect of Contact Time
3.2.2. Effect of Adsorbent Dosage
3.2.3. Effect of Adsorption Temperature
3.3. Adsorption Kinetics
3.4. Adsorption Mechanism
4. Conclusions
Author Contributions
Funding
Institutional Review Board Statement
Informed Consent Statement
Data Availability Statement
Conflicts of Interest
References
- Yang, Y.C.; Baker, J.A.; Ward, J.R. Decontamination of Chemical Warfare Agents. Chem. Rev. 1992, 92, 1729–1743. [Google Scholar] [CrossRef]
- Kapp, R.W. Clean Water Act (CWA). US Encycl. Toxicol. 2014, 108, 979–981. [Google Scholar]
- Szinicz, L. History of Chemical and Biological Warfare Agents. Toxicology 2005, 214, 167–181. [Google Scholar] [CrossRef] [PubMed]
- Isono, O.; Kituda, A.; Fujii, M.; Yoshinaka, T.; Nakagawa, G.; Suzuki, Y. Long-Term Neurological and Neuropsychological Complications of Sulfur Mustard and Lewisite Mixture Poisoning in Chinese Victims Exposed to Chemical Warfare Agents Abandoned at the End of WWII. Toxicol. Lett. 2018, 293, 9–15. [Google Scholar] [CrossRef] [PubMed]
- Lodewyckx, P. Chapter 10 Adsorption of Chemical Warfare Agents; Elsevier: Amsterdam, The Netherlands, 2006. [Google Scholar]
- Vanninen, P.; Ostin, A.; Beldowski, J.; Pedersen, E.A.; Söderström, M.; Szubska, M.; Grabowski, M.; Siedlewicz, G.; Czub, M.; Popiel, S.; et al. Exposure Status of Sea-Dumped Chemical Warfare Agents in the Baltic Sea. Mar. Environ. Res. 2020, 161, 105–112. [Google Scholar] [CrossRef] [PubMed]
- Marrs, T.C.; Maynard, R.L.; Sidell, F.R. Chemical Warfare Agents, Toxicology and Treatment; John Wiley & Sons Ltd.: London, UK, 1996. [Google Scholar]
- Mohammadnia, E.; Hadavifar, M.; Veisi, H. Kinetics and Thermodynamics of Mercury Adsorption Onto Thiolated Graphene Oxide Nanoparticles. Polyhedron 2019, 173, 114–139. [Google Scholar] [CrossRef]
- Osovsky, R.; Kaplan, D.; Rotter, H.; Kendler, S.; Goldvaser, M.; Zafrani, Y.; Columbus, I. Hydrothermal Degradation of Adsorbed Sulfur Mustard on Activated Carbon. Carbon 2011, 49, 3899–3906. [Google Scholar] [CrossRef]
- Kaiser, R.; Kulczyk, A.; Rich, D.; Willey, R.J.; Minicucci, J.; MacIver, B. Effect of Pore Size Distribution of Commercial Activated Carbon Fabrics on the Adsorption of CWA Simulants from the Liquid Phase. Ind. Eng. Chem. Res. 2007, 46, 6126–6132. [Google Scholar] [CrossRef]
- Sathe, M.; Sharma, P.K.; Singh, V.K.; Tripathi, N.K.; Verma, V.; Sharma, S.P.; Tomar, L.N.S.; Chaturvedi, A.; Yadav, S.S.; Thakare, V.B.; et al. Chemical Protection Studies of Activated Carbon Spheres based Permeable Protective Clothing against Sulfur Mustard, a Chemical Warfare Agent. Def. Sci. J. 2019, 69, 577–584. [Google Scholar] [CrossRef]
- Sharma, N.; Kakkar, R. Adsorption of Sarin On MgO Nanotubes: Role of Doped and Defect Sites. J. Comput. Sci.-Neth. 2015, 10, 225–236. [Google Scholar] [CrossRef]
- Kiani, A.; Dastafkan, K. Zinc Oxide Nanocubes as a Destructive Nanoadsorbent for the Neutralization Chemistry of 2-Chloroethyl Phenyl Sulfide: A Sulfur Mustard Simulant. J. Colloid Interface Sci. 2016, 478, 271–279. [Google Scholar] [CrossRef] [PubMed]
- Dadvar, S.; Tavanai, H.; Morshed, M.; Ghiaci, M. A Study On the Kinetics of 2-Chloroethyl Ethyl Sulfide Adsorption Onto Nanocomposite Activated Carbon Nanofibers Containing Metal Oxide Nanoparticles. Sep. Purif. Technol. 2013, 114, 24–30. [Google Scholar] [CrossRef]
- Mahato, T.H.; Prasad, G.K.; Singh, B.; Acharya, J.; Srivastava, A.R.; Vijayaraghavan, R. Nanocrystalline Zinc Oxide for the Decontamination of Sarin. J. Hazard. Mater. 2009, 165, 928–932. [Google Scholar] [CrossRef] [PubMed]
- Saxena, A.; Srivastava, A.K.; Singh, B.; Goyal, A. Removal of Sulphur Mustard, Sarin and Simulants on Impregnated Silica Nanoparticles. J. Hazard. Mater. 2012, 211, 226–232. [Google Scholar] [CrossRef] [PubMed]
- Panayotov, D.A.; Morris, J.R. Uptake of a Chemical Warfare Agent Simulant (DMMP) on TiO2: Reactive Adsorption and Active Site Poisoning. Langmuir 2009, 25, 3652–3658. [Google Scholar] [CrossRef]
- Son, Y.; Ryu, S.G.; Kim, H.S. Rapid Adsorption and Removal of Sulfur Mustard with Zeolitic Imidazolate Frameworks ZIF-8 and ZIF-67. Microporous Mesoporous Mater. 2020, 293, 109–119. [Google Scholar] [CrossRef]
- Grissom, T.G.; Plonka, A.M.; Sharp, C.H.; Ebrahim, A.M.; Tian, Y.; Collins-Wildman, D.L.; Kaledin, A.L.; Siegal, H.J.; Troya, D.; Hill, C.L.; et al. Metal–Organic Framework- and Polyoxometalate-Based Sorbents for the Uptake and Destruction of Chemical Warfare Agents. ACS Appl. Mater. Interfaces 2020, 12, 14641–14661. [Google Scholar] [CrossRef]
- Cho, K.H.; Chitale, S.K.; Kim, S.; Cha, G.; Hong, D.; Ryu, S.G.; Chang, J.; Hwang, Y.K. Adsorptive Removal of Nerve-Agent Simulant with Zirconium-Based Metal-Organic Frameworks Modified by Hydrophobic Monocarboxylic Acids. Microporous Mesoporous Mater. 2019, 285, 61–69. [Google Scholar] [CrossRef]
- Howarth, A.J.; Majewski, M.B.; Farha, O.K. Metal-organic Frameworks for Capture and Detoxification of Nerve Agents. In Metal-Organic Frameworks (MOFs) for Environmental Applications; Elsevier: Amsterdam, The Netherlands, 2019; pp. 179–202. [Google Scholar]
- Yu, H.; Son, Y.R.; Yoo, H.; Cha, H.G.; Lee, H.; Kim, H.S. Chitosan-Derived Porous Activated Carbon for the Removal of the Chemical Warfare Agent Simulant Dimethyl Methylphosphonate. Nanomaterials 2019, 9, 1703. [Google Scholar] [CrossRef]
- Florent, M.; Giannakoudakis, D.A.; Wallace, R.; Bandosz, T.J. Mixed CuFe and ZnFe (Hydr)oxides as Reactive Adsorbents of Chemical Warfare Agent Surrogates. J. Hazard. Mater. 2017, 329, 141–149. [Google Scholar] [CrossRef]
- You, X.; He, M.; Cao, X.; Wang, P.; Wang, J.; Li, L. Molecular Dynamics Simulations of Removal of Nonylphenol Pollutants by Graphene Oxide: Experimental Study and Modelling. Appl. Surf. Sci. 2019, 475, 621–626. [Google Scholar] [CrossRef]
- Dikin, D.A.; Stankovich, S.; Zimney, E.J.; Piner, R.D.; Dommett, G.H.B.; Evmenenko, G.; Nguyen, S.T.; Ruoff, R.S. Preparation and characterization of graphene oxide paper. Nature 2007, 448, 457–460. [Google Scholar] [CrossRef] [PubMed]
- Dreyer, D.R.; Park, S.; Bielawski, C.W.; Ruoff, R.S. The Chemistry of Graphene Oxide. Chem. Soc. Rev. 2010, 39, 228–240. [Google Scholar] [CrossRef] [PubMed]
- Li, Y.; Ju, W.; Yang, L.; Zhang, L.; Sun, Y. Adsorption Behaviors and Mechanism of Graphene Oxide for Silver Complex Anion Removal. Appl. Surf. Sci. 2020, 529, 112–147. [Google Scholar] [CrossRef]
- Zhao, G.; Li, J.; Ren, X.; Chen, C.; Wang, X. Few-Layered Graphene Oxide Nanosheets as Superior Sorbents for Heavy Metal Ion Pollution Management. Environ. Sci. Technol. 2011, 45, 10454–10462. [Google Scholar] [CrossRef]
- Bolibok, P.; Koter, S.; Kaczmarek, K.A.; Kowalczyk, P.; Łukomska, B.; Łukomska, O.; Boncel, S.; Wiśniewski, M.; Kaneko, K.; Terzyk, A.P. Liquid Phase Adsorption Induced Nanosizing of Graphene Oxide. Carbon 2021, 183, 948–957. [Google Scholar] [CrossRef]
- Singh, S.; Anil, A.G.; Khasnabis, S.; Kumar, V.; Nath, B.; Adiga, V.; Naik, T.S.S.K.; Subramanian, S.; Kumar, V.; Singh, J.; et al. Sustainable Removal of Cr(VI) Using Graphene Oxide-Zinc Oxide Nanohybrid: Adsorption Kinetics, Isotherms and Thermodynamics. Environ. Res. 2022, 203, 111891. [Google Scholar] [CrossRef]
- Henych, J.; Stengl, V.; Mattsson, A.; Tolasz, J.; Osterlund, L. Chemical Warfare Agent Simulant DMMP Reactive Adsorption on TiO2/graphene Oxide Composites Prepared via Titanium Peroxo-Complex Or Urea Precipitation. J. Hazard. Mater. 2018, 359, 482–490. [Google Scholar] [CrossRef]
- Stastny, M.; Tolasz, J.; Stengl, V.; Henych, J.; Zizka, D. Graphene oxide/MnO2 Nanocomposite as Destructive Adsorbent of Nerve-Agent Simulants in Aqueous Media. Appl. Surf. Sci. 2017, 412, 19–28. [Google Scholar] [CrossRef]
- Neolaka, Y.A.B.; Lawa, Y.; Naat, J.N.; Riwu, A.A.P.; Iqbal, M.; Darmokoesoemo, H.; Kusuma, H.S. The Adsorption of Cr(VI) From Water Samples Using Graphene Oxide-Magnetic (GO-Fe3O4) Synthesized From Natural Cellulose-Based Graphite (Kusambi Wood Or Schleichera Oleosa): Study of Kinetics, Isotherms and Thermodynamics. J. Mater. Res. Technol. 2020, 9, 6544–6556. [Google Scholar] [CrossRef]
- Petcharoen, K.; Sirivat, A. Synthesis and Characterization of Magnetite Nanoparticles via the Chemical Co-Precipitation Method. Mater. Sci. Eng. B 2012, 177, 421–427. [Google Scholar] [CrossRef]
- Ricardo, A.I.C.; Abujaber, F.; Bernardo, F.J.G.; Martin-Doimeadios, R.C.R.; Rios, A. Magnetic Solid Phase Extraction as a Valuable Tool for Elemental Speciation Analysis. Trends Environ. Anal. 2020, 27, e00097. [Google Scholar] [CrossRef]
- Huang, G.; Lu, C.; Yang, H. Chapter 3—Magnetic Nanomaterials for Magnetic Bioanalysis; Elsevier: Amsterdam, The Netherlands, 2019. [Google Scholar]
- Mallesh, S.; Jang, W.; Kim, K.H. Facile Synthesis of Cube-Like Fe3O4-graphene Oxide Nanocomposites with Excellent Microwave Absorption Performance. Phys. Lett. A 2021, 389, 127069. [Google Scholar] [CrossRef]
- El-Monaem, E.M.A.; Eltaweil, A.S.; El-Subruiti, G.M.; Mohy-Eldin, M.S.; Omer, A.M. Adsorption of nitrophenol onto a novel Fe3O4-κ-carrageenan/MIL-125(Ti) composite: Process optimization, isotherms, kinetics, and mechanism. Environ. Sci. Pollut. Res. 2023, 30, 49301–49313. [Google Scholar] [CrossRef]
- Sirajudheen, P.; Nikitha, M.R.; Karthikeyan, P.; Meenakshi, S. Perceptive Removal of Toxic Azo Dyes from Water Using Magnetic Fe3O4 Reinforced Graphene Oxide–Carboxymethyl Cellulose Recyclable Composite: Adsorption Investigation of Parametric Studies and their Mechanisms. Surf. Interfaces 2020, 21, 100648. [Google Scholar] [CrossRef]
- Thommes, M.; Cychosz, K.A.; Neimark, A.V. Chapter 4—Advanced Physical Adsorption Characterization of Nanoporous Carbons; Elsevier: Amsterdam, The Netherlands, 2012. [Google Scholar]
- Khanday, W.A.; Majid, S.A.; Shekar, S.C.; Tomar, R. Dynamic Adsorption of DMMP over Synthetic zeolite-Alpha. Arab. J. Chem. 2014, 7, 115–123. [Google Scholar] [CrossRef]
- Meng, Z.H.; Zhao, Y.X.; Feng, J.L.; Liu, Y.T.; Yun, L.H.; Ruan, J.X. The research of adsorption of organophosphorus toxicants on molecule imprinting polymers. Chin. J. Anal. Chem. 2000, 28, 432–435. [Google Scholar]
- Imran, M.; Singh, V.V.; Garg, P.; Mazumder, A.; Pandey, L.K.; Sharma, P.K.; Acharya, J.; Ganesan, K. In-situ detoxification of schedule-I chemical warfare agents utilizing Zr(OH)4 @W-ACF functional material for the development of next generation NBC protective gears. Sci. Rep. 2021, 11, 24421. [Google Scholar] [CrossRef]
- Elayadi, F.; Boumya, W.; Achak, M.; Chhiti, Y.; Alaoui, F.E.M.; Barka, N.; Adlouni, C.E. Experimental and Modeling Studies of the Removal of Phenolic Compounds from Olive Mill Wastewater by Adsorption On Sugarcane Bagasse. Environ. Chall. 2021, 4, 100184. [Google Scholar] [CrossRef]
- Han, Q.; Yang, L.; Liang, Q.L.; Ding, M.Y. Three-dimensional hierarchical porous graphene aerogel for efficient adsorption and preconcentration of chemical warfare agents. Carbon 2017, 122, 556–563. [Google Scholar] [CrossRef]
- Lin, S.; Lu, D.; Liu, Z. Removal of arsenic contaminants with magnetic c-Fe2O3 nanoparticles. Chem. Eng. J. 2012, 211, 46–52. [Google Scholar] [CrossRef]















| PFO | PSO | |||||
|---|---|---|---|---|---|---|
| (min−1) | (mg/g) | (g·mg−1·min−1) | (mg/g) | |||
| GB | 0.90089 | 0.73516 | 0.0909 | 0.99742 | 8.82163085 | 0.103125 |
| GD | 0.86907 | 0.52878 | 0.0680 | 0.98594 | 6.79722099 | 0.081349 |
Disclaimer/Publisher’s Note: The statements, opinions and data contained in all publications are solely those of the individual author(s) and contributor(s) and not of MDPI and/or the editor(s). MDPI and/or the editor(s) disclaim responsibility for any injury to people or property resulting from any ideas, methods, instructions or products referred to in the content. |
© 2023 by the authors. Licensee MDPI, Basel, Switzerland. This article is an open access article distributed under the terms and conditions of the Creative Commons Attribution (CC BY) license (https://creativecommons.org/licenses/by/4.0/).
Share and Cite
Wu, J.; Qu, G.; Yan, L.; Wang, R.; Guo, P.; Yang, Y.; Li, X. Efficient Removal of Representative Chemical Agents by Rapid and Sufficient Adsorption via Magnetic Graphene Oxide Composites. Appl. Sci. 2023, 13, 10731. https://doi.org/10.3390/app131910731
Wu J, Qu G, Yan L, Wang R, Guo P, Yang Y, Li X. Efficient Removal of Representative Chemical Agents by Rapid and Sufficient Adsorption via Magnetic Graphene Oxide Composites. Applied Sciences. 2023; 13(19):10731. https://doi.org/10.3390/app131910731
Chicago/Turabian StyleWu, Jina, Gang Qu, Long Yan, Ruixue Wang, Peiwen Guo, Yang Yang, and Xiaosen Li. 2023. "Efficient Removal of Representative Chemical Agents by Rapid and Sufficient Adsorption via Magnetic Graphene Oxide Composites" Applied Sciences 13, no. 19: 10731. https://doi.org/10.3390/app131910731
APA StyleWu, J., Qu, G., Yan, L., Wang, R., Guo, P., Yang, Y., & Li, X. (2023). Efficient Removal of Representative Chemical Agents by Rapid and Sufficient Adsorption via Magnetic Graphene Oxide Composites. Applied Sciences, 13(19), 10731. https://doi.org/10.3390/app131910731
