A Simplified Mechanical Model and Analysis for the Settlement Deformation of Buried Pipelines Caused by Open-Cut Excavation
Abstract
:1. Introduction
2. Simplified Mechanical Model
2.1. Analytical Model
2.2. Boundary Conditions and Coefficients
3. Examples
3.1. Verification of the Present Formulation
3.2. The Effects of Calculated Parameters on Results
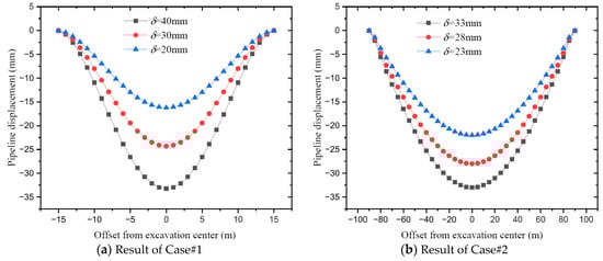
3.2.1. The Effects of Ground Displacement δ on the Pipeline Settlement
3.2.2. The Effects of Calculated Length l on the Pipeline Settlement
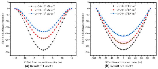
3.2.3. The Effects of Subgrade Modulus k on the Pipeline Settlement
4. An Engineering Application
4.1. General Description
4.2. Analysis of the Pipeline Settlement Displacement
4.2.1. Analysis of the Measured Displacement
4.2.2. Determination of Calculated Parameters
4.2.3. Result Analysis
5. Discussion
6. Conclusions
Author Contributions
Funding
Institutional Review Board Statement
Informed Consent Statement
Data Availability Statement
Acknowledgments
Conflicts of Interest
References
- Li, X.Q.; Zhang, Z.H.; Sun, C. Situation and prospects of excavation impact on adjacent underground pipelines. J. Jilin Jianzhu Univ. 2015, 32, 13–18. [Google Scholar]
- Liu, M.; Ortega, R. Assessment of impact to buried pipelines due to tunneling-induced settlement. J. Pipeline Syst. Eng. Pract. 2023, 14, 04023020. [Google Scholar] [CrossRef]
- Yu, C.; Han, C.J.; Xie, R.; Wang, L. Mechanical behavior analysis of buried pipeline under stratum settlement caused by underground mining. Int. J. Press. Vessel. Pip. 2020, 188, 104212. [Google Scholar] [CrossRef]
- Jiao, N.; Ding, J.W.; Ji, F.; Guo, K.; Liao, Z.S. Analysis on influence of deep foundation pit excavation in soil-rock composite stratum on deformation of adjacent pipelines. J. Southeast Univ. 2022, 52, 229–236. [Google Scholar]
- Kouretzis, G.P.; Karamitros, D.K.; Sloan, S.W. Analysis of buried pipelines subjected to ground surface settlement and heave. Can. Geotech. J. 2015, 52, 1058–1071. [Google Scholar] [CrossRef]
- Zhang, Z.G.; Zhang, M.X.; Zhao, Q.H. A simplified analysis for deformation behavior of buried pipelines considering disturbance effects of underground excavation in soft clays. Arab. J. Geosci. 2015, 8, 7771–7785. [Google Scholar] [CrossRef]
- Peck, R.B. Deep excavation and tunneling in soft ground, Deep excavations and tunneling in soft ground. In Proceedings of the 7th International Conference on Soil Mechanics and Foundation Engineering, State of the Art Volume, Mexico City, Mexico, 3–5 August 1969; pp. 225–290. [Google Scholar]
- Gong, X.N.; Sun, Z.J.; Yu, J.L. Analysis of displacement of adjacent buried pipeline caused by ground surcharge. Rock Soil Mech. 2015, 36, 305–310. [Google Scholar]
- Jiang, Z. Theoretical analysis on deformation of pipeline caused by adjacent foundation pit excavation. Chin. J. Undergr. Space Eng. 2014, 10, 362–368. [Google Scholar]
- He, X.L.; Yang, T.H.; Zhou, Y.W.; Liang, L.J.; Xu, C.J. Analysis of pipeline displacement induced by adjoining foundation pit excavation considering pipeline-soil separation. J. Civ. Environ. Eng. 2019, 41, 9–16. [Google Scholar]
- Zhao, S.W.; Li, X.L.; Li, X.; Chen, L.G.; Li, T.; Li, S.H.; Bai, Y. Analysis of pipeline deformation caused by shield tunnel excavation that obliquely crosses existing pipelines. Arab. J. Geosci. 2022, 15, 227. [Google Scholar] [CrossRef]
- Zhu, J.; Zhu, D.Y. Deformation of pipelines induced by the construction of underlying twin-tunnel. Tehnicki Vjesnik-Technical Gazette 2020, 27, 1311–1315. [Google Scholar]
- Lin, C.G.; Huang, M.S.; Nadim, F.; Liu, Z.Q.; Yu, J. Analytical solutions for tunnelling-induced response of two overlying pipelines. Tunneling Undergr. Space Technol. Inc. Trenchless Technol. Res. 2021, 108, 103678. [Google Scholar] [CrossRef]
- Crofts, J.E.; Menziest, B.K.; Tarzi, A.I. Lateral displacement of shallow buried pipelines due to adjacent deep trench excavations. Geotechnique 1977, 27, 161–179. [Google Scholar] [CrossRef]
- Dong, Y.P.; Burd, H.J.; Houlsby, G.T. Finite-Element Investigation of excavation-induced settlements of buildings and buried pipelines. J. Geotech. Geoenviron. Eng. 2022, 148, 04022072. [Google Scholar] [CrossRef]
- Zhang, J.; Liang, Z.; Zhao, G.H. Mechanical behaviour analysis of a buried steel pipeline underground overload. Eng. Fail. Anal. 2016, 63, 131–145. [Google Scholar] [CrossRef]
- Zhang, K.Y.; Torres, J.L.C.; Zang, Z.J. Numerical analysis of pipelines settlement inducedby tunneling. Adv. Civ. Eng. 2019, 2019, 4761904. [Google Scholar]
- Song, Z.P.; Wu, Y.C.; Zhang, Y.W.; Wang, K.S.; Tian, J.L.; Tian, X.X. Deformation response of a pipeline to nearby deep foundation pit excavation: Numerical simulations and field tests. Appl. Sci. 2023, 13, 6579. [Google Scholar] [CrossRef]
- Alshboul, O.; Almasabha, G.; Shehadeh, A.; Al Hattamleh, O.; Almuflih, A.S. Optimization of the structural performance of buried reinforced concrete pipelines in cohesionless soils. Materials 2022, 15, 4051. [Google Scholar] [CrossRef]
- Almasabha, G.; Shehadeh, A.; Alshboul, O.; Al Hattamleh, O. Structural performance of buried reinforced concrete pipelines under deep embankment soil. Constr. Innov. 2023. ahead-of-print. [Google Scholar] [CrossRef]
- Uribe-Henao, A.F.; Arboleda-Monsalve, L.G.; Mackie, K. Building response to excavation-induced ground movements from a nonlinear-inelastic perspective. J. Struct. Eng. 2023, 149, 04023021. [Google Scholar] [CrossRef]
- Liao, P.Y.; Ni, P.P.; Ma, B.S.; Sun, W.; Wang, A.X. Centrifuge and numerical modeling of brittle damage of buried pipelines subjected to tunneling induced ground settlements. Tunneling Undergr. Space Technol. Inc. Trenchless Technol. Res. 2023, 138, 105158. [Google Scholar] [CrossRef]
- Liu, H.Y.; Li, H.E.; Huang, Y.S. Displacement calculation on nearby underground pipeline caused by deep excavation based on field test of ground displacement. Ind. Constr. 2011, 41, 72–75. [Google Scholar]
- Liu, X.B.; Chen, Y.L.; Meng, W.B. Two-stage method on the displacement of underground pipelines caused by excavation of deep foundation pit. J. Univ. Shanghai Sci. Technol. 2019, 41, 479–484. [Google Scholar]
- Tan, Y.; Lu, Y. Responses of shallowly buried pipelines to adjacent deep excavations in Shanghai soft ground. J. Pipeline Syst. Eng. Pract. 2018, 9, 05018002. [Google Scholar] [CrossRef]
- Zhang, J.Q.; Zhang, K.L.; Cheng, G.F. Characteristics of surface settlement and deformation of open cut foundation pit in different areas of Beijing. Hydrogeol. Eng. Geol. 2021, 48, 131–139. [Google Scholar]
- Guo, P.P.; Gong, X.N.; Wang, Y.X.; Lin, H.; Zhao, Y.L. Analysis of observed performance of a deep excavation straddled by shallowly buried pressurized pipelines and underneath traversed by planned tunnels. Tunn. Undergr. Space Technol. 2023, 132, 104946. [Google Scholar] [CrossRef]
- Yang, Y.B.; Chen, C.Y.; Liu, C.; Huang, L.T.; Chen, W.; Lin, N.Y.; Cui, J.; Xie, W.D. Performance of a deep excavation and the influence on adjacent piles: A case history in karst region covered by clay and sand. Undergr. Space 2023, 8, 45–60. [Google Scholar] [CrossRef]
- Li, D.Y.; Zhang, T.Q.; Gong, X.N. Analysis of the displacements of buried pipelines caused by deep excavations. Ind. Constr. 1999, 29, 36–42. [Google Scholar]
- Liu, G.B.; Wang, W.D. Excavation Engineering Handbook, 2nd ed; Architecture & Building Press: Beijing, China, 2009. [Google Scholar]
- Wu, W. Analytical analysis of the impact on adjacent underground pipelines due to foundation pit excavation on the Pasternak foundation. J. Water Resour. Water Eng. 2019, 30, 212–216. [Google Scholar]



















| Soil Layer | Thickness/m | Cohesion/kPa | Frictional Angle/(°) | Density/(kN·m−3) |
|---|---|---|---|---|
| Miscellaneous fill | 0.5 | 0 | 8 | 16.5 |
| Silty clay | 0.5~5.6 | 16.8 | 22 | 19.3 |
| Sandy clay | 0.9~7.3 | 18.5 | 20 | 19.2 |
| Silty clay | 4.7~10.6 | 30.6 | 12 | 20.6 |
| Fine sandy | 0.8~6.5 | 6 | 15 | 17.4 |
| Silty clay | 3.5~21.5 | 17.6 | 20 | 19.1 |
| Weathered Granite | 19.2~27.5 | 33 | 22 | 21.5 |
| Number | Distance/mm | Number | Distance/mm |
|---|---|---|---|
| GX01 | 23,617 | GX02 | 14,549 |
| GX03 | 11,209 | GX04 | 10,744 |
| GX05 | 11,497 | GX06 | 17,048 |
| GX07 | 13,250 | GX08 | 7778 |
| GX09 | 13,174 |
Disclaimer/Publisher’s Note: The statements, opinions and data contained in all publications are solely those of the individual author(s) and contributor(s) and not of MDPI and/or the editor(s). MDPI and/or the editor(s) disclaim responsibility for any injury to people or property resulting from any ideas, methods, instructions or products referred to in the content. |
© 2023 by the authors. Licensee MDPI, Basel, Switzerland. This article is an open access article distributed under the terms and conditions of the Creative Commons Attribution (CC BY) license (https://creativecommons.org/licenses/by/4.0/).
Share and Cite
Lu, Y.; He, J.; Jing, Y.; Chen, X. A Simplified Mechanical Model and Analysis for the Settlement Deformation of Buried Pipelines Caused by Open-Cut Excavation. Appl. Sci. 2023, 13, 10356. https://doi.org/10.3390/app131810356
Lu Y, He J, Jing Y, Chen X. A Simplified Mechanical Model and Analysis for the Settlement Deformation of Buried Pipelines Caused by Open-Cut Excavation. Applied Sciences. 2023; 13(18):10356. https://doi.org/10.3390/app131810356
Chicago/Turabian StyleLu, Yulin, Jinze He, Yinuo Jing, and Xiaoran Chen. 2023. "A Simplified Mechanical Model and Analysis for the Settlement Deformation of Buried Pipelines Caused by Open-Cut Excavation" Applied Sciences 13, no. 18: 10356. https://doi.org/10.3390/app131810356
APA StyleLu, Y., He, J., Jing, Y., & Chen, X. (2023). A Simplified Mechanical Model and Analysis for the Settlement Deformation of Buried Pipelines Caused by Open-Cut Excavation. Applied Sciences, 13(18), 10356. https://doi.org/10.3390/app131810356

