Multi-Compartment Vehicle Routing Problem Considering Traffic Congestion under the Mixed Carbon Policy
Abstract
:1. Introduction
2. Problem Definition
2.1. Problem Description
- The assumptions related to the distribution center are as follows. The quantity of different types of products is sufficient to meet the needs of different types of products at all customer nodes in the distribution area. The number of MCVs is sufficient to meet the logistics service needs of different types of products at all customer nodes. The number of compartments in the MCV corresponds to the number of product types required by the customers. In other words, the MCV can meet the needs of separate loading and joint distribution of all types of products. Different product types must be loaded strictly separately to ensure that the products will not affect each other and there will be no cross-infection.
- The assumptions related to the client node are as follows. The demand of each customer for each product is known and cannot exceed the capacity ceiling of the corresponding compartment. Each customer's demand for all kinds of products cannot be distributed separately; that is, a customer node can only be served by one MCV. A MCV can serve multiple customer nodes. Moreover, since the maximum capacity of each compartment and entire vehicle is fixed, the MCV is constrained by the capacity ceiling in the distribution process.
- The assumptions related to traffic congestion are as follows. There is traffic congestion in the urban distribution area. The congestion degree of the same road section is constant, whereas the congestion degree of different road sections is different. The travel speed and travel time of MCVs depend on the congestion degree of the road section, which is obtained through the BPR function. The MCV drives at a constant speed within each road section. The carbon emissions of MCVs in the distribution process are affected by the load and travel speed. In the distribution process of MCVs, the loading and unloading of products will lead to a change in the vehicle load and then affect the carbon emissions. Similarly, a change in traffic congestion will lead to a change in vehicle travel speed, which will also affect carbon emissions. These effects are obtained through the MEET formula.
- The assumptions relevant for the mixed carbon policy are as follows. In order to control the carbon emissions of urban traffic, the government implements the mixed carbon policy in the distribution area. The “mixed carbon policy” refers to the simultaneous implementation of a carbon tax policy and a carbon trading policy. Considering the superposition of carbon emission reduction policies, the implementation intensity of the two emission reduction policies is set by the government. The total implementation intensity is 1, the intensity of the two carbon policies is greater than or equal to 0 and less than or equal to 1. The carbon tax price and carbon emissions control coefficient are set by the government. The carbon trading price depends on the carbon trading market. The initial carbon quota is provided by the government, and the distribution center does not need to bid for and buy the initial carbon quota.
2.2. Cost Analysis
2.2.1. Travel Time and Travel Speed Considering the Congestion Level
2.2.2. Vehicle Management and Use Cost
2.2.3. Vehicle Transportation Cost
2.2.4. Mixed Carbon Emission Cost
2.3. Mathematical Formulation
3. Solution Approach
3.1. Stage of Initial Solution Generation and Pre-Optimization
3.1.1. Process of the Algorithm
| Algorithm 1: Initial solution generation and pre-optimization. |
| The maximum number of iterations Initial solution //Loop: for to do Use the scanning method to generate the initial solution . Use the local optimization process to obtain the pre-optimized initial solution . if end if end for //Output: Pre-optimized initial scheme. |
3.1.2. Initial Solution Generation Based on the Scanning Method
3.1.3. Pre-Optimization of the Initial Solution Based on the Local Optimization Process
3.1.4. Initial Solution Acceptance of the Stopping Criterion Based on the Maximum Number of Iterations
3.2. Re-Optimization Stage and VNS-TA Algorithm
3.2.1. Idea and Process
| Algorithm 2: The VNS-TA algorithm in the re-optimization stage. |
| Tolerance coefficient , decline rate of tolerance coefficient and neighborhood structure set , where , and the maximum number of iterations . The current solution , and the current optimal solution . //Loop: for to do while do
if if end if else Change in the threshold acceptance range: if else end if end if end while Change of the tolerance coefficient: end for //Output: Re-optimized scheme. |
3.2.2. Shaking Process
- Integrated-k-opt neighborhood. The integrated-k-opt neighborhood is designed based on the idea of the k-opt operator. The k-opt operator process is as follows: arbitrarily remove different arcs on the current path, add new arcs to reconnect to form new paths and, finally, generate new solutions. The steps for the integrated-k-opt neighborhood are as follows.
- Step 1Randomly generate an integer from to and assign it to ; that is, randomly select a transformation.
- Step 2Determine the value of , randomly select different client nodes on to form sequence and sort the client nodes in ascending order to obtain a new node sequence , where is the original path sequence.
- Step 3Assign the original path sequence to .
- Step 4Flip all nodes between and on and assign them to all nodes between and on .
- Step 5When , loops from to and executes the following statements.
- ○
- Step 5.1Flip all nodes between and on and assign them to all nodes between and on .
- Step 6Output .
- Integrated-cross-exchange neighborhood and integrated-icross-exchange neighborhood. The integrated-cross-exchange neighborhood and integrated-icross-exchange neighborhood are designed based on the ideas of swap, cross-exchange, icross-exchange and three-point operators. The swap operator process is as follows: two different nodes (or node fragments) on the path are randomly selected for exchange. The cross-exchange operator process is as follows: two node fragments are placed in one another's position without changing direction. The icross-exchange operator process is as follows: the two node fragments to be exchanged are flipped and placed in one another's position. The three-point procedure is as follows: a single node and two adjacent nodes on the path are selected for exchange. Note that the steps of the integrated-icross-exchange neighborhood are nearly identical to those of the integrated-cross-exchange neighborhood, except for the action of changing the direction of the node fragment before the exchange. The steps for the integrated-cross-exchange neighborhood are as follows.
- Step 1Obtain the number of all client nodes of path and assign the original path sequence to the new path sequence .
- Step 2Randomly select two different client nodes in and assign the nodes to and according to the position order, where and represent the anchor points of two nodes (or node fragments) to be exchanged.
- Step 3Randomly generate or .
- Step 4When is generated, execute the following statements.
- ○
- Step 4.1Randomly select the number of nodes to be exchanged, where .
- ○
- Step 4.2Deal with extreme points. When , assign to . When , assign to .
- ○
- Step 4.3For . If , exchange nodes and . If , exchange two client node fragments and without changing direction. Gain .
- Step 5When is generated, execute the following statements.
- ○
- Step 5.1Randomly select the number of nodes of the client node fragment to be exchanged with a single client node, where .
- ○
- Step 5.2Deal with the extreme points. When , assign to .
- ○
- Step 5.3For . Exchange the single node and the node fragment without changing direction. Gain .
- Step 6Remove duplicate nodes in without changing the sequence order of the client nodes.
- Step 7Output .
- Integrated-cross-insert neighborhood and integrated-icross-insert neighborhood. The integrated-cross-insert neighborhood and integrated-icross-insert neighborhood are designed based on the ideas of the insert, cross-exchange and icross-exchange operators. The insert operator process is as follows: two points on the path are randomly selected, and one point (or node fragment) is inserted in front of or behind the other node. Note that the steps of the integrated-icross-insert neighborhood are nearly identical to those of the integrated-cross-insert neighborhood, except for the action of changing the direction of the node fragment before the insertion. The steps for the integrated-cross-insert neighborhood are as follows.
- Step 1Obtain the number of all client nodes of path .
- Step 2Randomly select two different client nodes in , and assign the nodes to and according to the position order, where and are the two anchor points for the insertion operation to be performed.
- Step 3Randomly generate or .
- Step 4When is generated, execute the following statements.
- ○
- Step 4.1Randomly select the number of client nodes to be inserted, where .
- ○
- Step 4.2For . If , insert client nodes between client nodes and to form a new path sequence . Note that both single-node and multi-node insertions are included.
- ○
- Step 4.3Otherwise, assign directly to .
- Step 5When is generated, execute the following statements.
- ○
- Step 5.1Randomly select the number of client nodes to be inserted, where .
- ○
- Step 5.2For . If , insert client nodes between client nodes and to form a new path sequence .
- ○
- Step 5.3Otherwise, assign directly to .
- Step 6Remove duplicate nodes in without changing the sequence order of the client nodes.
- Step 7Output .
3.2.3. Local Optimization Process
- (1)
- Neighbor path selection mechanism. This design is based on the neighbor optimization mechanism [42], the idea of gradually expanding the local search space of solutions [28] and the empirical basis for the construction of VNS [46]. The mechanism selects two paths for local search and optimization according to the order of the search value and optimization space from large to small. There are a few key points to note here. First, the closer the two paths are in physical space, the easier it is to generate invalid intersections. In this case, there is a larger search value and optimization space between the two paths, and eliminating invalid intersections can realize the optimization of the solution. When the distance between the two paths increases, the search value and optimization space correspondingly decrease. Second, the closer the two paths are, the closer the “distance” is between the new solution and the old solution in the solution space. In this case, there are more high-quality common features between the two solutions, and it is easier to obtain a better, new solution based on the old solution. In addition, note that the maximum number of intervals between two paths is —that is, the rounding down of of the number of paths. The explanation is that choosing and is equivalent to choosing and . For example, in the case of , the choice of and when is equivalent to the choice of and when . Moreover, when two paths are repeatedly selected, the search value and optimization space decrease and the invalid repeated search and running time increase.
- (2)
- Local search operators. Based on the two selected paths, the 2-opt*, swap and insert operators are used for the local search between paths. The 2-opt operator is used to expand the search and optimization within the path for the two paths. Specifically, the 2-opt* operator process is as follows: select one arc in each of the two paths for elimination to obtain four path fragments and generate two new paths different from the original two paths by reconnecting them. Note that the reconnection of four fragments results in two connection modes, as shown in Figure 1a. The swap operator process is as follows: select a node in each of the two paths for exchange to form two new paths, as shown in Figure 1b. The insert operator process is as follows: select a node in each of the two paths and insert one node in front of or behind the other node to form two new paths, as shown in Figure 1c. Notably, the insert operator may cause the disappearance of the path. Therefore, a mechanism of “eliminating the empty path exiting the loop re-entering the loop” is designed to help the local optimization process continue. The 2-opt operator process is as follows: select two different nodes on the path and flip the two nodes and all nodes in between to obtain a new path, as shown in Figure 1d. In addition, the local search will lead to changes in the load and driving distance of certain MCVs. Therefore, it is necessary to rejudge the new path that is formed. If the new solution satisfies the vehicle capacity limit and the acceptance criterion of the solution, the solution is accepted. Otherwise, the solution is not accepted.
3.2.4. Acceptance Criteria for the Solution
| Algorithm 3: Framework based on Strategy 1. |
| 1 The outer loop begins 2 The inner loop begins 3 Shaking process 4 Local optimization process 5 Threshold accepts range change 6 Decide whether to accept the new solution 7 The inner loop ends 8 Tolerance coefficient change 9 The outer loop ends |
| Algorithm 4: Framework based on Strategy 2. |
| 1 The outer loop begins 2 The inner loop begins 3 Shaking process 4 Local optimization process 5 Threshold accepts range change 6 Decide whether to accept the new solution 7 Tolerance coefficient change 8 The inner loop ends 9 The outer loop ends |
4. Numerical Experiments and Results
4.1. Example and Parameter Setting
4.1.1. Example Setting
4.1.2. Parameter Setting
4.2. Effectiveness and Optimization Ability Analyses of the Two-Stage VNS-TA Algorithm for Solving the Basic MCVRP
4.2.1. Effectiveness Analysis of the Improved Neighborhood Structure Set
4.2.2. Effectiveness Analysis of the Neighbor Path Selection Mechanism
4.2.3. Effectiveness Analysis of the Acceptance Criteria of the Solution
4.2.4. Comparison with Other Algorithms
4.3. Scenario Simulation Analysis of the Two-Stage VNS-TA Algorithm to Solve the MCVRP Considering Traffic Congestion under the Mixed Carbon Policy
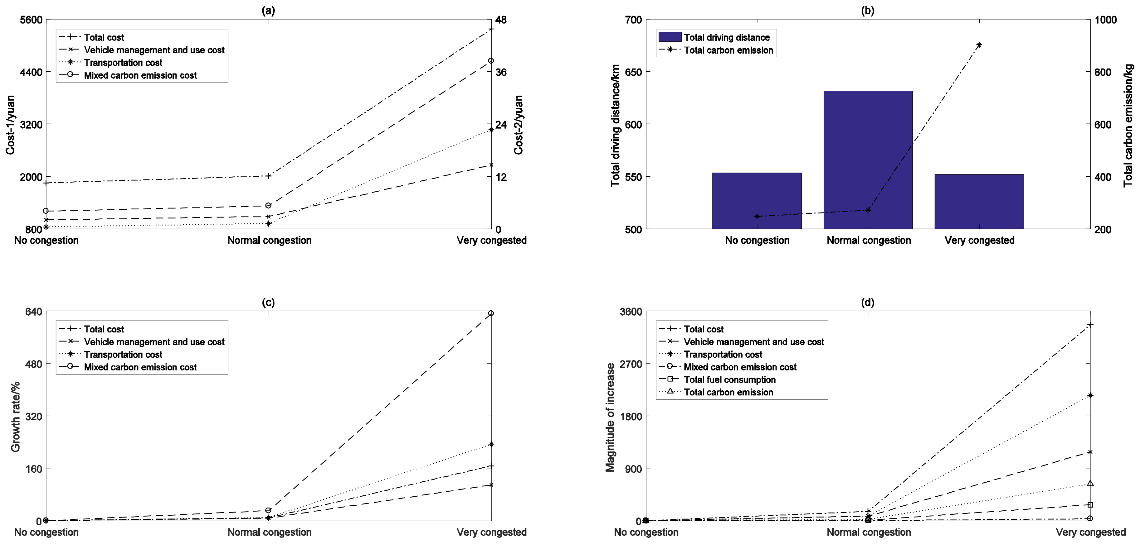
4.3.1. Sensitivity Analysis of Different Traffic Congestion Scenarios
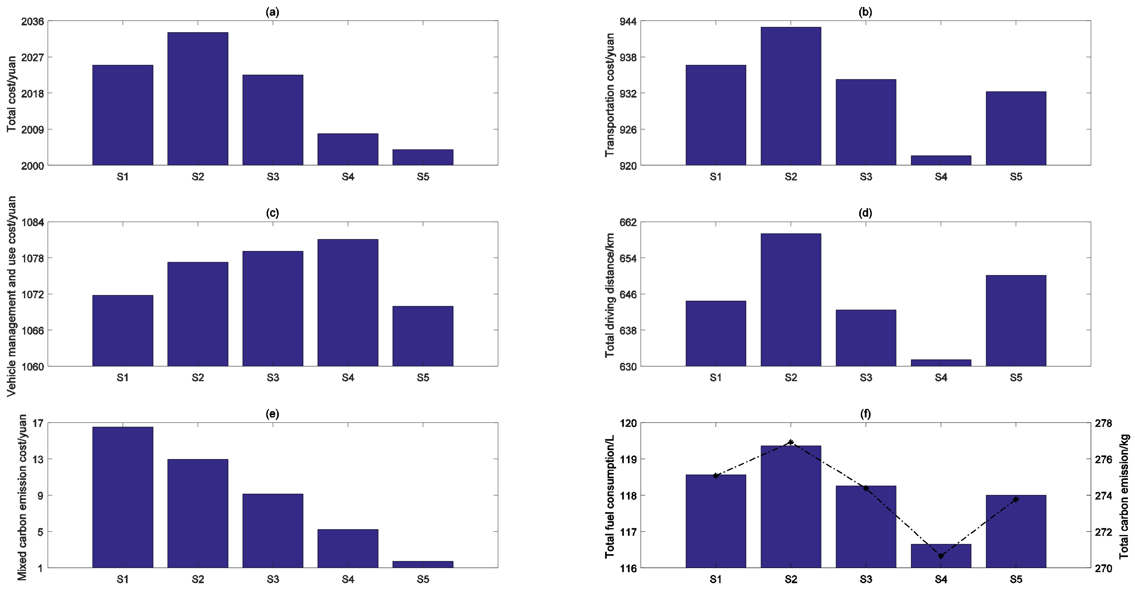
4.3.2. Sensitivity Analysis of Different Mixed Carbon Policy Scenarios
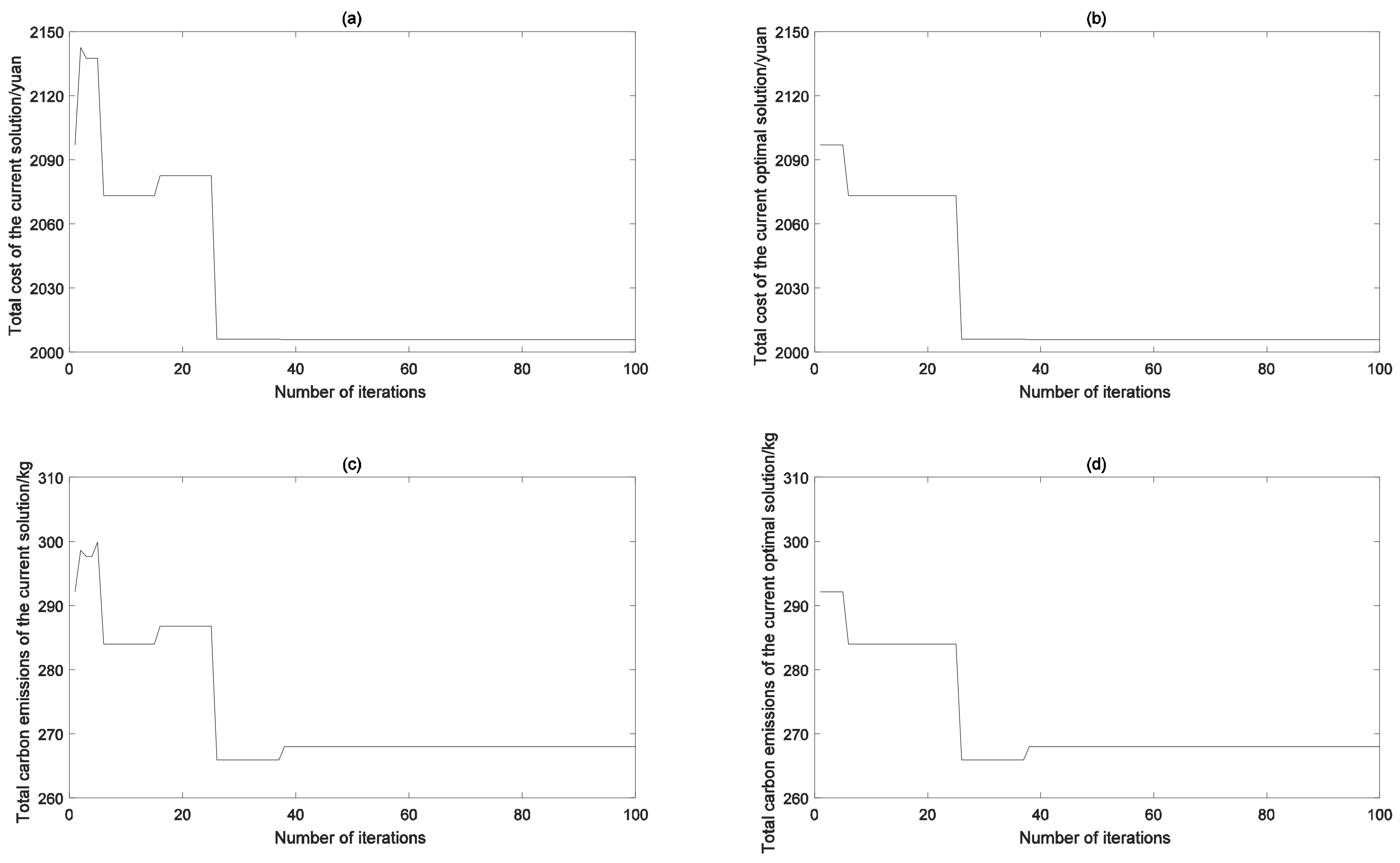
4.3.3. Convergence Analysis Based on the Total Cost and Carbon Emissions
5. Conclusions
Author Contributions
Funding
Institutional Review Board Statement
Informed Consent Statement
Data Availability Statement
Conflicts of Interest
References
- Zhang, M.; An, Y.; Pan, N.; Sun, Y.; Bao, J.; Gao, H.; Han, Y. Heterogeneous vehicle scheduling oriented to urban city supermarket logistics distribution. J. Kunming Univ. Sci. Technol. (Nat. Sci.) 2022, 47, 154–162+181. [Google Scholar]
- Shi, J.; Gao, G. Research on sorting optimization of urban logistics distribution order assignment. Manuf. Autom. 2019, 41, 74–77. [Google Scholar]
- Mohammadi, M.; Rahmanifar, G.; Hajiaghaei-Keshteli, M.; Fusco, G.; Colombaroni, C.; Sherafat, A. A dynamic approach for the multi-compartment vehicle routing problem in waste management. Renew. Sustain. Energy Rev. 2023, 184, 113526. [Google Scholar] [CrossRef]
- Sun, L.; Zhou, Y.; Teng, Y.; Hu, X. Multi-compartment vehicle routing problem: Status and perspectives. Syst. Eng. -Theory Pract. 2021, 41, 1535–1546. [Google Scholar]
- Wang, X.; Liang, Y.; Tang, X.; Jiang, X. A multi-compartment electric vehicle routing with time windows and temperature and humidity settings for perishable product delivery. Expert Syst. Appl. 2023, 233, 120974. [Google Scholar] [CrossRef]
- Ben-Romdhane, H.; Ouertani, N.; Krichen, S.; Nouaouri, I. On optimizing healthcare waste routing systems using waste separation policies: A case study. Appl. Soft Comput. 2023, 146, 110615. [Google Scholar] [CrossRef]
- Shang, C.; Ma, L.; Liu, Y. Green location routing problem with flexible multi-compartment for source-separated waste: A Q-learing and multi-strategy-based hyper-heuristic algorithm. Eng. Appl. Artif. Intell. 2023, 121, 105954. [Google Scholar] [CrossRef]
- Ostermeier, M.; Henke, T.; Hübner, A.; Wäscher, G. Multi-compartment vehicle routing problems: State-of-the-art, modeling framework and future directions. Eur. J. Oper. Res. 2021, 292, 799–817. [Google Scholar] [CrossRef]
- Li, C.; Li, S.; Liu, S.; Li, C. Research on urban logistics distribution network from the perspective of low carbon. Ecol. Econ. 2020, 36, 106–110. [Google Scholar]
- Zong, G.; Zeng, Q.; Wei, S. Research on traffic mode choice behavior based on communicating ravel time value. J. Ind. Eng. Eng. Manag. 2020, 34, 142–150. [Google Scholar]
- Li, Z.; Liao, K.; Cui, Z.; Liu, Y. An evaluation method of CO2 emissions reduction in urban traffic congestion mitigation. J. Transp. Syst. Eng. Inf. Technol. 2020, 20, 8–12+19. [Google Scholar]
- Cheng, T.; Li, Q.; Zhao, Y. A congestion charging model for the urban central area under the consideration of carbon emission and its simulation analysis. Chin. J. Manag. Sci. 2016, 24, 932–937. [Google Scholar]
- Liu, C.; Shen, L.; Sheng, H.; Lyu, X.; Qu, Y. Research on low-carbon time-dependent vehicle routing problem with traffic congestion avoidance approaches. Control Decis. 2020, 35, 2486–2496. [Google Scholar]
- Feng, H.; Wang, X.; Xian, H.; Liu, X.; Li, J.; Ning, E. Impact of urban traffic operations on vehicle carbon dioxide emission. J. Transp. Syst. Eng. Inf. Technol. 2022, 22, 167–175. [Google Scholar]
- Situation and Policy, to See How Highway Traffic Field Carbon Reduction. Available online: https://mp.weixin.qq.com/s?__biz=MjM5OTA5ODQ5OA==&mid=2652400543&idx=1&sn=8d9b00cbe5853e6ac3ddc38bc5a1c1c6&chksm=bd2c6a728a5be36480ceb9df50d3b3d95e7e9fd716314f304ecf592d5e875676a181190047e2&scene=27 (accessed on 1 September 2023).
- Carbon Trading, Carbon Tax and Green Premium: Realizing Carbon Emission Reduction Path Selection. Available online: https://baijiahao.baidu.com/s?id=1714019025765469370&wfr=spider&for=pc (accessed on 1 September 2023).
- Research Group of Chinese Academy of Fiscal Sciences. Selecting appropriate opportunities to levy carbon tax while actively promoting carbon emissions trading. Public Financ. Res. 2018, 4, 2–19. [Google Scholar]
- Diao, X.; Zeng, Z.; Sun, C. Research on coordination of supply chain with two products based on mix carbon policy. Chin. J. Manag. Sci. 2021, 29, 149–159. [Google Scholar]
- Zhao, L.; Jin, S.; Jiang, H. Investigation of complex dynamics and chaos control of the duopoly supply chain under the mixed carbon policy. Chaos Solitons Fract. 2022, 164, 112492. [Google Scholar] [CrossRef]
- Cheng, X.; Jin, C. Route selection problem in multimodal transportation with traffic congestion considered under low-carbon policies. Oper. Res. Manag. Sci. 2019, 28, 67–77. [Google Scholar]
- Zhao, Z.; Li, X.; Zhou, X.; Liu, C. Research on green vehicle routing problem of cold chain distribution: Considering traffic congestion. Comput. Eng. Appl. 2020, 56, 224–231. [Google Scholar]
- Liu, C.; Zhou, X.; Sheng, H.; Luo, L. TDVRPTW of fresh e-commerce distribution: Considering both economic cost and environmental cost. Control Decis. 2020, 35, 1273–1280. [Google Scholar]
- Yao, K.; Yang, B.; Zhu, X. Low-carbon vehicle routing problem based on real-time traffic conditions. Comput. Eng. Appl. 2019, 55, 231–237. [Google Scholar]
- Heßler, K. Exact algorithms for the multi-compartment vehicle routing problem with flexible compartment sizes. Eur. J. Oper. Res. 2021, 294, 188–205. [Google Scholar] [CrossRef]
- Frank, M.; Ostermeier, M.; Holzapfel, A.; Hübner, A.; Kuhn, H. Optimizing routing and delivery patterns with multi-compartment vehicles. Eur. J. Oper. Res. 2021, 293, 495–510. [Google Scholar]
- Lahyani, R.; Coelho, L.C.; Khemakhem, M.; Laporte, G.; Semet, F. A multi-compartment vehicle routing problem arising in the collection of olive oil in Tunisia. Omega 2015, 51, 1–10. [Google Scholar] [CrossRef]
- Mendoza, J.E.; Castanier, B.; Guéret, C.; Medaglia, A.L.; Velasco, N. A memetic algorithm for the multi-compartment vehicle routing problem with stochastic demands. Comput. Oper. Res. 2010, 37, 1886–1898. [Google Scholar] [CrossRef]
- Henke, T.; Speranza, M.G.; Wäscher, G. The multi-compartment vehicle routing problem with flexible compartment sizes. Eur. J. Oper. Res. 2015, 246, 730–743. [Google Scholar] [CrossRef]
- Reed, M.; Yiannakou, A.; Evering, R. An ant colony algorithm for the multi-compartment vehicle routing problem. Appl. Soft Comput. 2014, 15, 169–176. [Google Scholar] [CrossRef]
- Alinaghian, M.; Shokouhi, N. Multi-depot multi-compartment vehicle routing problem, solved by a hybrid adaptive large neighborhood search. Omega 2018, 76, 85–99. [Google Scholar] [CrossRef]
- Chen, J.; Zhou, N.; Wang, Y. Optimization of multi-compartment cold chain distribution vehicle routing for fresh agricultural products. Syst. Eng. 2018, 36, 106–113. [Google Scholar]
- Chen, J.; Zhang, S.; Dan, B. Improved particle swarm optimization for multi-compartment vehicle routing problem. Comput. Integr. Manuf. Syst. 2019, 25, 2952–2962. [Google Scholar]
- Wang, X.; Zhan, H.; Sun, Z.; Li, F. Optimization of routes for multi-compartment, multi-trip refined oil distribution with replenishment time. J. Ind. Eng. Eng. Manag. 2020, 34, 182–195. [Google Scholar]
- Hübner, A.; Ostermeier, M. A multi-compartment vehicle routing problem with loading and unloading costs. Transp. Sci. 2019, 53, 282–300. [Google Scholar] [CrossRef]
- Guo, N.; Qian, B.; Na, J.; Hu, R.; Mao, J. A three-dimensional ant colony optimization algorithm for multi-compartment vehicle routing problem considering carbon emissions. Appl. Soft Comput. 2022, 127, 109326. [Google Scholar] [CrossRef]
- Chen, J.; Dan, B.; Shi, J. A variable neighborhood search approach for the multi-compartment vehicle routing problem with time windows considering carbon emission. J. Clean. Prod. 2020, 277, 123932. [Google Scholar] [CrossRef]
- Wang, X.; Zhan, H.; Li, L. The optimization research of refined oil multi-compartment distribution route considering temporal-spatial distance. J. Ind. Eng. Eng. Manag. 2018, 32, 126–132. [Google Scholar]
- Zhan, H.; Wang, X.; Sun, Z.; He, H. Variable neighborhood search for the multi-objective multi-compartment optimization of refined products distribution. Syst. Eng.-Theory Pract. 2019, 39, 2660–2675. [Google Scholar]
- Kaabachi, I.; Yahyaoui, H.; Krichen, S.; Dekdouk, A. Measuring and evaluating hybrid metaheuristics for solving the multi-compartment vehicle routing problem. Measurement 2019, 141, 407–419. [Google Scholar] [CrossRef]
- Wang, S.; Wang, L.; Gao, L.; Cui, X.; Chen, X. Improvement study on BPR link performance function. J. Wuhan Univ. Technol. (Transp. Sci. Eng.) 2009, 33, 446–449. [Google Scholar]
- Methodology for Calculating Transport Emissions and Energy Consumption. Available online: https://trimis.ec.europa.eu/project/methodology-calculating-transport-emissions-and-energy-consumption (accessed on 10 September 2023).
- Yao, G.; Fan, X.; Zhang, D. Improved variable neighborhood search algorithm for multi-compartment vehicle routing problem. Comput. Integr. Manuf. Syst. 2022, 28, 2981–2997. [Google Scholar]
- Dueck, G.; Scheuer, T. Threshold accepting: A general purpose optimization algorithm appearing superior to simulated annealing. J. Comput. Phys. 1990, 90, 161–175. [Google Scholar] [CrossRef]
- Mladenovic, N.; Hansen, P. Variable neighborhood search. Comput. Oper. Res. 1997, 24, 1097–1100. [Google Scholar] [CrossRef]
- Hansen, P.; Mladenovic, N. Variable neighborhood search: Principles and applications. Eur. J. Oper. Res. 2001, 130, 449–467. [Google Scholar] [CrossRef]
- Wang, L.; Xu, S.; Zhao, Y.; Zhao, Q. Model and algorithm for order acceptance on multi-node production environment with limited buffer. Chin. J. Manag. Sci. 2015, 23, 135–141. [Google Scholar]
- Cook, S.A. The complexity of theorem-proving procedures. In Proceedings of the third annual ACM Symposium on the Theory of Computation, Shaker Heights, OH, USA, 3–5 May 1971; ACM: New York, NY, USA, 1971. [Google Scholar]
- Ge, X.; Tan, B.; Wu, N. Research on vehicle routing problem and algorithm with time window based on carbon trading mechanism. J. Ind. Eng. Eng. Manag. 2018, 32, 141–148. [Google Scholar]
- Notice of Beijing Municipal Commission of Development and Reform on the Pilot Work of Carbon Emission Trading in 2016. Available online: https://www.bjets.com.cn/article/zcfg/201512/20151200000696.shtml (accessed on 1 September 2023).








| Category of Scenarios | Weight Ratio between Costs | Meaning of Scenario |
|---|---|---|
| S1 | Only the carbon tax policy is adopted. | |
| S2 | The carbon tax policy is dominant, and the carbon trading policy is supplemented. | |
| S3 | The carbon tax policy and the carbon trading policy are equal. | |
| S4 | The carbon trading policy is dominant, and the carbon tax policy is supplemented. | |
| S5 | Only the carbon trading policy is adopted. |
| Example of Calculation | IPSO | IVNS | Two-Stage VNS-TA | ||||
|---|---|---|---|---|---|---|---|
| Optimal Value | Value of Reduction | Percentage of Optimization | Average Value | Standard Variance | |||
| vrpnc1-S2 | 552.19 | 550.6958 | 550.6958 | 0 | 0.00% | 551.5908 | 0.7308 |
| vrpnc1-S3 | 549.69 | 547.9608 | 547.9608 | 0 | 0.00% | 548.3637 | 0.3625 |
| vrpnc2-S2 | 933.72 | 874.2201 | 868.606 | −5.6141 | −0.64% | 872.4336 | 2.3628 |
| vrpnc2-S3 | 980.56 | 883.5585 | 878.328 | −5.2305 | −0.59% | 883.9418 | 4.1727 |
| vrpnc3-S2 | 941.71 | 873.992 | 864.8485 | −9.1435 | −1.05% | 870.6048 | 5.0803 |
| vrpnc3-S3 | 942.17 | 872.7455 | 872.2247 | −0.5208 | −0.06% | 879.6754 | 6.7235 |
| vrpnc4-S2 | 1236.16 | 1091.991 | 1084.4192 | −7.5718 | −0.69% | 1090.7992 | 3.274 |
| vrpnc4-S3 | 1272.13 | 1117.096 | 1102.6068 | −14.4892 | −1.30% | 1112.9597 | 9.6698 |
| vrpnc5-S2 | 1632.95 | 1393.437 | 1364.9778 | −28.4592 | −2.04% | 1374.8837 | 6.147 |
| vrpnc5-S3 | 1658.33 | 1446.556 | 1408.844 | −37.712 | −2.61% | 1418.3487 | 9.4022 |
| vrpnc11-S2 | 1317.87 | 1094.415 | 1092.8736 | −1.5414 | −0.14% | 1150.4099 | 45.5913 |
| vrpnc11-S3 | 1327.51 | 1214.479 | 1204.437 | −10.042 | −0.83% | 1215.6311 | 8.1814 |
| vrpnc12-S2 | 916.37 | 828.0884 | 820.5216 | −7.5668 | −0.91% | 822.2101 | 1.2296 |
| vrpnc12-S3 | 993.57 | 924.0961 | 923.737 | −0.3591 | −0.04% | 931.5986 | 9.8541 |
Disclaimer/Publisher’s Note: The statements, opinions and data contained in all publications are solely those of the individual author(s) and contributor(s) and not of MDPI and/or the editor(s). MDPI and/or the editor(s) disclaim responsibility for any injury to people or property resulting from any ideas, methods, instructions or products referred to in the content. |
© 2023 by the authors. Licensee MDPI, Basel, Switzerland. This article is an open access article distributed under the terms and conditions of the Creative Commons Attribution (CC BY) license (https://creativecommons.org/licenses/by/4.0/).
Share and Cite
Fan, X.; Yao, G.; Yang, Y. Multi-Compartment Vehicle Routing Problem Considering Traffic Congestion under the Mixed Carbon Policy. Appl. Sci. 2023, 13, 10304. https://doi.org/10.3390/app131810304
Fan X, Yao G, Yang Y. Multi-Compartment Vehicle Routing Problem Considering Traffic Congestion under the Mixed Carbon Policy. Applied Sciences. 2023; 13(18):10304. https://doi.org/10.3390/app131810304
Chicago/Turabian StyleFan, Xueru, Guanxin Yao, and Yang Yang. 2023. "Multi-Compartment Vehicle Routing Problem Considering Traffic Congestion under the Mixed Carbon Policy" Applied Sciences 13, no. 18: 10304. https://doi.org/10.3390/app131810304
APA StyleFan, X., Yao, G., & Yang, Y. (2023). Multi-Compartment Vehicle Routing Problem Considering Traffic Congestion under the Mixed Carbon Policy. Applied Sciences, 13(18), 10304. https://doi.org/10.3390/app131810304
