Circular Orbit Flip Trajectories Generated by E-Sail
Abstract
:1. Introduction
2. Problem Description and Mathematical Approach
2.1. Spacecraft Dynamics
2.2. Trajectory Design and Optimization
3. Numerical Simulations and Discussion
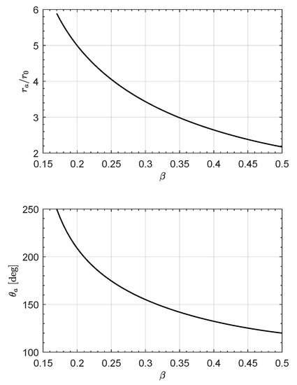
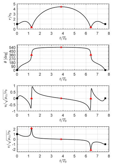
3.1. Case of DT Scenario
3.2. Case of a Transfer with a Single SWA
3.3. Mission Applications
3.3.1. Case of DT with
3.3.2. Single SWA Transfer with
4. Final Remarks and Conclusions
Author Contributions
Funding
Institutional Review Board Statement
Informed Consent Statement
Data Availability Statement
Conflicts of Interest
Abbreviations and Symbols
| COFT | circular orbit flip trajectory |
| E-sail | Electric Solar Wind Sail |
| TPBVP | two-point boundary problem |
| Notation | |
| spacecraft characteristic acceleration [mm/s] | |
| reference propulsive acceleration [mm/s] | |
| propulsive acceleration vector [mm/s] | |
| Hamiltonian function | |
| radial unit vector | |
| transverse unit vector | |
| J | performance index [days] |
| sail normal unit vector | |
| O | Sun’s center of mass |
| r | Sun-spacecraft distance [au] |
| Sun-spacecraft unit vector | |
| reference distance [] | |
| t | time [days] |
| polar reference frame | |
| u | radial component of spacecraft velocity [km/s] |
| v | transverse component of spacecraft velocity [km/s] |
| pitch angle [deg] | |
| auxiliary angle [deg] | |
| dimensionless reference propulsive acceleration | |
| spacecraft polar angle [deg] | |
| variable adjoint to | |
| variable adjoint to | |
| variable adjoint to | |
| variable adjoint to | |
| Sun’s gravitational parameter [km/s] | |
| dimensionless control parameter | |
| Subscripts | |
| 0 | initial parking orbit |
| a | aphelion point |
| f | final |
| p | perihelion point |
| Superscripts | |
| · | derivative with respect to time |
| ∼ | dimensionless form |
| derivative with respect to |
References
- Chobotov, V.A. Orbital maneuvers. In Orbital Mechanics; AIAA Education Series; American Institute of Aeronautics and Astronautics Inc.: Reston, VA, USA, 2002; Chapter 5; pp. 89–92. [Google Scholar] [CrossRef]
- Curtis, H.D. Orbital maneuvers. In Orbital Mechanics for Engineering Students; Aerospace Engineering; Butterworth-Heinemann: Cambridge, MA, USA, 2021; Chapter 6; pp. 89–92. [Google Scholar] [CrossRef]
- Fu, B.; Sperber, E.; Eke, F. Solar sail technology—A state of the art review. Prog. Aerosp. Sci. 2016, 86, 1–19. [Google Scholar] [CrossRef]
- Gong, S.; Macdonald, M. Review on solar sail technology. Astrodynamics 2019, 3, 93–125. [Google Scholar] [CrossRef]
- Zhao, P.; Wu, C.; Li, Y. Design and application of solar sailing: A review on key technologies. Chin. J. Aeronaut. 2023, 36, 125–144. [Google Scholar] [CrossRef]
- Bassetto, M.; Niccolai, L.; Quarta, A.A.; Mengali, G. A comprehensive review of Electric Solar Wind Sail concept and its applications. Prog. Aerosp. Sci. 2022, 128, 100768. [Google Scholar] [CrossRef]
- Mengali, G.; Quarta, A.A. Solar Sail Near-Optimal Circular Transfers with Plane Change. J. Guid. Control Dyn. 2009, 32, 456–463. [Google Scholar] [CrossRef]
- Liu, X.; Xu, Y.; Wang, S. Heterodimensional cycle bifurcation with two orbit flips. Nonlinear Dyn. 2015, 79, 2787–2804. [Google Scholar] [CrossRef]
- Valsecchi, G.; Rickman, H.; Morbidelli, A.; Wisniowski, T.; Gabryszewski, R.; Wajer, P. Direct-retrograde orbit flips at planetary close encounters: The role of the Tisserand parameter. Astron. Astrophys. 2022, 667, A91. [Google Scholar] [CrossRef]
- Wang, Y.; Fu, T. An Orbit-flip Mechanism by Eccentric Lidov-Kozai Effect with Stellar Oblateness. Astron. J. 2023, 165, 201. [Google Scholar] [CrossRef]
- Zhang, T.S.; Zhu, D.M. Codimension-4 resonant homoclinic bifurcations with orbit flips and inclination flips. Acta Math. Sin. Engl. Ser. 2015, 31, 1359–1366. [Google Scholar] [CrossRef]
- Janhunen, P. Electric sail for spacecraft propulsion. J. Propuls. Power 2004, 20, 763–764. [Google Scholar] [CrossRef]
- Janhunen, P.; Sandroos, A. Simulation study of solar wind push on a charged wire: Basis of solar wind electric sail propulsion. Ann. Geophys. 2007, 25, 755–767. [Google Scholar] [CrossRef]
- Janhunen, P. The electric sail—A new propulsion method which may enable fast missions to the outer solar system. J. Br. Interplanet. Soc. 2008, 61, 322–325. [Google Scholar]
- Janhunen, P.; Toivanen, P.K.; Polkko, J.; Merikallio, S.; Salminen, P.; Haeggström, E.; Seppänen, H.; Kurppa, R.; Ukkonen, J.; Kiprich, S.; et al. Electric solar wind sail: Toward test missions. Rev. Sci. Instrum. 2010, 81, 111301. [Google Scholar] [CrossRef] [PubMed]
- Rauhala, T.; Seppänen, H.; Ukkonen, J.; Kiprich, S.; Maconi, G.; Janhunen, P.; Hæggström, E. Automatic 4-wire Heytether production for the electric solar wind sail. In Proceedings of the International Microelectronics Assembly and Packing Society Topical Workshop and Tabletop Exhibition on Wire Bonding, San Jose, CA, USA, 22–23 January 2013. [Google Scholar]
- Seppänen, H.; Rauhala, T.; Kiprich, S.; Ukkonen, J.; Simonsson, M.; Kurppa, R.; Janhunen, P.; Hæggström, E. One kilometer (1 km) electric solar wind sail tether produced automatically. Rev. Sci. Instruments 2013, 84, 095102. [Google Scholar] [CrossRef]
- Janhunen, P.; Toivanen, P.K. TI tether ring for solving secular spinrate change problem of electric sail. arXiv 2017, arXiv:1603.05563. [Google Scholar]
- Janhunen, P.; Merikallio, S.; Paton, M. EMMI—Electric solar wind sail facilitated Manned Mars Initiative. Acta Astronaut. 2015, 113, 22–28. [Google Scholar] [CrossRef]
- Sanchez-Torres, A. Propulsive force in an electric solar sail. Contrib. Plasma Phys. 2014, 54, 314–319. [Google Scholar] [CrossRef]
- Toivanen, P.K.; Janhunen, P. Spin plane control and thrust vectoring of electric solar wind sail. J. Propuls. Power 2013, 29, 178–185. [Google Scholar] [CrossRef]
- Toivanen, P.K.; Janhunen, P. Thrust vectoring of an electric solar wind sail with a realistic sail shape. Acta Astronaut. 2017, 131, 145–151. [Google Scholar] [CrossRef]
- Bassetto, M.; Mengali, G.; Quarta, A.A. Thrust and torque vector characteristics of axially-symmetric E-sail. Acta Astronaut. 2018, 146, 134–143. [Google Scholar] [CrossRef]
- Janhunen, P. Photonic spin control for solar wind electric sail. Acta Astronaut. 2013, 83, 85–90. [Google Scholar] [CrossRef]
- Wang, R.; Wei, C.; Wu, Y.; Zhao, Y. The study of spin control of flexible electric sail using the absolute nodal coordinate formulation. In Proceedings of the IEEE International Conference on Cybernetics and Intelligent Systems, CIS 2017 and IEEE Conference on Robotics, Automation and Mechatronics, RAM, Ningbo, China, 19–21 November 2017; pp. 785–790. [Google Scholar] [CrossRef]
- Zeng, X.; Vulpetti, G.; Circi, C. Solar sail H-reversal trajectory: A review of its advances and applications. Astrodynamics 2019, 3, 1–15. [Google Scholar] [CrossRef]
- Quarta, A.A.; Abu Salem, K.; Palaia, G. Solar sail transfer trajectory design for comet 29P/Schwassmann-Wachmann 1 rendezvous. Appl. Sci. 2023, 13, 9590. [Google Scholar] [CrossRef]
- Huo, M.Y.; Mengali, G.; Quarta, A.A. Electric sail thrust model from a geometrical perspective. J. Guid. Control Dyn. 2018, 41, 735–741. [Google Scholar] [CrossRef]
- Janhunen, P. Increased electric sail thrust through removal of trapped shielding electrons by orbit chaotisation due to spacecraft body. Ann. Geophys. 2009, 27, 3089–3100. [Google Scholar] [CrossRef]
- Quarta, A.A.; Mengali, G.; Bassetto, M.; Niccolai, L. Optimal circle-to-ellipse orbit transfer for Sun-facing E-sail. Aerospace 2022, 9, 671. [Google Scholar] [CrossRef]
- Betts, J.T. Survey of Numerical Methods for Trajectory Optimization. J. Guid. Control Dyn. 1998, 21, 193–207. [Google Scholar] [CrossRef]
- von Stryk, O.; Bulirsch, R. Direct and indirect methods for trajectory optimization. Ann. Oper. Res. 1992, 37, 357–373. [Google Scholar] [CrossRef]
- Bryson, A.E.; Ho, Y.C. Optimization problems for dynamic systems. In Applied Optimal Control; Hemisphere Publishing Corporation: New York, NY, USA, 1975; Chapter 2; pp. 71–89. ISBN 0-891-16228-3. [Google Scholar]
- Ross, I.M. Pontryagin’s principle. In A Primer on Pontryagin’s Principle in Optimal Control; Collegiate Publishers: San Francisco, CA, USA, 2015; Chapter 2; pp. 127–129. [Google Scholar]
- Stengel, R.F. Optimal Control and Estimation; Dover Books on Mathematics; Dover Publications, Inc.: New York, NY, USA, 1994; pp. 222–254. [Google Scholar]
- Mengali, G.; Quarta, A.A. E-Sail Option for Plunging a Spacecraft into the Sun’s Atmosphere. Aerospace 2023, 10, 340. [Google Scholar] [CrossRef]
- Quarta, A.A.; Mengali, G. E-sail optimal trajectories to heliostationary points. Aerospace 2023, 10, 194. [Google Scholar] [CrossRef]
- Lawden, D.F. Optimal Trajectories for Space Navigation; Butterworths & Co.: London, UK, 1963; pp. 54–60. [Google Scholar]
- Bakhtiari, M.; Abbasali, E.; Sabzy, S.; Kosari, A. Natural coupled orbit—Attitude periodic motions in the perturbed-CRTBP including radiated primary and oblate secondary. Astrodynamics 2022, 7, 229–249. [Google Scholar] [CrossRef]
- Guzzetti, D.; Howell, K.C. Coupled Orbit-Attitude Dynamics in the Three-Body Problem: A Family of Orbit-Attitude Periodic Solutions. In Proceedings of the AIAA/AAS Astrodynamics Specialist Conference, San Diego, CA, USA, 4–7 August 2014. [Google Scholar] [CrossRef]
- Abbasali, E.; Kosari, A.; Bakhtiari, M. Effects of oblateness of the primaries on natural periodic orbit-attitude behaviour of satellites in three body problem. Adv. Space Res. 2021, 68, 4379–4397. [Google Scholar] [CrossRef]
- Quarta, A.A.; Mengali, G. Electric sail mission analysis for outer solar system exploration. J. Guid. Control Dyn. 2010, 33, 740–755. [Google Scholar] [CrossRef]
- Lyngvi, A.; Falkner, P.; Kemble, S.; Leipold, M.; Peacock, A. The Interstellar Heliopause Probe. Acta Astronaut. 2005, 57, 104–111. [Google Scholar] [CrossRef]
- Leipold, M.; Wagner, O. ‘Solar Photonic Assist’ Trajectory Design for Solar Sail Missions to the Outer Solar System and Beyond. In Proceedings of the AAS/GSFC 13th International Symposium on Space Flight Dynamics, Greenbelt, MD, USA, 11–15 May 1998. [Google Scholar]
- Lappas, V.; Leipold, M.; Lyngvi, A.; Falkner, P.; Fichtner, H.; Kraft, S. Interstellar Heliopause Probe: System Design of a Solar Sail Mission to 200 AU. In Proceedings of the AIAA Guidance, Navigation, and Control Conference and Exhibit, San Francisco, CA, USA, 15–18 August 2005. [Google Scholar] [CrossRef]
- Dachwald, B. Optimization of Interplanetary Solar Sailcraft Trajectories Using Evolutionary Neurocontrol. J. Guid. Control Dyn. 2004, 27, 66–72. [Google Scholar] [CrossRef]
- Mengali, G.; Quarta, A.A.; Romagnoli, D.; Circi, C. H2-reversal trajectory: A new mission application for high-performance solar sails. Adv. Space Res. 2011, 48, 1763–1777. [Google Scholar] [CrossRef]
- Zeng, X.; Baoyin, H.; Li, J.F.; Gong, S.P. New applications of the H-reversal trajectory using solar sails. Res. Astron. Astrophys. 2011, 11, 863–878. [Google Scholar] [CrossRef]
- Zeng, X.; Baoyin, H.; Li, J.; Gong, S. Feasibility analysis of the angular momentum reversal trajectory via hodograph method for high performance solar sails. Sci. China Technol. Sci. 2011, 54, 2951–2957. [Google Scholar] [CrossRef]
- Zeng, X.; Alfriend, K.T.; Vadali, S.R. Three-dimensional time Optimal Multi-reversal Orbit by Using Solar Sailing. J. Astronaut. Sci. 2013, 60, 378–395. [Google Scholar] [CrossRef]
- McInnes, C.R. Solar sail mission applications for non-Keplerian orbits. Acta Astronaut. 1999, 45, 567–575. [Google Scholar] [CrossRef]
- McKay, R.J.; Macdonald, M.; Biggs, J.; McInnes, C. Survey of Highly Non-Keplerian Orbits with Low-Thrust Propulsion. J. Guid. Control Dyn. 2011, 34, 645–666. [Google Scholar] [CrossRef]
- Vulpetti, G. General 3D H-reversal trajectories for high-speed sailcraft. Acta Astronaut. 1999, 44, 67–73. [Google Scholar] [CrossRef]
- Vulpetti, G. Sailcraft at high speed by orbital angular momentum reversal. Acta Astronaut. 1997, 40, 733–758. [Google Scholar] [CrossRef]
- Scaglione, S.; Vulpetti, G. Aurora project: Removal of plastic substrate to obtain an all-metal solar sail. Acta Astronaut. 1999, 44, 147–150. [Google Scholar] [CrossRef]
- Vulpetti, G. Reaching extra-solar-system targets via large post-perihelion lightness-jumping sailcraft. Acta Astronaut. 2011, 68, 636–643. [Google Scholar] [CrossRef]
- Vulpetti, G. The sailcraft splitting concept. J. Br. Interplanet. Soc. 2006, 59, 48–53. [Google Scholar]
- Gong, S.P.; Li, J.F.; Zeng, X.Y. Utilization of an H-reversal trajectory of a solar sail for asteroid deflection. Res. Astron. Astrophys. 2011, 11, 1123–1133. [Google Scholar] [CrossRef]
- Vulpetti, G. Sailcraft Trajectories. In Solar Sails: A Novel Approach to Interplanetary Travel; Springer-Praxis Books in Space Exploration; Springer: New York, NY, USA, 2009; Chapter 17; pp. 216–224. [Google Scholar] [CrossRef]
- Vulpetti, G. Fast Solar Sailing: Astrodynamics of Special Sailcraft Trajectories; Space Technology Library; Springer: Dordrecht, The Netherlands, 2013. [Google Scholar] [CrossRef]
- Davoyan, A. Extreme solar sailing for fast transit exploration of solar system and interstellar medium. In Proceedings of the ASCEND 2021, Online, 15–17 November 2021. [Google Scholar] [CrossRef]
- Mengali, G.; Quarta, A.A.; Janhunen, P. Electric sail performance analysis. J. Spacecr. Rockets 2008, 45, 122–129. [Google Scholar] [CrossRef]
- Huo, M.Y.; Mengali, G.; Quarta, A.A. Mission design for an interstellar probe with E-sail propulsion system. J. Br. Interplanet. Soc. 2015, 68, 128–134. [Google Scholar]
















Disclaimer/Publisher’s Note: The statements, opinions and data contained in all publications are solely those of the individual author(s) and contributor(s) and not of MDPI and/or the editor(s). MDPI and/or the editor(s) disclaim responsibility for any injury to people or property resulting from any ideas, methods, instructions or products referred to in the content. |
© 2023 by the authors. Licensee MDPI, Basel, Switzerland. This article is an open access article distributed under the terms and conditions of the Creative Commons Attribution (CC BY) license (https://creativecommons.org/licenses/by/4.0/).
Share and Cite
Quarta, A.A.; Bassetto, M.; Mengali, G. Circular Orbit Flip Trajectories Generated by E-Sail. Appl. Sci. 2023, 13, 10281. https://doi.org/10.3390/app131810281
Quarta AA, Bassetto M, Mengali G. Circular Orbit Flip Trajectories Generated by E-Sail. Applied Sciences. 2023; 13(18):10281. https://doi.org/10.3390/app131810281
Chicago/Turabian StyleQuarta, Alessandro A., Marco Bassetto, and Giovanni Mengali. 2023. "Circular Orbit Flip Trajectories Generated by E-Sail" Applied Sciences 13, no. 18: 10281. https://doi.org/10.3390/app131810281
APA StyleQuarta, A. A., Bassetto, M., & Mengali, G. (2023). Circular Orbit Flip Trajectories Generated by E-Sail. Applied Sciences, 13(18), 10281. https://doi.org/10.3390/app131810281

