Next Article in Journal
Dynamic Graph Convolution-Based Spatio-Temporal Feature Network for Urban Water Demand Forecasting
Previous Article in Journal
Solar Power Prediction Modeling Based on Artificial Neural Networks under Partial Shading
 
 
Font Type:
Arial Georgia Verdana
Font Size:
Aa Aa Aa
Line Spacing:
Column Width:
Background:
Article

The Design of a High-Intensity Deuteron Radio Frequency Quadrupole Accelerator

State Key Laboratory of Nuclear Physics and Technology, Peking University, Beijing 100871, China
*
Authors to whom correspondence should be addressed.
Appl. Sci. 2023, 13(18), 10010; https://doi.org/10.3390/app131810010
Submission received: 26 July 2023 / Revised: 28 August 2023 / Accepted: 28 August 2023 / Published: 5 September 2023

Abstract

:
This paper presents the design of a high-intensity 10 mA deuteron RFQ accelerator that generates a 2.1 MeV beam in a continuous wave (CW) mode. The operation frequency is 162.5 MHz. The results of beam dynamics simulations demonstrate excellent output beam quality, achieving a transmission efficiency of 98.63%. The beam tracking results indicate that the RFQ is capable of managing errors within reasonable tolerances. In addition, the RF electromagnetic design and optimization are based on an RFQ model. Multiphysics simulations are then performed for the CW mode. Vacuum calculations suggest that the RFQ requires four 1200 L/s vacuum pumps and one 440 L/s ion pump to attain a vacuum pressure of 10−6 Pa.

1. Introduction

Since the 1990s, deuteron radio frequency quadrupole (RFQ) accelerators have attracted international interest due to their wide range of applications, encompassing accelerator-driven nuclear energy systems (ADSs) [1] and spallation neutron sources (SNSs) [2]. In particular, RFQs operating in high duty factor or even CW mode have become a research hotspot. The Spiral-2 CW RFQ was designed to accelerate deuterons from 0.04 MeV to 1.5 MeV; in 2016, the commissioning of a facility with the beam showed that it could accelerate 1.34 mA CW He2+ [3]. The Phase II SARAF RFQ was designed to accelerate 5 mA deuterons from 0.04 MeV to 2.54 MeV; in 2017, the commissioning of a facility with the beam showed that it could accelerate 1.15 mA CW D+ [4]. The “973” RFQ was intended to accelerate deuterons from 0.05 MeV to 1 MeV; in 2018, experiments substantiated its capability to accelerate 1.78 mA CW H2+ [5,6]. The IFMIF CW RFQ was designed to accelerate 125 mA deuterons from 0.1 MeV to 5 MeV, and the facility successfully accelerated 125 mA deuterons at a duty factor of 0.1% in 2019 [7,8]. Several other CW RFQs, such as the FRIB RFQ [9] and CMIF RFQ [10], have also demonstrated notable achievements. All of these RFQs have played a significant role in the advancement of accelerator science and technology.
In this project, the RFQ accelerator was designed to accelerate 10 mA CW D+ ions from 0.04 MeV up to 2.10 MeV. Following this, the propelled beam was introduced into a medium-energy beam transport (MEBT) system and subsequently directed into a drift tube linac (DTL). Three-dimensional simulations were performed employing CST [11] and COMSOL [12], encompassing electromagnetic (EM) and vacuum analyses. The graphical representation of the RFQ modeling, realized through the utilization of SolidWorks [13], is shown in Figure 1. Spanning a length of approximately 3.8 m, the RFQ exhibits a well-defined quadrilateral structure. The provision of power and maintenance of the necessary vacuum level (10−6 Pa) for the cavity are achieved by means of two power couplers and a set of five pumps.

2. Main Parameters of the RFQ

The main parameters of the RFQ are summarized in Table 1. LANL code phase and radial motion in transverse electric quadrupoles (PARMTEQM) v.3.05 [14] and CEA code TOUTATIS [15] were used for dynamics design, while TraceWin [16] was used for verification. The maximum peak surface electric field ( E m a x ) is 1.40 times the Kilpatrick limit electric field [17] of 13.56 MV/m. E k is calculated through the following equation:
f = 1.643 E k 2 e 8.2 E k
where f is the operating frequency (MHz). Lowering the ratio k p = E m a x / E k decreases the risk of discharging. The low-energy demonstration accelerator (LEDA) RFQ [18,19] is a milestone high-power CW accelerator, whose beam power and power density are enormous, and its k p is 1.8. Based on practical experience, we argue that the k p of this RFQ is suitable for CW mode.

3. Design Consideration and Strategy

For the beam dynamics design, we adopted the conventional dynamics design strategy known as “four-stage theory” [20]. A constant electrode voltage and a steady average aperture were chosen to facilitate the machining of the RFQ structures. This approach has the potential to enable the utilization of a basic 2D cutter for machining vane modulations. Furthermore, during the EM analysis phase, the adjustment of voltage to align with the designed value is a more straightforward process compared with that of variable voltage and aperture design [21]. To increase mode separation, we ensured that the electrode length was twice the wavelength [22]. Consequently, the RFQ operates without the necessity of any π -mode stabilizers (PSL) or dipole-mode stabilizer rods (DSRs) to sustain cavity stability, while concurrently maintaining a mode separation of 3.3 MHz. Moreover, the following aspects were taken into consideration:
(a)
Transmission efficiency: Deuterons lost in the acceleration process may collide with the electrode surface, causing instability and reduced efficiency over long-term operation. The loss of D+ ions may also generate unintended neutrons through charged-particle activations with the apparatus. Especially for D+ losses in higher energy sections, neutron radiation is more of a concern.
(b)
Intervane voltage: A higher intervane voltage offers the advantage of reducing the RFQ length; however, it also increases the power consumption per unit length and peak field strength, thereby raising the risk of RF sparking. A lower intervane voltage of 60 kV requires a smaller average aperture to generate enough transverse focusing factor (B), and a smaller average aperture needs higher requirements on the machining accuracy of the electrode. The “973” RFQ’s successful facility commissioning substantiates the viability of employing an intervane voltage of 60 kV for CW operation [6,23]. It also operates at a frequency of 162.5 MHz.
(c)
Input energy: The input ion energy was optimized at 40 keV. It affects the cavity length, space–charge force, and initial cell length. Lowering the input energy enlarges the space charge effects, negatively influencing beam transmission in the low-energy beam transport (LEBT) section. Additionally, the length of the initial segment shortens and impedes electrode processing. Conversely, an excessive input leads to an elongated bunching section, thereby increasing the cavity length and the associated construction and operational costs.
(d)
Large transverse acceptance: Due to the space–charge force, the size of the beam increases during transport, especially for low-energy beams. Consequently, adopting a large input aperture can enhance transverse acceptance.
The main PARMTEQM parameters for the RFQ are shown in Figure 2. The synchronous phase φ s shifts gradually from −90° to −29°, effectively preventing the loss of particles in the longitudinal direction. The modulation factor m increases smoothly from 1 to 1.9, while the average aperture R0 shrinks gradually to 4.2 mm. A large entry aperture method is adopted to enhance the transverse acceptance by approximately 4%. The method achieves improvements by reducing the input B, as shown in Figure 3 and Table 2.
Figure 4 illustrates the normalized beam density derived from a TraceWin simulation, involving 100,000 macroparticles with a current of 10 mA. It indicates that the ion losses are primarily concentrated within the bunching section. To facilitate the matching of the beam into the following focusing channel, a transition region with a modulation factor (m) of one is used to end the RFQ vane tips [24]. The transition region provides a convenient way to control the orientation of the output transverse phase–space ellipses, as depicted in Figure 5. The length of this transition section is 30.2 mm.
The 3D EM field generated via CST was employed to validate the beam dynamics design. The transmission efficiency was found to be 98.17% for ions accelerated from 0.04 MeV to 2.11 MeV. Notably, the emittance growth at the RFQ exit remained relatively minor, aligning with the PARMTEQM design. The results are presented in Table 3 and Figure 6.
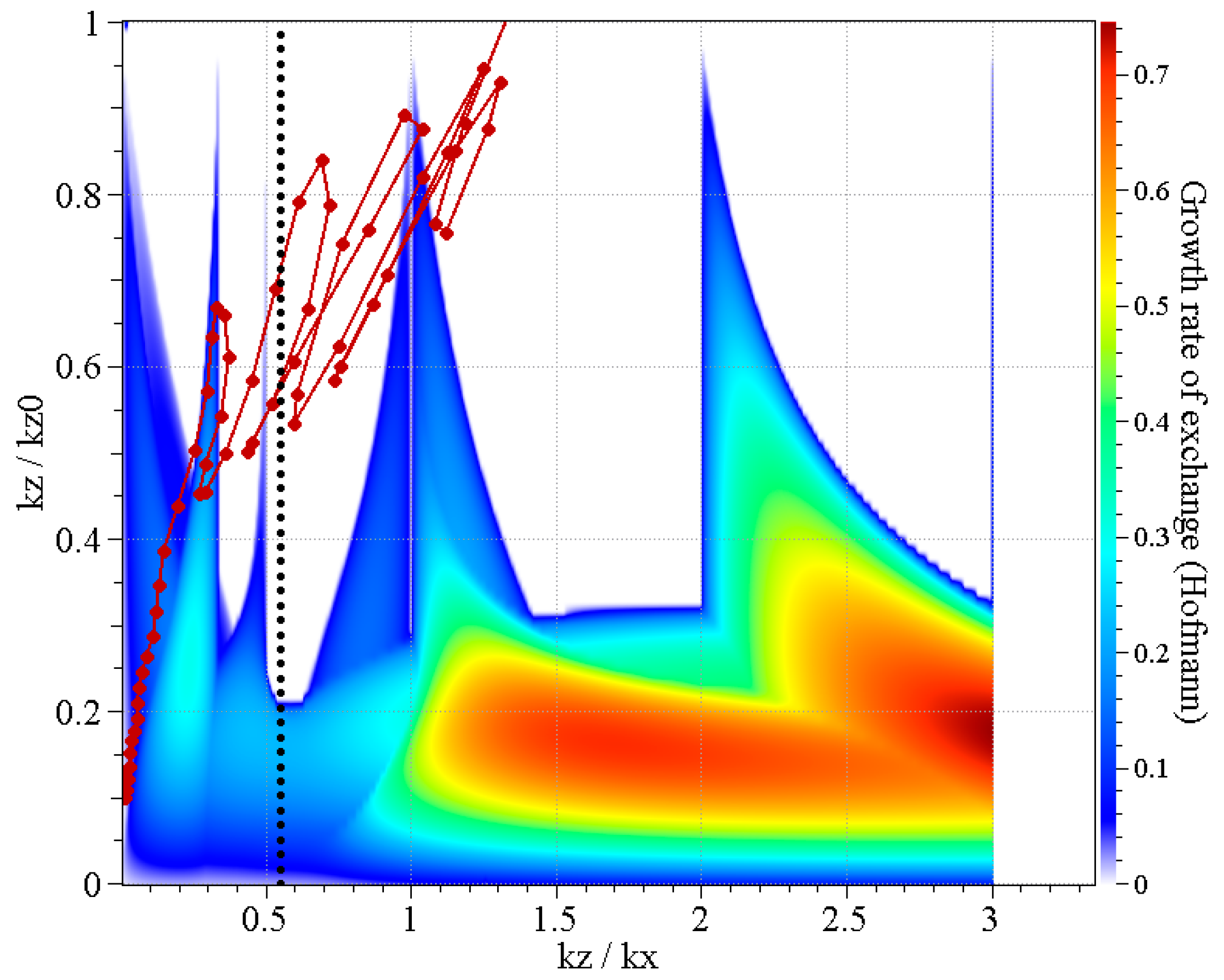
Figure 7 displays the Hofmann resonance diagram. The red line with dots indicates the evolution of the working points. To avoid the horizontal and vertical coupling caused by the resonance, the beam must quickly traverse or circumvent the formant region [25]. This proved that our design meets this requirement, as there were no obvious transverse or longitudinal beam resonances.

4. Error Study

Errors arising from a nonideal beam, machining, and alignment are inherent and unavoidable. These errors impact and contribute to degradation of beam quality. A robust accelerator should be able to manage many different types of error conditions [26]. TraceWin code was used to study the tolerances and sensitivity of the RFQ. As error sources are complex, a single-error simulation was conducted initially, followed by the consideration of comprehensive errors.
The error study involved an input Twiss parameter, beam transverse offset, and tilt, as shown in Figure 8. When the TWISS parameter of the input beam was widely varied, the transmission efficiency always remained higher than 98%. This was also true when the transverse offset was less than 0.5 mm or the beam tilt was less than 20 mrad.
Further error analysis was carried out involving the input beam emittance, energy, and currents, with the results illustrated in Figure 9, Figure 10 and Figure 11. It was found that as long as the transverse emittance was less than 0.35 mm mrad, the input energy was between 0.0395 MeV and 0.0410 MeV, and the current was within 15 mA, the transmission efficiency could be maintained above 98%.
Moreover, the effects of the alignment, intervane voltage, and dipole components were investigated to analyze the sensitivity of the RFQ. As the RFQ is divided into four segments about 1 m long during processing, misalignments inevitably occurred during assembly, as depicted in the left side in Figure 12. The right side in Figure 12 presents the simulation of these displacement errors. It was observed that even for a displacement of 50 μm (within the typical error range), there was no major alteration in transmission efficiency.
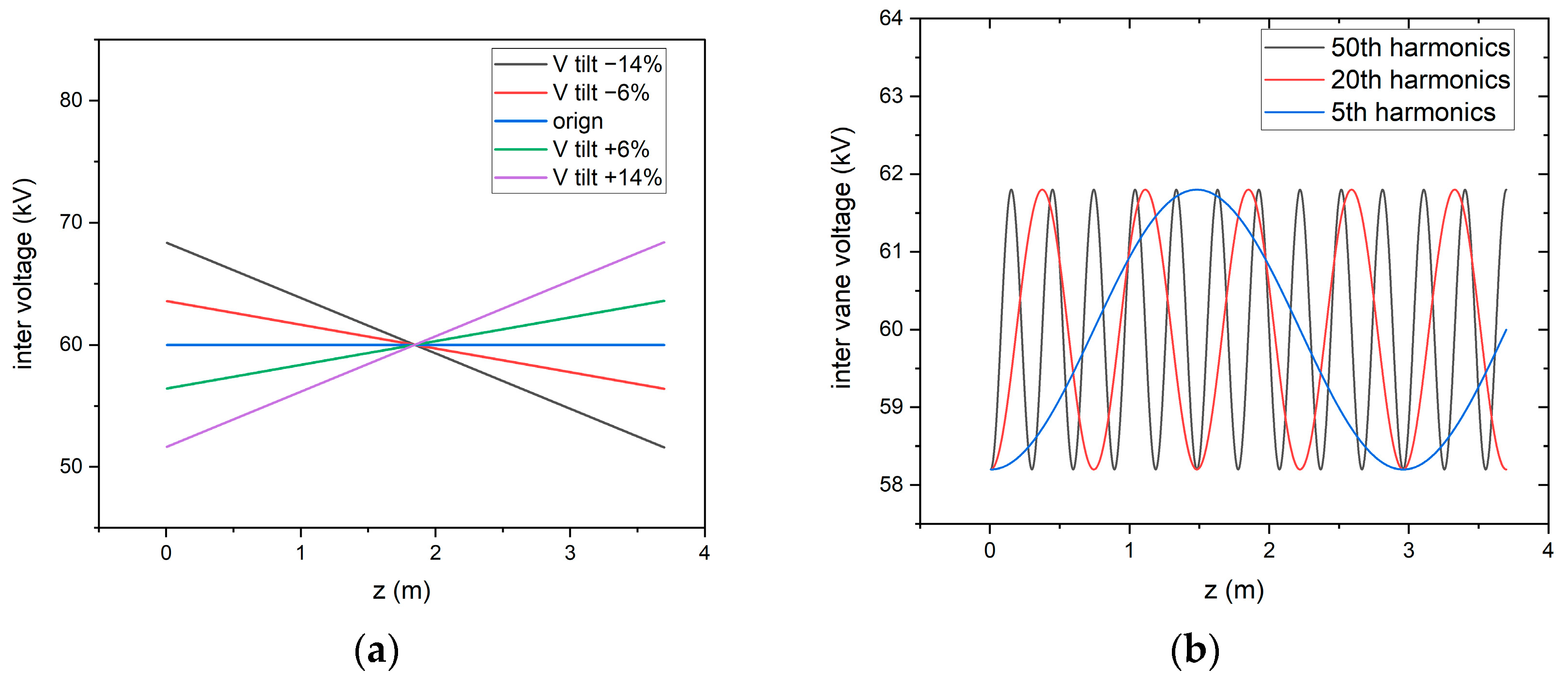
During actual RFQ operation, the occurrence of intervane voltage deviations is a conceivable phenomenon. By introducing voltage errors between electrodes, we analyzed the effect of a nonuniform electric field on beam transmission. Firstly, we examined the impact of voltage tilt on beam transmission. Secondly, we assessed the influence of higher-order voltage harmonics on beam transmission, which are defined as follows:
V z = V 0 z + V c o s n π z 2 l
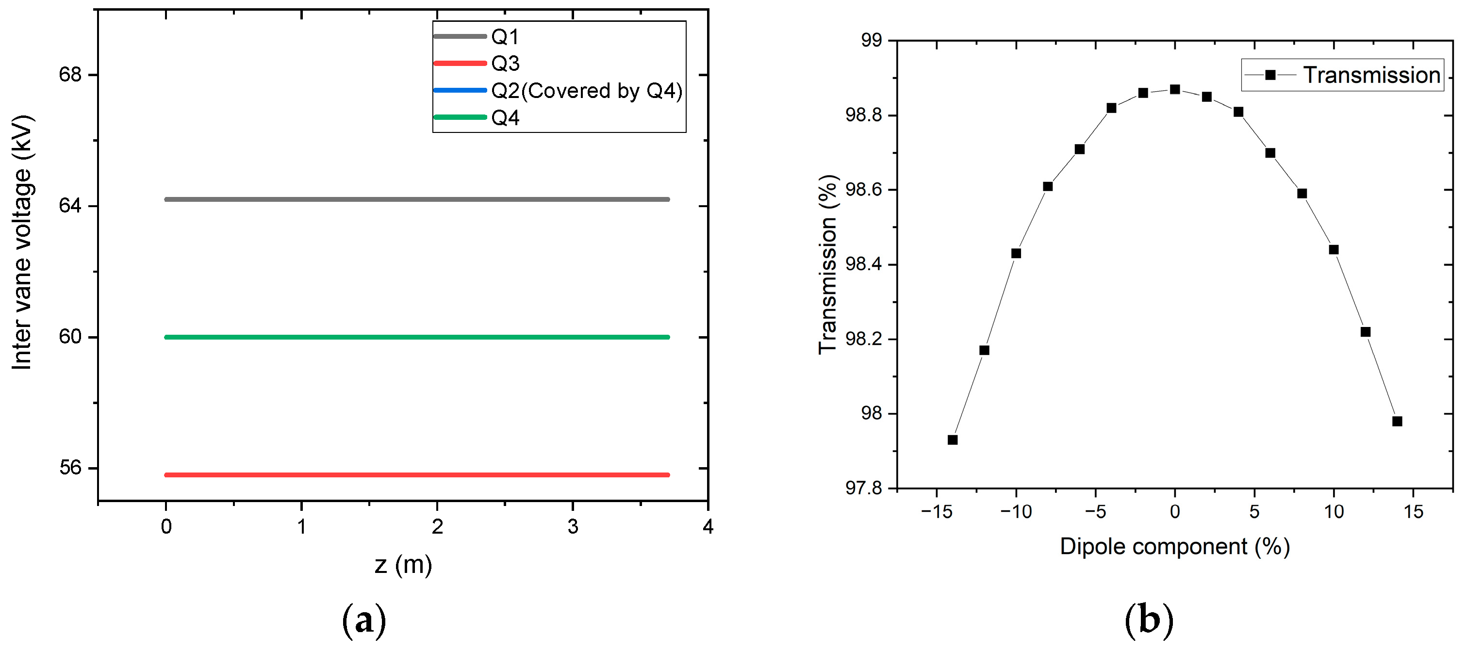
where n is a harmonic number (n = 1, 2, 3, ……), V 0 is the nominal intervane voltage, l is the length of vane, V is the amplitude of residual voltage error, and V is set to 3% V 0 . The error modes of the two voltages are shown in Figure 13a,b. The influence of the intervane voltage tilt on the RFQ transmission efficiency is shown in Figure 13c. A decrease in the voltage between the entrance poles leads to inadequate transverse focusing strength and results in beam loss. For increased voltage, the initial beam loss is less pronounced. For multiple harmonics shown in Figure 13d, raising the harmonic number has no significant impact on beam transmission.
Furthermore, we also studied the influence of the dipole field on beam transmission. Figure 14a illustrates the dipole filed distribution, while Figure 14b reveals the influence of a dipole field on beam transmission. Dipole field errors below 5% maintain a high transmission efficiency. As a consequence of processing and assembly errors, the four quadrants of the RFQ may be asymmetric, giving rise to the presence of a dipole field. The perturbation component of the dipole field imparts a lateral deflection of the beam, leading to oscillation of the beam center, triggering instability, lateral beam loss, and reduced transmission efficiency. To more clearly show its influence, we added a dipole field component of 14% onto the intervane voltage for comparison with the no-dipole-field condition. In this case, the amplitude of center oscillations reaches 0.6 mm, as shown in Figure 15. For real RFQ measurement tuning, the dipole component incurred by machining or assembly imperfections is mitigated by tuner adjustments.
The comprehensive error analysis considered 100 RFQs with different error sizes. Table 4 displays all error types along with their corresponding maximum value. For each RFQ, the beam transmission error size is uniformly distributed within the range of the specified maximum. The input beam contains 100,000 macroparticles in a standard “water-bag” distribution. The results show that the transmission efficiency can be maintained above 90.4% under the various errors.

5. Electromagnetic (EM) Analysis of RFQ

Our RFQ adopts a four-vane structure. In comparison with a four-rod structure, a four-vane RFQ is more compact, mechanically robust, and convenient for incorporating water-cooling pipes. A four-vane structure also has a large Q value, high specific shunt impedance, and low surface current density, which is conducive to long-term, stable operation in CW mode [27].
The goal of the RF electromagnetic field design is to satisfy the beam dynamics requirements for a correct resonant frequency and intervane voltage distribution. Consequently, optimizing the RF structural components is crucial to obtaining a high specific shunt impedance, reduced surface power density, and low peak field strength, mitigating the risk of ignition and ensuring stable operation of the RFQ in CW mode over the long term.
Figure 16 illustrates the structure of our RFQ and its 1/4 cross-sectional parameters. The quadrilateral-shaped cavity was chosen for its ease of machining and assembly, which involves the installation of couplers and vacuum pumps. While the average aperture of the RFQ gradually decreases at the entrance, the electrode tip radius remains a constant 3.19 mm (0.75 times the average aperture) across the entire RFQ. For subsequent simulations, the electrodes were modulated, and frequency tuners were introduced. By adjusting the transverse dimension of the cavity, denoted as Lmax, the resonant frequency requirement of the cavity was found. Table 5 shows the optimized parameters of our RFQ.

5.1. Undercutting and Tuning

The longitudinal distribution of the electric field within the RFQ is highly sensitive to the undercutting at both ends of the electrode. Hence, the field is best adjusted by optimizing the undercut parameters. Upon introducing undercutting, the magnetic field between adjacent quadrants may form a closed loop, increasing the electric field at both ends. Figure 17 gives a schematic of the RFQ undercutting, and Table 6 lists the input and output undercutting parameters. By optimizing the undercutting angle α (degrees) and undercutting depth D (mm), a smoother electric field was obtained between electrodes. For an RFQ operating in CW mode, a large α value can lead to hot spots at the root of the undercutting and cause deformation at extremities due to poor water cooling.
The optimized off-axis field is shown in Figure 18, where the voltage deviation between electrodes is less than 0.5%.
Errors occurring during machining and assembly of the cavity can lead to mode-mixing, disrupting the field distribution of the operational quadrupole mode. The tuners can compensate for these errors by returning the field distribution and frequency to their designated values. Indeed, both the inductance-tuning and capacitance-tuning components are capable of altering the local frequency of the cavity. In our four-vane RFQ cavity, the electric field is concentrated in the small area of the electrode head, while the magnetic field is widely distributed in the cavity, so the tuner is inserted mainly to disturb the magnetic field, that is, inductance tuning. The local inductance decreases as the tuner is inserted deeper into the cavity, leading to a higher local frequency and smaller electric field. Our RFQ has a total of 64 tuners, with 16 in each quadrant. As shown in Figure 19, the tuners are evenly distributed about the horizontal axis, with a diameter of 50 mm each. Figure 20 illustrates the linear relationship between the cavity frequency and tuner insertion depth. The tuner insertion depth ranges from 20 mm initially to 50 mm at maximum, spanning −0.82 MHz to +1.65 MHz, with increments of 53 kHz/mm.

5.2. Mode Separation

The four-vane RFQ possesses many harmonics, encompassing adjacent resonant frequencies apart from the operating mode. This includes dipole modes ( T E 11 n + , T E 11 n ) and quadrupole modes ( T E 21 n ). The quadrupole modes in Figure 21 explain the H field of T E 21 n and T E 21 n modes. The color of the different quadrants in the plot indicates that the left one is T E 21 n mode and the right one is T E 11 n mode. Given the lowest mode of fixed frequency, longer vanes reduce the spacing between the modes. The properties can be described by the following equations [22,28], where l v is the vane length:
f T E 21 n = c 2 π 2 π c f T E 210 2 + n π l v 2 n = 0,1 , 2 ,     k n = n π l v
f T E 11 n + f T E 11 n + 1 c 2 π 2 π c f T E 110 2 + n + 1 π l v 2 n = 0,1 , 2 ,     k n = n π l v
Table 7 shows the cavity frequency of different modes. The mode spacing is best when the electrode length is an even multiple of the RF wavelength. For this study, the length of the RFQ electrode was chosen to be approximately 3.7 m, which is about twice the RF wavelength. The corresponding mode separation was found to be 3.3 MHz, which is sufficient for stable operation of the cavity.

5.3. Power Loss

With the RF structure in mind, the water-cooling design and thermal response of the cavity were analyzed to ensure stable operation in CW mode at high power levels. Initially, we investigated the power loss distribution within the RFQ cavity to determine the best water-cooling scheme. As shown in the heat density map in Figure 22, a strong magnetic field was present in the undercut sections, leading to large power losses. The waterway should thus be constructed as close to the undercut as possible.
The power-loss values are summarized in Table 8. We calculated a cavity power consumption of 60.86 kW, beam power consumption of 20.6 kW, total power consumption of 81.46 kW, and Q value of 1.54 × 104. As the surface heat loss mostly concentrates around the vane and wall areas of the cavity, the water-cooling system should be designed to accommodate these areas. At the exit of the undercut, the maximum surface power density of the cavity was 14.6 W/cm2.

5.4. Multiphysics Analysis

In our multiphysics analysis, we separately considered numerical simulations involving electromagnetic, thermal, and deformation effects. The steps of our process are outlined in Figure 23. Firstly, the RF electromagnetic field was simulated, yielding the electromagnetic field distribution and heat loss within the cavity. Subsequently, the surface heat loss within the cavity was determined via a simulation of radio frequency effects and used in a thermal analysis module to compute the temperatures within the cavity. From these values, we were able to determine the amount of deformation due to heat loss.
For the thermal analysis, the temperature distribution was based on [30]:
T = T 0 + P A · h
where T is the surface temperature, T0 is the initial water temperature, A is the contact area between the water and cavity, and P is the RF power loss. The heat transfer coefficient h describes the convection process on the surface of a conductor and is obtained from the following formulas:
R e = ρ v d μ
P r = C p μ k
N u = 0.023 · R e 0.8 · P r 0.4
h = N u · k d
where k is the heat conduction coefficient of water, d is the diameter of water pipe, v is the velocity of water, ρ is the density of water, μ is the coefficient of kinetic viscosity, C p is specific heat capacity, Re is the Reynolds number, Pr is the Prandtl number, and Nu is the Nusselt number. In our design, each wing features three water cooling channels 16 mm in diameter, as illustrated in Figure 24. The water velocity within these channels is 2.5 m/s, which corresponds to 26.5 L/min, a Reynolds number of 39,920, and a heat transfer coefficient of 9010 W/m2/K. An additional waterway positioned at each corner of the cavity wall increases the flow rate to 30.2 L/min. In this case, the ambient temperature and water temperature are both 20 °C. Table 9 lists further parameters of our water-cooling design.
Table 10 gives the results of the multiphysics field simulated using CST. The cavity temperature and deformation distributions are shown in Figure 25 and Figure 26. The maximum temperature differential was 18.2 °C, and the maximum deformation was 86.1 μm, observed at the end of the electrode head. The corresponding frequency drift was 9.9 kHz, indicating the reasonable accuracy of the multiphysics analysis. The simulation also revealed that temperature-induced frequency drift leads to a smaller mode separation of the cavity.

6. Beam-Loading Effect and Power Coupler Design

6.1. Beam-Loading Effect [31,32]

The existence of beam-loading effects represents a significant challenge for achieving stable operation in high-current RFQs. This factor demands diligent consideration, particularly in relation to power-coupling strategies. Otherwise, the beam-loading effects lead to an amplitude decrease and a phase offset of the electric field in the cavity. For most RFQs, the current is low enough that the beam power consumption is less than that of the cavity, allowing loading effects to be ignored. In our case, however, the beam power consumption (Pb) is approximately 21 kW, whereas the simulated cavity power consumption (Pc) is 61 kW for a beam load ratio (Pb/Pc) of about 0.34. This relatively high beam load ratio is compensated for by adjusting the coupling coefficient. If detuning occurs, its effects can be counteracted by adjusting the driving frequency. The detuning frequency is calculated below.
The power consumption of the cavity and the external power consumption are denoted by Pc and Pex, respectively. The coupling coefficients of the coupler the cavity are then defined as a ratio of their power consumption,
β = P e x P c  
By the definition of the Q value, the relationship between on-load QL, no-load Q0, and external Qex is
1 Q L = 1 Q 0 + 1 Q e x
Q 0 = 1 + β Q L ,   β = Q 0 Q e x
Due to microwave effects, the voltage reflection coefficient Γ of the cavity load is expressed as
Γ = β 1 β + 1
In order to feed all of the power from the source into the resonant cavity, the reflection coefficient should be zero. According to the formula, the coupling coefficient is then one. When the cavity resonates, the equivalent circuit becomes a resistance circuit. For an input power Pg, the cavity power is
P C = P g 1 Γ 2 = P g 4 β 1 + β 2
For a loaded beam, the optimal matching parameters for a single coupler are listed in Table 11. The beam-loading effect for a beam load ratio of 0.34 is compensated for by adjusting the optimal coupling coefficient to 1.34 and raising the driving frequency by 1.225 kHz.

6.2. Coupling Ring Area

A coaxial power coupler was designed for the transmission of high-frequency power into the RFQ. Magnetic coupling through the coupling ring is most effective since there is a large magnetic field in this cavity. Our power coupler design involves three components: a coupling ring, transition section, and radio frequency matching section. The coaxial impedance of each port is fixed at 50   Ω . Only the coupling ring and transition section are described in this paper.
An eigenmode solver was used to simulate the external Q value ( Q e x ) of the coupling ring. The coupling coefficient for different coupling ring areas is obtained from:
β = Q 0 Q e x
The left side in Figure 27 illustrates the shape and position of the coupling ring, while the right side in Figure 27 shows the coupling coefficient varying with coupling ring area. When β = 1, Sring is 926 mm2. During construction, the two coupling rings are symmetrically inserted into the cavity to maintain uniformity of the quadrupole field and ensure that the two working phases remain consistent.

6.3. Transition Section

The transition section is a crucial part of the coupler assembly, connecting the power input waveguide with the coupling ring while also separating the cavity vacuum environment from the atmospheric conditions of the feed tube. For this project, we opted for a tubular ceramic window due to its shape-conducive mechanical strength, ease of processing, and gradual impedance transition.
Figure 28 shows the transition section and material specifications in the CST model. The feed tube that connects to the power source adheres to the standard size of EIA6-1/8. The inner conductor of the feed tube has an outer diameter of 32.5 mm, while the outer conductor has an inner diameter of 74.65 mm, yielding an impedance of 49.89 Ω . The simulated value matched well with calculated value, as shown in Figure 29. It is critical to achieve impedance matching at each longitudinal position, because the places in which the impedance changes sporadically may generate heat and are more prone to ignition. The S11 and S21 parameters are plotted in Figure 30 and Figure 31. For a frequency of 162.5 MHz, the S11 and S21 parameters are −39 dB and −0.0022 dB, respectively.

7. Vacuum Design

For a high-power RFQ operating in CW mode, improving the degree of vacuum can effectively reduce the risk of unintended sparking [33,34]. To ensure stable operation, the vacuum level was set at 10−6 Pa. Since there is limited gas conductance between quadrants, attaining vacuum uniformity is challenging. Previous RFQ experiments with similar vacuum system [35] demonstrated that two adjacent quadrants can maintain similar pressures by using only one vacuum window, as shown in Figure 32 for our vacuum system.

7.1. Vacuum Gas Load Calculation

The gas load Q of the RFQ is divided into three variables [36]:
(1)
The surface outgassing rate of the vacuum material (Q1) is defined as the product of the outgassing rate of the material and the surface area of the system. For an RFQ made of oxygen-free copper vacuum material, the outgassing rate is 7.98 × 10−9 Pa · L · s−1 cm−2. For a total surface area of about 94,199 cm2, the Q1 value is then 7.52 × 10−4 Pa · L · s−1.
(2)
The system leakage and permeability (Q2) is typically 5–10% of the total gas load Q1 in an ultra-high vacuum system. For a conservative estimate, Q2/Q1 = 10%.
(3)
The outgassing capacity of other components added to the system (Q3) mainly consists of vacuum gauges outgassing. We considered Q3/Q1 = 10%.
Summing over all source variables, the total gas output of the RFQ system is approximately 9.02 ×10−4 Pa · L · s−1.
During the passage of the beam, the continuous release of hydrogen gas from the ion source into the LEBT section contributes to a larger gas concentration into the RFQ cavity. Here, the beam pipes in both the low-energy and medium-energy segments are cylindrical, as shown in Figure 33. The capacity for the gas to pass through the vacuum pipe is referred to as its conductance and is defined as the amount of gas that flows through the pipeline under a unit pressure difference. For conductance C and pressures at either end of the vacuum pipe p1 and p2, the flow rate is
Q = C p
The mean free path of the gas is larger than the inner diameter of the tube. As a result, gas particle collisions with the inner wall of the pipe are common and dominated by free molecular flow. When the length of the pipe is more than 20 times its own diameter, the pipe conductance can be calculated with the long flow conductance equation [36]:
C = 1 6 2 π R T M · d 3 L
where d is the pipe diameter (m), L is the pipe length (m), R is the molar gas constant (8.3143 J/(K · mol)), and T is the gas temperature (K). In 1932, Clausing gave a simplified flow conductance formula C (L/s) for short, cylindrical tubes (L/d < 20) at 20 °C,
C 20 = 11.6   A 0 α
where A 0 is the area cross-section of the pipe (cm2), and α is the Clausing coefficient. The smaller the L/d ratio, the closer α is to unity. In order to guarantee the vacuum pressure, α was chosen to be one. The vacuum pressures of the LEBT and MEBT are about 3 × 10−5 Pa and 1 × 10−5 Pa, respectively. The diameter of the beam input pipe was designed to be 1 cm, and the exit diameter was set to 2.2 cm. Details of the conductance parameters and air intake for both the low-energy and high-energy sections are provided in Table 12. The ion source employs hydrogen gas, for which the conductance with air is:
C H 2 = 3.87 C
The gas loads amount to 1.022 × 10−3 Pa · L/s for the LEBT and 1.536 × 10−3 Pa · L/s for the MEBT. The gas load between sections is determined using the formula for the H2 flow conductance.

7.2. COMSOL Simulation

Our vacuum design was conducted using a COMSOL simulation. As mentioned, in the presence of ultra-high vacuum conditions, the mean free path of gas molecules largely exceeds the characteristic length of the vacuum cylinder. Consequently, the free-molecular flow solver is chosen.
Initially, the vacuum of an individual cavity is computed without considering the influence of preceding or subsequent components. In COMSOL, using a tetrahedral grid gives too small of a step size for cavity electrode band modulation, leading to excessive grid division and a slow calculation. To improve computational efficiency, we carried out the electrode simulation without modulation. The thermal desorption rates for the connecting pipe, coupler, tuner and cavity structure of the vacuum pump were all set to 7.98 × 10−9 Pa · L/(cm2 · s), in accordance with oxygen-free copper parameters. As shown in Figure 34, pairs of vacuum pumps, set to a speed of 600 L/s each, were placed within the first and last cavities. The simulation included the gas loads over all surfaces and the gas pressure on the beam line.
Accounting for the effects of the LEBT and the MEBT sections on the vacuum, the gas load was set to 1.022 × 10−3 Pa · L/s and 1.536 × 10−3 Pa · L/s separately. The speed of the pumps was set to 1200 L/s, and an ion pump with 440 L/s was added to the second cavity. The 3D vacuum level of the simulated gas is depicted in the left side of Figure 35. Here, the primary concentration of gas molecules at the RFQ entrance indicate that the low-energy transport section wields the largest influence. The right side of Figure 35 shows the pressure along the central axis of the cavity. The pressure at the RFQ end plate is as high as 1 × 10−4 Pa, whereas the pressure along the central axis is approximately 1.2 × 10−6 Pa. To increase the vacuum level, it is necessary to reduce the pressure at the entrance of the low energy section.
In our first simulations, which focused on a single cavity without any gas load from LEBT or MEBT sections, we observed that a total of four sets of vacuum pumps were necessary, each with a pumping speed of 600 L/s. In this configuration, after reaching a steady state, the vacuum level reaches 10−6 Pa. When factoring in the influence of both the LEBT and MEBT sections, however, a more robust vacuum system is required. By employing four sets of vacuum pumps with a pumping speed of 1200 L/s and an additional pump with a capacity of 440 L/s, a vacuum level of 1.2 × 10−6 Pa can be obtained. To achieve this standard, the molecular pump is set to FF-200/1200, while the ion pump is set to CF150/SIP500.

8. Conclusions

RFQ dynamics design, electromagnetic design, and multiphysics were completed. The RFQ, operating in CW mode, can accelerate a deuteron beam at 10 mA from 40 keV to 2.1 MeV over 3.7 m, with a transmission of 98.63%. Error analyses showed that the accelerator is suitable for handling nonideal beams and various types of machine errors. The cavity, which consists of a four-vane structure, offers mechanical stability, convenient cooling, and a high specific impedance. Due to the cavity length being an even multiple of the wavelength, no additional tuning systems are required, and the mode separation can reach 3.3 MHz. Through optimized tuning and undercut parameters, the cavity satisfies all resonant frequency, longitudinal electric field, and tuning specifications.
For transmission, the electric field computed from the RF structure yields outcomes consistent with the beam dynamics design. The total cavity power is 82 kW, which is fed into the cavity through 6-1/8 couplers. Gas loads calculations for the RFQ system, encompassing both low- and medium-energy segments, were undertaken. Through a COMSOL simulation, it was found that an optimal configuration requires four 1200 L/s molecular pumps and one 440 L/s ion pump.
Based on the RFQ design outlined in this paper, further processing of the acceleration cavity will commence. The device, which is set to be built in Chongqing, will represent an advanced high-current, CW deuteron RFQ.

Author Contributions

T.W.: methodology, software, writing—original draft, and writing—review and editing. Y.L.: project administration, supervision, and writing—review and editing. Z.W.: supervision and writing—review and editing. M.H.: supervision. Y.X.: supervision. A.M.: supervision and writing—review and editing. All authors have read and agreed to the published version of the manuscript.

Funding

This work was supported by Beijing Nuclear Tongchuang Technology Co., Ltd. I would like to thank all my co-authors for their efforts and help.

Institutional Review Board Statement

Not applicable.

Informed Consent Statement

Not applicable.

Data Availability Statement

Data are available upon request.

Conflicts of Interest

The authors declare that they have no known competing financial interest or personal relationships that could have appeared to influence the work reported in this paper.

References

  1. Nema, P.K. Application of Accelerators for Nuclear Systems: Accelerator Driven System (ADS). Energy Procedia 2011, 7, 597–608. [Google Scholar] [CrossRef]
  2. Henderson, S.; Abraham, W.; Aleksandrov, A.; Allen, C.; Alonso, J.; Anderson, D.; Arenius, D.; Arthur, T.; Assadi, S.; Ayers, J.; et al. The Spallation Neutron Source accelerator system design. Nucl. Instrum. Methods Phys. Res. Sect. A Accel. Spectrometers Detect. Assoc. Equip. 2014, 763, 610–673. [Google Scholar] [CrossRef]
  3. Ferdinand, R.; Bernaudin, P.E.; Bertrand, P.; Di Giacomo, M.; Ghribi, A.; Franberg, H.; Kamalou, O. Commissioning of SPIRAL2 CW RFQ and Linac. In Proceedings of the 8th International Particle Accelerator Conference (IPAC2017), Copenhagen, Denmark, 14–19 May 2017; pp. 2462–2465. [Google Scholar]
  4. Perry, A.; Berkovits, D.; Dafna, H.; Kaizer, B.; Luner, Y.; Rodnizki, J.; Shor, A.; Silverman, I.; Weissman, L. Comissioning of the new SARAF RFQ and design of the new linac. In Proceedings of the 29th Linear Accelerator Conference (LINAC’18), Beijing, China, 16–21 September 2018; pp. 626–631. [Google Scholar]
  5. Fu, Q.; Zhu, K.; Lu, Y.R.; Easton, M.J.; Gao, S.L.; Wang, Z.; Jia, F.J.; Li, H.P.; Gan, P.P.; He, Y. Design and cold model experiment of a continuous-wave deuteron radio-frequency quadrupole. Phys. Rev. Accel. Beams 2017, 20, 120101. [Google Scholar] [CrossRef]
  6. Gan, P.P.; Zhu, K.; Fu, Q.; Li, H.P.; Easton, M.J.; Tan, Q.Y.; Liu, S.; Gao, S.L.; Wang, Z.; Lu, Y.R.; et al. Development and beam commissioning of a continuous-wave window-type radio-frequency quadrupole. Phys. Rev. Accel. Beams 2019, 22, 030102. [Google Scholar] [CrossRef]
  7. Comunian, M.; Pisent, A.; Fagotti, E.; Posocco, P.A. Beam dynamics of the IFMIF-EVEDA RFQ. In Proceedings of the 11th European Conference, EPAC08, Genoa, Italy, 23–27 June 2008; pp. 3356–3358. [Google Scholar]
  8. Ibarra, A. IFMIF-DONES progress and future plans. In Proceedings of the 6th DEMO Workshop, Moscow, Rusia, 1–4 October 2019. [Google Scholar]
  9. Ren, H.; Pozdeyev, E.; Morris, D.; Zhao, S.; Morrison, P.; Walker, R.; Bultman, N.; Konrad, M.; Rao, X.; Brandon, J.; et al. Commissioning of The FRIB RFQ. In Proceedings of the IPAC2018, Vancouver, BC, Canda, 29 April–4 May 2018; pp. 1090–1093. [Google Scholar]
  10. Li, C.; He, Y.; Wang, F.; Yu, P.; Yang, L.; Li, C.; Wang, W.; Xu, X.; Shi, L.; Ma, W.; et al. Radio frequency measurements and tuning of the China Material Irradiation Facility RFQ. Nucl. Instrum. Methods Phys. Res. Sect. A Accel. Spectrometers Detect. Assoc. Equip. 2018, 890, 43–50. [Google Scholar] [CrossRef]
  11. CST. Available online: www.cst.com (accessed on 26 June 2023).
  12. COMSOL. Available online: www.comsol.com (accessed on 20 May 2023).
  13. SolidWorks. Available online: www.solidworks.com (accessed on 20 May 2023).
  14. Crandall, K.R.; Wangler, T.P. Los Alamos National Laboratory Report; LA-UR-88-1546; National Security Education Center: Alexandria, VA, USA, 1987. [Google Scholar]
  15. Duperrier, R. TOUTATIS: A radio frequency quadrupole code. Phys. Rev. Spéc. Top Accel. Beams 2000, 3, 124201. [Google Scholar] [CrossRef]
  16. Uriot, D.N.P. TraceWin Documentation; CEA/DSM/DAPNIA/SEA/2000/4; National Security Education Center: Alexandria, VA, USA, 2000. [Google Scholar]
  17. Kilpatrick, W.D. Criterion for Vacuum Sparking Designed to Include Both rf and dc. Rev. Sci. Instrum. 1957, 28, 824–826. [Google Scholar] [CrossRef]
  18. Young, L.M. Operations of the LEDA resonantly coupled RFQ. In Proceedings of the 19th Particle Accelerator Conference (PAC-2001), Chicago, IL, USA, 18–22 June 2000; pp. 309–313. [Google Scholar]
  19. Vernon Smith, J.H.; Figueroa, T.L.; Gilpatrick, J.D. Commissioning results from the LEDA low-energy demonstration accelerator (LEDA) radio-frequency quadrupole (RFQ). In Proceedings of the 7th European Particle Accelerator Conference (EPAC 2000), Vienna, Austria, 26–30 June 2000; pp. 969–971. [Google Scholar]
  20. Stokes, R.H.; Wangler, T.P.; Crandall, K.R. The Radio-Frequency Quadrupole—A New Linear Accelerator. IEEE Trans. Nucl. Sci. 1981, 28, 1999–2003. [Google Scholar] [CrossRef]
  21. Li, H.; Wang, Z.; Lu, Y.; Zhu, K.; Tan, Q.; Liu, S.; Han, M. Design and study of a continuous wave RFQ for the BISOL high intensity deuteron driver linac. J. Instrum. 2020, 15, T05003. [Google Scholar] [CrossRef]
  22. Shin, K.R.; Kang, Y.W.; Fathy, A.E. Feasibility of Folded and Double Dipole Radio Frequency Quadrupole (RFQ) Cavities for Particle Accelerators. IEEE Trans. Nucl. Sci. 2014, 61, 799–807. [Google Scholar] [CrossRef]
  23. Jia, F.-J.; Zhu, K.; Lu, Y.-R.; Wang, Z.; Guo, Z.-Y.; Fu, Q.; He, Y. Beam Dynamics Design of a 50 mA D+ RFQ. Chin. Phys. Lett. 2016, 33, 072901. [Google Scholar] [CrossRef]
  24. Crandall, K.R.; Lloyd, T.P.W.; Young, M.; Billen, J.H.; Neuschaefer, G.N.; Schrage, D.L. RFQ Design Codes; Academic Press: Cambridge, MA, USA, 2005. [Google Scholar]
  25. Fu, Q.; Jia, F.; Gan, P.; Zhu, K.; Wang, Z.; Easton, M.J.; Lu, Y.; He, Y.; Wang, Z. Beam dynamics design and irradiation experiment of beam loss for a CW 100-mA proton RFQ. Nucl. Instrum. Methods Phys. Res. Sect. A Accel. Spectrometers Detect. Assoc. Equip. 2018, 905, 1–11. [Google Scholar] [CrossRef]
  26. Li, H.P.; Wang, Z.; Lu, Y.R.; Tan, Q.Y.; Easton, M.J.; Zhu, K.; Guo, Z.Y.; Gan, P.P.; Liu, S. Design of a CW linac for the Compact Intense Fast NEutron Facility. Nucl. Instrum. Methods Phys. Res. Sect. A Accel. Spectrometers Detect. Assoc. Equip. 2019, 930, 156–166. [Google Scholar] [CrossRef]
  27. Gan, P. Design of BISOL Heavy-ion RFQ and Experimental Research. Ph.D. Thesis, Peking University, Beijing, China, 2019; pp. 58–59. [Google Scholar]
  28. Young, L. Tuning and Stabilization of RFQ’s. In Proceedings of the LINAC’90, Paper WE202. Albuquerque, NM, USA, 9–14 September 1990; pp. 530–534. [Google Scholar]
  29. Tan, Q.Y.; Lu, Y.R.; Wang, Z. Multi-physics Analysis of A CW IH-DTL for CIFNEF. In Proceedings of the 9th International Particle Accelerator Conference (IPAC), Vancouver, BC, Canada, 29 April–4 May 2018; pp. 1129–1131. [Google Scholar]
  30. Han, M.; Lu, Y.; Wang, Z.; Peng, Z.; Liu, S.; Wei, T.; Xia, Y. Design of a CW BISOL RFQ for Three Kinds of High-Charge-State Ions Simultaneous Acceleration. Appl. Sci. 2022, 12, 7761. [Google Scholar] [CrossRef]
  31. Wangler, T.P. RF Linear Accelerators, Radiofrequency Quadrupole Linac; Wiley & Sons: New York, NY, USA, 2008; pp. 232–249. [Google Scholar]
  32. Huang, R. Instability of CW RFQ with high beam loading. In Proceedings of the 57th ICFA Advanced Beam Dynamics Workshop on High-Intensity, High Brightness and High Power Hadron Beams (HB2016), Malmo, Sweden, 3–8 July 2016. [Google Scholar]
  33. Kim, S.-H.; Aleksandrov, A.; Crofford, M.; Galambos, J.; Gibson, P.; Hardek, T.; Henderson, S.; Kang, Y.; Kasemir, K.; Peters, C.; et al. Stabilized operation of the Spallation Neutron Source radio-frequency quadrupole. Phys. Rev. Spéc. Top Accel. Beams 2010, 13, 070101. [Google Scholar] [CrossRef]
  34. Hasegawa, K. Status of the JPARC RFQ. In Proceedings of the 1st International Particle Accelerator Conference (IPAC2010), Kyoto, Japan, 23–28 May 2010; pp. 621–623. [Google Scholar]
  35. Liu, S.; Wei, Y.; Lu, Y.; Wang, Z.; Han, M.; Wei, T.; Xia, Y.; Li, H.; Gao, S.; Zheng, P. Development of a Radio-Frequency Quadrupole Accelerator for the HL-2A/2M Tokamak Diagnostic System. Appl. Sci. 2022, 12, 4031. [Google Scholar] [CrossRef]
  36. Da, D.A. Vacuum Design Manual, 3rd ed.; National Defence Industry Press: Beijing, China, 2004; pp. 100–124, 769–782. (In Chinese) [Google Scholar]
Figure 1. RFQ modeling diagram using SolidWorks.
Figure 1. RFQ modeling diagram using SolidWorks.
Applsci 13 10010 g001
Figure 2. Main parameters of RFQ. (m is modulation factor; Ws is synchronous energy in MeV; φ s is synchronous phase; R0 is the average aperture in cm; a is the minimum aperture in cm; V is the intervane voltage).
Figure 2. Main parameters of RFQ. (m is modulation factor; Ws is synchronous energy in MeV; φ s is synchronous phase; R0 is the average aperture in cm; a is the minimum aperture in cm; V is the intervane voltage).
Applsci 13 10010 g002
Figure 3. R0 and B of typical design and large-input aperture design.
Figure 3. R0 and B of typical design and large-input aperture design.
Applsci 13 10010 g003
Figure 4. Normalized beam density, (a): X, (b): Y.
Figure 4. Normalized beam density, (a): X, (b): Y.
Applsci 13 10010 g004
Figure 5. The output transverse phase–space ellipse without the transition region (a); The output longitudinal phase–space ellipse with the transition region (b).
Figure 5. The output transverse phase–space ellipse without the transition region (a); The output longitudinal phase–space ellipse with the transition region (b).
Applsci 13 10010 g005
Figure 6. (a) Transverse distribution of output beam, (b) longitudinal distribution of output beam, and (c) beam energy as a function of its horizontal position.
Figure 6. (a) Transverse distribution of output beam, (b) longitudinal distribution of output beam, and (c) beam energy as a function of its horizontal position.
Applsci 13 10010 g006
Figure 7. Hoffman resonance diagram. The red line means the evolution of work points, while black dot is a resonance line. So the work line should quickly traverse or circumvent the formant region.
Figure 7. Hoffman resonance diagram. The red line means the evolution of work points, while black dot is a resonance line. So the work line should quickly traverse or circumvent the formant region.
Applsci 13 10010 g007
Figure 8. Transmission efficiency of the RFQ versus Twiss parameter, beam offset, and tilt of the input beam.
Figure 8. Transmission efficiency of the RFQ versus Twiss parameter, beam offset, and tilt of the input beam.
Applsci 13 10010 g008
Figure 9. Transmission efficiency with different transverse emittances.
Figure 9. Transmission efficiency with different transverse emittances.
Applsci 13 10010 g009
Figure 10. Transmission efficiency with different input beam energies.
Figure 10. Transmission efficiency with different input beam energies.
Applsci 13 10010 g010
Figure 11. Transmission efficiency with different beam currents.
Figure 11. Transmission efficiency with different beam currents.
Applsci 13 10010 g011
Figure 12. (Left) Schematic diagram of misalignment errors; (Right) consequent error analysis.
Figure 12. (Left) Schematic diagram of misalignment errors; (Right) consequent error analysis.
Applsci 13 10010 g012
Figure 13. Error analysis of voltage tilt and higher-order harmonics: (a) voltage tilt over position, (b) intervane voltage of higher-order harmonics, (c) voltage tilt analysis, and (d) voltage harmonics analysis. The inclusion of the triangle serves to elucidate that the beam’s transmission consistently exceeds 98% when the voltage tilt error remains under 10%.
Figure 13. Error analysis of voltage tilt and higher-order harmonics: (a) voltage tilt over position, (b) intervane voltage of higher-order harmonics, (c) voltage tilt analysis, and (d) voltage harmonics analysis. The inclusion of the triangle serves to elucidate that the beam’s transmission consistently exceeds 98% when the voltage tilt error remains under 10%.
Applsci 13 10010 g013aApplsci 13 10010 g013b
Figure 14. (a) Dipole filed distribution illustration (where Q1 refers to the first quadrant); (b) Error analysis of the dipole field.
Figure 14. (a) Dipole filed distribution illustration (where Q1 refers to the first quadrant); (b) Error analysis of the dipole field.
Applsci 13 10010 g014
Figure 15. Beam center in red line oscillations with a dipole component of 14%; beam center in blue line varies slightly on z = 0 axis.
Figure 15. Beam center in red line oscillations with a dipole component of 14%; beam center in blue line varies slightly on z = 0 axis.
Applsci 13 10010 g015
Figure 16. The cross-section and parameters of the RFQ cavity.
Figure 16. The cross-section and parameters of the RFQ cavity.
Applsci 13 10010 g016
Figure 17. RFQ undercutting in both sides of vanes.
Figure 17. RFQ undercutting in both sides of vanes.
Applsci 13 10010 g017
Figure 18. Off-axis field distribution (left) and its unevenness (right).
Figure 18. Off-axis field distribution (left) and its unevenness (right).
Applsci 13 10010 g018
Figure 19. Tuner distribution in the RFQ cavity.
Figure 19. Tuner distribution in the RFQ cavity.
Applsci 13 10010 g019
Figure 20. Frequency shift as a function of tuner depth.
Figure 20. Frequency shift as a function of tuner depth.
Applsci 13 10010 g020
Figure 21. Magnetic field (H field) distribution of 2D RFQ section: quadrupole modes (left) and dipole modes (right).
Figure 21. Magnetic field (H field) distribution of 2D RFQ section: quadrupole modes (left) and dipole modes (right).
Applsci 13 10010 g021
Figure 22. Power-loss distribution on CW mode.
Figure 22. Power-loss distribution on CW mode.
Applsci 13 10010 g022
Figure 23. Methodology the multiphysics analysis [29].
Figure 23. Methodology the multiphysics analysis [29].
Applsci 13 10010 g023
Figure 24. Water-cooling channels for the RFQ cavity.
Figure 24. Water-cooling channels for the RFQ cavity.
Applsci 13 10010 g024
Figure 25. Temperature distribution of the RFQ.
Figure 25. Temperature distribution of the RFQ.
Applsci 13 10010 g025
Figure 26. Structural deformation of the RFQ (the fixed surface is the ending plate for both sides).
Figure 26. Structural deformation of the RFQ (the fixed surface is the ending plate for both sides).
Applsci 13 10010 g026
Figure 27. (Left) The shape and position of the coupling ring; (Right): the change in coupling coefficient with area of coupling ring.
Figure 27. (Left) The shape and position of the coupling ring; (Right): the change in coupling coefficient with area of coupling ring.
Applsci 13 10010 g027
Figure 28. Transition section of the coupler.
Figure 28. Transition section of the coupler.
Applsci 13 10010 g028
Figure 29. Impedance at the entrance and exit port of coupler.
Figure 29. Impedance at the entrance and exit port of coupler.
Applsci 13 10010 g029
Figure 30. S11 parameter of the transition section.
Figure 30. S11 parameter of the transition section.
Applsci 13 10010 g030
Figure 31. S21 parameter of the transition section.
Figure 31. S21 parameter of the transition section.
Applsci 13 10010 g031
Figure 32. Vacuum system.
Figure 32. Vacuum system.
Applsci 13 10010 g032
Figure 33. Schematic of the cylindrical flow guide.
Figure 33. Schematic of the cylindrical flow guide.
Applsci 13 10010 g033
Figure 34. (Left): Vacuum pressure distribution. (Right): On-axis cavity pressure.
Figure 34. (Left): Vacuum pressure distribution. (Right): On-axis cavity pressure.
Applsci 13 10010 g034
Figure 35. (Left) Vacuum level of the RFQ; (Right) on-axis cavity pressure (with inlet gas from LEBT and MEBT).
Figure 35. (Left) Vacuum level of the RFQ; (Right) on-axis cavity pressure (with inlet gas from LEBT and MEBT).
Applsci 13 10010 g035
Table 1. Main parameters of the cavity.
Table 1. Main parameters of the cavity.
IonD+
Frequency (MHz)162.5
Duty factor 100%
Vane length (m)3.7
Average aperture (mm)4.23
Input/output energy (MeV/u)0.020/1.05
Beam current (mA)10
Intervane voltage (kV)60
E k (MV/m)18.98 (1.40 Ek)
Input trans. ε n o r m , r m s (mm · mrad)0.200
Output ε x , n o r m , r m s (mm · mrad)0.201
Output ε y , n o r m , r m s (mm · mrad)0.202
Output ε z , r m s (mm · mrad)0.180
Transmission efficiency (Elimit = 0.08 MeV)98.63%
Table 2. Twiss parameters of different designs.
Table 2. Twiss parameters of different designs.
Twiss ParameterTypical DesignLarge-Input Aperture Design
α0.990.75
β (cm/rad)3.534.25
Table 3. Result comparison of PARMTEQM and CST + TRACEWIN.
Table 3. Result comparison of PARMTEQM and CST + TRACEWIN.
PARMTEQMCST + TRACEWIN
Output energy (MeV)2.112.11
Beam current (mA)1010
Transmission (%)98.6598.17
Transverse normalized RMS emittance of input beam ( π · m m · m r a d ) (x/y)0.20/0.200.20/0.20
Transverse normalized RMS emittance of output beam ( π · m m · m r a d ) (x/y)0.201/0.2020.203/0.209
Longitudinal normalized RMS emittance of output (degree · MeV)0.06250.0646
Table 4. Parameters of comprehensive error analysis.
Table 4. Parameters of comprehensive error analysis.
Error TypeMax Value
Input beam alignment position (mm)0.15
Input beam angle displacement (mrad)5
Input beam emittance growth40%
Input beam Twiss mismatch (α)15%
Input beam Twiss mismatch (β)15%
RFQ vane voltage jitter2%
RFQ longitudinal vane profile (μm)15
RFQ transverse vane curvature (μm)15
Horizontal and vertical segment displacement (μm)10
Parallel and perpendicular vane tilt (μm)10
Table 5. Parameters of the cavity cross-section.
Table 5. Parameters of the cavity cross-section.
ParameterValueUnit
r 0 4.23mm
r T 3.19mm
ρ 0.75
L 1 33.43mm
L 2 11.15mm
θ 1 10degree
θ 2 10degree
R v 30mm
R w 30mm
L m a x 172.5mm
Table 6. Undercutting parameters.
Table 6. Undercutting parameters.
ParameterValueUnit
Input   α 55degrees
Input D86.8mm
Output   α 55degrees
Output D78.3mm
Table 7. Mode frequencies.
Table 7. Mode frequencies.
ModeFrequency (MHz)
TE210162.38
TE110158.34/158.40
TE111165.67
TE211167.28
TE212181.09
TE213202.06
Table 8. Power distribution by RFQ part.
Table 8. Power distribution by RFQ part.
Component NameSection NumberPower Loss (kW)Percentage (%)
Cavity wall with electrode113.221.69
212.720.87
312.720.87
413.522.18
Electrode head11.121.84
21.131.85
31.141.87
41.161.91
TunersAll3.395.57
Coupling ring10.0680.11
20.0670.11
End plate10.290.48
20.40.66
Sum 60.86100
Table 9. Parameters of water cooling.
Table 9. Parameters of water cooling.
Channel TypeVaneBody
Velocity (m/s)2.52.5
Channel number4816
Pipe diameter (mm)1516
Flow rate (L/min) (each channel)26.5130.16
Flow rate (L/min) (all channel)1272.48482.55
Fluid density (kg/m3)998998
Fluid viscosity0.0010.001
Fluid thermal conductivity (W/m · K)0.60.6
Prandtl number77
Reynolds number37,42539,920
Nusselt number228240
Heat transfer coefficient (W/(m2 · K))91289011
Table 10. Result of the multiphysics analysis.
Table 10. Result of the multiphysics analysis.
ParameterValueUnit
Ambient temperature20°C
Water temperature20°C
Flow velocity2.5m/s
Maximum temperature rise18.1°C
Maximum deformation86.1μm
Maximum stress53.5MPa
Frequency drift9.9kHz
Table 11. Best matching parameters for a single coupler.
Table 11. Best matching parameters for a single coupler.
ParameterSymbol and FormulaValue
Frequency (MHz)f162.5
Beam current (A)I0.01
Cavity power (kW)Pc60.97
Beam power (kW)Pb20.78
Generator power (kW)Pg = Pc + Pb81.75
Optimum coupling factor β m = 1 + P b / P c 1.34
Unloaded quality factorQ014,124
Loaded quality factorQL = Q0/(1+βm)6036
Accelerating voltage (MV) V 0 = 0 L E z   d z = 1 n A i V 3.122
Transit-time factorT π / 4
Cavity voltage (MV) Vc = V 0 T2.452
Beam injection phase c o s φ = P b / I   V c 32.06°
Detuning angle t a n ψ = β m 1 β m + 1 t a n φ −5.20°
Effective shunt impedance ( M Ω ) Rs = V c 2 / P c 98.61
Beam-induced voltage (MV) V b = I · R s · c o s ψ 1 + β 0.420
Generator-induced voltage (MV) V g = 2 β · P g · R s 1 + β c o s ψ 3.418
Detuning factor γ = t a n ψ 0.091
Detuning frequency (kHz) f f · γ / 2 Q L 1.225
Table 12. Conductance parameters.
Table 12. Conductance parameters.
ParameterLEBT ValueMEBT Value
D (cm)12.2
S (cm2)0.793.80
C a i r (L/s)9.1144.09
C H 2 (L/s)35.26170.65
P R F Q (Pa)10−610−6
P s y s t e m (Pa)3 × 10−510−5
P (Pa)2.9 × 10−50.9 × 10−5
Q (Pa · L/s)1.022 × 10−31.536 × 10−3
Disclaimer/Publisher’s Note: The statements, opinions and data contained in all publications are solely those of the individual author(s) and contributor(s) and not of MDPI and/or the editor(s). MDPI and/or the editor(s) disclaim responsibility for any injury to people or property resulting from any ideas, methods, instructions or products referred to in the content.

Share and Cite

MDPI and ACS Style

Wei, T.; Lu, Y.; Wang, Z.; Han, M.; Xia, Y.; Morris, A. The Design of a High-Intensity Deuteron Radio Frequency Quadrupole Accelerator. Appl. Sci. 2023, 13, 10010. https://doi.org/10.3390/app131810010

AMA Style

Wei T, Lu Y, Wang Z, Han M, Xia Y, Morris A. The Design of a High-Intensity Deuteron Radio Frequency Quadrupole Accelerator. Applied Sciences. 2023; 13(18):10010. https://doi.org/10.3390/app131810010

Chicago/Turabian Style

Wei, Tianhao, Yuanrong Lu, Zhi Wang, Meiyun Han, Yin Xia, and Austin Morris. 2023. "The Design of a High-Intensity Deuteron Radio Frequency Quadrupole Accelerator" Applied Sciences 13, no. 18: 10010. https://doi.org/10.3390/app131810010

APA Style

Wei, T., Lu, Y., Wang, Z., Han, M., Xia, Y., & Morris, A. (2023). The Design of a High-Intensity Deuteron Radio Frequency Quadrupole Accelerator. Applied Sciences, 13(18), 10010. https://doi.org/10.3390/app131810010

Note that from the first issue of 2016, this journal uses article numbers instead of page numbers. See further details here.

Article Metrics

Back to TopTop