Factors and Underlying Mechanisms That Influence the Repetitive Breakdown Characteristics of Corona-Stabilized Switches
Abstract
1. Introduction
2. Experimental Apparatus and Methods
2.1. The Corona-Stabilized Switch
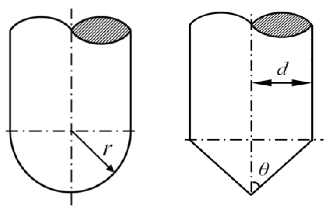
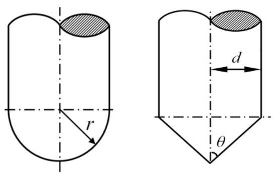
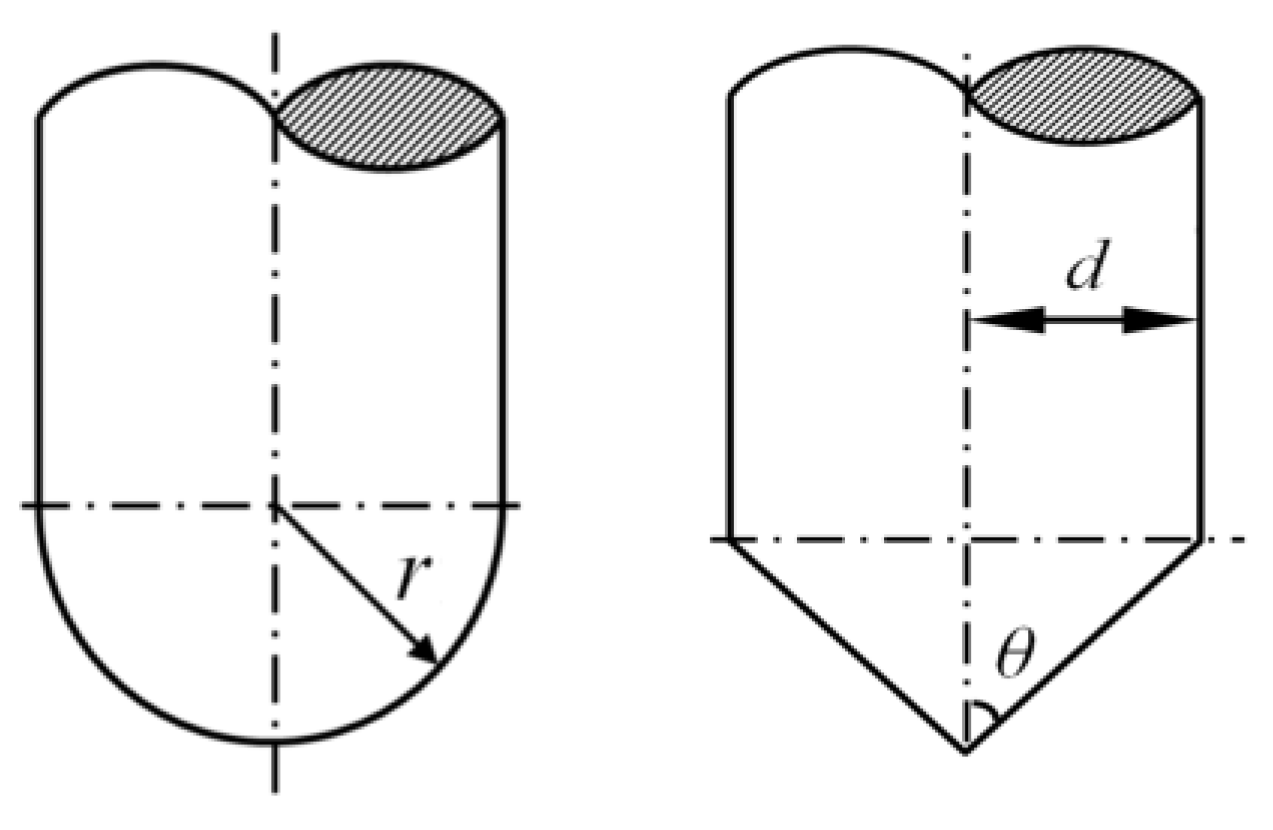
2.1.1. Inhomogeneity of Electric Field
2.1.2. Gas Type
2.1.3. Operating Pressure and Gap Spacing
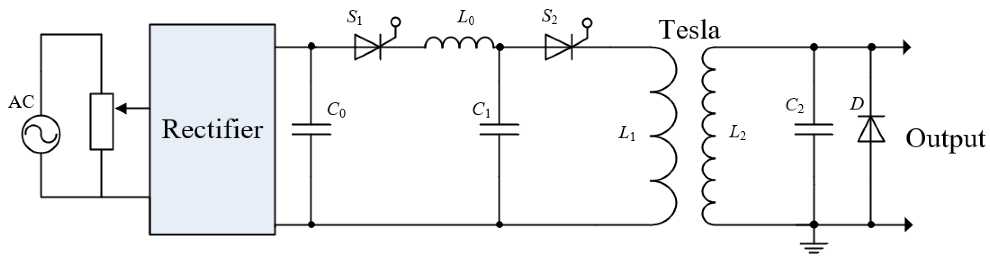
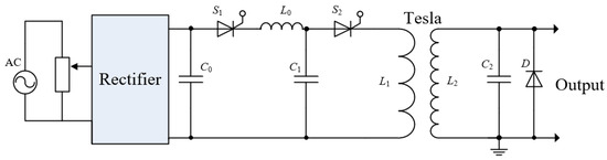
2.2. Pulsed Power Supply
2.3. Diagnostics
2.4. Experimental Methods
3. Results
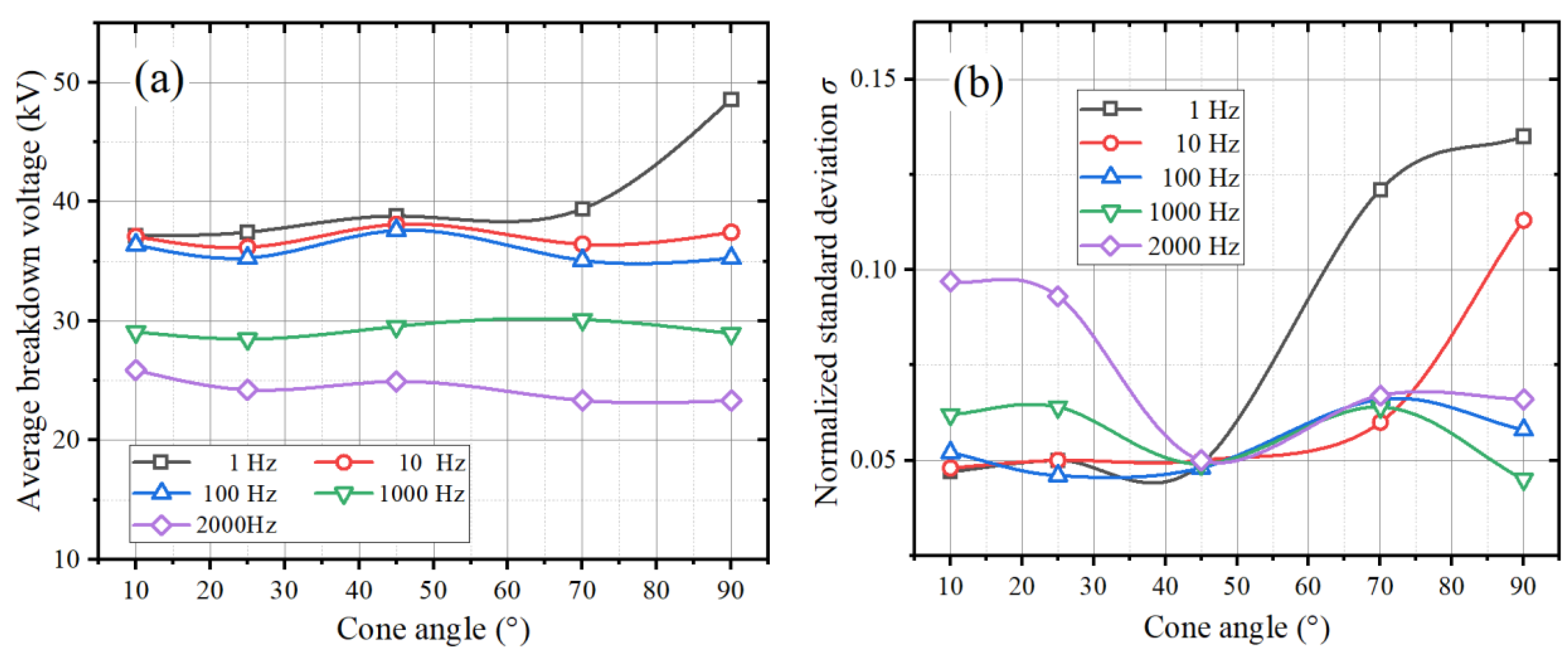
3.1. Field Inhomogeneity
3.2. Gas Type
3.3. Operating Pressure
3.4. Gap Spacing
3.5. Optical Image of Discharge Channels
4. Discussion
4.1. Behavior of Residual Space Charges
4.1.1. Electric Field Inhomogeneity
4.1.2. Gas Type
4.1.3. Pressure and Gas Spacing
4.2. Distribution of Discharge Channels
4.3. Electrostatic Field Characteristics
5. Conclusions
- (1)
- The electrode with a higher field inhomogeneity results in less voltage dispersion and better stability of the switch during repetitive breakdowns. The voltage dispersion of repetitive breakdowns increases as the electric field becomes more homogeneous, and this pattern is particularly noticeable at low-repetition frequencies. The pure SF6 and SF6–He mixtures had the smallest voltage dispersion and the best breakdown stability. The stability of SF6 deteriorated after being diluted with air and N2 and will continue to worsen as the SF6 content decreases. The dispersion of the breakdown voltage increased as the operating pressure increased. The voltage dispersion changed with the gap spacing in a nonlinear trend. There was an optimal gap spacing to ensure optimal breakdown stability, as a too large or too small gap spacing will lead to poor breakdown stability.
- (2)
- The corona-stabilization effect, in general, is the core factor that determines the stability of the switch. The highly inhomogeneous field and the presence of a strong electronegative gas medium can improve the stability of the switch, as these parameters enhance the corona-stabilization effect during repetitive breakdowns. Corona stabilization can not only improve the stability during repetitive breakdowns, but also enhance the insulation recovery performance of the switch.
- (3)
- The effect of corona stabilization on insulation recovery is basically monotonic, but its impact on repetitive breakdown stability is relatively complex. For switches with different levels of electric field inhomogeneity, a better corona-stabilization effect leads to better repetitive breakdown stability. In switches with different gas media, the stronger the corona stabilization effect, the better the repetitive breakdown stability. In these two types of switches, the stronger the corona-stabilization effect, the faster the insulation recovery of the switch. However, operating at high pressures can accelerate insulation recovery in the switch, but it may also decrease its stability. For switches with different gap spacings, it is not necessary that the better the corona-stabilization effect, the better the insulation recovery and repetitive breakdown stability. Instead, there exists an optimal distance at which the switch can achieve good breakdown stability and insulation recovery performance. Therefore, considering only the intensity of corona stabilization is insufficient for understanding the underlying mechanism for repetitive breakdown in the switch. The influence of the memory effect caused by residual spatial transport characteristics must be fully considered. This view is supported by the experimental results using different needle electrodes.
Author Contributions
Funding
Institutional Review Board Statement
Informed Consent Statement
Data Availability Statement
Acknowledgments
Conflicts of Interest
References
- Zhang, C.; Wang, R.; Yan, P.; Shao, T. Atmospheric-pressure pulsed discharges and plasmas: Mechanism, characteristics and applications. High Volt. 2018, 3, 14–20. [Google Scholar]
- Jinno, R.; Komuro, A.; Yanai, H.; Ono, R. Antitumor abscopal effects in mice induced by normal tissue irradiation using pulsed streamer discharge plasma. J. Phys. D Appl. Phys. 2022, 55, 17LT01. [Google Scholar] [CrossRef]
- Zhao, Z.; Huang, Z.; Zheng, X.; Li, C.; Sun, A.; Li, J. Evolutions of repetitively pulsed positive streamer discharge in electronegative gas mixtures at high pressure. Plasma Sources Sci. Technol. 2022, 31, 075006. [Google Scholar] [CrossRef]
- Wang, X.; Gao, Y.; Zhang, S.; Sun, H.; Shao, T. Nanosecond pulsed plasma assisted dry reforming of CH4: The effect of plasma operating parameters. Appl. Energy 1999, 243, 132–144. [Google Scholar] [CrossRef]
- Li, L.; Zhao, Z.; Liu, Y.; Li, C.; Ren, J.; Li, J. Repetitive gas-discharge closing switches for pulsed power applications. IEEE Trans. Plasma Sci. 2019, 47, 4237–4249. [Google Scholar] [CrossRef]
- Larsson, A. Gas-discharge closing switches and their time jitter. IEEE Trans. Plasma Sci. 2012, 40, 2431–2442. [Google Scholar] [CrossRef]
- Li, L.; Li, J.; Zhao, Z. Effect of switch parameters and polarity on the repetitive performance of a corona-stabilized switch viewed from behavior of space charge. Phys. Plasmas 2020, 27, 043509. [Google Scholar] [CrossRef]
- MacGregor, S.J.; Turnbull, S.M.; Tuema, F.A.; Farish, O. Factors affecting and methods of improving the pulse repetition frequency of pulse-charged and DC-charged high-pressure gas switches. IEEE Trans. Plasma Sci. 1997, 25, 110–117. [Google Scholar] [CrossRef]
- Macgregor, S.J.; Tuema, F.A.; Turnbull, S.M. The operation of repetitive high-pressure spark gap switches. J. Phys. D Appl. Phys. 1999, 26, 954–958. [Google Scholar] [CrossRef]
- Koutsoubis, J.M.; MacGregor, S.J. Effects of gas type on high repetition rate performance of a triggered, corona stabilized switch. IEEE Trans. Dielectr. Electr. Insul. 2003, 10, 245–255. [Google Scholar] [CrossRef]
- Sarkar, P.; Smith, I.R.; Novac, B.M.; Miller, R.A.; Graven, R.M. A high-average power self-break closing switch for high repetition rate applications. In Proceedings of the 2006 IET Pulsed Power Symposium, Warrington, UK, 11–12 October 2006; pp. 62–65. [Google Scholar]
- Beveridge, J.R.; MacGregor, S.J.; Given, M.J.; Timoshkin, I.V. A corona-stabilised plasma closing switch. IEEE Trans. Dielectr. Electr. Insul. 2009, 16, 948–955. [Google Scholar] [CrossRef][Green Version]
- Li, L.; Li, J.; Zhao, Z.; Li, C. Effect of pressure on repetitive performance a corona-stabilized plasma closing switch. Phys. Plasmas 2020, 27, 023508. [Google Scholar] [CrossRef]
- Li, L.; Huang, Z.; Li, J. Effect of gas type on insulation recovery performance and repetitive breakdown stability of a corona-stabilized plasma closing switch. J. Appl. Phys. 2020, 128, 073302. [Google Scholar] [CrossRef]
- Li, L.; Huang, Z.; Yang, Y. The influence of electric field inhomogeneity on repetitive performance of a corona-stabilized Switch. IEEE Access 2020, 8, 195515–195527. [Google Scholar] [CrossRef]
- Larsson, A.; Yap, D.; Lim, Y.W. Time Jitter Study of a Corona-Stabilized Closing Switch. IEEE Trans. Plasma Sci. 2012, 40, 749–754. [Google Scholar] [CrossRef]
- Given, M.J.; Timoshkin, I.V.; Wilson, M.P.; Macgregor, S.J.; Lehr, J.M. A novel design for a multistage corona stabilized closing switch. IEEE Trans. Dielectr. Electr. Insul. 2011, 18, 983–989. [Google Scholar] [CrossRef]
- Gao, P.C.; Zeng, B.; Chen, J.; Su, J.; Li, R.; Zhao, L. Experimental investigation on the breakdown voltage dispersion of corona-stabilized switch at low repetition rate. IEEE Trans. Plasma Sci. 2017, 45, 2351–2357. [Google Scholar] [CrossRef]
- Maller, V.N.; Naidu, M.S. Advances in High Voltage Insulation and Arc Interruption in SF6 and Vacuum; Pergamon Press: New York, NY, USA, 1981. [Google Scholar]
- Koutsoubis, J.M.; Thoma, K.; MacGregar, S.J. Electrode erosion and lifetime performance of a triggered corona-stabilized switch in SF6 at a repetition rate of 1 kHz. IEEE Trans. Dielectr. Electr. Insul. 2016, 23, 1985–1995. [Google Scholar] [CrossRef]
- Clalmers, I.D.; Qui, X.Q.; Coventry, P. The study of SF6 mixtures with buffer gases. In Gaseous Dielectrics IX; Christiophorou, L.G., Olthoff, K., Eds.; Pergamon Press: New York, NY, USA, 1998. [Google Scholar]
- Cai, X.; Zou, X.; Wang, X.; Wang, L.; Guan, Z.; Jiang, W. Recovery of gas density in a nitrogen gap after breakdown. Appl. Phys. Lett. 2010, 97, 101501. [Google Scholar] [CrossRef]
- Zhao, Z.; Huang, D.; Wang, Y.; Li, C.; Li, J. Volume and surface memory effects on evolution of streamer dynamics along gas/solid interface in high-pressure nitrogen under long-term repetitive nanosecond pulses. Plasma Sources Sci. Technol. 2019, 29, 103182. [Google Scholar] [CrossRef]
- Zhao, Z.; Dai, Z.; Sun, A.; Li, J. Streamer to precursor transition in N2–SF6 mixtures under positive repetitive sub-microsecond pulses. High Volt. 2022, 7, 382–389. [Google Scholar] [CrossRef]
- Lu, Y.; Fan, Y.; Shi, L.; Qiao, H.; Xia, W.; Zhu, Y. Experiment research of high voltage nanosecond gas switch’s insulation recovery. High Volt. Eng. 2015, 14, 1852–1856. (In Chinese) [Google Scholar]
- Nijdam, S.; Teunissen, J.; Ebert, U. The physics of streamer discharge phenomena. Plasma Sources Sci. Technol. 2020, 29, 103001. [Google Scholar] [CrossRef]
- Zhao, Z.; Li, J. Repetitively pulsed gas discharges: Memory effect and discharge mode transition. High Volt. 2020, 5, 569–582. [Google Scholar] [CrossRef]
- Akishev, Y.S.; Aponin, G.; Balakirev, A.; Grushin, M.; Karalnik, V.; Petryakov, A.; Trushkin, N.I. ‘Memory’ and sustention of microdischarges in a steady-state DBD: Volume plasma or surface charge? Plasma Sources Sci. Technol. 2011, 20, 024005. [Google Scholar] [CrossRef]
- You, H.; Zhang, Q.; Ma, J.; Qin, Y.; Wen, T.; Guo, C.; Zhang, Y. Follow phenomenon of breakdown voltage in SF6 under lightning impulse. IEEE Trans. Dielect. Electr. Insul. 2016, 23, 2677–2684. [Google Scholar] [CrossRef]
- Cheng, X.; Yang, P.; Ge, G.; Wu, Q.; Xie, W. Dynamic dielectric recovery performance of serial vacuum and SF6 gaps in HVDC interruption and its regulation method. Plasma Sci. Technol. 2019, 21, 074010. [Google Scholar] [CrossRef]
- Hayakawa, N.; Hatta, K.; Okabe, S.; Okubo, H. Streamer and leader discharge propagation characteristics leading to breakdown in electronegative gases. IEEE Trans. Dielectr. Electr. Insul. 2006, 13, 842–849. [Google Scholar] [CrossRef]
- Wang, W.; Yan, J.; Rong, M.; Mruphy, A.B.; Spencer, J.M. Theoretical investigation of the decay of an SF6 gas-blast arc using a two-temperature hydrodynamic model. J. Phys. D Appl. Phys. 2013, 46, 065203. [Google Scholar] [CrossRef]
- Nam, S.H.; Rahaman, H.; Heo, H. Empirical analysis of high pressure SF6 gas breakdown strength in a spark gap switch. IEEE Trans. Dielectr. Electr. Insul. 2009, 16, 1106–1110. [Google Scholar] [CrossRef]
- Hinterholzer, T.; Boeck, W. Breakdown in SF6 influenced by corona-stabilization. In Proceedings of the 2000 Annual Report Conference on Electrical Insulation and Dielectric Phenomena, Victoria, BC, Canada, 15–18 October 2002; p. 416. [Google Scholar]
- Wang, F.; Liu, W.; Lin, X.; Xia, Y.; Xu, J. Study on the mathematical model of dielectric recovery characteristics in high voltage SF6 circuit breaker. Plasma Sci. Technol. 2016, 18, 223–229. [Google Scholar]
- Wang, W.; Rong, M.; Wu, Y. Transport coefficients of high temperature SF6-He mixtures used in switching applications as an alternative to pure SF6. Plasma Chem. Plasma Process. 2014, 34, 899–916. [Google Scholar] [CrossRef]
- Ghorui, S.; Heberlein, J.V.R.; Pfender, E. Thermodynamic and transport properties of two-temperature nitrogen-oxygen plasma. Plasma Chem. Plasma Process. 2008, 28, 553–582. [Google Scholar] [CrossRef]
- Shao, T.; Sun, G.; Yan, P.; Wang, J.; Yuan, W.; Sun, Y.; Zhang, S. An experimental investigation of repetitive nanosecond-pulse breakdown in air. J. Phys. D Appl. Phys. 2006, 39, 2192–2197. [Google Scholar]
- Shao, T.; Sun, G.; Yan, P.; Wang, J.; Yuan, W.; Sun, Y.; Zhang, S. Breakdown phenomena in nitrogen due to repetitive nanosecond-pulses. IEEE Trans. Dielectr. Electr. Insul. 2007, 14, 813–819. [Google Scholar] [CrossRef]
- Hartmann, G.; Gallimberti, I. The influence of metastable molecules on the streamer progression. J. Phys. D Appl. Phys. 1975, 8, 670–680. [Google Scholar] [CrossRef]
- Zhao, Z.; Li, C.; Guo, Y.; Zheng, X.; Sun, A.; Li, J. Streamer dynamics and periodical discharge regime transitions under repetitive nanosecond pulses with airflow. Plasma Sources Sci. Technol. 2023, 32, 015002. [Google Scholar] [CrossRef]
- Starikovskiy, A.Y.; Aleksandrov, N.L. How pulse polarity and photoionization control streamer discharge development in long air gaps. Plasma Sources Sci. Technol. 2020, 29, 075004. [Google Scholar] [CrossRef]
- Chen, Z.; Jia, W.; Guo, F.; Li, J. Variation and Saturated Phenomena of Polypropylene Film Flashover Voltage under Different SF6 Pressures. IEEE Trans. Plasma Sci. 2019, 47, 4553–4559. [Google Scholar] [CrossRef]
- Zhang, L.; Huang, G.; Wu, J.; Zhang, Q.; Guo, A.; Yang, H. Hump Phenomena and Mechanism of SF6 Gas Discharge under Impulse Voltages. High Volt. Eng. 2018, 44, 527–533. (In Chinese) [Google Scholar]
- Pejović, M.M.; Živanović, E.N.; Pejovic, M.; Karamarkovic, J. Analysis of processes responsible for the memory effect in air at low pressures. Plasma Sources Sci. Technol. 2010, 19, 04502. [Google Scholar] [CrossRef]
- Kazemi, M.R.; Sugai, T.; Tokuchi, A.; Jiang, W. Study of pulsed atmospheric discharge using solid-state LTD. IEEE Trans. Plasma Sci. 2017, 45, 2323–2327. [Google Scholar] [CrossRef]
- Zhao, X.; Yao, X.; Guo, Z.; Li, J.; Si, W.; Li, Y. Characteristics and development mechanisms of partial discharge in SF6 gas under impulse voltages. IEEE Trans. Plasma Sci. 2011, 39, 668–674. [Google Scholar] [CrossRef]
- Han, S.; Choi, E.; Cho, G. Breakdown temperature of electrons in SF6 gas. Appl. Phys. Lett. 2010, 97, 161501. [Google Scholar]
- Han, S.; Byeon, Y.; Song, K.; Choi, E.; Ryu, H.; Lee, J. Analytical investigation of electrical breakdown properties in a nitrogen-SF6 mixture gas. Phys. Plasmas 2010, 17, 113510. [Google Scholar]
- Yang, F.; Chen, Z.; Wu, Y. Two-temperature transport coefficients of SF6-N2 plasma. Phys. Plasmas 2015, 22, 103508. [Google Scholar] [CrossRef]



















| R1 | R2 | R3 | R4 | R5 | |
|---|---|---|---|---|---|
| r (mm) | 0.5 | 1.0 | 1.5 | 2.5 | 5.0 |
| f | 8.13 | 4.67 | 3.47 | 2.46 | 1.69 |
| N1 | N2 | N3 | N4 | |
|---|---|---|---|---|
| θ (°) | 10 | 25 | 45 | 70 |
| f | 4.02 | 3.61 | 3.26 | 3.13 |
| d (mm) | 1.5 | |||
Disclaimer/Publisher’s Note: The statements, opinions and data contained in all publications are solely those of the individual author(s) and contributor(s) and not of MDPI and/or the editor(s). MDPI and/or the editor(s) disclaim responsibility for any injury to people or property resulting from any ideas, methods, instructions or products referred to in the content. |
© 2023 by the authors. Licensee MDPI, Basel, Switzerland. This article is an open access article distributed under the terms and conditions of the Creative Commons Attribution (CC BY) license (https://creativecommons.org/licenses/by/4.0/).
Share and Cite
Li, L.; Wang, B.; Yi, C.; Xu, X.; Xu, G.; Feng, Y. Factors and Underlying Mechanisms That Influence the Repetitive Breakdown Characteristics of Corona-Stabilized Switches. Appl. Sci. 2023, 13, 9518. https://doi.org/10.3390/app13179518
Li L, Wang B, Yi C, Xu X, Xu G, Feng Y. Factors and Underlying Mechanisms That Influence the Repetitive Breakdown Characteristics of Corona-Stabilized Switches. Applied Sciences. 2023; 13(17):9518. https://doi.org/10.3390/app13179518
Chicago/Turabian StyleLi, Longjie, Biao Wang, Chen Yi, Xianfeng Xu, Guimin Xu, and Yu Feng. 2023. "Factors and Underlying Mechanisms That Influence the Repetitive Breakdown Characteristics of Corona-Stabilized Switches" Applied Sciences 13, no. 17: 9518. https://doi.org/10.3390/app13179518
APA StyleLi, L., Wang, B., Yi, C., Xu, X., Xu, G., & Feng, Y. (2023). Factors and Underlying Mechanisms That Influence the Repetitive Breakdown Characteristics of Corona-Stabilized Switches. Applied Sciences, 13(17), 9518. https://doi.org/10.3390/app13179518

