Biodefoamer-Supported Activated Sludge System for the Treatment of Poultry Slaughterhouse Wastewater
Abstract
1. Introduction
2. Materials and Methods
2.1. Isolation, Identification, and Biodefoamer Production
2.2. Biofoamer Inhibition Using Cell-Free Crude Biodefoamers
2.3. Activated Sludge (MLSS) System Design
2.4. Activated Sludge-Supported Poultry Slaughterhouse Wastewater Treatment System Start-Up
2.5. Analytical Methods for Wastewater Quality Assessment
3. Results and Discussion
3.1. Biofoam Visualisation, Description, and Filament Reduction by Biodefoamers
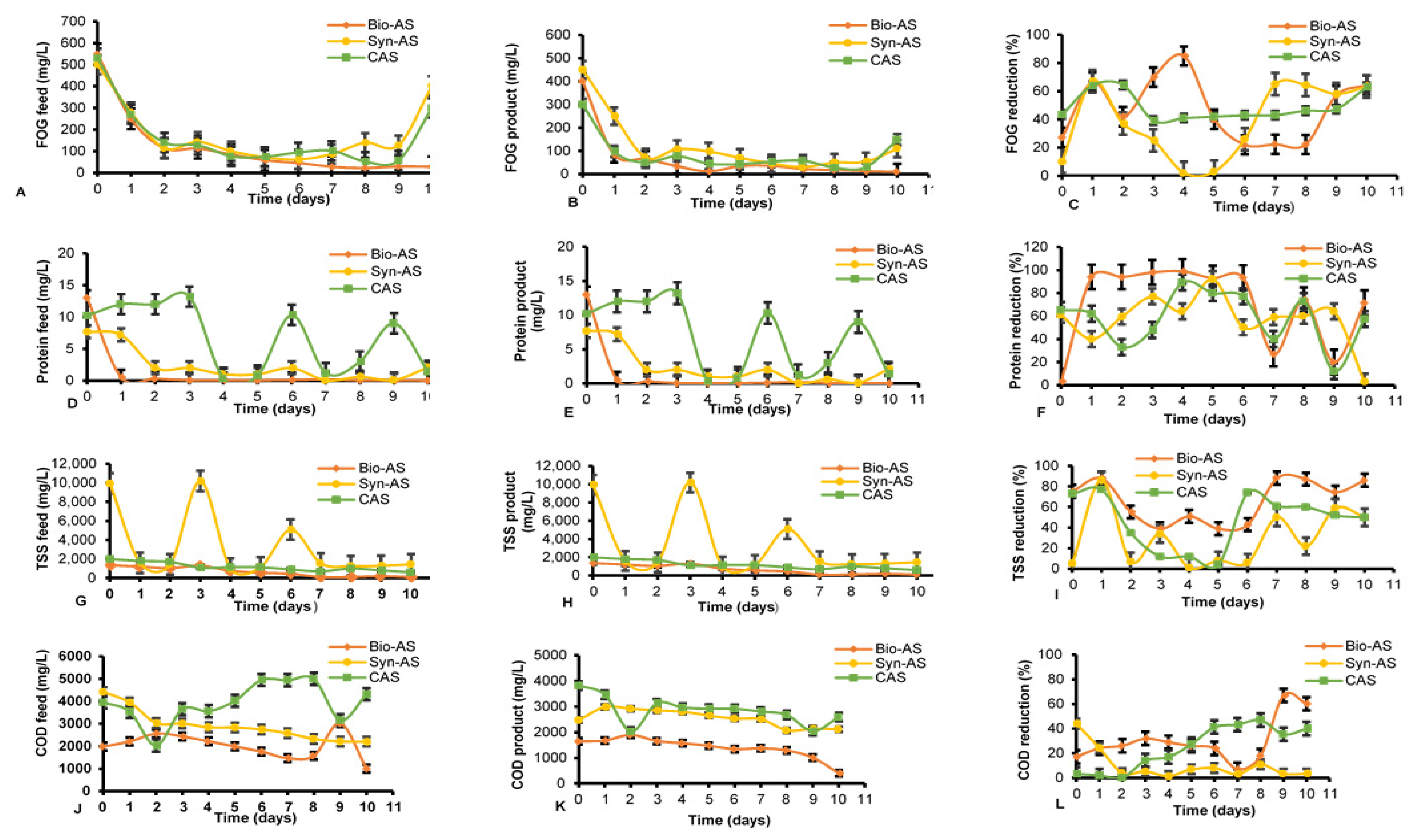
3.2. Aeration Tank Performance
3.3. Clarification Tank Performance
4. Conclusions
Author Contributions
Funding
Data Availability Statement
Acknowledgments
Conflicts of Interest
References
- Meyo, H.B.; Njoya, M.; Basitere, M.; Ntwampe, S.K.O.; Kaskote, E. Treatment of Poultry Slaughterhouse Wastewater (PSW) Using a Pretreatment Stage, an Expanded Granular Sludge Bed Reactor (EGSB), and a Membrane Bioreactor (MBR). Membranes 2021, 11, 345. [Google Scholar] [CrossRef] [PubMed]
- Rinquest, Z.; Basitere, M.; Ntwampe, S.K.O.; Njoya, M. Poultry Slaughterhouse Wastewater Treatment Using a Static Granular Bed Reactor Coupled with Single Stage Nitrification-Denitrification and Ultrafiltration Systems. J. Water Process Eng. 2019, 29, 100778. [Google Scholar] [CrossRef]
- Dlangamandla, C.; Ntwampe, S.K.O.; Basitere, M. A Bioflocculant-Supported Dissolved Air Flotation System for the Removal of Suspended Solids, Lipids and Protein Matter from Poultry Slaughterhouse Wastewater. Water Sci. Technol. 2018, 78, 452–458. [Google Scholar] [CrossRef] [PubMed]
- Dlangamandla, C.; Dyantyi, S.A.; Mpentshu, Y.P.; Ntwampe, S.K.O.; Basitere, M. Optimisation of Bioflocculant Production by a Biofilm Forming Microorganism from Poultry Slaughterhouse Wastewater for Use in Poultry Wastewater Treatment. Water Sci. Technol. 2016, 73, 1963–1968. [Google Scholar] [CrossRef] [PubMed]
- Basitere, M.; Williams, Y.; Sheldon, M.S.; Ntwampe, S.K.O.; De Jager, D.; Dlangamandla, C. Performance of an Expanded Granular Sludge Bed (EGSB) Reactor Coupled with Anoxic and Aerobic Bioreactors for Treating Poultry Slaughterhouse Wastewater. Water Pract. Technol. 2016, 11, 86–92. [Google Scholar] [CrossRef]
- Kim, K.; Hur, J.W.; Kim, S.; Jung, J.-Y.; Han, H.-S. Biological Wastewater Treatment: Comparison of Heterotrophs (BFT) with Autotrophs (ABFT) in Aquaculture Systems. Bioresour. Technol. 2020, 296, 122293. [Google Scholar] [CrossRef] [PubMed]
- Meiramkulova, K.; Zorpas, A.A.; Orynbekov, D.; Zhumagulov, M.; Saspugayeva, G.; Kydyrbekova, A.; Mkilima, T.; Inglezakis, V.J. The Effect of Scale on the Performance of an Integrated Poultry Slaughterhouse Wastewater Treatment Process. Sustainability 2020, 12, 4679. [Google Scholar] [CrossRef]
- Baker, B.R.; Mohamed, R.; Al-Gheethi, A.; Aziz, H.A. Advanced Technologies for Poultry Slaughterhouse Wastewater Treatment: A Systematic Review. J. Dispers. Sci. Technol. 2020, 42, 880–899. [Google Scholar] [CrossRef]
- Njoya, M.; Basitere, M.; Ntwampe, S.K.O.; Lim, J.W. Performance Evaluation and Kinetic Modeling of Down-Flow High-Rate Anaerobic Bioreactors for Poultry Slaughterhouse Wastewater Treatment. Environ. Sci. Pollut. Res. 2020, 28, 9529–9541. [Google Scholar] [CrossRef]
- Nguyen, T.-T.-D.; Nguyen, T.-T.; An Binh, Q.; Bui, X.-T.; Ngo, H.H.; Vo, H.N.P.; Andrew Lin, K.-Y.; Vo, T.-D.-H.; Guo, W.; Lin, C.; et al. Co-Culture of Microalgae-Activated Sludge for Wastewater Treatment and Biomass Production: Exploring Their Role under Different Inoculation Ratios. Bioresour. Technol. 2020, 314, 123754. [Google Scholar] [CrossRef]
- Zhao, W.; Bi, X.; Bai, M.; Wang, Y. Research Advances of Ammonia Oxidation Microorganisms in Wastewater: Metabolic Characteristics, Microbial Community, Influencing Factors and Process Applications. Bioprocess Biosyst. Eng. 2023, 46, 621–633. [Google Scholar] [CrossRef] [PubMed]
- Wang, Q.; He, J. Complete Nitrogen Removal via Simultaneous Nitrification and Denitrification by a Novel Phosphate Accumulating Thauera Sp. Strain SND5. Water Res. 2020, 185, 116300. [Google Scholar] [CrossRef] [PubMed]
- Collin, T.D.; Cunningham, R.; Asghar, M.Q.; Villa, R.; MacAdam, J.; Jefferson, B. Assessing the Potential of Enhanced Primary Clarification to Manage Fats, Oils and Grease (FOG) at Wastewater Treatment Works. Sci. Total Environ. 2020, 728, 138415. [Google Scholar] [CrossRef]
- Rajab, A.R.; Salim, M.R.; Sohaili, J.; Anuar, A.N.; Salmiati; Lakkaboyana, S.K. Performance of Integrated Anaerobic/Aerobic Sequencing Batch Reactor Treating Poultry Slaughterhouse Wastewater. Chem. Eng. J. 2017, 313, 967–974. [Google Scholar] [CrossRef]
- Ardestani, F.; Abbasi, M. Poultry Slaughterhouse Wastewater Treatment Using Anaerobic Fluid Bed Reactor and Aerobic Mobile-Bed Biological Reactor. Int. J. Eng. 2019, 32, 634–640. [Google Scholar] [CrossRef]
- Aziz, H.; Puat, N.; Alazaiza, M.; Hung, Y.-T. Poultry Slaughterhouse Wastewater Treatment Using Submerged Fibers in an Attached Growth Sequential Batch Reactor. Int. J. Environ. Res. Public Health 2018, 15, 1734. [Google Scholar] [CrossRef]
- Septiana, I.; Siami, L.; Tazkiaturrizki, T.; Hadisoebroto, R.; Ratnaningsih, R. Analysis of Load Variation on Chicken Slaughterhouse Waste Water Treatment Using GAS-SBR. J. Phys. Conf. Ser. 2019, 1402, 022109. [Google Scholar] [CrossRef]
- Masoumi, Z.; Shokohi, R.; Atashzaban, Z.; Ghobadi, N.; Rahmani, A.R. Stabilization of Excess Sludge From Poultry Slaughterhouse Wastewater Treatment Plant by the Fenton Process. Avicenna J. Environ. Health Eng. 2015, 2, 3239. [Google Scholar] [CrossRef]
- Mangundu, J. Optimisation of Defoamer in A Bio-Reactor. Master’s Thesis, University of the Witwatersrand, Johannesburg, South Africa, 2017. [Google Scholar]
- Dlangamandla, C.; Basitere, M.; Okeleye, B.I.; Chidi, B.S.; Karabo Obed Ntwampe, S. Biofoam Formation and Defoamation in Global Wastewater Treatment Systems. Water Pract. Technol. 2020, 16, 1–18. [Google Scholar] [CrossRef]
- Dlangamandla, C.; Ntwampe, S.K.O.; Basitere, M.; Chidi, B.S.; Okeleye, B.I.; Mukandi, M.R. Production, Application, and Efficacy of Biodefoamers from Bacillus, Aeromonas, Klebsiella, Comamonas Spp. Consortium for the Defoamation of Poultry Slaughterhouse Wastewater. Water 2023, 15, 655. [Google Scholar] [CrossRef]
- Pal, P.; Khairnar, K.; Paunikar, W.N. Causes and remedies for filamentous foaming in activated sludge treatment plant. Glob. NEST J. 2014, 16, 762–772. [Google Scholar]
- Marina, A. Filamentous Bacteria—Problems and Solutions. 2018. Available online: https://wtp-operators.thewaternetwork.com/article-FfV/filamentous-bacteria-problems-and-solutions-r94HLW1n20o4ygPMhB7D4A (accessed on 20 March 2023).
- Mewa-Ngongang, M.; du Plessis, H.; Ntwampe, S.; Chidi, B.; Hutchinson, U.; Mekuto, L.; Jolly, N. Grape Pomace Extracts as Fermentation Medium for the Production of Potential Biopreservation Compounds. Foods 2019, 8, 51. [Google Scholar] [CrossRef]
- Kielkopf, C.L.; Bauer, W.; Urbatsch, I.L. Bradford Assay for Determining Protein Concentration. Cold Spring Harb. Protoc. 2020, 2020, pdb.prot102269. [Google Scholar] [CrossRef]
- Jenkins, D.; Richard, M.G.; Daigger, G.T. Manual on the Causes and Control of Activated Sludge Bulking and Foaming, 2nd ed.; Lewis Publishers: Detroit, MI, USA, 1993. [Google Scholar]
- Chen, C.; Liu, C.-H.; Cai, J.; Zhang, W.; Qi, W.-L.; Wang, Z.; Liu, Z.-B.; Yang, Y. Broad-Spectrum Antimicrobial Activity, Chemical Composition and Mechanism of Action of Garlic (Allium Sativum) Extracts. Food Control 2018, 86, 117–125. [Google Scholar] [CrossRef]
- Li, B.-B.; Peng, Z.-Y.; Zhi, L.-L.; Li, H.-B.; Zheng, K.-K.; Li, J. Distribution and Diversity of Filamentous Bacteria in Wastewater Treatment Plants Exhibiting Foaming of Taihu Lake Basin, China. Environ. Pollut. 2020, 267, 115644. [Google Scholar] [CrossRef] [PubMed]
- Ejaz, S.; Ihsan, A.; Noor, T.; Shabbir, S.; Imran, M. Mannose Functionalized Chitosan Nanosystems for Enhanced Antimicrobial Activity against Multidrug Resistant Pathogens. Polym. Test. 2020, 91, 106814. [Google Scholar] [CrossRef]
- Pu, L.; Zeng, Y.-J.; Xu, P.; Li, F.-Z.; Zong, M.-H.; Yang, J.-G.; Lou, W.-Y. Using a Novel Polysaccharide BM2 Produced by Bacillus Megaterium Strain PL8 as an Efficient Bioflocculant for Wastewater Treatment. Int. J. Biol. Macromol. 2020, 162, 374–384. [Google Scholar] [CrossRef]
- Mbulawa, S.; Ntwampe, S.K.O.; Basitere, M.; Mpentshu, Y.P. Bio-Delipidation of Dissolved Air Flotation Pre-Treated Poultry Slaughterhouse Wastewater. In Proceedings of the 10th International Conference on Advances in Science, Engineering, Technology & Healthcare (ASETH-18), Cape Town, South Africa, 19–20 November 2018. [Google Scholar] [CrossRef]
- Chipasa, K.B.; Mdrzycka, K. Characterization of the Fate of Lipids in Activated Sludge. J. Environ. Sci. 2008, 20, 536–542. [Google Scholar] [CrossRef]
- Damasceno, F.R.C.; Cavalcanti-Oliveira, E.D.; Kookos, I.K.; Koutinas, A.A.; Cammarota, M.C.; Freire, D.M.G. Treatment of wastewater with high fat content employing an enzyme pool and biosurfactant: Technical and economic feasibility. Braz. J. Chem. Eng. 2018, 35, 531–542. [Google Scholar] [CrossRef]
- Dehghani, M.; Sadatjo, H.; Maleknia, H.; Shamsedini, N. A Survey on the Removal Efficiency of Fat, Oil and Grease in Shiraz Municipal Wastewater Treatment Plant. Jentashapir J. Health Res. 2014, 5, e26651. [Google Scholar] [CrossRef]
- Sadeddin, K.; Naser, A.; Firas, A. Removal of Turbidity and Suspended Solids by Electro-Coagulation to Improve Feed Water Quality of Reverse Osmosis Plant. Desalination 2011, 268, 204–207. [Google Scholar] [CrossRef]
- Mohamad Pauzi, S.; Anak Halbert, D.; Azizi, S.; Ahmad, N.A.A.; Ahmad, N.; Marpani, F. Effect of Organic Antifoam’s Concentrations on Filtration Performance. J. Phys. Conf. Ser. 2019, 1349, 012141. [Google Scholar] [CrossRef]
- Amanatidou, E.; Samiotis, G.; Trikoilidou, E.; Pekridis, G.; Taousanidis, N. Evaluating Sedimentation Problems in Activated Sludge Treatment Plants Operating at Complete Sludge Retention Time. Water Res. 2015, 69, 20–29. [Google Scholar] [CrossRef]





Disclaimer/Publisher’s Note: The statements, opinions and data contained in all publications are solely those of the individual author(s) and contributor(s) and not of MDPI and/or the editor(s). MDPI and/or the editor(s) disclaim responsibility for any injury to people or property resulting from any ideas, methods, instructions or products referred to in the content. |
© 2023 by the authors. Licensee MDPI, Basel, Switzerland. This article is an open access article distributed under the terms and conditions of the Creative Commons Attribution (CC BY) license (https://creativecommons.org/licenses/by/4.0/).
Share and Cite
Dlangamandla, C.; Ntwampe, S.K.O.; Basitere, M.; Chidi, B.S.; Okeleye, B.I. Biodefoamer-Supported Activated Sludge System for the Treatment of Poultry Slaughterhouse Wastewater. Appl. Sci. 2023, 13, 9225. https://doi.org/10.3390/app13169225
Dlangamandla C, Ntwampe SKO, Basitere M, Chidi BS, Okeleye BI. Biodefoamer-Supported Activated Sludge System for the Treatment of Poultry Slaughterhouse Wastewater. Applied Sciences. 2023; 13(16):9225. https://doi.org/10.3390/app13169225
Chicago/Turabian StyleDlangamandla, Cynthia, Seteno K. O. Ntwampe, Moses Basitere, Boredi S. Chidi, and Benjamin I. Okeleye. 2023. "Biodefoamer-Supported Activated Sludge System for the Treatment of Poultry Slaughterhouse Wastewater" Applied Sciences 13, no. 16: 9225. https://doi.org/10.3390/app13169225
APA StyleDlangamandla, C., Ntwampe, S. K. O., Basitere, M., Chidi, B. S., & Okeleye, B. I. (2023). Biodefoamer-Supported Activated Sludge System for the Treatment of Poultry Slaughterhouse Wastewater. Applied Sciences, 13(16), 9225. https://doi.org/10.3390/app13169225

