Modeling Dynamic Hysteresis Curves in Amorphous Magnetic Ribbons
Abstract
1. Introduction
- -
- materials with a high iron (Fe) content achieve high values of saturation polarization and low values of coercive field strength (Js = 1.3 T, Hc = 10 A/m);
- -
- those that include both iron and nickel (Ni) attain high values of initial and maximum permeabilities (μi = 15 × 103, μmax = 200–400 × 103);
- -
- cobalt (Co)-based alloys have extremely high values of initial and maximum permeabilities (μi = 100 × 103, μmax = 200–600 × 103), and a very low magnetostriction coefficient (λS < 0.2 × 10−6).
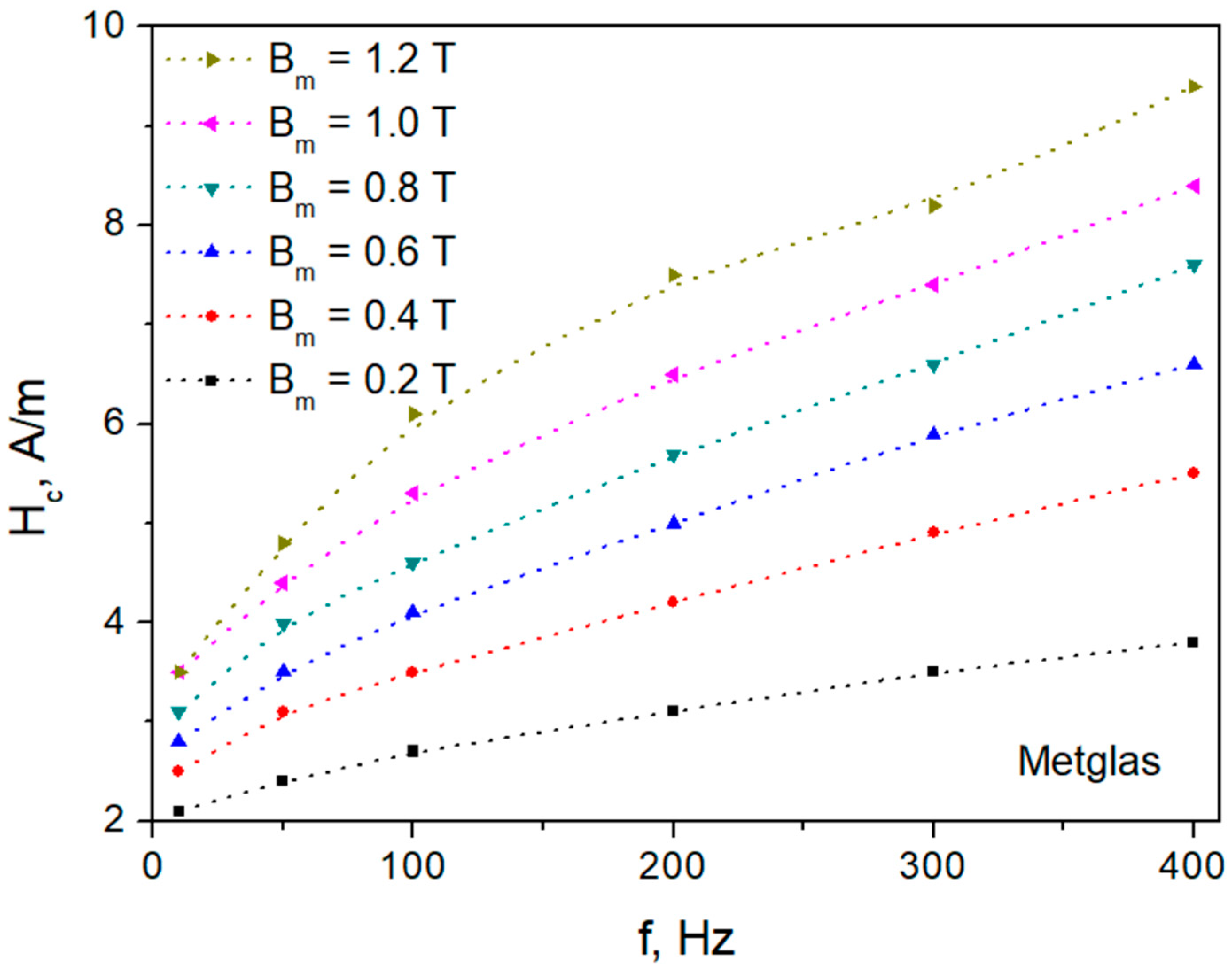
2. Measurements
3. The Viscous-Type Equation
4. Modeling Results
5. Conclusions
Author Contributions
Funding
Institutional Review Board Statement
Informed Consent Statement
Data Availability Statement
Acknowledgments
Conflicts of Interest
References
- Chwastek, K. The effects of sheet thickness and excitation frequency on hysteresis loops of non-oriented electrical steel. Sensors 2022, 22, 7873. [Google Scholar] [CrossRef] [PubMed]
- Zirka, S.; Moroz, Y.; Marketos, P.; Moses, A. Dynamic hysteresis modeling. Phys. B Condens. Matter 2004, 343, 90–95. [Google Scholar] [CrossRef]
- Boll, R. Weichmagnetische Werkstoffe: Einführung in den Magnetismus. VAC-Werkstoffe und ihre Anwendung (Soft Magnetic Materials: Introduction into Magnetism. VAC Products and their Applications); Publicis Corporate Auflage: Hanau, Germany, 1990. (In German) [Google Scholar]
- Najgebauer, M. Advances in contemporary soft magnetic materials—A review. In Proceedings of the 10th International Conference on Electrical, Electronics and Computer Engineering (IcETRAN), East Sarajevo, Bosnia and Herzegovina, 5–8 June 2023. [Google Scholar]
- Zallen, R. The Physics of Amorphous Solids. A Wiley-Interscience Publication; John Wiley & Sons, Inc.: New York, NY, USA, 1998. [Google Scholar]
- McHenry, M.E.; Willard, M.A.; Laughin, D.E. Amorphous and nanocrystalline materials for applications as soft magnets. Prog. Mat. Sci. 1999, 44, 291–433. [Google Scholar] [CrossRef]
- Davies, H.A.; Gibbs, M.R.J. Amorphous alloys. In Handbook of Magnetism and Advanced Magnetic Materials; Kronmüller, H., Parkin, S., Eds.; John Wiley & Sons, Inc.: New York, NY, USA, 2007. [Google Scholar]
- Najgebauer, M.; Chwastek, K.; Szczygłowski, J. Modern soft magnetic materials in „environment-friendly” transformer cores. Prz. Elektrotechniczn. 2003, 79, 930–932. [Google Scholar]
- Hasegawa, R.; Azuma, D. Impacts of amorphous metal-based transformers on energy efficiency and environment. J. Magn. Magn. Mater. 2008, 20, 2451–2456. [Google Scholar] [CrossRef]
- Najgebauer, M.; Chwastek, K.; Szczygłowski, J. Energy efficient distribution transformers. Prz. Elektrotechniczn. 2011, 87, 111–114. [Google Scholar]
- Daichi, A.; Naoki, I.; Motoki, O. Recent progress in Fe-based amorphous and nanocrystalline soft magnetic materials. J. Magn. Magn. Mater. 2020, 501, 166373. [Google Scholar]
- Wang, Y.; Li, J.; Viehland, D. Magnetoelectrics for magnetic sensor applications: Status, challenges and perspectives. Mater. Today 2014, 17, 269–275. [Google Scholar]
- Reis, S.; Silva, M.P.; Castro, N.; Correia, V.; Martins, P.; Lasheras, A.; Gutierrez, J.; Barandiarán, J.M.; Rocha, J.G.; Lanceros-Mendez, S. Characterization of Metglas/poly (vinylidene fluoride)/Metglas magnetoelectric laminates for AC/DC magnetic sensor applications. Mater. Des. 2016, 92, 906–910. [Google Scholar]
- Salach, J.; Szewczyk, R.; Bieńkowski, A.; Jackiewicz, D. Analysis and computer modeling of magnetoelastic characteristics of FeNi-based amorphous ring-shaped core under uniform compressive and tensile stresses. Theor. Appl. Inform. 2013, 25, 29–40. [Google Scholar]
- Caposciutti, G.; Spaletta, A.; Maracci, M.; Tellini, B.; Trigona, C.; Baglio, S. Force sensing utilizing a CoFeSiB microwire: A preliminary study. In Proceedings of the 2023 IEEE International Instrumentation and Measurement Technology Conference (12MTC), Kuala Lumpur, Malaysia, 22–25 May 2023. [Google Scholar] [CrossRef]
- IEC 60404-6:2018; Magnetic Materials—Part 6: Methods of Measurement of the Magnetic Properties of Magnetically Soft Metallic and Powder Materials at Frequencies in the Range 20 Hz to 100 Khz by the Use of Ring Specimens. International Electrotechnical Commission: Geneva, Switzerland. Available online: https://webstore.iec.ch/publication/27825 (accessed on 22 July 2023).
- Available online: https://rjmeasurement.com.pl/index.php/en/offer/measuring-devices-for-magnetically-soft-materials (accessed on 22 July 2023).
- Barranger, J. Hysteresis and Eddy-Current Losses of a Transformer Lamination Viewed as an Application of the Poynting Theorem; NASA Technical Note TN D-3114; National Aeronautics and Space Administration: Washington, DC, USA, 1965; Available online: https://core.ac.uk/download/pdf/80676116.pdf (accessed on 30 June 2023).
- Chwastek, K. AC loss density component in electrical steel sheets. Philos. Mag. Lett. 2010, 90, 809–817. [Google Scholar] [CrossRef]
- de Leon, F.; Qaseer, L.; Cohen, J. AC power from Poynting Theorem: Identification of the power components of magnetic saturating and hysteretic circuits. IEEE Trans. Power Deliv. 2012, 27, 1548–1556. [Google Scholar]
- Jabłoński, P.; Najgebauer, M.; Bereźnicki, M. An Improved Approach to Calculate Eddy Current Loss in Soft Magnetic Materials Based on Measured Hysteresis Loops. Energies 2022, 15, 2869. [Google Scholar] [CrossRef]
- Young, F.J. On the Validity of Characterizing Eddy Current Phenomena by Parabolic Partial Differential Equations. IEEE Trans. Magn. 1978, 14, 1185–1186. [Google Scholar] [CrossRef]
- Graham, C.D., Jr. Physical origin of losses in conducting ferromagnetic materials (invited). J. Appl. Phys. 1982, 53, 8276–8280. [Google Scholar] [CrossRef]
- Sakaki, Y.; Imagi, S.-I. Eddy current losses in polycrystalline and amorphous soft magnetic materials. Trans. Inst. Electr. Eng. Japan. A 1981, 101, 575–581. [Google Scholar]
- Sakaki, Y.; Imagi, S.-I. Relationship between eddy current losses and equivalent number of domain walls in polycrystalline and amorphous soft magnetic materials and its application to minor loop loss estimation. IEEE Trans. Magn. 1982, 18, 1840–1842. [Google Scholar]
- De Wulf, M.; Dupré, L.; Melkebeek, J. Quasistatic measurements for hysteresis modeling. J. Appl. Phys. 2000, 87, 5239–5241. [Google Scholar] [CrossRef]
- De Wulf, M.; Makaveev, D.; Dupré, L.; Permiakov, V.; Melkebeek, J. Comparison of methods for the determination of dc-magnetic properties of laminated SiFe alloys. J. Appl. Phys. 2003, 93, 8543–8545. [Google Scholar] [CrossRef]
- Ducharne, B.; Sebald, G.; Guyomar, S.; Litak, G. Fractional model of magnetic field penetration into a toroidal soft ferromagnetic sample. Int. J. Dyn. Control 2018, 6, 89–96. [Google Scholar] [CrossRef][Green Version]
- Ducharne, B.; Tsafack, Y.A.; Tene Deffo, A.; Zhang, B.; Sebald, G. Fractional operators for the magnetic dynamic behavior of ferromagnetic specimens: An overview. AIP Adv. 2021, 11, 035309. [Google Scholar] [CrossRef]
- Ducharne, B.; Tsafack, Y.A.; Tene Deffo, A.; Zhang, B.; Sebald, G. Anomalous fractional magnetic field diffusion through cross-section of a massive toroidal ferromagnetic core. Commun. Nonlin. Sci. Numer. Simul. 2021, 92, 105450. [Google Scholar]
- Milovanović, A.; Koprivica, B. Mathematical Model of Major Hysteresis Loop and Transient Magnetizations. Electromagnetics 2015, 35, 155–166. [Google Scholar] [CrossRef]
- Koprivica, B.; Milovanović, A.; Mitrović, N. Mathematical modelling of frequency-dependent hysteresis and energy loss of FeSiB amorphous alloy. J. Magn. Magn. Mater. 2017, 422, 37–42. [Google Scholar] [CrossRef]
- De Santis, V.; Di Francesco, A.; D’Aloia, A.G. A numerical comparison between Preisach, J-A and D-D-D hysteresis models in computational electromagnetics. Appl. Sci. 2023, 13, 5181. [Google Scholar]
- Mörée, G.; Leijon, M. Review of hysteresis models for magnetic materials. Energies 2023, 16, 3980. [Google Scholar]









Disclaimer/Publisher’s Note: The statements, opinions and data contained in all publications are solely those of the individual author(s) and contributor(s) and not of MDPI and/or the editor(s). MDPI and/or the editor(s) disclaim responsibility for any injury to people or property resulting from any ideas, methods, instructions or products referred to in the content. |
© 2023 by the authors. Licensee MDPI, Basel, Switzerland. This article is an open access article distributed under the terms and conditions of the Creative Commons Attribution (CC BY) license (https://creativecommons.org/licenses/by/4.0/).
Share and Cite
Chwastek, K.; Najgebauer, M.; Jabłoński, P.; Szczegielniak, T.; Kusiak, D.; Koprivica, B.; Rosić, M.; Divac, S. Modeling Dynamic Hysteresis Curves in Amorphous Magnetic Ribbons. Appl. Sci. 2023, 13, 9134. https://doi.org/10.3390/app13169134
Chwastek K, Najgebauer M, Jabłoński P, Szczegielniak T, Kusiak D, Koprivica B, Rosić M, Divac S. Modeling Dynamic Hysteresis Curves in Amorphous Magnetic Ribbons. Applied Sciences. 2023; 13(16):9134. https://doi.org/10.3390/app13169134
Chicago/Turabian StyleChwastek, Krzysztof, Mariusz Najgebauer, Paweł Jabłoński, Tomasz Szczegielniak, Dariusz Kusiak, Branko Koprivica, Marko Rosić, and Srđan Divac. 2023. "Modeling Dynamic Hysteresis Curves in Amorphous Magnetic Ribbons" Applied Sciences 13, no. 16: 9134. https://doi.org/10.3390/app13169134
APA StyleChwastek, K., Najgebauer, M., Jabłoński, P., Szczegielniak, T., Kusiak, D., Koprivica, B., Rosić, M., & Divac, S. (2023). Modeling Dynamic Hysteresis Curves in Amorphous Magnetic Ribbons. Applied Sciences, 13(16), 9134. https://doi.org/10.3390/app13169134

