Nb3Sn Cavities Coated by Tin Vapor Diffusion Method at Peking University
Abstract
1. Introduction
2. Experimental Descriptions
2.1. Coating Procedure at PKU
2.2. Nucleation Experiments
2.3. Coating Stage Study
3. Results Analysis
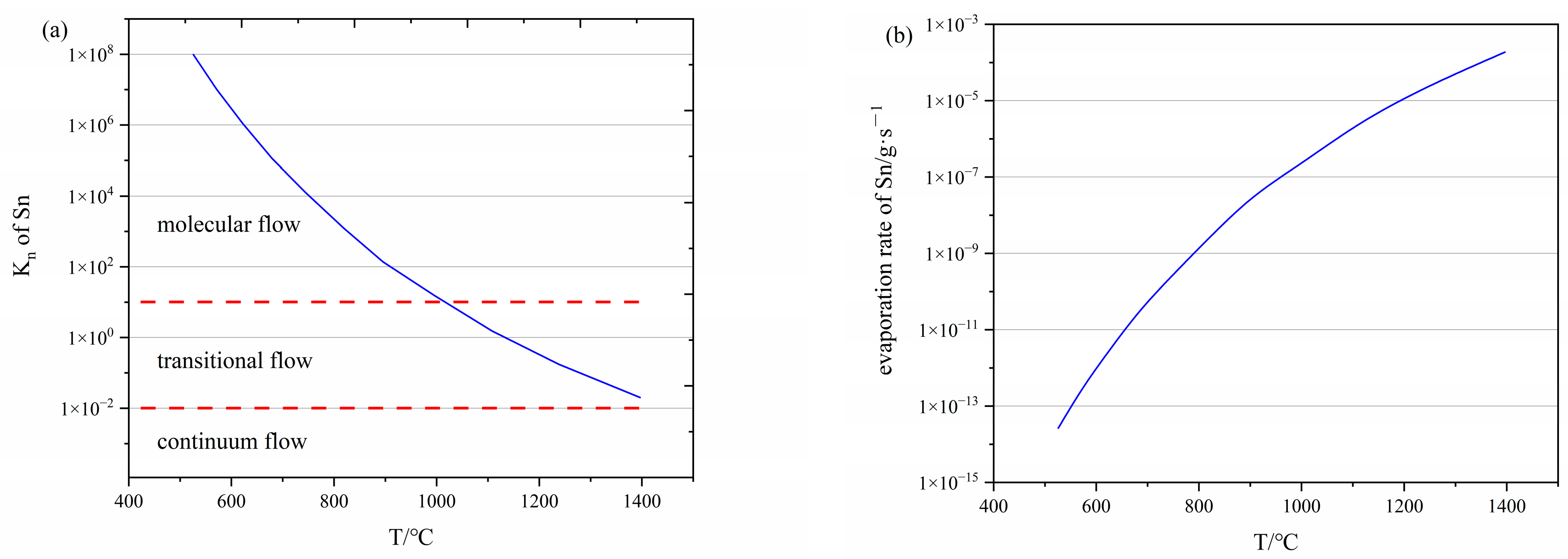
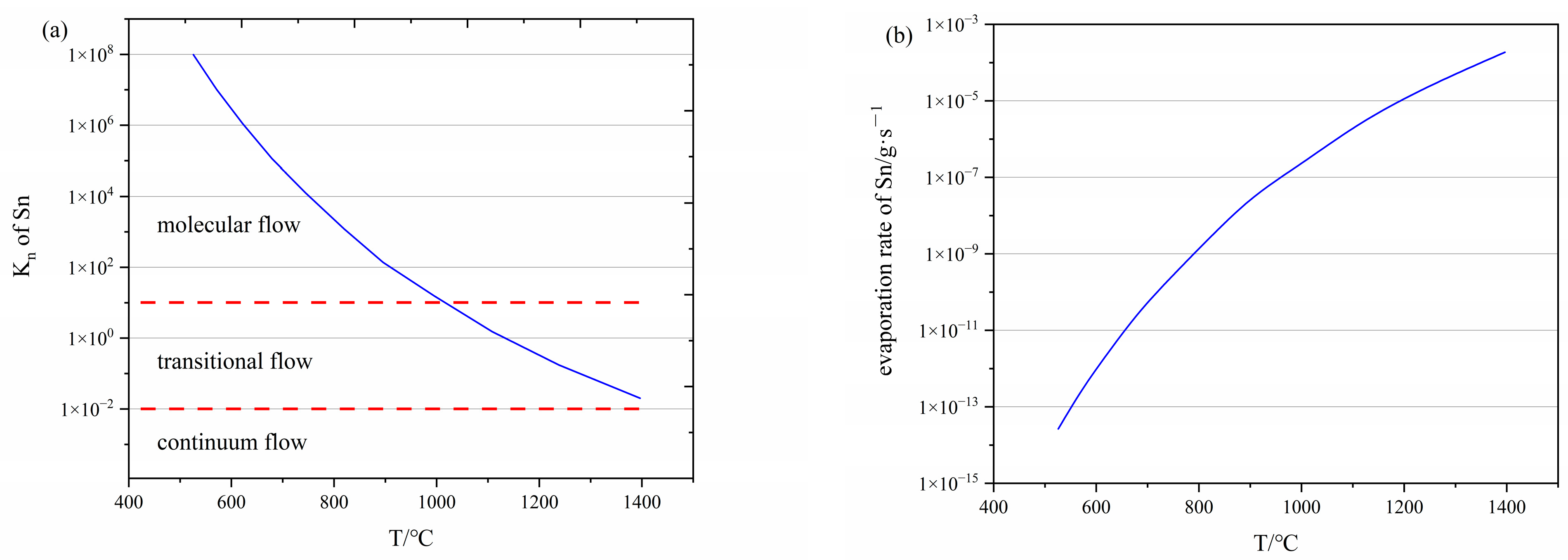
3.1. Simulation Analysis of the Vapor Pressure in the Nucleation Stage and Coating Stage
3.2. Roles of Nucleation in Vapor Diffusion Method
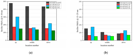
3.3. Differences between Single-Tin-Source and Three-Tin-Source Coatings
- Making the tin vapor pressure more uniform in the vertical direction;
- Avoiding the risk of excessive liquid tin condensation because the tin sources always have a lower temperature than the cavity.
3.4. Tin Segregation Effect and Principles of Coating Stage
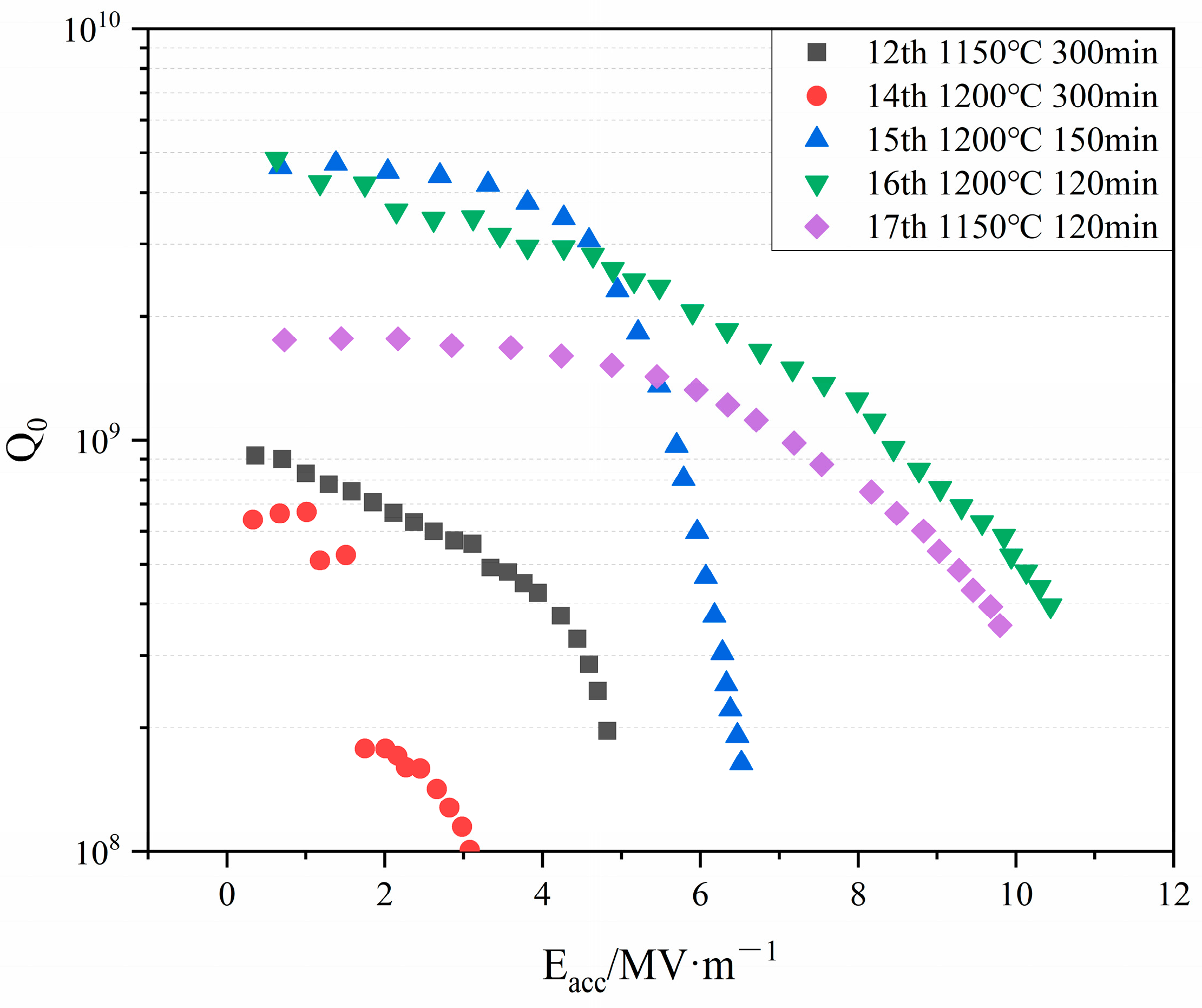
3.5. Cavity Vertical Tests
- Carbon contamination was found on the surface of samples from most coating experiments;
- Recrystallization of niobium cavities due to long time baking, which might cause the nucleation non-uniformity among Nb grains with different orientations, forming patchy regions and increasing the surface roughness;
- Excess tin in the grain would help trap more flux and create extra surface resistance.
4. Discussions
4.1. Summary of Present Work
- The location of the tin source influences the vapor pressure distribution and grain growth. A three-tin-source setup will make the coating more uniform along the cavity axis and prevent liquid tin condensation on the cavity. Moreover, the surface Sn% can reach beyond 25% through this setup, compared with a second heater set proposed by Cornell University [28];
- The topography of the nucleation site is slightly affected by the nucleation time or the amount of nucleation agent SnCl2, but the final Nb3Sn films show no obvious differences. Tin is found to probably form SnO2 within 10 nm of the surface;
- The tin segregation effect has been discovered in coatings of long coating times and insufficient tin. Tin would segregate from the Nb3Sn grains, reducing the grain size and surface Sn%, creating holes in the surface center of the grain. The tin segregation effect is harmful to cavity performance;
- Annealing at 1100 °C has been experimentally proven to decrease the Q degradation with the acceleration gradient.
4.2. Limitations of Present Work and Future Plans
5. Conclusions
Author Contributions
Funding
Institutional Review Board Statement
Informed Consent Statement
Data Availability Statement
Acknowledgments
Conflicts of Interest
References
- Valente-Feliciano, A.-M. Superconducting RF materials other than bulk niobium: A review. Supercond. Sci. Technol. 2016, 29, 113002. [Google Scholar] [CrossRef]
- Hillenbrand, B. The Preparation of Superconducting Nb3Sn Surfaces for RF Applications. In Proceedings of the SRF Workshop, Karlsruhe, Germany, 2–4 July 1980; pp. 41–52. [Google Scholar]
- Peiniger, M.; Hein, M.; Klein, N.; Mueller, G.; Piel, H.; Thuenus, P. Work on Nb3Sn Cavities at Wuppertal. In Proceedings of the 3th Workshop on RF Superconductivity, Argonne, IL, USA, 14–17 September 1987; pp. 502–532. Available online: https://accelconf.web.cern.ch/accelconf/srf87/papers/srf87e04.pdf (accessed on 16 October 2020).
- Müller, G.; Kneisel, P.; Mansen, D. Nb3Sn layers on high-purity Nb cavities with very high quality factors and accelerating gradients. In Proceedings of the 5th European Particle Accelerator Conference, Sitges, Spain, 10–14 June 1996; Available online: https://accelconf.web.cern.ch/e96/PAPERS/WEPL/WEP002L.PDF (accessed on 6 November 2019).
- Posen, S.; Liepe, M. Nb3Sn–Present Status and Potential as an Alternative SRF Material. In Proceedings of the 27th LINAC, Geneva, Switzerland, 31 August–5 September 2014; Available online: https://accelconf.web.cern.ch/LINAC2014/papers/tuioc03.pdf (accessed on 15 October 2020).
- Porter, R.; Arias, T.; Cueva, P.; Sitaraman, M.N.; Hall, D.L.; Liepe, M.; Maniscalco, J.T. Next Generation Nb3Sn Cavities for Linear Accelerators. In Proceedings of the 29th LINAC, Beijing, China, 16–21 September 2018; pp. 462–464. [Google Scholar] [CrossRef]
- Pudasaini, U.; Eremeev, G.; Reece, C.; Kelley, M.J.; Parajuli, I.P. Recent Results from Nb3Sn Coated Single-cell Cavities Combined with Sample Studies at Jefferson Lab. In Proceedings of the 10th IPAC’19, Melbourne, Australia, 19–24 May 2019; pp. 3066–3069. [Google Scholar] [CrossRef]
- Posen, S.; Lee, J.; Seidman, D.N.; Romanenko, A.; Tennis, B.; Melnychuk, O.S.; Sergatskov, D.A. Advances in Nb3Sn superconducting radiofrequency cavities towards first practical accelerator applications. Supercond. Sci. Technol. 2021, 34, 025007. [Google Scholar] [CrossRef]
- Posen, S.; Hall, D. Nb3Sn superconducting radiofrequency cavities: Fabrication, results, properties, and prospects. Supercond. Sci. Technol. 2017, 30, 033004. [Google Scholar] [CrossRef]
- Posen, S.; Gonnella, D.; Liepe, M. Recent Progress in Nb3Sn SRF Cavity Development at Cornell. In Proceedings of the 5th IPAC, Dresden, Germany, 15–20 June 2014. [Google Scholar] [CrossRef]
- Eremeev, G. Results from the First Single-cell Nb3Sn Cavity Coatings at JLAB. In Proceedings of the 6th IPAC’15, Richmond, VA, USA, 3–8 May 2015; pp. 3509–3511. [Google Scholar] [CrossRef]
- Eremeev, G.; Pudasaini, P. Development of Nb3Sn Multicell Cavity Coatings. In Proceedings of the IPAC’19, Melbourne, Australia, 19–24 May 2019; pp. 3070–3073. [Google Scholar] [CrossRef]
- Takahashi, K.; Kako, E.; Umemori, K.; Saka, H.; Konomi, T. First Nb3Sn Coating and Cavity Performance Result at KEK. In Proceedings of the SRF’21, East Lansing, MI, USA, 27 June–2 July 2021; Available online: https://indico.frib.msu.edu/event/38/attachments/158/1149/SUPCAV009_poster.pdf (accessed on 17 December 2020).
- Dong, C.; Lin, Z.; Sha, P.; Liu, B.; Ye, L.; He, X. Preliminary Research of Niobium Cavity Coating with Nb3Sn Film at IHEP. Phys. C Supercond. Its Appl. 2022, 600, 1354107. [Google Scholar] [CrossRef]
- Yang, Z.; Huang, S.; He, Y.; Lu, X.; Guo, H.; Li, C.; Niu, X.; Xiong, P.; Song, Y.; Wu, A.; et al. Low-Temperature Baking Effect of the Radio-Frequency Nb3Sn Thin Film Superconducting Cavity. Chin. Phys. Lett. 2021, 38, 092901. [Google Scholar] [CrossRef]
- Lee, J.; Mao, Z.; He, K.; Sung, Z.H.; Spina, T.; Baik, S.-I.; Hall, D.L.; Liepe, M.; Seidman, D.N.; Posen, S. Grain-boundary structure and segregation in Nb3Sn coatings on Nb for high-performance superconducting radiofrequency cavity applications. Acta Mater. 2020, 188, 155–165. [Google Scholar] [CrossRef]
- Carlson, J.; Pack, A.; Transtrum, M.K.; Lee, J.; Seidman, D.N.; Liarte, D.B.; Sitaraman, N.S.; Senanian, A.; Kelley, M.M.; Sethna, J.P.; et al. Analysis of magnetic vortex dissipation in Sn-segregated boundaries in Nb3Sn superconducting RF cavities. Phys. Rev. B 2021, 103, 024516. [Google Scholar] [CrossRef]
- Wang, Q.-Y.; Xue, C.; Dong, C.; Zhou, Y.-H. Effects of defects and surface roughness on the vortex penetration and vortex dynamics in superconductor–insulator–superconductor multilayer structures exposed to RF magnetic fields: Numerical simulations within TDGL theory. Supercond. Sci. Technol. 2022, 35, 045004. [Google Scholar] [CrossRef]
- Porter, R.; Furuta, F.; Hall, D.L.; Liepe, M.; Maniscalco, J.T. Effectiveness of Chemical Treatments for Reducing the Surface Roughness of Nb3Sn. In Proceedings of the IPAC’17, Copenhagen, Denmark, 14–19 May 2017; Available online: https://accelconf.web.cern.ch/ipac2017/papers/mopva124.pdf (accessed on 14 October 2022).
- Pudasaini, U.; Eremeev, G.; Reece, C.; Tuggle, J.; Kelley, M.G. Post-processing of Nb3Sn Coated Niobium. In Proceedings of the IPAC’17, Copenhagen, Denmark, 14–19 May 2017; Available online: https://accelconf.web.cern.ch/ipac2017/papers/mopva144.pdf (accessed on 30 November 2021).
- Pudasaini, U.; Eremeev, G.; Reece, C.; Tian, H.; Kelley, M.G. Electrochemical Finishing Treatment of Nb3Sn Diffusion-coated Niobium. In Proceedings of the SRF’17, Lanzhou, China, 17–21 July 2017. [Google Scholar] [CrossRef]
- Mucklejohn, S.; O’Brien, N. The vapour pressure of tin (II) chloride and the standard molar Gibbs free energy change for formation of SnCl2(g) from Sn(g) and Cl2(g). J. Chem. Thermodyn. 1987, 19, 1079–1085. [Google Scholar] [CrossRef]
- Meurant, G. Advances in Chemical Engineering, 2nd ed.; Elsevier Science: Amsterdam, The Netherlands, 1958. [Google Scholar]
- Loeb, L. The Kinetic Theory of Gases, Dover phoenix, ed.; Dover Publications: Mineola, NY, USA, 2004; ISBN 978-0486495729. [Google Scholar]
- Ridgway, R. Simulating Nb3Sn Coating Process inside SRF Cavities. Available online: https://indico.fnal.gov/event/14933/contributions/28540/attachments/17987/22615/Simulating_Nb3Sn_Coating_Process_Inside_SRF_Cavities_-_Robert_Ridgway.pdf (accessed on 18 November 2021).
- Pudasaini, U.; Eremeev, G.V.; Reece, C.E.; Tuggle, J.; Kelley, M.J. Initial growth of tin on niobium for vapor diffusion coating of Nb3Sn. Supercond. Sci. Technol. 2019, 32, 045008. [Google Scholar] [CrossRef]
- Standard Test Methods for Determining Average Grain Size. Available online: https://mse.engin.umich.edu/internal/lab-modules/microscopy-and-microstructure-analysis/grain-size-determination (accessed on 29 October 2021).
- Posen, S.; Hoffstaetter, G.; Liepe, M.; Xie, Y. Resent Developments in the Cornell Nb3Sn Initiative. In Proceedings of the IPAC’12, New Orleans, LA, USA, 12–17 June 2012; Available online: https://accelconf.web.cern.ch/IPAC2012/papers/weppc078.pdf (accessed on 28 October 2019).
- El-Agez, T.; Taya, S. Design of a spectroscopic ellipsometer by synchronous rotation of the polarizer and analyzer in opposite directions. Microw. Opt. Technol. Lett. 2014, 56, 2822–2826. [Google Scholar] [CrossRef]

















| Number | Assembly | Tin Source | Amount of SnCl2/Sn | Nucleation Time |
|---|---|---|---|---|
| 1 | cavity with holes | single | 3 g/0 g | 5 h |
| 2 | cavity with holes | single | 3 g/1.5 g | 5 h |
| 3 | cavity | three | 3 g/2.4 g | 5 h |
| 4 | cavity | three | 6 g/2.4 g | 5 h |
| 5 | cavity | three | 3 g/2.4 g | 8 h |
| Number of Experiments | Number of Cavities | Tin Weights/g | Tin Chloride Weights/g | Coating Temperature/°C | Coating Time/min | Annealing Temperature/°C | Annealing Time/min |
|---|---|---|---|---|---|---|---|
| 12 | NS01 | 0.3 + 0.4 + 0.5 | 3 | 1150 | 300 | - | - |
| 13 | NS04 | 0.6 + 0.8 + 1.0 | 3 | 1150 | 300 | - | - |
| 14 | NS01 | 0.6 + 0.8 + 1.0 | 3 | 1200 | 300 | - | - |
| 15 | NS03 | 0.6 + 0.8 + 1.0 | 3 | 1200 | 150 | - | - |
| 16 | NS02 | 0.6 + 0.8 + 1.0 | 3 | 1200 | 120 | - | - |
| 17 | NS06 | 0.6 + 0.8 + 1.2 | 3 | 1150 | 120 | - | - |
| 19 | NS04 | 0.6 + 0.8 + 1.0 | 3 | 1150 | 90 | 1100 | 60 |
| 22 | NS01 | 0.6 + 0.8 + 1.0 | 3 | 1200 | 90 | 1100 | 60 |
| 23 | NS02 | 0.6 + 0.8 + 1.0 | 3 | 1200 | 90 | 1100 | 60 |
| Location | % | % | % | % | % | |
|---|---|---|---|---|---|---|
| up | 0 nm | 51.85 | 32.22 | 8.32 | 7.61 | 48 |
| 15 nm | 27.74 | 19.32 | 44.93 | 8.01 | 15 | |
| middle | 0 nm | 55.35 | 30.08 | 8.19 | 6.38 | 44 |
| 10 nm | 23.91 | 21.22 | 49.10 | 5.77 | 11 | |
| bottom | 0 nm | 44.04 | 37.40 | 10.50 | 8.06 | 43 |
| 15 nm | 18.33 | 21.78 | 54.69 | 5.21 | 9 | |
| Experiment | Sn% by SEM/EDS | AGS/nm | Coating Temperature/°C | Coating Time/min | Annealing Temperature/°C | Annealing Time/min |
|---|---|---|---|---|---|---|
| 16 | 25.8 | 2316 | 1200 | 120 | ||
| 17 | 26.1 | 1748 | 1150 | 120 | ||
| 19 | 23.7 | 740 | 1150 | 80 | 1100 | 60 |
| 22 | 25.4 | 909 | 1200 | 80 | 1100 | 60 |
| 23 | 25.4 | 854 | 1200 | 80 | 1100 | 60 |
Disclaimer/Publisher’s Note: The statements, opinions and data contained in all publications are solely those of the individual author(s) and contributor(s) and not of MDPI and/or the editor(s). MDPI and/or the editor(s) disclaim responsibility for any injury to people or property resulting from any ideas, methods, instructions or products referred to in the content. |
© 2023 by the authors. Licensee MDPI, Basel, Switzerland. This article is an open access article distributed under the terms and conditions of the Creative Commons Attribution (CC BY) license (https://creativecommons.org/licenses/by/4.0/).
Share and Cite
Wang, G.; Quan, S.; Lin, L.; Ren, M.; Hao, J.; Wang, F.; Jiao, F.; Zhu, F.; Huang, S.; Yan, X.; et al. Nb3Sn Cavities Coated by Tin Vapor Diffusion Method at Peking University. Appl. Sci. 2023, 13, 8618. https://doi.org/10.3390/app13158618
Wang G, Quan S, Lin L, Ren M, Hao J, Wang F, Jiao F, Zhu F, Huang S, Yan X, et al. Nb3Sn Cavities Coated by Tin Vapor Diffusion Method at Peking University. Applied Sciences. 2023; 13(15):8618. https://doi.org/10.3390/app13158618
Chicago/Turabian StyleWang, Gai, Shengwen Quan, Lin Lin, Manqian Ren, Jiankui Hao, Fang Wang, Fei Jiao, Feng Zhu, Senlin Huang, Xueqing Yan, and et al. 2023. "Nb3Sn Cavities Coated by Tin Vapor Diffusion Method at Peking University" Applied Sciences 13, no. 15: 8618. https://doi.org/10.3390/app13158618
APA StyleWang, G., Quan, S., Lin, L., Ren, M., Hao, J., Wang, F., Jiao, F., Zhu, F., Huang, S., Yan, X., & Zhu, K. (2023). Nb3Sn Cavities Coated by Tin Vapor Diffusion Method at Peking University. Applied Sciences, 13(15), 8618. https://doi.org/10.3390/app13158618

