Abstract
In recent years, there has been a surge of Metaverse applications and tools striving to capture the attention of both the general public and businesses, with a particularly strong potential within the tourism sector. However, there has been significant criticism towards major corporations for marketing a concept of the Metaverse that fails to align with reality. On the other hand, smaller entities such as Spatial-io, which is an innovative metaverse platform, are introducing a different style of the Metaverse, one that is highly accessible from contemporary devices like smartphones, tablets, VR headsets, and traditional PCs via WebXR platforms. This article delves into and scrutinizes various methodologies of a tourism-oriented Metaverse, considering its prospective utility as a vehicle to attract more visitors. A virtual tourist information center was established on the Spatial-io Metaverse platform to promote Valencia, Spain. This research scrutinizes the navigation, accessibility, and usability of the service from a conventional PC browser, contrasting it with the experience offered by the Meta Quest 2 virtual reality headset. The study’s quantitative and qualitative data analysis indicates that these innovative services are highly regarded, particularly when a real person (not a bot) provides information, fostering trust and offering details about various tourist attractions within the promoted city. The comparison of user inquiries’ time and depth aligns with the immersion level, demonstrating more positive feedback when the service is accessed through the VR system rather than a standard PC browser.
1. Introduction
Major Metaverse platforms like Decentraland.org or Meta Horizon Worlds were heralded as the future of virtual social interaction, yet they have seen a rapid drop in users following their initial growth [1]. In contrast, smaller companies like Spatial-io are offering an alternate kind of Metaverse, one that is more readily accessible via existing devices such as smartphones, tablets, Virtual Reality (VR) glasses, and standard PCs, designed for intimate groups with a cap of 50 people per room. Their proposition is straightforward yet potent: they offer the free creation of small spaces, such as rooms or minor buildings, and personal avatars by using standard web technologies, such as WebXR for 3D objects and avatars, and standard HTML5 for video and audio streaming, facilitating small group socialization. This style of Metaverse enables us to design these virtual spaces for tangible business operations. They present an easy route to establish new communication methods with potential customers worldwide, using any kind of device [2].
It is widely agreed that the Metaverse could become a reality in the next few years and is normally linked with the evolution of social media towards perceptual immersion in virtual spaces. Organizations are starting to evaluate its potential and how it can be incorporated within their existing business models, like the potential for the tourism sector.
The way travelers are prepared is changing considerably thanks to the use of digital media. The Metaverse can offer virtual representations and explanations of the different locations, offering the possibility to imagine a city or just search for curiosity. In this sense, it is important to examine how the perception of touristic information can be affected, especially with services assisted by real people inside the Metaverse. These studies will help to understand its potential impact on the tourism industry, the impact of VR experiences, and the attitudes toward travel destinations.
Business models are constantly evolving, and organizations must adapt to various scenarios, including the touted Metaverse. The Metaverse, a shared virtual space created by the convergence of virtual reality and the internet, is a collective experience cohabitated by multiple users. The term ‘Metaverse’ is not exclusive to any particular technology, but typically focuses on our interaction with such technologies.
It is predicted to change our daily life and economy. It has a potential impact on the way we conduct business, and on how we interact with brands and socialize [3]. It is supposed to have transformational impacts on marketing, tourism, leisure, education, health, and social networks [3]. Individuals that choose to interact with the Metaverse transit in the continuous nature between physical and virtual, which opens an endless range of opportunities [4].
Some of its actual limitations are related to feebler social connections in virtual worlds and the possibility of privacy implications or the bad adaptation to the real world [5]. However, as a nascent educational environment, the Metaverse boasts tremendous potential. It enables the creation of a space characterized by significant flexibility, fostering an immersive setting where individuals can both generate and share experiences [6]. The results of a recent study developed by Ashraf Alam and Atasi Mohanty indicate that hybrid learning environments are still in their beginning. It is necessary to improve the educator’s capacity, to assist successful learning and teaching in the virtual environment [7].
The Metaverse has some basic components related to the environment, interface, interaction, and security [8]. Sounds and visual elements are used to create an atmosphere, and sometimes it is necessary to render scenes and objects to enhance the immersion of the Metaverse. Motion rendering is important to reproduce a natural movement of avatars [3]. There are two different ways to present the contents, with head-mounted displays (HMDs) and hand-based input devices, or through a web browser, a screen, and a mouse. In both cases, interaction is basic because it is the essence of natural behavior and essential to communicate with other users.
Inside the virtual scenarios, avatars are used to personalize and naturalize socialization, with digital representations of humans. When users interrelate through their avatars, they can communicate and recreate real scenarios with the potential of the virtual reality elements [9].
1.1. Motivation
Typically, tourist information desks provide guidance to travelers interested in exploring a destination. However, over the past decade, various virtual services have revolutionized this experience. VR systems present a unique opportunity for individuals to ’travel’ without leaving their homes, virtually experiencing a place. These technologies enable users to virtually tour various locales, saving both time and money without the constraints of operating hours or time restrictions.
As VR headsets become more affordable and accessible, the same information can now be accessed via a desktop or a web browser. It is crucial to contrast these experiences to understand the advantages and constraints inherent to each method.
Offering a virtual tour and working with digital replicas can incentivize travel. These tools can spark interest, foster a more accessible connection with audiences, and promote a deeper understanding of a place and its history, thus enhancing the allure of the real world.
While PC navigation primarily employs a mouse and keyboard, VR systems rely on VR controllers or direct hand gestures. Accessibility is generally higher on a PC given the ubiquity of a keyboard and mouse, whereas VR can be limited by the requirement of specific controllers and the potential for motion sickness.
PC usability also tends to be higher, as users are more familiar with the format and can execute complex tasks with a keyboard and mouse. However, VR applications can offer a more immersive and realistic experience, particularly when used for a tourism information service enhanced by 3D maps of the city and its environment. The article proposes that integrating a professional-assisted information service in the Metaverse could boost user experience, though considerations must be made for the service schedule to accommodate the expectations of international visitors across various time zones.
A study conducted by [10] confirmed that a user’s sense of presence positively impacted immersion. Additionally, the perceived value influenced their intention towards adoption. Integrating web services can steer consumer behavior in the tourism e-commerce context. The research also highlighted that VR’s contribution to the tourism industry was notable, with elements of enjoyment and activation in gamification having a significant positive impact on media richness. These aspects can contribute to enhancing the richness of the information delivered.
A comparative examination of the incorporation of intuitive hand interaction in two immersive VR systems indicates a favorable effect on VR applications. This research contrasts a Cave Audio Visual Experience (CAVE) system with a Head-Mounted Display (HMD) system. Findings suggest that the HMD outperforms the CAVE in terms of efficiency, user preference, and usability, particularly regarding the inclusion of natural hand interaction [11].
Another study contrasts performance across three different conditions: one presented with three-dimensional (3D) stimuli in an immersive HTC Vive VR system, another presented with identical 3D stimuli on a flat-screen desktop computer, and a third presented with a two-dimensional projection of the stimuli on a desktop computer. The results indicate that participants in the VR condition exhibited higher fixation counts compared to the 3D and 2D conditions. Furthermore, reaction times in the 2D condition were significantly quicker, and fixation durations were shorter compared to the VR and 3D conditions [12].
1.2. Related Work
Metaverse applications in tourism information services are a relatively novel concept and have not been extensively studied yet. This burgeoning field has, however, seen some exploration regarding the potential applications of virtual and augmented reality in tourism, which could have parallels in Metaverse contexts. The authors in [13], for example, delve into existing research on virtual reality’s role in tourism, highlighting areas in need of more exploration. This study underscores that virtual reality can enhance user experience and increase the propensity of tourists to visit a destination.
There have not been many studies specifically on the use of the Metaverse for tourism information services. This field is relatively new and still emerging. However, there have been some studies that have explored the potential uses of virtual and augmented reality in tourism, which could be applied to the Metaverse as well. For example, a study entitled “New Realities: a systematic literature review on virtual reality and augmented reality in tourism research” examines the current research on the use of virtual reality in tourism and identifies areas where further research is needed. The study found that virtual reality can improve the user experience and increase the likelihood of tourists visiting a destination.
Several studies suggest that the sense of ‘presence’ in a VR environment affects user satisfaction and enjoyment, which in turn can influence their intention to visit a location [14]. This satisfaction is directly linked to repeat visits, loyalty, and tourist retention, making the enhancement of customer satisfaction crucial for driving interest in tourism products. It is clear that user satisfaction with VR in tourism positively influences their intent to visit travel destinations. Given these findings, this study hypothesizes that satisfaction directly impacts the intention to visit a destination. Hence, VR is a revolutionary medium for marketing that could elevate tourism to new heights, and the Metaverse holds significant potential to reshape the tourism industry in the future.
Authors in [15] examine the potential uses of virtual and augmented reality in tourism, including virtual tours, virtual reality-based training, and virtual reality-based destination marketing.
In the context of Metaverse tourism, it is suggested that Metaverse tourists have more realistic opportunities in the pre-trip stage [16]. This includes the analysis of how tourists’ multi-identification profiles can be used with advertisements, and how Metaverse tourism proposes new business models of a creative economy. The Metaverse is predicted to revolutionize travel, tourism management, and marketing [17]. It offers tools to enhance destination awareness, positioning, and branding, as well as coordination and management. It also provides opportunities to aid trip preparation, interaction, and engagement, effectively altering consumer behavior.
One article puts forth a novel framework and methodology for a cultural heritage Metaverse, emphasizing basic components and the characterization of the relationship between virtual and physical worlds of cultural heritage. The Eight Immortals at the Haw Par Villa in Singapore serves as the case study. A generic approach is proposed, which is essential for any cultural heritage regarding the construction of a Metaverse [18]. Efforts are dedicated to analyzing the dimensional parts of the Metaverse for cultural heritage, including five main aspects: time, space, context, planarity and linearity.
As demonstrated in various studies, enjoyment influences satisfaction and impacts the intention to visit a destination. Overall tourist satisfaction often correlates with the frequency of return visits to a travel destination, loyalty, and tourist retention [19]. Increasing consumer satisfaction in an online environment is vital for generating interest in purchasing tourism-related products [19,20].
Research shows that tourist satisfaction increases with a tour guide, improving overall satisfaction and the likelihood of visiting a location [21,22]. But this experience may change dramatically when using a chatbot enhanced by AI.
Using chatbots and virtual assistants for tourism information can improve the user experience and provide more accurate and efficient communication. However, this depends largely on the bot’s implementation, the caliber of information it imparts, the preferences of the user [23,24], as well as the quality of the dialogue and the appropriateness of the bot’s responses in context [25]. There are gaps in current chatbot studies that need to be addressed, including how to make judicious decisions regarding their development and deployment [26].
Since chatbots have yet to reach an optimal level of interaction efficiency, this study has opted to utilize real guides. Their avatars serve to augment feelings of enjoyment and heighten the sense of immersion within the Metaverse, especially during social events [27,28].
1.3. Objectives and Main Contributions
The fundamental objective of this study is to critically assess the potential of WebXR Metaverse platforms for providing touristic services and cultural promotion. Specifically, the study aims to evaluate the potential of virtual tourist information services developed in the Metaverse to enhance the overall user experience, compare the experiences and capabilities offered by desktops and VR systems for accessing these services, assess the value of a professional-assisted information services in the Metaverse to enhance user interaction and engagement and investigate the impact of device choice (desktop vs. VR headsets) on user experience during a virtual tour.
The study contributes to the literature in several ways. Firstly, it provides an empirical investigation into the use of Metaverse platforms for touristic services and cultural promotion, which is a relatively new area of study. Additionally, it adds to the existing body of knowledge by contrasting the user experiences on desktops and VR systems for virtual tourism services. Furthermore, the study explores the added value of professional-assisted services in the Metaverse, contributing to the understanding of how such services can enhance the user experience. Lastly, the research has real-world implications for tourism and cultural promotion organizations, as it offers insights into how they can leverage the Metaverse to engage more effectively with their audiences.
In comparison to previous works, this study expands on existing research by showcasing the effectiveness of professional-assisted services in the Metaverse, an area that has been less explored in previous studies. It differentiates itself from research focusing on chatbots and virtual assistants for tourism information by using real guides whose avatars enhance the sense of enjoyment and immersion within the Metaverse. The disruptive potential of the Metaverse in revolutionizing tourism management and marketing, as discussed by other researchers, is also evident in this work.
The study demonstrates several advantages of using Metaverse platforms for touristic services. Users can quickly and easily adapt to virtual environments and perform tasks without distractions. The proposed interfaces have achieved a good level of perceived usability for both PC-based and VR-based interfaces. The use of a professional-assisted information service in the Metaverse enhances user interaction and engagement. Additionally, using video, audio and animated 3D elements creates a more immersive experience, allowing users to feel as if they are taking a trip back in time.
1.4. Structure
The structure of this paper is detailed next. Firstly, the proposed VR-based interface is developed in Section 2. Then, Section 3 presents the usability of the interface as well as other aspects. For this purpose, a few questionnaires and tests are conducted with users with a wide diversity of backgrounds and ages. At the end of the paper, a discussion and some concluding remarks are given in Section 4 and Section 5.
2. Development of a Prototype of Turist Visitor Office Room Using Spatial.io
2.1. Design Methodology
Firstly, this work presents a methodology for designing virtual spaces for tourist offices, as illustrated in Figure 1. The methodology comprises several phases. Initially, contact with the tourist office (client) is established to gather information about their needs and key specifications for the virtual space under development. Based on these specifications, the next phase focuses on creating a mock-up of the environment, including examples of assets, media, and user interaction/navigation within the virtual space. This allows the client to understand and provide feedback before proceeding with the actual development.
Figure 1.
Proposed Metaverse room design methodology for tourist visitor offices.
Subsequently, a thorough search is conducted to identify the most suitable Metaverse platform capable of meeting the requirements of the virtual space being developed. This phase also involves selecting appropriate software elements and a development platform. Once the necessary development tools are obtained, the subsequent phase involves programming and integrating various components and functionalities into the virtual space. An initial alpha version is established during this phase, which is then tested and validated both in the laboratory and with external users. The feedback gathered is used to refine the alpha version and create a beta version that undergoes validation by the client. If significant changes are required, the process returns to the alpha version and iterates accordingly.
Finally, after the virtual space has been refined, it becomes an integral part of the chosen Metaverse and undergoes a prolonged validation period by users of the tourist office.
2.2. Selection of the Metaverse Platform: Spatial.io
To develop and test an experimental online tourist office for the city of Valencia (Spain) as an extension of the existing tourist phone service, the authors of this work conducted a thorough analysis of popular Metaverse platforms (refer to Table 1) to determine the most suitable platform for the project.
Table 1.
Comparison of major Metaverse platforms.
Spatial.io was selected as the platform for developing and testing an online tourist information office due to its impressive features and advantages over competitors. One of the significant strengths of the platform is its extensive device compatibility, supporting a wide range of devices such as PCs, smartphones, tablets, and VR hardware. This ensures that the online tourist office can be accessed by a broad user base, expanding its reach and accessibility.
A standout feature of Spatial.io is its ability to generate realistic full-body 3D avatars from 2D images. This enhances the immersive experience for users, making their interaction with the online tourist office more engaging and lifelike. The platform’s approach to avatar customization and the creation of shared 3D spaces is user-friendly, simplifying the process for non-technical users. This ensures that the online tourist office is not only immersive and captivating, but also easy to navigate and user-friendly.
Additionally, Spatial.io enables the creation of curated social spaces, which is ideal for hosting the pilot touristic service. These features combined make Spatial.io an optimal choice for creating a virtual tourist office.
In summary, Spatial.io stands out for its realistic and customizable avatars generated from user photos. It offers a user-friendly interface compatible with various devices and browsers. Furthermore, it provides comprehensive tools for hosts to design interactive and collaborative 3D experiences. Therefore, Spatial.io is considered the ideal choice for creating a virtual tourist office.
2.3. Developed Room
In the Metaverse platform Spatial.io, a virtual tourism office was established specifically for the city of Valencia (Spain). The virtual office was constructed using a basic white template, which organized the space into a main hall and two adjoining corridors. In this central area, a live guide was present to assist visitors, elaborating on various points of interest around the city. The guide utilized three separate 3D models to represent key tourist attractions within Valencia, including the historic city center, the City of Arts and Sciences, and the Albufera nature reserve located near the capital. The virtual environment was further enhanced with decorative plants, a long mirror, armchairs for seating, and carpets. Surrounding rooms featured photographic displays of the city’s highlights, supplemented with two promotional videos playing on separate screens (see Figure 2).
Figure 2.
Several views of the tourist office of Valencia (Spain) at the Metaverse. (a) General overview of the tourist office for Valencia city. (b) A virtual visitor inspecting the 3D map of Valencia city. (c) Detailed view of the 3D recreation of Valencia city center. (d) Detailed view of the 3D map of Valencia city.
Our design strategy prioritized the construction of relevant 3D maps, which were placed on desks within the central hall. Upon entry, visitors were programmatically directed to the center of this space, allowing the guide to prepare and position themselves near the city maps.
Additionally, two separate areas were designated as photo galleries, displaying images of some of the most intriguing tourist destinations in the city. These areas were accessible for free exploration by the visitors after the guide provided an overview of the city’s main attractions as represented on the 3D maps.
2.4. Research Design
This section focuses on explaining the experimental design employed in validating the tourist visitor office room developed in this study (see Figure 3). The research was conducted at the Institute of Design and Manufacturing laboratory of the Technical University of Valencia (Spain) following these procedures. Tests were performed with groups of three users within the virtual space: a guide, a staff member (see Figure 3e), following a predetermined script that ensured consistent interaction across all groups, and two participants with no prior knowledge of the application served as test subjects (see Figure 3a,b or Figure 3c,d). Two different interfaces were used: PC-based interface, via a browser, and VR interface, via a Meta Quest 2 headset. Three distinct case studies were carried out, each differentiated by the interface used by the participants (the guide always used a PC-based interface):
Figure 3.
PC-based and VR interface experiments: example of participants and guide interaction. (a) PC-based participant 1. (b) PC-based participant 2. (c) VR headset-based participant 1. (d) VR headset-based participant 2. (e) Guide. (f) Virtual environment.
- Case Study 1 focused on the PC-based interface. Each participant was provided with a computer equipped with a mouse, keyboard, speakers, and a webcam, enabling them to navigate the virtual space through the web and interact with other participants (refer to Figure 3a,b). Initially, the participants received a brief description of the PC application from the assistants. During this initial contact, they were instructed to create their personalized avatars and enter the tutorial room, where the guide awaited them. Notably, the streaming of the participant’s camera was displayed above their avatars with their consent or a previously captured picture taken by the webcam was shown. This feature aimed to remind users that real people were behind the avatars. In the tutorial room, the guide explained the basic concepts of the environment and provided instructions on movement and interaction. After the tutorial, participants proceeded to the museum space for the guided tour. This case study aimed to assess the experience and gather opinions from users exclusively using the PC-based interface, without prior experience with other interfaces. A total of 10 participants participated in this test.
- Case Study 2 focused on the VR interface. Each participant was provided with virtual reality equipment, allowing them to navigate the virtual space and interact with others (refer to Figure 3c,d). Participants received a brief introduction to the VR headset from the assistants and were instructed to create their personalized avatars and enter the tutorial room. Similar to Case Study 1, the guide explained the fundamental concepts of the environment and provided instructions on movement and interaction within the virtual space. The guided tour took place in the museum space. Notably, in this case study, streaming video from participants and the guide was not available, and only the avatars were visible. The objective was to evaluate the experience and gather opinions from users exclusively using the virtual reality interface, without prior experience with other interfaces. A total of 10 participants participated in this test.
- Case Study 3 focused on the combined use of PC and VR interfaces. The objective of this case study was to gather the reflections of participants who experienced both the PC-based and VR interfaces and to compare their feedback with those who had only used one of the interfaces.A total of 10 participants took part in the test. To ensure unbiased results, each group used one interface as their initial experience. This resulted in 3 groups using the PC-based interface first (comprising a total of 6 participants), while 2 groups used the VR interface first (comprising a total of 4 participants).The performance and feedback obtained in this case study were similar to those described in case studies 1 and 2. The key difference was that participants were required to complete questionnaires after completing their visit using one interface, and then repeated the same visit using the other interface. This approach allowed for a direct comparison of their experiences and feedback between the two interfaces.
In all case studies, participants were not constrained by time limits during their experiences, and the duration of each session was recorded to compare the time taken based on the platform used by each group. Following the map discussion, visitors were invited to explore the photo galleries and ask any questions. External observers documented the interactions among the participants during this period. The experiment concluded when any participant expressed a desire to exit the virtual space.
2.5. Data Analysis
Similarly to [29,30,31], this work conducts several usability tests, together with participants’ interviews, to validate the proposed methodology and to show the benefits of the developed application.
In this regard, users were asked to answer two standard questionnaires: the Presence Questionnaire (PQ) [32,33], and the System Usability Scale (SUS) [34]. On the one hand, the PQ was chosen because it allows us to easily assess the sense of presence in virtual environments, together with other aspects such as the realism, the quality of the chosen interface and devices, etc. Note that the term ’presence’ in virtual reality is defined as the sensation of being physically present in a non-physical environment [35]. This concept is pivotal in the context of virtual tourism, where the degree of immersion and interactivity can enhance the user experience. Furthermore, the sensation of presence can influence how users respond to virtual reality experiences, affecting their perception of reality and their behavior within the virtual environment [36]. On the other hand, the SUS questionnaire mainly allows us to assess the usability of the developed interface.
In relation to the PQ questionnaire, 24 questions (see Table 2) of the 29 questions of the third version of the PQ were considered due to the characteristics of the proposed application. Note that a seven-point Likert-type scale is used in the PQ, which has 4 subscales: sensor fidelity, involvement, interface quality, and immersion.
Table 2.
PQ questions [32,33].
On the other hand, Table 3 shows the ten questions of which the SUS questionnaire is composed.
Table 3.
SUS questions [34].
In addition, participants were interviewed by several staff members in order to obtain additional information about the experience.
3. Results
In the following section, a detailed overview of the results obtained from the three case studies described in Section 2.4 is provided.
3.1. Case Study 1: PC-Based Interface
The demographic information of the participants was as follows: 70.00% of the participants were female, while the remaining 30.00% were male. The age range was intentionally broad, with 30.00% of participants between 18 and 40 years old, 50.00% between 40 and 55 years old, and 20.00% over 70 years old. In terms of education level, 20.00% indicated basic studies, 30.00% indicated bachelor’s studies, and 50.00% indicated post-graduate studies. Additionally, 60.00% of participants had previous experience with metaverse services, while 40.00% had no prior experience. Furthermore, 60.00% of participants indicated that they regularly used the internet to organize their trips, while 40.00% did not rely on the internet for trip planning. Moreover, only 20.00% of participants reported always using guided visits during their trips, 60.00% indicated occasional use, and 20.00% never used guided visits. Finally, 70.00% of participants reported being users of PC peripheral devices (e.g., keyboards, mouse, joystick, gamepads), while 10.00% occasionally or never used such devices.
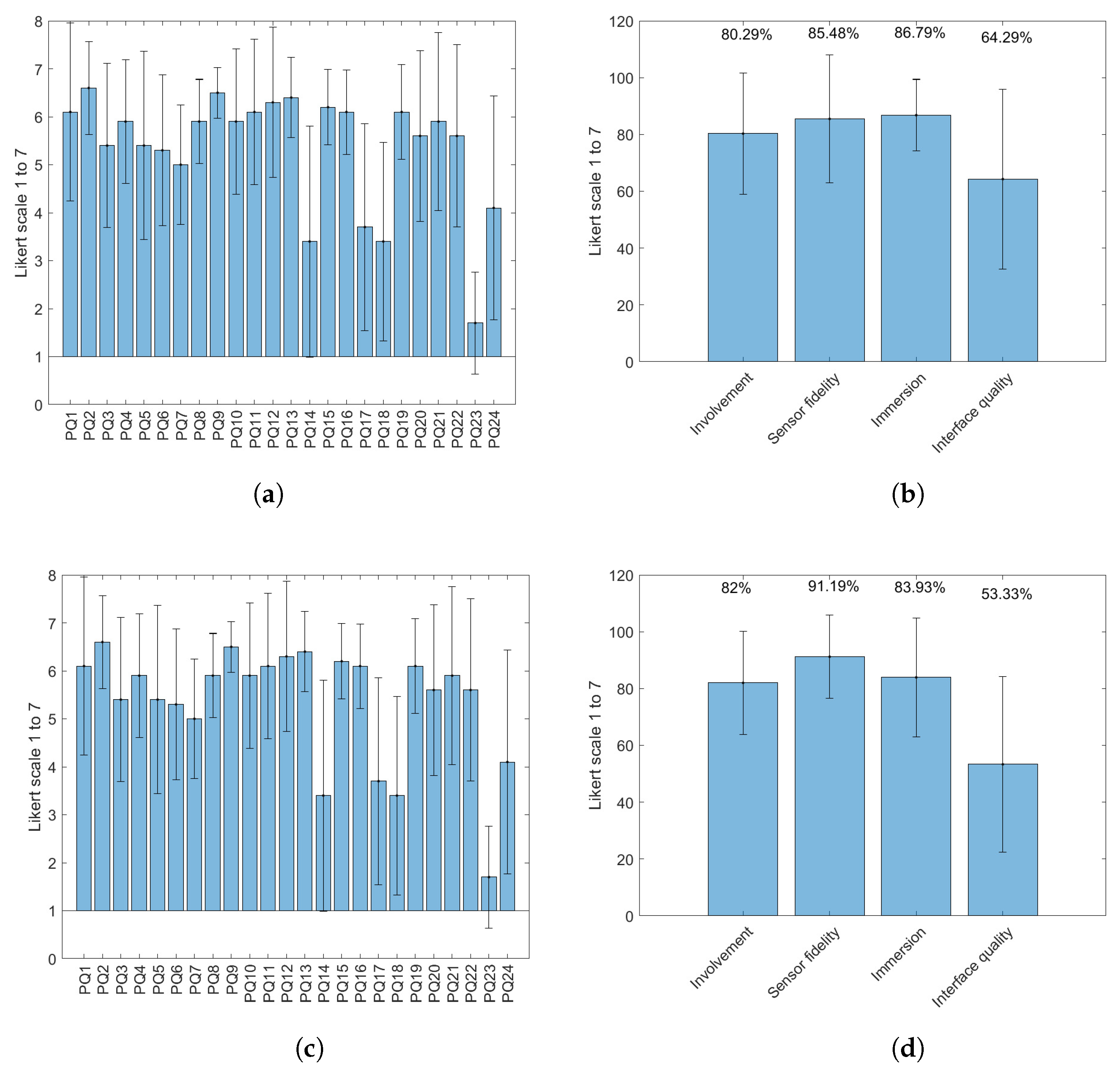
Figure 4 presents the results of the PQ. Specifically, for participants who used the PC-based interface, Figure 4a displays the mean standard deviation for each PQ question, while Figure 4b illustrates, for each PQ subscale, the total percentage.
Figure 4.
PQ results for case studies 1 and 2. (a) Case study 1: mean and standard deviation per question. (b) Case study 1: subscales results. (c) Case study 2: mean and standard deviation per question. (d) Case study 2: subscales results.
Note that the Involvement score was 77.14%, indicating that participants paid close attention to the virtual reality environment and actively participated in most aspects. The Sensor Fidelity score was 78.10%, signifying that users were able to observe from multiple perspectives and interact with elements in the virtual environment readily and with no issues. The Immersion score for PC-based participants was 84.29%, indicating that participants quickly adapted to the virtual environments and performed the tasks without distractions. Moreover, the Interface Quality score was 73.33%, suggesting that users perceived some failures or malfunctions in the applications during the tasks.
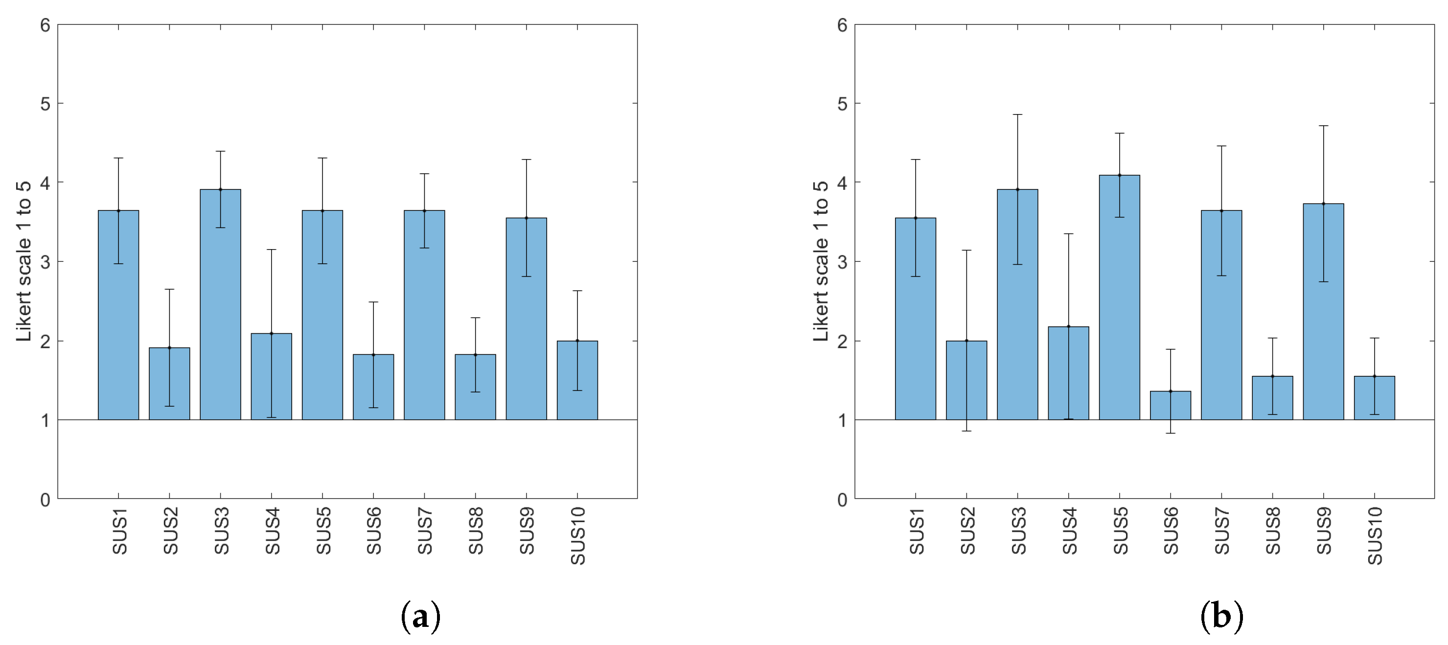
With respect to the SUS questionnaire, the global perceived usability was 74.00 out of 100 (min: 62.5, max: 100; SD: 9.80), indicating that the proposed interfaces achieved a good level of usability. Figure 5 presents the results obtained for the SUS questions, see Table 3. Most users expressed a willingness to frequently use the interface and found it easy to use. They also felt that the functionalities of the interface are well-integrated. Additionally, the users felt confident using the interface and found it consistent.
Figure 5.
SUS results (mean and standard deviation) for case studies 1 and 2. (a) Case study 1. (b) Case study 2.
3.2. Case Study 2: VR Interface
The participants’ main information is as follows: 40.00% of the participants were female, while the remaining 60.00% were male. This work aimed to cover a wide age range, including 10.00% under 18 years old, 10.00% between 18 and 40 years old, 30.00% between 40 and 55 years old, 40.00% between 55 and 70 years old, and 10.00% over 70 years old. In terms of education level, 40.00% indicated basic studies, 50.00% indicated bachelor’s studies, and 10.00% indicated post-graduate studies. Moreover, 60.00% of the participants reported previous experience with metaverse services, while the remaining 40.00% had no experience. Additionally, 70.00% of the participants mentioned using the internet (websites, apps, etc.) habitually to organize their trips, while 30.00% indicated organizing trips without internet usage. As for guided visits during trips, only 20.00% of the participants always used them, 70.00% occasionally used them, and 10.00% never used them. Finally, 10.00% of the participants reported being users of PC peripheral devices such as keyboards, mice, joysticks, gamepads, etc., while 90.00% occasionally or never used such devices.
Figure 4 illustrates the results of the PQ. Specifically, for participants who used the VR interface, Figure 4c displays the mean standard deviation for each PQ question, while Figure 4d shows the total percentage for each PQ subscale.
Note that the Involvement score was 78.00%, indicating that participants were properly immersed in the virtual reality environment and participated well in it. The Sensor Fidelity score was 84.05%, signifying that participants could observe from multiple perspectives and interact with the elements of the virtual environment readily and with no issues. Notably, participants using the VR-based interface seemed to have greater ease of interaction compared to those using the PC-based interface. The Immersion score was 84.29% for PC-based participants, suggesting that participants quickly and easily adapted to the virtual environments, enabling them to perform tasks without distractions. However, the Interface Quality score was 59.52%, indicating that users perceived some failures or malfunctions in the applications during tasks. This can be attributed to the relative novelty and unfamiliarity of many participants with VR interfaces. While VR headsets offer a unique immersive experience, navigating through these platforms can be challenging for those not accustomed to them. Particularly, using controllers to move within virtual space can be disorienting for new participants. Unlike PC interfaces, which most people have been using for years, VR interfaces require a completely different form of interaction that takes time to learn and master. This learning curve can lead to perceived errors or malfunctions in the application during tasks, affecting the Interface Quality score.
With respect to the SUS questionnaire, the global perceived usability was 78.25 out of 100 (min: 52.5, max: 100; SD: 13.02), indicating that the proposed interfaces have achieved a good level of usability. Figure 5 presents the results obtained for the SUS questions, see Table 3.
Most users expressed a willingness to frequently use this interface and found it easy to use. As before, they also felt that the functionalities of the interface are well integrated. Additionally, the users felt confident using the interface and found it consistent.
3.3. Case Study 3: Combined Use of PC and VR Interfaces
The main information of the participants was the following: 60.00% of the participants were female, while the remaining 40.00% were male. This work aimed to cover a wide age range, including 10.00% under 18 years old, 10.00% between 18 and 40 years old, 60.00% between 40 and 55 years old, and 20.00% over 70 years old. In terms of education level, 40.00% indicated basic studies, 20.00% indicated bachelor’s studies, and 40.00% indicated post-graduate studies. Moreover, 60.00% of the participants reported previous experience with metaverse services, while the remaining 40.00% had no experience. Additionally, 60.00% of the participants mentioned using the internet (websites, apps, etc.) habitually to organize their trips, while 40.00% indicated organizing trips without internet usage. As for guided visits during trips, 40.00% of the participants always used them, 50.00% occasionally used them, and 10.00% never used them. Finally, 80.00% of the participants reported being users of PC peripheral devices such as keyboards, mice, joysticks, gamepads, etc., while 20.00% occasionally or never used such devices.
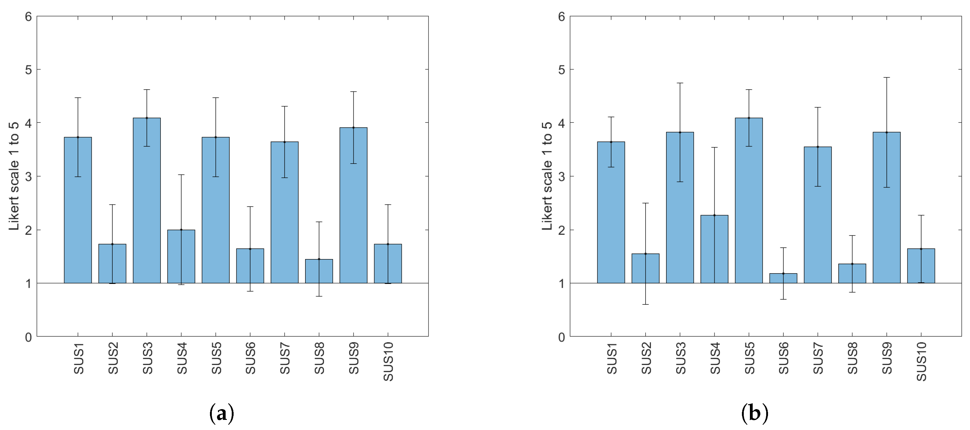
The comparison of PQ results between participants using the PC-based interface and the VR interface is illustrated in Figure 6. Specifically, Figure 6a displays the mean and standard deviation for each PQ question when participants used the PC-based interface, while Figure 6c presents the same for the VR interface. Furthermore, Figure 6b demonstrates the total percentage for each PQ subscale when participants used the PC-based interface, and Figure 6d exhibits the equivalent results for the VR interface.
Figure 6.
PQ results for case study 3. (a) Case study 3: PC-based interface—Mean and SD per question. (b) Case study 3: PC-based interface—Mean and SD per question—Subscales results. (c) Case study 3: VR interface—Mean and SD per question. (d) Case study 3: PC-based interface—Mean and SD per question—Subscales results.
In particular, the Involvement score was 80.29% and 82.00% for the PC-based interface and VR interface, respectively, indicating that participants actively engaged with the virtual reality environment and were attentive to most aspects. It is noteworthy that this score is similar to the results obtained from participants who used only one of the interfaces (case studies 1 and 2).
The Sensor Fidelity score was 85.48% and 91.19% for the PC-based interface and VR interface, respectively. This score indicates that users were able to observe the virtual environment from multiple perspectives and interact with objects seamlessly. Similarly, this score aligns with the results obtained from participants who used only one of the interfaces (case studies 1 and 2). It is worth noting that the VR interface demonstrated greater ease of interaction compared to the PC-based interface, as observed previously.
For the Immersion score, the PC-based interface scored 86.79%, while the VR interface scored 83.93%. These scores suggest that participants quickly and easily adapted to the virtual environments, enabling them to perform tasks without distractions. Similar to the previous indicators, these scores are consistent with the results obtained from participants who used only one of the interfaces (case studies 1 and 2).
Regarding the Interface Quality score, the PC-based interface scored 86.79%, while the VR interface scored 83.93%. These scores indicate that participants did not perceive significant failures or malfunctions in the applications during tasks. It is important to note that this result differs from the findings of case study 2, where participants exclusively used the VR interface. The variation in scores can be attributed to the fact that, in this case study, 60% of the users initially used the PC-based interface, gaining familiarity with the navigation tools and functionalities before transitioning to the VR interface.
Regarding the SUS questionnaire (refer to Figure 7), the overall perceived usability was 71.82 out of 100 (min: 67.5, max: 92.5; SD: 8.68) for the PC-based interface and 72.73 out of 100 (min: 52.5, max: 97.5; SD: 13.33) for the VR interface. These scores indicate that the proposed interfaces have achieved a good level of usability. It is noteworthy that these results are consistent with the findings from case studies 1 and 2.
Figure 7.
SUS results (mean and standard deviation) for case study 3. (a) PC-based interface. (b) VR interface.
Most users expressed a willingness to frequently use both interfaces and found them easy to use. Moreover, they also felt that the functionalities of both interfaces were well integrated. Additionally, the users felt confident using both interfaces and found them consistent.
3.4. Additional Remarks
As previously mentioned, participants were not subjected to any time restrictions during the experiment. However, the average durations for each component of the experience are provided below: participants spent approximately 30 min exploring the metaverse, while allocating 10 min for avatar preparation and training beforehand. An additional 15 min were dedicated to completing the tests.
Furthermore, all participants were interviewed after the experience to gather additional information. Among PC-based participants, 80.00% expressed satisfaction with the experience, while among VR-based interface participants, the satisfaction rate was 90.00%. Regardless of the interface used, 95.00% of participants indicated that they enjoyed the guided tour and the interaction with each other. Additionally, most participants, regardless of the interface, emphasized the need to enhance the quality of the 3D environment and models in order to better appreciate certain interesting aspects of the exhibits. They also expressed a desire for additional capabilities, such as the ability to modify the position and size of the paintings.
During the experiences, a significant level of interaction was observed not only between participants and the tour guide but also among the participants themselves, despite being unfamiliar with one another. This finding suggests that the use of this type of metaverse can enhance socialization and learning.
In addition to the aforementioned results, the preliminary version of the developed tourist office metaverse was showcased in collaboration with the Visit Valencia Foundation. The metaverse was presented during a dedicated event focused on tourism and cultural promotion, held at the Valencia Conference Centre in Spain on 27 April 2023 (see Figure 8) [37]. The event provided an opportunity to gather valuable feedback from conference attendees, and their responses were overwhelmingly positive and inspiring. This feedback will be instrumental in further enhancing and refining the beta application.
Figure 8.
Debut of the proposed Metaverse-based virtual tourist office [37]. (a) First example of visitor. (b) Second example of visitor.
4. Discussion
As mentioned earlier, the developed tourist office metaverse is not intended to replace the actual experience of visiting cities or places. Instead, it serves as a tool that complements and enhances the existing telephone-based tourist information service of such locations.
The proposed approach highlights the benefits of personalized service within a social space that incorporates virtual spatial elements such as photos, 3D models, and sounds. This combination makes the future visit more enticing and appealing to potential tourists.
The results of the study conducted in this work demonstrate the potential of WebXR Metaverse platforms in creating touristic services and promoting cultural experiences. Feedback received during the debut of the proposed Metaverse-based virtual tourist office at the Valencia Conference Centre was overwhelmingly positive, particularly regarding the interaction between the guide and visitors when experiencing virtual reality.
These findings have significant implications for tourism and cultural promotion organizations. The Metaverse offers a unique opportunity to engage with audiences in a novel and immersive way. By leveraging these platforms, organizations can provide enriched experiences that go beyond traditional tourism services, leading to increased visitor engagement and satisfaction.
Our study contributes to the existing research on the application of virtual reality technologies in the tourism sector. It aligns with previous studies that have highlighted the potential of these technologies in enhancing user experiences. However, the study conducted in this work further extends this research by demonstrating the effectiveness of professional-assisted services in the Metaverse, an area that has received less attention in the current literature.
While the study conducted in this work has yielded promising results, it is important to acknowledge its limitations. The experiment was conducted using a specific Metaverse platform, raising questions about the generalizability of the findings. However, it is crucial to note that the approach proposed in this work describes a general methodology that can be applied to other Metaverse platforms. While specific interactions and experiences may vary across platforms, the overarching approach of using Metaverse platforms for touristic services and cultural promotion remains applicable.
Future research can validate and expand upon the findings in this work by applying the proposed methodology to other Metaverse platforms. This would help in understanding the nuances of different platforms and identifying commonalities that can guide the development of effective tourism services across the Metaverse. Studies with larger and more diverse samples would also be valuable in ensuring the robustness of the findings in this work. Additionally, further research can explore other potential applications of the Metaverse in the tourism sector, such as virtual reality tours or interactive cultural exhibitions.
In conclusion, despite its limitations, the study conducted in this work provides a valuable framework for leveraging WebXR Metaverse platforms in the tourism sector. The general methodology proposed in this work can serve as a guide for both practitioners and researchers seeking to harness the potential of these emerging technologies for tourism services and cultural promotion.
5. Conclusions
Touristic services are changing so fast that some methodologies to inspire new possibilities are necessary. This work has developed a methodology to explore contents in a professional way, that can impress visitors while introducing them to the services they want to use in a city, using an environment where the user becomes active and attended. Thus, specific applications are possible for use by current tourist desks. The article has developed an application to explain places or cities, interact with contents and stimulate the purchase.
In this work, two alternatives to interact at the metaverse have been tested, the head-mounted displays and screens with the web browser, testing a type of interactivity that allows the personalization of content and interaction, according to the profile of the visitor and their interests. In particular, the following issues have been addressed:
- Scenography was created to reproduce a tourist office at the metaverse, that could be adapted to different profiles, placing the visitors at the center of a vivid experience.
- The usual way of interacting with a real guide that explains contents adds a valor added to the experience, allowing the elimination of the barriers that many users experience when using digital devices.
- A novel way of presenting contents was developed regarding tourism.
- The experience of visitors was made much more immersive by means of video, audio and animated 3D recreations, which allowed a feeling that is close to visit a real place.
It has been demonstrated that virtual reality services in the metaverse offer unique and immersive communication resources that have a profound impact on society and tourism. Despite that these technologies are still in early stages of development, their potential is evident and their impact on the tourism industry is significant.
These devices have the remarkable ability to present data related to a physical location in a non-intrusive manner, allowing visitors to engage with each other and experience the visit in a natural and social way. The examples that have been developed demonstrate that when different narratives associated with museum content are presented in a holographic manner within the virtual space, a powerful dialogue is created between the real and virtual elements, enhancing the overall perceptual experience.
The transformation of traditional phone-based customer service into a metaverse service represents a cutting-edge approach to promoting Valencia. This innovative method has the potential to make the destination more appealing to potential visitors, especially when accessed through a VR headset. It promises an immersive, interactive, and visually captivating experience that far surpasses the conventional PC-based experience.
As mentioned earlier, the results presented in this study validate the beta version of the developed tourist office metaverse. However, for the final application to be successfully utilized by tourist office managers, employees, and potential clients, it is necessary to conduct public trials. In collaboration with Visit Valencia, the authors of this work are planning to carry out these trials to evaluate the feasibility of implementing this new service. This approach, in contrast to the usual laboratory tests conducted in this work, aims to gather more robust and realistic data, thereby enhancing the quality and reliability of the proposed services.
In the future, the authors of this work intend to conduct further tests involving a larger number of users and in a real tourism office setting. However, it was essential to first perform the pilot test in the laboratory to ensure the effectiveness of the tool and identify any potential issues that may require attention before scaling up the implementation.
Author Contributions
Conceptualization, A.M.-T. and A.M.; methodology, A.M.-T.; software, A.M.; validation, A.M.-T., A.M., L.G. and J.E.S.; formal analysis, L.G. and J.E.S.; writing—original draft preparation, A.M.-T.; writing-review and editing, A.M.-T., L.G. and J.E.S.; supervision, A.M. and J.E.S.; project administration, A.M. and L.G.; funding acquisition, A.M., L.G. and J.E.S. All authors have read and agreed to the published version of the manuscript.
Funding
This research was funded by the Spanish Government (Grant PID2020-117421RB-C21 funded by MCIN/AEI/10.13039/501100011033).
Institutional Review Board Statement
Not applicable.
Informed Consent Statement
Not applicable.
Data Availability Statement
Not applicable.
Acknowledgments
This study was conducted with the support and advice of the “Visit Valencia” office from the town hall of Valencia (Spain).
Conflicts of Interest
The authors declare no conflict of interest.
References
- Steve, R. “The Metaverse Will Be Our Slow Death!” Is Facebook losing Its $100bn Gamble on Virtual Reality? Available online: https://www.theguardian.com/technology/2022/dec/07/metaverse-slow-death-facebook-losing-100bn-gamble-virtual-reality-mark-zuckerberg (accessed on 25 May 2023).
- Hastuti, T.D.; Sanjaya, R.; Koeswoyo, F. The Readiness of Lasem Batik Small and Medium Enterprises to Join the Metaverse. Computers 2023, 12, 5. [Google Scholar] [CrossRef]
- Dwivedi, Y.K.; Hughes, L.; Baabdullah, A.M.; Ribeiro-Navarrete, S.; Giannakis, M.; Al-Debei, M.M.; Dennehy, D.; Metri, B.; Buhalis, D.; Cheung, C.M.; et al. Metaverse beyond the hype: Multidisciplinary perspectives on emerging challenges, opportunities, and agenda for research, practice and policy. Int. J. Inf. Manag. 2022, 66, 102542. [Google Scholar] [CrossRef]
- Zyda, M. Building a Human-Intelligent Metaverse. Computer 2022, 55, 120–128. [Google Scholar] [CrossRef]
- Barráez-Herrera, D.P. Metaverse in a virtual education context. Metaverse 2022, 3, 1–9. [Google Scholar] [CrossRef]
- Kye, B.; Han, N.; Kim, E.; Park, Y.; Jo, S. Educational applications of metaverse: Possibilities and limitations. J. Educ. Eval Health 2021, 18, 32. [Google Scholar] [CrossRef]
- Alam, A.; Mohanty, A. Metaverse and Posthuman Animated Avatars for Teaching-Learning Process: Interperception in Virtual Universe for Educational Transformation. In Innovations in Intelligent Computing and Communication; Panda, M., Dehuri, S., Patra, M.R., Behera, P.K., Tsihrintzis, G.A., Cho, S.B., Coello Coello, C.A., Eds.; Springer International Publishing: Cham, Switzerland, 2022; pp. 47–61. [Google Scholar]
- Kim, J. Advertising in the Metaverse: Research Agenda. J. Interact. Advert. 2021, 21, 141–144. [Google Scholar] [CrossRef]
- Cheong, B.C. Avatars in the metaverse: Potential legal issues and remedies. Int. Cybersecur. Law Rev. 2022, 3, 467–494. [Google Scholar] [CrossRef]
- Jang, Y.T.; Hsieh, P.S. Understanding consumer behavior in the multimedia context: Incorporating gamification in VR-enhanced web system for tourism e-commerce. Multimed. Tools Appl. 2021, 80, 29339–29365. [Google Scholar] [CrossRef]
- Molina, G.; Gimeno, J.; Portalés, C.; Casas, S. A comparative analysis of two immersive virtual reality systems in the integration and visualization of natural hand interaction. Multimed. Tools Appl. 2022, 81, 7733–7758. [Google Scholar] [CrossRef]
- Barrett, R.C.A.; Poe, R.; O’Camb, J.W.; Woodruff, C.; Harrison, S.M.; Dolguikh, K.; Chuong, C.; Klassen, A.D.; Zhang, R.; Joseph, R.B.; et al. Comparing virtual reality, desktop-based 3D, and 2D versions of a category learning experiment. PLoS ONE 2022, 17, e0275119. [Google Scholar] [CrossRef]
- Yung, R.; Khoo-Lattimore, C. New realities: A systematic literature review on virtual reality and augmented reality in tourism research. Curr. Issues Tour. 2019, 22, 2056–2081. [Google Scholar] [CrossRef]
- Zhou, M.; Yu, H. Exploring How Tourist Engagement Affects Destination Loyalty: The Intermediary Role of Value and Satisfaction. Sustainability 2022, 14, 1621. [Google Scholar] [CrossRef]
- Shen, S.; Xu, K.; Sotiriadis, M.; Wang, Y. Exploring the factors influencing the adoption and usage of Augmented Reality and Virtual Reality applications in tourism education within the context of COVID-19 pandemic. J. Hosp. Leis. Sport Tour. Educ. 2022, 30, 100373. [Google Scholar] [CrossRef] [PubMed]
- Koo, C.; Kwon, J.; Chung, N.; Kim, J. Metaverse tourism: Conceptual framework and research propositions. Curr. Issues Tour. 2022. [Google Scholar] [CrossRef]
- Buhalis, D.; Leung, D.; Lin, M. Metaverse as a disruptive technology revolutionising tourism management and marketing. Tour. Manag. 2023, 97, 104724. [Google Scholar] [CrossRef]
- Zhang, X.; Yang, D.; Yow, C.H.; Huang, L.; Wu, X.; Huang, X.; Guo, J.; Zhou, S.; Cai, Y. Metaverse for Cultural Heritages. Electronics 2022, 11, 3730. [Google Scholar] [CrossRef]
- Alegre, J.; Garau, J. Tourist Satisfaction and Dissatisfaction. Ann. Tour. Res. 2010, 37, 52–73. [Google Scholar] [CrossRef]
- Bai, B.; Law, R.; Wen, I. The impact of website quality on customer satisfaction and purchase intentions: Evidence from Chinese online visitors. Int. J. Hosp. Manag. 2008, 27, 391–402. [Google Scholar] [CrossRef]
- Chang, K.C. Examining the Effect of Tour Guide Performance, Tourist Trust, Tourist Satisfaction, and Flow Experience on Tourists’ Shopping Behavior. Asia Pac. J. Tour. Res. 2014, 19, 219–247. [Google Scholar] [CrossRef]
- Huang, A.; Chao, Y.; de la Mora Velasco, E.; Bilgihan, A.; Wei, W. When artificial intelligence meets the hospitality and tourism industry: An assessment framework to inform theory and management. J. Hosp. Tour. Insights 2022, 81, 7733–7758. [Google Scholar] [CrossRef]
- Orden-Mejía, M.; Huertas, A. Analysis of the attributes of smart tourism technologies in destination chatbots that influence tourist satisfaction. Curr. Issues Tour. 2022, 25, 2854–2869. [Google Scholar] [CrossRef]
- Varitimiadis, S.; Kotis, K.; Pittou, D.; Konstantakis, G. Graph-Based Conversational AI: Towards a Distributed and Collaborative Multi-Chatbot Approach for Museums. Appl. Sci. 2021, 11, 9160. [Google Scholar] [CrossRef]
- Zlatanov, S.; Popesku, J. Current Applications of Artificial Intelligence in Tourism and Hospitality. In Proceedings of the Sinteza 2019—International Scientific Conference on Information Technology and Data Related Research, Belgrade, Serbia, 20 April 2019; pp. 84–90. [Google Scholar] [CrossRef]
- Luo, B.; Lau, R.Y.K.; Li, C.; Si, Y.W. A critical review of state-of-the-art chatbot designs and applications. WIREs Data Min. Knowl. Discov. 2022, 12, e1434. [Google Scholar] [CrossRef]
- Praetorius, A.S.; Görlich, D. How Avatars Influence User Behavior: A Review on the Proteus Effect in Virtual Environments and Video Games; Association for Computing Machinery: New York, NY, USA, 2020. [Google Scholar] [CrossRef]
- Pelau, C.; Barbul, M.; Bojescu, I. A conceptual comparative approach on personal AI assistants and external service robots. Proc. Int. Conf. Bus. Excell. 2022, 16, 1466–1474. [Google Scholar] [CrossRef]
- Blattgerste, J.; Strenge, B.; Renner, P.; Pfeiffer, T.; Essig, K. Comparing Conventional and Augmented Reality Instructions for Manual Assembly Tasks. In Proceedings of the 10th International Conference on PErvasive Technologies Related to Assistive Environments, Rhodes, Greece, 21–23 July 2017; pp. 75–82. [Google Scholar] [CrossRef]
- Attig, C.; Wessel, D.; Franke, T. Assessing Personality Differences in Human-Technology Interaction: An Overview of Key Self-report Scales to Predict Successful Interaction. In HCI International 2017—Posters’ Extended Abstracts, Proceedings of the 19th International Conference, Vancouver, BC, Canada, 9–14 July 2017; Stephanidis, C., Ed.; Springer International Publishing: Cham, Switzerland, 2017; pp. 19–29. [Google Scholar]
- Franke, T.; Attig, C.; Wessel, D. A Personal Resource for Technology Interaction: Development and Validation of the Affinity for Technology Interaction (ATI) Scale. Int. J.-Hum.-Comput. Interact. 2018, 35, 456–467. [Google Scholar] [CrossRef]
- Witmer, B.G.; Singer, M.J. Measuring Presence in Virtual Environments: A Presence Questionnaire. Presence Teleoperators Virtual Environ. 1998, 7, 225–240. [Google Scholar] [CrossRef]
- Witmer, B.G.; Jerome, C.J.; Singer, M.J. The Factor Structure of the Presence Questionnaire. Presence Teleoperators Virtual Environ. 2005, 14, 298–312. [Google Scholar] [CrossRef]
- Brooke, J. SUS-A quick and dirty usability scale. In Usability Evaluation in Industry; CRC Press: Boca Raton, FL, USA, 1996; ISBN 9780748404605. [Google Scholar]
- Berkman, M.I.; Akan, E. Presence and Immersion in Virtual Reality. In Encyclopedia of Computer Graphics and Games; Lee, N., Ed.; Springer International Publishing: Cham, Switzerland, 2019; pp. 1–10. [Google Scholar] [CrossRef]
- Sharma, A.; Bajpai, P.; Singh, S.; Khatter, K. Virtual Reality: Blessings and Risk Assessment. arXiv 2017, arXiv:1708.09540. [Google Scholar] [CrossRef]
- Visit València Foundation. 3rd World Conference on Smart Destination. Available online: https://www.smartdestinationsworldconference.org/80399/programme/iii-congreso-mundial-de-destinos-turisticos-inteligentes.html (accessed on 1 June 2023).
Disclaimer/Publisher’s Note: The statements, opinions and data contained in all publications are solely those of the individual author(s) and contributor(s) and not of MDPI and/or the editor(s). MDPI and/or the editor(s) disclaim responsibility for any injury to people or property resulting from any ideas, methods, instructions or products referred to in the content. |
© 2023 by the authors. Licensee MDPI, Basel, Switzerland. This article is an open access article distributed under the terms and conditions of the Creative Commons Attribution (CC BY) license (https://creativecommons.org/licenses/by/4.0/).







