Quality of Soybean Seeds after Microwave Drying
Abstract
Featured Application
Abstract
1. Introduction
2. Materials and Methods
2.1. Preparation of Soybean Seeds
2.2. Drying Process
2.3. Constant Temperature
2.4. Intermittent Power
2.5. Vigor and Germination Tests
2.6. Experimental Design
2.7. Statistical Analysis
3. Results
4. Discussion
5. Conclusions
Author Contributions
Funding
Informed Consent Statement
Data Availability Statement
Acknowledgments
Conflicts of Interest
References
- Qin, Y.; Duan, Z.; Zhou, S.; Wei, Z. Effect of Intermittent Microwave Drying on Nutritional Quality and Drying Characteristics of Persimmon Slices. Food Sci. Technol. 2022, 42, 1–10. [Google Scholar] [CrossRef]
- Martins, C.P.C.; Cavalcanti, R.N.; Rocha, R.S.; Esmerino, E.A.; Freitas, M.Q.; Pimentel, T.C.; Silva, M.C.; Cruz, A.G. Microwave Heating Impacts Positively on the Physical Properties of Orange Juice-milk Beverage. Int. J. Dairy Technol. 2022, 75, 129–138. [Google Scholar] [CrossRef]
- Motasemi, F.; Salema, A.A.; Afzal, M.T. Dielectric Characterization of Corn Stover for Microwave Processing Technology. Fuel. Process. Technol. 2015, 131, 370–375. [Google Scholar] [CrossRef]
- Luan, D.; Wang, Y.; Tang, J.; Jain, D. Frequency Distribution in Domestic Microwave Ovens and Its Influence on Heating Pattern. J. Food Sci. 2017, 82, 429–436. [Google Scholar] [CrossRef]
- Martins, C.P.C.; Ramos, G.L.P.A.; Pimentel, T.C.; Freitas, M.Q.; Duarte, M.C.K.H.; Azeredo, D.P.R.; Silva, M.C.; Cavalcanti, R.N.; Esmerino, E.A.; Cruz, A.G. How Microwave Technology Is Perceived? A Food Safety Cross-Cultural Study between Brazil and Portugal. Food Control. 2022, 134, 108763. [Google Scholar] [CrossRef]
- International Microwave Power Institute. The Journal of Microwave Power and Electromagnetic Energy: A Publication of the International Microwave Power Institute; International Microwave Power Institute: Mechanicsvlle, VA, USA, 1985. [Google Scholar]
- Song, G.; Choudhary, R.; Watson, D.G. Microwave Drying Kinetics and Quality Characteristics of Corn. Int. J. Agric. Biol. Eng. 2013, 6, 90–99. [Google Scholar] [CrossRef]
- Đurović, S.; Nikolić, B.; Luković, N.; Jovanović, J.; Stefanović, A.; Šekuljica, N.; Mijin, D.; Knežević-Jugović, Z. The Impact of High-Power Ultrasound and Microwave on the Phenolic Acid Profile and Antioxidant Activity of the Extract from Yellow Soybean Seeds. Ind. Crops. Prod. 2018, 122, 223–231. [Google Scholar] [CrossRef]
- Nair, G.R.; Li, Z.; Gariepy, Y.; Raghavan, V. Microwave Drying of Corn (Zea mays L. sp.) for the Seed Industry. Dry. Technol. 2011, 29, 1291–1296. [Google Scholar] [CrossRef]
- Arion, M.; Şoproni, D.; Vicaş, S.; Leuca, T.; Hathazi, F.I.; Molnar, C.; Bandici, L. Microwave Drying Process of Corn Seeds. J. Electr. Electron. Eng. 2011, 4, 11–14. [Google Scholar]
- Karatas, F.; Kamışlı, F. Variations of Vitamins (A, C and E) and MDA in Apricots Dried in IR and Microwave. J. Food Eng. 2007, 78, 662–668. [Google Scholar] [CrossRef]
- Duc Pham, N.; Khan, M.I.H.; Joardder, M.U.H.; Rahman, M.M.; Mahiuddin, M.d.; Abesinghe, A.M.N.; Karim, M.A. Quality of Plant-Based Food Materials and Its Prediction during Intermittent Drying. Crit. Rev. Food Sci. Nutr. 2019, 59, 1197–1211. [Google Scholar] [CrossRef] [PubMed]
- Arslan, A.; Soysal, Y.; Keskin, M. Mathematical Modeling, Moisture Diffusion and Color Quality in Intermittent Microwave Drying of Organic and Conventional Sweet Red Peppers. AgriEngineering 2020, 2, 393–407. [Google Scholar] [CrossRef]
- Hii, C.L.; Ong, S.P.; Yap, J.Y.; Putranto, A.; Mangindaan, D. Hybrid Drying of Food and Bioproducts: A Review. Dry. Technol. 2021, 39, 1554–1576. [Google Scholar] [CrossRef]
- Zhang, J.-J.; Cao, L.-K.; Yi, S.-J.; Che, G.; Wang, W.-H.; Liu, W.; Jia, X.-Y.; Wei, C.-H.; Wang, Y.-F.; Wu, Y.-J.; et al. Proteomic Analysis of Japonica Sorghum Following Microwave Intermittent Drying Based on Label-Free Technology. Food Sci. Technol. 2022, 42, 1–10. [Google Scholar] [CrossRef]
- Aksenov, A.A.; Malyukov, S. V Microwave Modification of Wood: Determination of Mechanical Properties of Softwood. IOP Conf. Ser. Earth Environ. Sci. 2020, 595, 012012. [Google Scholar] [CrossRef]
- Ganguly, S.; Balzano, A.; Petrič, M.; Kržišnik, D.; Tripathi, S.; Žigon, J.; Merela, M. Effects of Different Energy Intensities of Microwave Treatment on Heartwood and Sapwood Microstructures in Norway Spruce. Forests 2021, 12, 598. [Google Scholar] [CrossRef]
- Mascarenhas, F.J.R.; Geraldes Dias, A.M.P.; Christoforo, A.L.; dos Santos Simões, R.M.; Cunha, A.E.P. Effect of Microwave Treatment on Drying and Water Impregnability of Pinus pinaster and Eucalyptus globulus. Maderas. Cienc. Y Tecnol. 2022, 25. [Google Scholar] [CrossRef]
- Qu, Y.; Xie, D.; Hu, C.; Deng, H.; Meng, Y. Direct Steam Injection Pretreatment Improves Microwave-Assisted Extraction Yield for Total Flavonoids and Myricetin from Hovenia dulcis thunb. Food Sci. Technol. 2021, 41, 334–342. [Google Scholar] [CrossRef]
- Albuquerque, B.R.; Prieto, M.A.; Vazquez, J.A.; Barreiro, M.F.; Barros, L.; Ferreira, I.C.F.R. Recovery of Bioactive Compounds from Arbutus unedo L. Fruits: Comparative Optimization Study of Maceration/Microwave/Ultrasound Extraction Techniques. Food Res. Int. 2018, 109, 455–471. [Google Scholar] [CrossRef]
- ElKhori, S.; Paré, J.R.J.; Bélanger, J.M.R.; Pérez, E. The Microwave-Assisted Process (MAPTM1): Extraction and Determination of Fat from Cocoa Powder and Cocoa Nibs. J. Food Eng. 2007, 79, 1110–1114. [Google Scholar] [CrossRef]
- ISTA Standard. International Rules for Seed Testing; ISTA: Washington, DC, USA, 2019. [Google Scholar] [CrossRef]
- Bewley, J.D.; Bradford, K.J.; Hilhorst, H.W.M.; Nonogaki, H. Seeds: Physiology of Development, Germination and Dormancy, 3rd ed.; Springer: Berlin/Heidelberg, Germany, 2013; ISBN 9781461446927. [Google Scholar]
- Ratnayake, S.; Shaw, D.R. Influence of Seed Vigor, Herbicide Rates, and Incorporation Depths on Emergence and Seedling Development of Soybean (Glycine max). Weed Sci. 2018, 6, 801–806. [Google Scholar] [CrossRef]
- International Seed Testing Association. Seed Science and Technology. Seed Sci. Technol. 1985, 13, 299–513. [Google Scholar]
- De Vitis, M.; Hay, F.R.; Dickie, J.B.; Trivedi, C.; Choi, J.; Fiegener, R. Seed storage: Maintaining seed viability and vigor for restoration use. Restor. Ecol. 2020, 28, S249–S255. [Google Scholar]
- Faria, R.Q.D.; Teixeira, I.R.; Cunha, D.A.D.; Honorato, J.M.; Devilla, I.A. Physiological Quality of Crambe Seeds Submitted to Drying. Rev. Ciência Agronôomica 2014, 45, 453–460. [Google Scholar] [CrossRef]
- Milošević, M.; Vujaković, M.; Karagić, D. Vigour Tests as Indicators of Seed Viability. Genetika 2010, 42, 103–118. [Google Scholar] [CrossRef]
- Kaya, M.D.; Kulan, E.G.; Daghan, H.; Ileri, O.; Avci, S. Efficiency of Vigor Tests and Seed Elemental Concentrations to Estimate Field Emergence in Soybean (Glycine max). Int. J. Agric. Biol. 2016, 18, 1075–1080. [Google Scholar] [CrossRef]
- Min, T.-G.; Yoon, H.-J. Effect of Controlled Hydration on Germination of Tobacco Seeds. Korean J. Crop Sci. 2003, 48, 322–325. [Google Scholar]
- R Core Team, R. R: A Language and Environment for Statistical Computing; R Foundation for Statistical Computing: Vienna, Austria, 2023. [Google Scholar]
- De Faria, R.Q.; dos Santos, A.R.P.; Gariepy, Y.; da Silva, E.A.A.; Sartori, M.M.P.; Raghavan, V. Optimization of the Process of Drying of Corn Seeds with the Use of Microwaves. Dry. Technol. 2020, 38, 676–684. [Google Scholar] [CrossRef]
- De Faria, R.Q.; dos Santos, A.R.P.; Batista, T.B.; Gariepy, Y.; da Silva, E.A.A.; Sartori, M.M.P.; Raghavan, V. The Effect of Magneto-Priming on the Physiological Quality of Soybean Seeds. Plants 2023, 12, 1477. [Google Scholar] [CrossRef]
- Momenzadeh, L.; Zomorodian, A.; Mowla, D. Experimental and Theoretical Investigation of Shelled Corn Drying in a Microwave-Assisted Fluidized Bed Dryer Using Artificial Neural Network. Food Bioprod. Process. 2011, 89, 15–21. [Google Scholar] [CrossRef]
- Rencher, A.C. Methods of Multivariate Analysis. In Wiley Series in Probability and Statistics; John Wiley & Sons, Inc.: New York, NY, USA, 2002; ISBN 0471418897. [Google Scholar]
- Varmuza, K.; Filzmoser, P. Introduction to Multivariate Statistical Analysis in Chemometrics; CRC Press: Boca Raton, FL, USA, 2009. [Google Scholar]
- Zhang, M.; He, S.; Qin, B.; Jin, X.; Wang, M.; Ren, C.; Cao, L.; Zhang, Y. Exogenous Melatonin Reduces the Inhibitory Effect of Osmotic Stress on Antioxidant Properties and Cell Ultrastructure at Germination Stage of Soybean. PLoS ONE 2020, 15, e0243537. [Google Scholar] [CrossRef]
- Meyer, C.J.; Steudle, E.; Peterson, C.A. Patterns and Kinetics of Water Uptake by Soybean Seeds. J. Exp. Bot. 2007, 58, 717–732. [Google Scholar] [CrossRef] [PubMed]
- Aydar, A.Y. Investigation of Ultrasound Pretreatment Time and Microwave Power Level on Drying and Rehydration Kinetics of Green Olives. Food Sci. Technol. 2021, 41, 238–244. [Google Scholar] [CrossRef]
- Sunil, C.K.; Kamalapreetha, B.; Sharathchandra, J.; Aravind, K.S.; Rawson, A. Effect of Ultrasound Pre-Treatment on Microwave Drying of Okra. J. Appl. Hortic. 2017, 19, 58–62. [Google Scholar] [CrossRef]
- Hemwimon, S.; Pavasant, P.; Shotipruk, A. Microwave-Assisted Extraction of Antioxidative Anthraquinones from Roots of Morinda Citrifolia. Sep. Purif. Technol. 2007, 54, 44–50. [Google Scholar] [CrossRef]
- Yoshida, H.; Kajimoto, G. Effects of Microwave Energy on the Tocopherols of Soybean Seeds. J. Food Sci. 1989, 54, 1596–1600. [Google Scholar] [CrossRef]
- Rękas, A.; Ścibisz, I.; Siger, A.; Wroniak, M. The Effect of Microwave Pretreatment of Seeds on the Stability and Degradation Kinetics of Phenolic Compounds in Rapeseed Oil during Long-Term Storage. Food Chem. 2017, 222, 43–52. [Google Scholar] [CrossRef]
- Hemis, M.; Gariépy, Y.; Choudhary, R.; Raghavan, V. New Coupling Model of Microwave Assisted Hot-Air Drying of a Capillary Porous Agricultural Product: Application on Soybeans and Canola Seeds. Appl. Therm. Eng. 2017, 114, 931–937. [Google Scholar] [CrossRef]
- Zhao, Y.; Wang, W.; Xie, J.; Zheng, B.; Miao, S.; Lo, Y.M.; Zheng, Y.; Zhuang, W.; Tian, Y. Microwave Vacuum Drying of Lotus Seeds: Effect of a Single-Stage Tempering Treatment on Drying Characteristics, Moisture Distribution, and Product Quality. Dry. Technol. 2017, 35, 1561–1570. [Google Scholar] [CrossRef]
- Balboni, B.M.; Ozarska, B.; Garcia, J.N.; Torgovnikov, G. Microwave Treatment of Eucalyptus Macrorhyncha Timber for Reducing Drying Defects and Its Impact on Physical and Mechanical Wood Properties. Eur. J. Wood Wood Prod. 2018, 76, 861–870. [Google Scholar] [CrossRef]
- Hernández Maqueda, R.; Ballesteros Redondo, I.; Jiménez Jácome, S.; Moreno, Á.H. Microwave Drying of Amaranth and Quinoa Seeds: Effects of the Power Density on the Drying Time, Germination Rate and Seedling Vigour. J. Microw. Power Electromagn. Energy 2018, 52, 299–311. [Google Scholar] [CrossRef]
- Alvi, T.; Khan, M.K.I.; Maan, A.A.; Nazir, A.; Ahmad, M.H.; Khan, M.I.; Sharif, M.; Khan, A.U.; Afzal, M.I.; Umer, M.; et al. Modelling and Kinetic Study of Novel and Sustainable Microwave-Assisted Dehydration of Sugarcane Juice. Processes 2019, 7, 712. [Google Scholar] [CrossRef]
- Chahbani, A.; Fakhfakh, N.; Balti, M.A.; Mabrouk, M.; El-Hatmi, H.; Zouari, N.; Kechaou, N. Microwave Drying Effects on Drying Kinetics, Bioactive Compounds and Antioxidant Activity of Green Peas (Pisum sativum L.). Food Biosci. 2018, 25, 32–38. [Google Scholar] [CrossRef]
- Curi, P.N.; Salgado, D.L.; Mendonça, K.; Pio, R.; Ferreira, J.L.G.; Souza, V.R. de Influence of Microwave Processing on the Bioactive Compounds, Antioxidant Activity and Sensory Acceptance of Blackberry Jelly. Food Sci. Technol. 2019, 39, 386–391. [Google Scholar] [CrossRef]
- Shivhare, U.; Raghavan, V.; Bosisio, R.; Giroux, M. Microwave Drying of Soybean at 2.45 GHz. J. Microw. Power Electromagn. Energy 1993, 28, 11–17. [Google Scholar] [CrossRef]



, respectively.
, respectively.





| Variables | Coded Xi | Coded Level | ΔX 1 | ||
|---|---|---|---|---|---|
| −1 | 0 | 1 | |||
| Temperature (°C) | X1 | 40 | 50 | 60 | 10 |
| Power (W/g) | X2 | 0 | 0.5 | 1 | 0.5 |
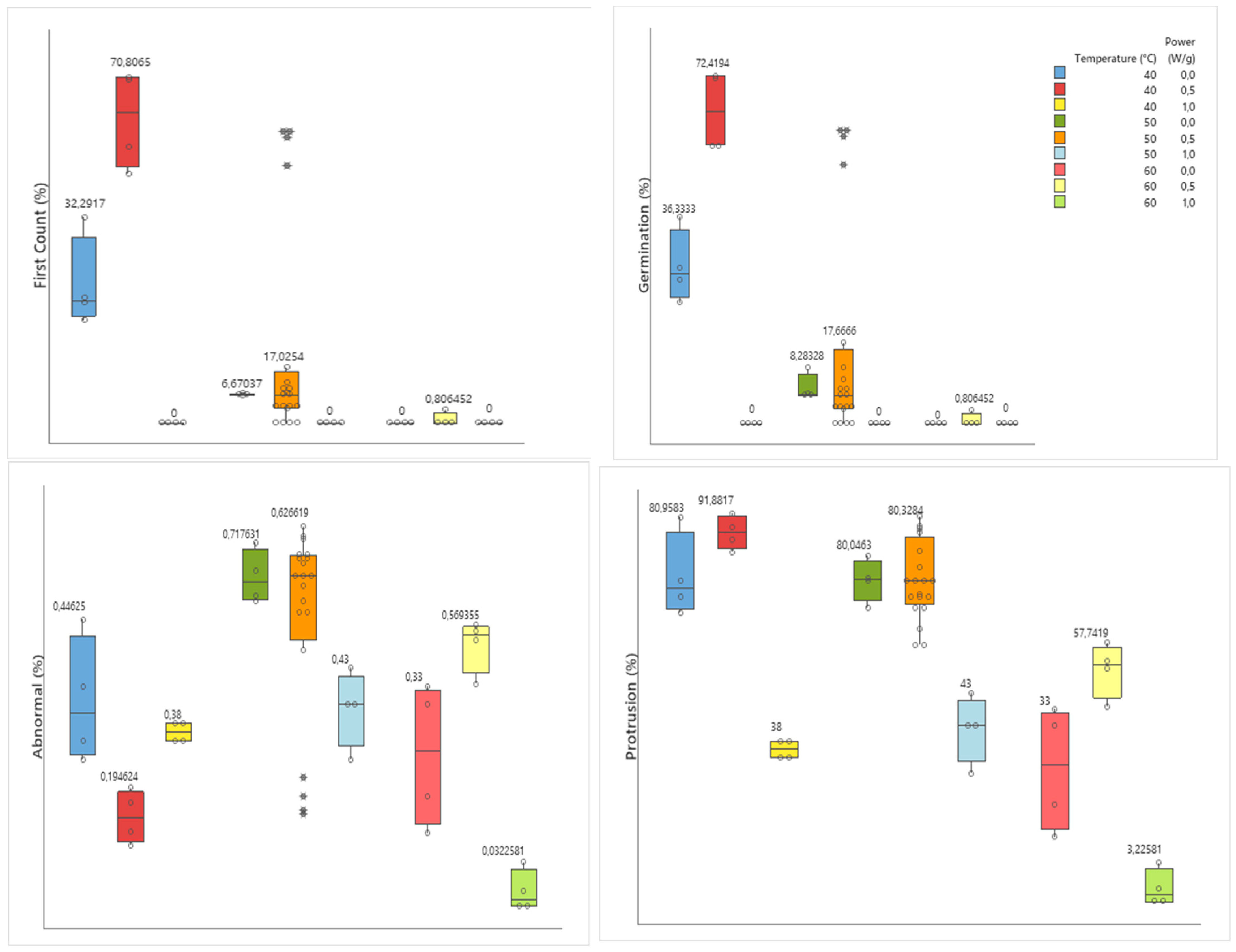
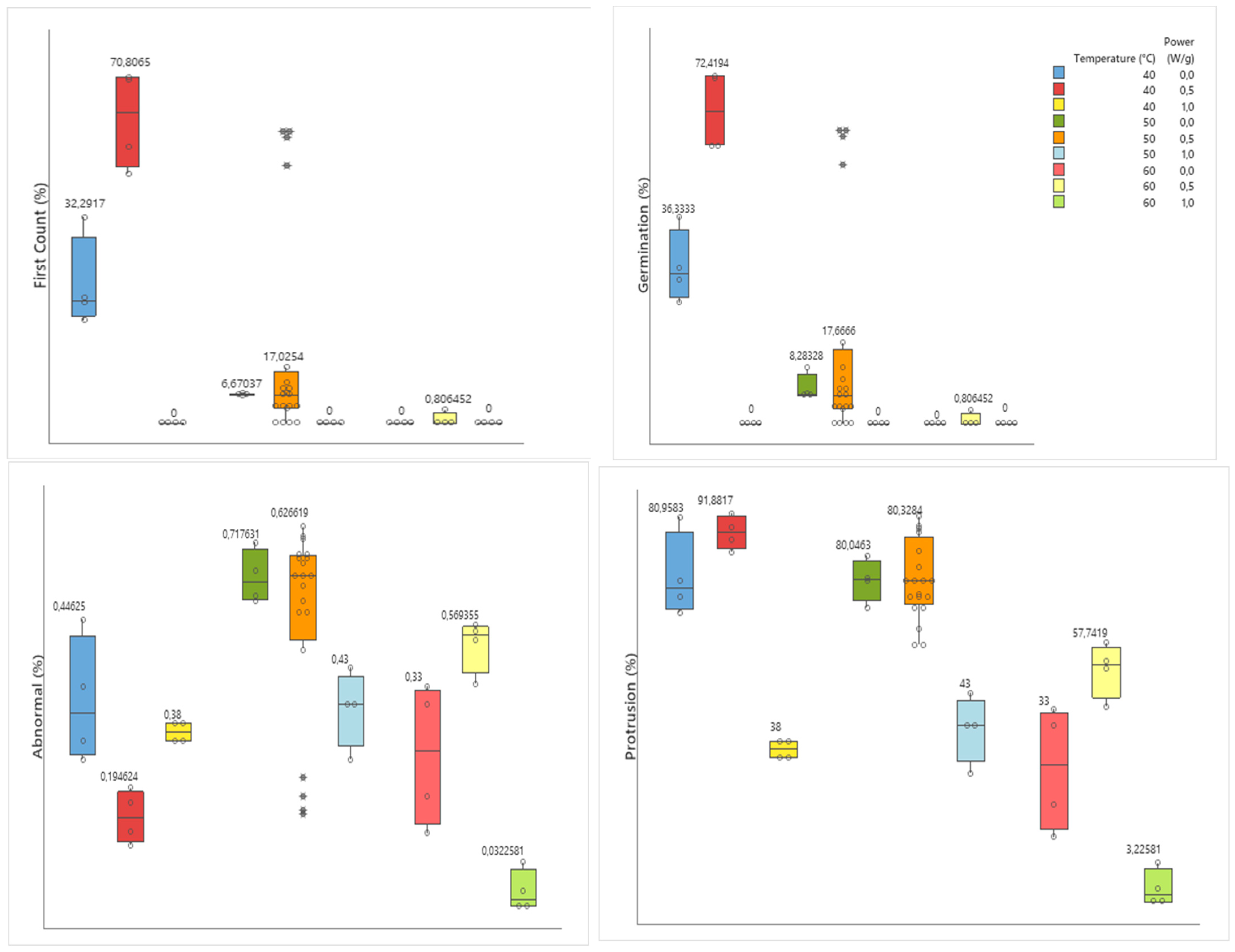
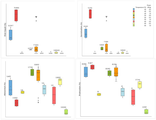
| Treatments | Temperature (°C) | Power (W/g) | First Count (%) | Germination (%) | Abnormal Plants (%) | Protrusion (%) |
|---|---|---|---|---|---|---|
| 1 | 40 | 0 | 32.29 | 36.33 | 44.62 | 80.95 |
| 2 | 50 | 0 | 6.67 | 8.28 | 71.76 | 80.04 |
| 3 | 60 | 0 | 0 | 0 | 33 | 33.00 |
| 4 | 40 | 0.5 | 70.81 | 72.42 | 19.46 | 91.88 |
| 5 | 50 | 0.5 | 3.00 | 3.00 | 72 | 75.00 |
| 6 | 50 | 0.5 | 8.96 | 12.17 | 76.27 | 88.43 |
| 7 | 50 | 0.5 | 65.67 | 65.67 | 23.21 | 88.88 |
| 8 | 50 | 0.5 | 2.50 | 2.50 | 75.83 | 78.33 |
| 9 | 50 | 0.5 | 5.00 | 5.00 | 66 | 71.00 |
| 10 | 60 | 0.5 | 0.81 | 0.81 | 56.93 | 57.74 |
| 11 | 40 | 1 | 0 | 0 | 38 | 38.00 |
| 12 | 50 | 1 | 0 | 0 | 43 | 43.00 |
| 13 | 60 | 1 | 0 | 0 | 3.22 | 3.23 |
| Germination Test | Regression | DF | Sum of Squares | Mean Squares | F-Value | p-Value |
|---|---|---|---|---|---|---|
| First Count | Linear | 2 | 1996.9 | 998.43 | 1.69 | 0.25 ns |
| Interaction | 1 | 260.7 | 260.66 | 0.44 | 0.52 ns | |
| Quadratic | 2 | 1214.6 | 607.32 | 1.03 | 0.40 ns | |
| Residuals | 7 | 4116.4 | 588.06 | |||
| Lack of fit | 3 | 1132.8 | 377.59 | 0.50 | 0.69 ns | |
| Pure error | 4 | 2983.7 | 745.91 | |||
| Model | 0.01 * | |||||
| R2 | 0.45 | |||||
| Shapiro-wilk normality test | 0.84 ns | |||||
| Germination | Linear | 2 | 2273.5 | 1136.76 | 1.96 | 0.21 ns |
| Interaction | 1 | 330 | 329.97 | 0.56 | 0.47 ns | |
| Quadratic | 2 | 1201.1 | 600.54 | 1.03 | 0.40 ns | |
| Residuals | 7 | 4060.1 | 580.01 | |||
| Lack of fit | 3 | 1120.0 | 373.32 | 0.50 | 0.69 ns | |
| Pure error | 4 | 2940.1 | 735.03 | |||
| Model | 0.16 ns | |||||
| R2 | 0.48 | |||||
| Shapiro-wilk normality test | 0.16 * | |||||
| Abnormal | Linear | 2 | 720.9 | 360.46 | 0.76 | 0.49 |
| Interaction | 1 | 134.1 | 134.10 | 0.28 | 0.61 | |
| Quadratic | 2 | 2774.1 | 1387.05 | 2.95 | 0.11 | |
| Residuals | 7 | 3284.6 | 469.22 | |||
| Lack of fit | 3 | 1271.2 | 423.73 | 0.84 | 0.53 | |
| Pure error | 4 | 2013.4 | 503.34 | |||
| Model | 0.28 ns | |||||
| R2 | 0.52 | |||||
| Shapiro-wilk normality test | ||||||
| Protrusion | Linear | 2 | 4284.7 | 2142.34 | 31.24 | 0.0003 ** |
| Interaction | 1 | 43.4 | 43.36 | 0.63 | 0.45 ns | |
| Quadratic | 2 | 3916.0 | 1957.98 | 28.55 | 0.0004 ** | |
| Residuals | 7 | 480.0 | 68.57 | |||
| Lack of fit | 3 | 221.8 | 73.94 | 1.14 | 0.43 ns | |
| Pure error | 4 | 258.2 | 64.54 | |||
| Model | 0.00028 ** | |||||
| R2 | 0.945 | |||||
| Shapiro-Wilk normality test | 0.22 ns | |||||
| Drying | Temperature °C | Power W/g | a | b | c | d | R2 * |
|---|---|---|---|---|---|---|---|
| Control | 40 | 0.0 | 0.883 | −0.103 | 0.246 | −0.0385 | 98.75 |
| Microwave | 40 | 0.5 | 1.035 | −1.353 | 2.624 | −3.014 | 99.46 |
| Temperature | Power | a | b | c | r | R2 * |
|---|---|---|---|---|---|---|
| 40 | 0.0 | 3.46 × 10−1 | 1.71 × 10−1 | 8.64 × 10−4 | 5.6 × 10−1 | 0.99 |
| 40 | 0.5 | 3.72 × 10−1 | 2.06 × 10−1 | 3.69 × 10−4 | 5.8 × 10−1 | 0.99 |
Disclaimer/Publisher’s Note: The statements, opinions and data contained in all publications are solely those of the individual author(s) and contributor(s) and not of MDPI and/or the editor(s). MDPI and/or the editor(s) disclaim responsibility for any injury to people or property resulting from any ideas, methods, instructions or products referred to in the content. |
© 2023 by the authors. Licensee MDPI, Basel, Switzerland. This article is an open access article distributed under the terms and conditions of the Creative Commons Attribution (CC BY) license (https://creativecommons.org/licenses/by/4.0/).
Share and Cite
Faria, R.Q.d.; Santos, A.R.P.d.; Vasco, L.C.P.d.S.; Gariepy, Y.; Sartori, M.M.P.; Raghavan, V. Quality of Soybean Seeds after Microwave Drying. Appl. Sci. 2023, 13, 8116. https://doi.org/10.3390/app13148116
Faria RQd, Santos ARPd, Vasco LCPdS, Gariepy Y, Sartori MMP, Raghavan V. Quality of Soybean Seeds after Microwave Drying. Applied Sciences. 2023; 13(14):8116. https://doi.org/10.3390/app13148116
Chicago/Turabian StyleFaria, Rute Quelvia de, Amanda R. P. dos Santos, Lainara C. P. dos Santos Vasco, Yvan Gariepy, Maria M. P. Sartori, and Vijaya Raghavan. 2023. "Quality of Soybean Seeds after Microwave Drying" Applied Sciences 13, no. 14: 8116. https://doi.org/10.3390/app13148116
APA StyleFaria, R. Q. d., Santos, A. R. P. d., Vasco, L. C. P. d. S., Gariepy, Y., Sartori, M. M. P., & Raghavan, V. (2023). Quality of Soybean Seeds after Microwave Drying. Applied Sciences, 13(14), 8116. https://doi.org/10.3390/app13148116

