Linear Optics Calibration in a Storage Ring Based on Machine Learning
Abstract
1. Introduction
2. Materials and Methods
2.1. Theory of Linear Optics Calibration
2.1.1. Classical Theory
2.1.2. Machine Learning Theory
2.2. Experimental Methods on Machine Learning
2.2.1. Building the CNN Model
2.2.2. Training Data Acquisition and Preprocessing
3. Results
3.1. Sample Analysis
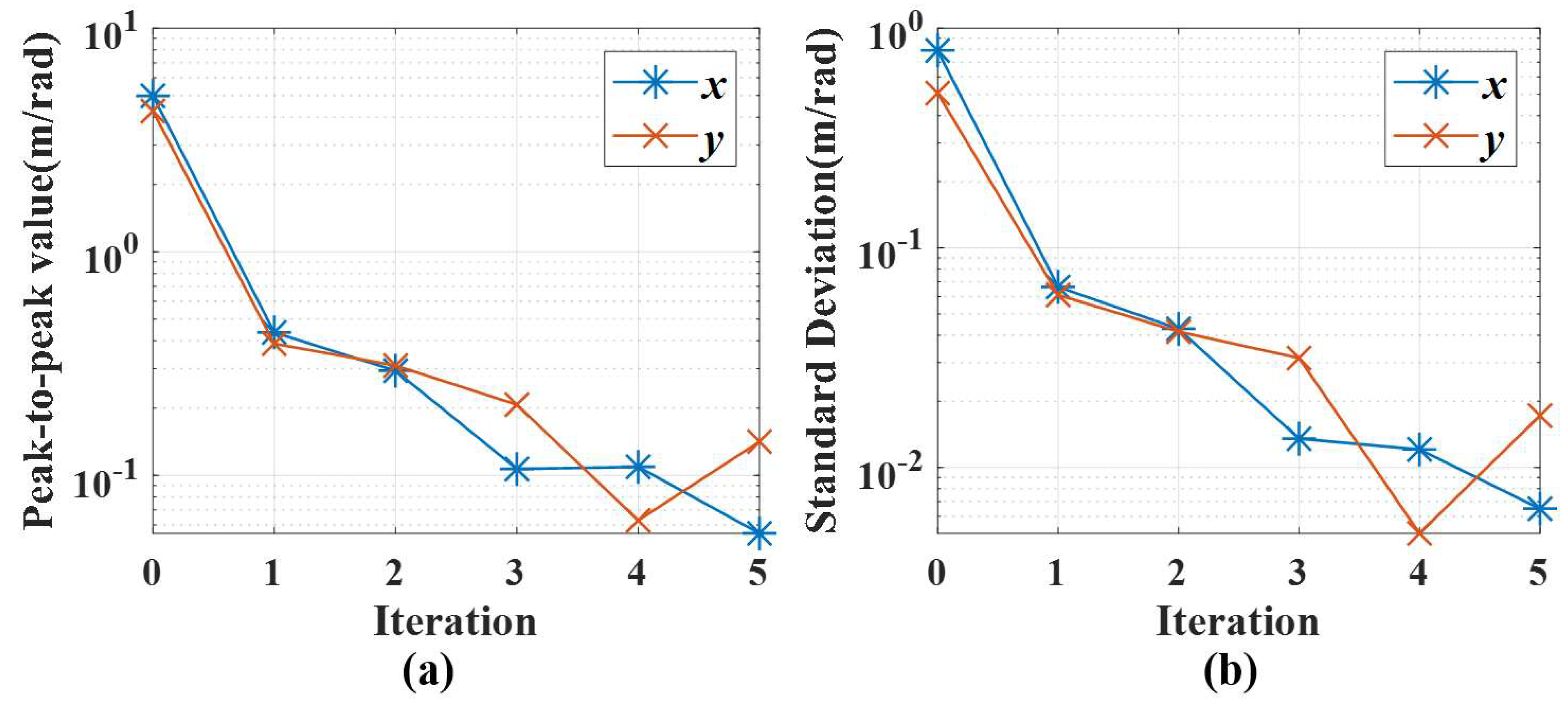
3.2. Test Data Analysis
4. Discussion and Conclusions
Author Contributions
Funding
Institutional Review Board Statement
Informed Consent Statement
Data Availability Statement
Acknowledgments
Conflicts of Interest
References
- Xie, H.; Deng, B.; Du, G.; Fu, Y.; He, Y.; Guo, H.; Peng, G.; Xue, Y.; Zhou, G.; Ren, Y. X-ray biomedical imaging beamline at SSRF. J. Instrum. 2013, 8, C08003. [Google Scholar] [CrossRef]
- Tsakanov, V. Synchrotron Light Facilities and Applications in Life Sciences. In Biomarkers of Radiation in the Environment: Robust Tools for Risk Assessment; Springer: Berlin/Heidelberg, Germany, 2022; pp. 25–36. [Google Scholar] [CrossRef]
- Jiang, B.C.; Lin, G.Q.; Wang, B.L.; Zhang, M.Z.; Yin, C.X.; Yan, Y.B.; Tian, S.Q.; Wang, K. Multi-bunch injection for SSRF storage ring. Nucl. Sci. Tech. 2015, 26, 050101. [Google Scholar] [CrossRef]
- Zhang, Q.L.; Jiang, B.C.; Tian, S.Q.; Zhou, Q.G.; Zhao, Z.T. Study on beam dynamics of a Knot-APPLE undulator proposed for SSRF. In Proceedings of the IPAC15, Richmond, VA, USA, 3–8 May 2015; pp. 1669–1671. [Google Scholar]
- Jiang, B.C.; Zhao, Z.T.; Liu, G.M. Study of Touschek lifetime in SSRF storage ring. HEP & NP 2006, 30, 693–698. [Google Scholar]
- Leemann, S.; Liu, S.; Hexemer, A.; Marcus, M.; Melton, C.; Nishimura, H.; Sun, C. Demonstration of Machine Learning-Based Model-Independent Stabilization of Source Properties in Synchrotron Light Sources. Phys. Rev. lett. 2019, 123, 194801. [Google Scholar] [CrossRef] [PubMed]
- Jiang, B.C.; Xia, G.X.; Han, L.F.; Liu, G.M.; Dai, Z.M.; Zhao, Z.T. Investigation of fast ion instability in SSRF. Nucl. Instrum. Methods Phys. Res. Sect. A 2010, 614, 331–334. [Google Scholar] [CrossRef]
- Bu, L.S.; Zhao, Z.T.; Yin, L.X.; Du, H.W. Vibration control research for the 3rd generation synchrotron light source storage ring mechanical components. Chin. Phys. C 2008, 32, 37–39. [Google Scholar]
- Zhao, Z.T.; Xu, H.J.; Ding, H. Commissioning of the Shanghai Light Source. In Proceedings of the PAC09, Vancouver, BC, Canada, 4–8 May 2009; pp. 55–59. [Google Scholar]
- Zhao, Z.T.; Xu, H.J. Operational Status of the Shanghai Synchrotron Radiation Facility. In Proceedings of the IPAC10, Kyoto, Japan, 23–28 May 2010; pp. 2421–2423. [Google Scholar]
- Zhao, Z.T.; Yin, L.X.; Leng, Y.B.; Jiang, B.C.; Tian, S.Q. Consideration on the future major upgrades of the SSRF storage ring. In Proceedings of the IPAC15, Richmond, VA, USA, 3–8 May 2015; pp. 1672–1674. [Google Scholar]
- Husain, R.; Prakash, S.; Ghodke, A. Betatron coupling measurement and optimization in Indus-2 storage ring. Rev. Sci. Instrum. 2021, 92, 053302. [Google Scholar] [CrossRef]
- Zhang, M.Z.; Chen, J.H.; Tian, S.Q.; Li, H.H.; Liu, G.M.; Li, D.M. Linear optics correction based on LOCO at SSRF storage ring. High Power Laser Part. Beams 2009, 21, 1893. [Google Scholar]
- Jinyu, W.; Zheng, S.; Xiang, Z.; Yu, B.; Chengying, T.; Paul, C.; Senlin, H.; Yi, J.; Yongbin, L.; Biaobin, L. Machine learning applications in large particle accelerator facilities: Review and prospects. High Power Laser Part. Beams 2021, 33, 094001. [Google Scholar] [CrossRef]
- Kaiser, J.; Stein, O.; Eichler, A. Learning-based optimisation of particle accelerators under partial observability without real-world training. In Proceedings of the International Conference on Machine Learning, Xiamen, China, 27–29 May 2022; pp. 10575–10585. [Google Scholar]
- Wang, F.Y.; Song, M.; Edelen, A.; Huang, X. Machine learning for design optimization of storage ring nonlinear dynamics. arXiv 2019, arXiv:1910.14220. [Google Scholar]
- Lu, Y.; Leemann, S.; Sun, C.; Ehrlichman, M.; Nishimura, H.; Venturini, M.; Hellert, T. Demonstration of machine learning-enhanced multi-objective optimization of ultrahigh-brightness lattices for 4th-generation synchrotron light sources. Nucl. Instrum. Methods Phys. Res. Sect. A 2023, 1050, 168192. [Google Scholar] [CrossRef]
- Ivanov, A.; Agapov, I. Physics-based deep neural networks for beam dynamics in charged particle accelerators. Phys. Rev. Accel. Beams 2020, 23, 074601. [Google Scholar] [CrossRef]
- Wan, J.; Jiao, Y. Machine learning enabled fast evaluation of dynamic aperture for storage ring accelerators. New J. Phys. 2022, 24, 063030. [Google Scholar] [CrossRef]
- Safranek, J. Experimental determination of storage ring optics using orbit response measurements. Nucl. Instrum. Meth. A 1997, 388, 27. [Google Scholar] [CrossRef]
- Safranek, J. Matlab-based LOCO. In Proceedings of the EPAC02, Paris, France, 3–7 June 2002. [Google Scholar]
- Tomás, R.; Aiba, M.; Franchi, A.; Iriso, U. Review of linear optics measurement and correction for charged particle accelerators. Phys. Rev. Accel. Beams 2017, 20, 054801. [Google Scholar] [CrossRef]
- Shun-Qiang, T.; Wen-Zhi, Z.; Hao-Hu, L.; Man-Zhou, Z.; Jie, H.; Xue-Mei, Z.; Gui-Min, L. Linear optics calibration and nonlinear optimization during the commissioning of the SSRF storage ring. Chin. Phys. C 2009, 33, 83. [Google Scholar] [CrossRef]
- LeCun, Y.; Bengio, Y.; Hinton, G. Deep learning. Nature 2015, 521, 436–444. [Google Scholar] [CrossRef]
- McCulloch, W.S.; Pitts, W. A logical calculus of the ideas immanent in nervous activity. Bull. Math. Biophys. 1943, 5, 115–133. [Google Scholar] [CrossRef]
- Goodfellow, I.; Bengio, Y.; Courville, A. Deep Learning; MIT Press: Cambridge, MA, USA, 2016. [Google Scholar]
- Waibel, A.; Hanazawa, T.; Hinton, G.; Shikano, K.; Lang, K.J. Phoneme recognition using time-delay neural networks. IEEE Trans. Acoust. Speech Signal Process. 1989, 37, 328–339. [Google Scholar] [CrossRef]
- LeCun, Y.; Boser, B.; Denker, J.S.; Henderson, D.; Howard, R.E.; Hubbard, W.; Jackel, L.D. Backpropagation applied to handwritten zip code recognition. Neural Comput. 1989, 1, 541–551. [Google Scholar] [CrossRef]
- Gu, J.; Wang, Z.; Kuen, J.; Ma, L.; Shahroudy, A.; Shuai, B.; Liu, T.; Wang, X.; Wang, G.; Cai, J. Recent advances in convolutional neural networks. Pattern Recogn. 2018, 77, 354. [Google Scholar] [CrossRef]
- Wu, Z.; Pan, S.; Chen, F.; Long, G.; Zhang, C.; Philip, S.Y. A comprehensive survey on graph neural networks. IEEE Trans. Neural Netw. Learn. Syst. 2020, 32, 4–24. [Google Scholar] [CrossRef] [PubMed]
- Zhang, Y.-D.; Satapathy, S.C.; Guttery, D.S.; Górriz, J.M.; Wang, S.-H. Improved breast cancer classification through combining graph convolutional network and convolutional neural network. Inf. Process. Manag. 2021, 58, 102439. [Google Scholar] [CrossRef]
- Ruder, S. An overview of gradient descent optimization algorithms. arXiv 2016, arXiv:1609.04747. [Google Scholar]
- Abadi, M.; Barham, P.; Chen, J.; Chen, Z.; Davis, A.; Dean, J.; Devin, M.; Ghemawat, S.; Irving, G.; Isard, M. Tensorflow: A system for large-scale machine learning. In Proceedings of the OSDI16, Savannah, GA, USA, 2–4 November 2016; pp. 265–283. [Google Scholar]
- Kim, S.; Wimmer, H.; Kim, J. Analysis of Deep Learning Libraries: Keras, PyTorch, and MXnet. In Proceedings of the 2022 IEEE/ACIS 20th International Conference on Software Engineering Research, Management and Applications (SERA), Las Vegas, NV, USA, 22–25 May 2022; pp. 54–62. [Google Scholar] [CrossRef]
- Kingma, D.P.; Ba, J. Adam: A method for stochastic optimization. arXiv 2014, arXiv:1412.6980. [Google Scholar]
- Reddi, S.J.; Kale, S.; Kumar, S. On the convergence of adam and beyond. arXiv 2019, arXiv:1904.09237. [Google Scholar]
- Nair, V.; Hinton, G.E. Rectified Linear Units Improve Restricted Boltzmann Machines Vinod Nair. In Proceedings of the ICML10, Haifa, Israel, 21–24 June 2010; pp. 807–814. [Google Scholar]
- Glorot, X.; Bordes, A.; Bengio, Y. Deep Sparse Rectifier Neural Networks. J. Mach. Learn. Res. 2011, 15, 315–323. [Google Scholar]
- Terebilo, A. Accelerator modeling with MATLAB accelerator toolbox. In Proceedings of the PAC01, Chicago, IL, USA, 18–22 June 2001; pp. 3203–3205. [Google Scholar]










Disclaimer/Publisher’s Note: The statements, opinions and data contained in all publications are solely those of the individual author(s) and contributor(s) and not of MDPI and/or the editor(s). MDPI and/or the editor(s) disclaim responsibility for any injury to people or property resulting from any ideas, methods, instructions or products referred to in the content. |
© 2023 by the authors. Licensee MDPI, Basel, Switzerland. This article is an open access article distributed under the terms and conditions of the Creative Commons Attribution (CC BY) license (https://creativecommons.org/licenses/by/4.0/).
Share and Cite
Li, R.; Jiang, B.; Zhang, Q.; Zhao, Z.; Li, C.; Wang, K. Linear Optics Calibration in a Storage Ring Based on Machine Learning. Appl. Sci. 2023, 13, 8034. https://doi.org/10.3390/app13148034
Li R, Jiang B, Zhang Q, Zhao Z, Li C, Wang K. Linear Optics Calibration in a Storage Ring Based on Machine Learning. Applied Sciences. 2023; 13(14):8034. https://doi.org/10.3390/app13148034
Chicago/Turabian StyleLi, Ruichun, Bocheng Jiang, Qinglei Zhang, Zhentang Zhao, Changliang Li, and Kun Wang. 2023. "Linear Optics Calibration in a Storage Ring Based on Machine Learning" Applied Sciences 13, no. 14: 8034. https://doi.org/10.3390/app13148034
APA StyleLi, R., Jiang, B., Zhang, Q., Zhao, Z., Li, C., & Wang, K. (2023). Linear Optics Calibration in a Storage Ring Based on Machine Learning. Applied Sciences, 13(14), 8034. https://doi.org/10.3390/app13148034

