Study on Changes in Physical and Mechanical Properties and Integrity Decay of Sandstone Subjected to Freeze–Thaw Cycling
Abstract
1. Introduction
2. Materials and Methods
3. Results and Discussion
3.1. Changes in Porosity
3.2. Changes in Velocity of Longitudinal Wave
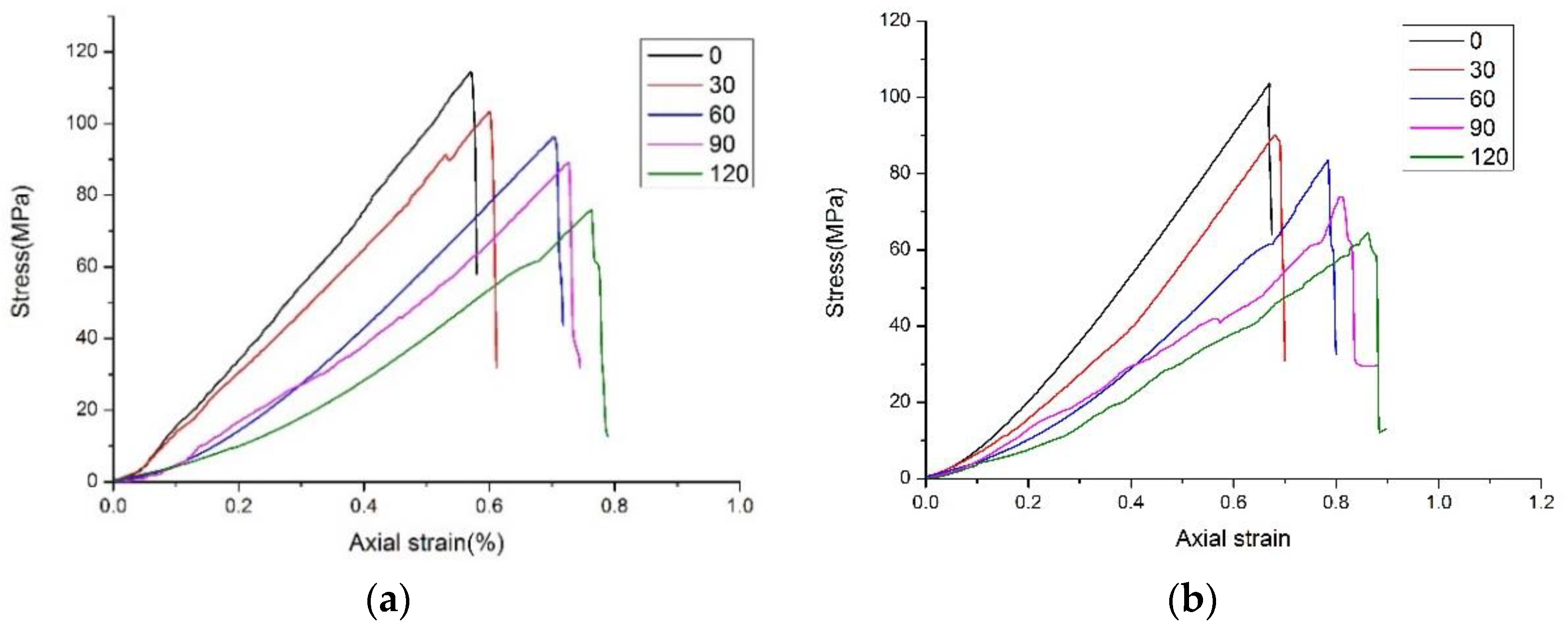
3.3. Uniaxial Compressive Test
3.3.1. Damage Features
3.3.2. Uniaxial Compressive Strength Testing Results
3.4. Rock Integrity Decay Laws Based on Uniaxial Compressive Strength
3.4.1. Decay Index λ under the Different Times of Freeze–thaw Cycles
3.4.2. Relationship of the Decay Parameter versus Porosity and Longitudinal Wave Velocity of the Sandstone
4. Conclusions
- (1)
- The porosity of fine sandstone and coarse sandstone continues to increase with the increase in the number of freeze–thaw cycles, while the velocity of the longitudinal waves of rocks of two kinds continues to decrease. Both indicate that the freeze–thaw functions can make the pores or micro-cracks in rocks continue to crack and expand;
- (2)
- Based on the uniaxial compressive testing results of coarse sandstones and fine sandstones, and in combination with previous studies, the rock integrity decay laws were analyzed. The results indicate that the decay index λ is not a constant value but changes with an increase in the number of freeze–thaw cycles. For the fine sandstone, λ gradually decrease with the increase in freeze–thaw cycles and finally tends to become a certain constant (λ = 0.00385~0.005); with the coarse sandstones, λ decreases at first and then increases (λ = 0.00376~0.00481);
- (3)
- Taking UCS as the integrity index, for the fine sandstone, there is a good fitting relationship between decay index λ and the porosity increment (R2 > 0.95) as well as between the velocity increment of the longitudinal wave (R2 > 0.98), λ can, then, be deduced by the velocity increment of the longitudinal wave, and by further calculating the integrity indices (UCS) subject to the number of different freeze–thaw cycles.
Author Contributions
Funding
Data Availability Statement
Acknowledgments
Conflicts of Interest
References
- Sass, O. Spatial patterns of rockfall intensity in the northern Alps. Z. Geomorphol. Suppl. 2005, 138, 51–65. [Google Scholar]
- Stoffel, M.; Lièvre, I.; Conus, D.; Grichting, M.A.; Raetzo, H.; Gärtner, H.W.; Monbaron, M. 400 years of debris-flow activity and triggering weather conditions: Ritigraben, valais, switzerland. Arct. Antarct. Alp. Res. 2005, 37, 387–395. [Google Scholar] [CrossRef]
- Matsuoka, N.; Murton, J. Frost weathering: Recent advances and future directions. Permafr. Periglac. Process 2008, 19, 195–210. [Google Scholar] [CrossRef]
- Grossi, C.M.; Brimblecombe, P.; Harris, I. Predicting long term freeze-thaw risks on europe built heritage and archaeological sites in a changing climate. Sci. Total Environ. 2007, 377, 273. [Google Scholar] [CrossRef]
- Zhang, S.; Lai, Y.; Zhang, X.; Pu, Y.; Yu, W. Study on the damage propagation of surrounding rock from a cold-region tunnel under freeze–thaw cycle condition. Tunn. Undergr. Space Technol. 2004, 19, 295–302. [Google Scholar] [CrossRef]
- Mu, Y.; Ma, W.; Li, G.; Niu, F.; Liu, Y.; Mao, Y. Impacts of supra-permafrost water ponding and drainage on a railway embankment in continuous permafrost zone, the interior of the Qinghai-Tibet Plateau. Cold Reg. Sci. Technol. 2018, 154, 23–31. [Google Scholar] [CrossRef]
- Li, G.Y.; Hou, X.; Zhou, Y.; Ma, W.; Mu, Y.H.; Chen, D.; Tang, L.Y. Freeze-thaw resistance of eco-material stabilized loess. J. Mt. Sci. 2021, 18, 794–805. [Google Scholar] [CrossRef]
- Li, G.; Wang, F.; Ma, W.; Fortier, R.; Mu, Y.; Zhou, Z.; Cai, Y. Field observations of cooling performance of thermosyphons on permafrost under the China-Russia Crude Oil Pipeline. Appl. Therm. Eng. 2018, 141, 688–696. [Google Scholar] [CrossRef]
- Chen, Y.; Tan, L.; Xiao, N.; Liu, K.; Jia, P.; Zhang, W. The hydro-mechanical characteristics and micro-structure of loess enhanced by microbially induced carbonate precipitation. Geomech. Energy Environ. 2023, 34, 100469. [Google Scholar] [CrossRef]
- Inada, Y.; Yokota, K. Some studies of low temperature rock strength. Int. J. Rock Mech. Min. Sci. Geomech. Abstr. 1984, 21, 145–153. [Google Scholar] [CrossRef]
- Matsuoka, N. Mechanisms of rock breakdown by frost action: An experimental approach. Cold Reg. Sci. Technol. 1990, 17, 253–270. [Google Scholar] [CrossRef]
- Xu, G.; Liu, Q. Analysis of mechanism of rock failure due to freeze-thaw cycling and mechanical testing study on frozen-thawed rocks. Chin. J. Rock Mech. Eng. 2005, 24, 3077–3082. [Google Scholar]
- Takarli, M.; Prince, W.; Siddique, R. Damage in granite under heating/cooling cycles and water freeze–thaw condition. Int. J. Rock Mech. Min. Sci. 2008, 45, 1164–1175. [Google Scholar] [CrossRef]
- Liu, H.; Niu, F.; Xu, Z.; Lin, Z.; Xu, J. Acoustic experimental study of two types of rock from the tibetan plateau under the condition of freeze-thaw cycles. J. Glaciol. 2011, 33, 557–563. [Google Scholar]
- Molina, E.; Cultrone, G.; Sebastián, E.; Alonso, F.J.; Carrizo, L.; Gisbert, J.; Buj, O. The pore system 1 of sedimentary rocks as a key factor in the durability of building materials. Eng. Geol. 2011, 118, 110–121. [Google Scholar] [CrossRef]
- Lin, Z.H.; Niu, F.; Liu, H.; Lu, J. Influences of freezing-thawing cycles on physico-mechanical properties of rocks of embankment revetments in permafrost regions. Rock Soil Mech. 2011, 32, 1369–1376. [Google Scholar]
- Ruedrich, J.; Kirchner, D.; Siegesmund, S. Physical weathering of building stones induced by freeze–thaw action: A laboratory long-term study. Environ. Earth Sci. 2011, 63, 1573–1586. [Google Scholar] [CrossRef]
- Liping, W.; Ning, L.; Jilin, Q.; Yanzhe, T.; Shuanhai, X. A study on the physical index change and triaxial compression test of intact hard rock subjected to freeze-thaw cycles. Cold Reg. Sci. Technol. 2019, 160, 39–47. [Google Scholar] [CrossRef]
- Jiang, W.; Lai, Y.; Yu, F.; Ma, Q.; Jiang, H. Mechanical properties investigation and damage constitutive models of red sandstone subjected to freeze-thaw cycles. Cold Reg. Sci. Technol. 2023, 207, 103776. [Google Scholar] [CrossRef]
- Mutlutürk, M.; Altindag, R.; Türk, G. A decay function model for the integrity loss of rock when subjected to recurrent cycles of freezing–thawing and heating–cooling. Int. J. Rock Mech. Min. Sci. 2004, 41, 237–244. [Google Scholar] [CrossRef]
- Akin, M.; Özsan, A. Evaluation of the long-term durability of yellow travertine using accelerated weathering tests. Bull. Eng. Geol. Environ. 2011, 70, 101–114. [Google Scholar] [CrossRef]
- Yavuz, H. Effect of freeze–thaw and thermal shock weathering on the physical and mechanical properties of an andesite stone. Bull. Eng. Geol. Environ. 2011, 70, 187–192. [Google Scholar] [CrossRef]
- Jamshidi, A.; Nikudel, M.R.; Khamehchiyan, M. Predicting the long-term durability of building stones against freeze–thaw using a decay function model. Cold Reg. Sci. Technol. 2013, 92, 29–36. [Google Scholar] [CrossRef]
- Jamshidi, A.; Nikudel, M.R.; Khamehchiyan, M. A novel physico-mechanical parameter for estimating the mechanical strength of travertines after a freeze–thaw test. Bull. Braz. Math. Soc. 2017, 76, 181–190. [Google Scholar] [CrossRef]
- Ghobadi, M.H.; Babazadeh, R. Experimental studies on the effects of cyclic freezing–thawing, salt crystallization, and thermal shock on the physical and mechanical characteristics of selected sandstones. Rock Mech. Rock Eng. 2015, 48, 1001–1016. [Google Scholar] [CrossRef]
- Ghobadi, M.H.; Beydokhti, A.R.T.; Nikudel, M.R.; Asiabanha, A.; Karakus, M. The effect of freeze–thaw process on the physical and mechanical properties of tuff. Environ. Earth Sci. 2016, 75, 846. [Google Scholar] [CrossRef]
- Wang, P.; Xu, J.; Liu, S.; Liu, S.; Wang, H. A prediction model for the dynamic mechanical degradation of sedimentary rock after a long-term freeze-thaw weathering: Considering the strain-rate effect. Cold Reg. Sci. Technol. 2016, 131, 16–23. [Google Scholar] [CrossRef]
- Ke, B.; Zhou, K.; Xu, C.; Deng, H.; Li, J.; Bin, F. Dynamic mechanical property deterioration model of sandstone caused by freeze–thaw weathering. Rock Mech. Rock Eng. 2018, 51, 2791–2804. [Google Scholar] [CrossRef]
- Feng, Q.; Jin, J.; Zhang, S.; Liu, W.; Yang, X.; Li, W. Study on a damage model and uniaxial compression simulation method of frozen–thawed rock. Rock Mech. Rock Eng. 2022, 55, 187–211. [Google Scholar] [CrossRef]
- Hou, C.; Jin, X.; He, J.; Li, H. Experimental studies on the pore structure and mechanical properties of anhydrite rock under freeze-thaw cycles. J. Rock Mech. Geotech. Eng. 2022, 14, 781–797. [Google Scholar] [CrossRef]
- Liu, X.; Liu, Y.; Dai, F.; Yan, Z. Tensile mechanical behavior and fracture characteristics of sandstone exposed to freeze-thaw treatment and dynamic loading. Int. J. Mech. Sci. 2022, 226, 107405. [Google Scholar] [CrossRef]
- Yavuz, H.; Altindag, R.; Sarac, S.; Ugur, I.; Sengun, N. Estimating the index properties of deteriorated carbonate rocks due to freeze–thaw and thermal shock weathering. Int. J. Rock Mech. Min. Sci. 2006, 43, 767–775. [Google Scholar] [CrossRef]
- Huang, S.; He, Y.; Yu, S.; Cai, C. Experimental investigation and prediction model for UCS loss of unsaturated sandstones under freeze-thaw action. Int. J. Min. Sci. Technol. 2022, 32, 41–49. [Google Scholar] [CrossRef]
- Hallet, B.; Walder, J.S.; Stubbs, C.W. Weathering by segregation ice growth in microcracks at sustained subzero temperatures: Verification from an experimental study using acoustic emissions. Permafr. Periglac. Process 1991, 2, 283–300. [Google Scholar] [CrossRef]
- GB/T 50266-2013; Standard for Test Methods of Engineering Rock Mass. China Jihua Press: Beijing, China, 2013.
- JTG E41-2005; Test Methods of Rock for Highway Engineering. China Communications Press: Beijing, China, 2005.
- Walder, J.; Hallet, B. A theoretical model of the fracture of rock during freezing. Geol. Soc. Am. Bull 1985, 96, 336. [Google Scholar] [CrossRef]
- Murton, J.B.; Coutard, J.P.; Lautridou, J.P.; Ozouf, J.C.; Robinson, D.A.; Williams, R.B.; Guillemet, G.; Simmons, P. Experimental design for a pilot study on bedrock weathering near the permafrost table. Earth Surf. Process. Landf. 2000, 25, 1281–1294. [Google Scholar] [CrossRef]
- Murton, J.B.; Peterson, R.; Ozouf, J.C. Bedrock fracture by ice segregation in cold regions. Science 2006, 314, 1127–1129. [Google Scholar] [CrossRef]
- Rempel, A.W.; Wettlaufer, J.S.; Grae Worster, M. Premelting dynamics in a continuum model of frost heave. J. Fluid Mech. 2004, 498, 227–244. [Google Scholar] [CrossRef]
- Dash, J.G.; Rempel, A.W.; Wettlaufer, J.S. The physics of premelted ice and its geophysical consequences. Rev. Mod. Phys. 2006, 78, 695–741. [Google Scholar] [CrossRef]
- Tan, X.; Chen, W.; Yang, J.; Cao, J. Laboratory investigations on the mechanical properties degradation of granite under freeze–thaw cycles. Cold Reg. Sci. Technol. 2011, 68, 130–138. [Google Scholar] [CrossRef]






| Author | Times of F–T Cycles | Rock Type | Uniaxial Compressive Strength (UCS) | Brazilian Tensile Strength (BTS) | Point Load Strength (PLS) | P-Wave Velocity (VP) | Effective Porosity (n) | ||||||
|---|---|---|---|---|---|---|---|---|---|---|---|---|---|
| λ | R2 | λ | R2 | λ | R2 | λ | R2 | λ | R2 | ||||
| Akin & Özsan [21] | 50 | Yellow travertine | A | 0.0024 | 0.884 | −0.0005 | 0.303 | ||||||
| B | 0.0047 | 0.96 | −0.001 | 0.656 | |||||||||
| Yavuz [22] | 50 | andesite | 0.003 | 0.98 | 0.0014 | 0.89 | −0.0036 | 0.93 | |||||
| Jamshidi et al. [23] | 30 | Travertine-I | 0.024 | 0.955 | 0.02 | 0.933 | |||||||
| Limestone-II | 0.002 | 0.91 | 0.004 | 0.96 | |||||||||
| Marble-I | 0.003 | 0.899 | 0.005 | 0.903 | |||||||||
| Amphibolite | 0.001 | 0.974 | 0.002 | 0.958 | |||||||||
| Vitric tuff | 0.008 | 0.984 | 0.011 | 0.972 | |||||||||
| Jamshidi et al. [24] | 60 | Gerdoee travertine | 0.003 | 0.9525 | 0.004 | 0.992 | 0.004 | 0.9405 | 0.002 | 0.9703 | |||
| Ghobadi et al. [25] | 60 | Sandstone | A | 0.0038 | 0.9921 | ||||||||
| B | 0.00136 | 0.9878 | |||||||||||
| C | 0.002 | 0.9484 | |||||||||||
| CG | 0.00349 | 0.8754 | |||||||||||
| Tr | 0.00341 | 0.9814 | |||||||||||
| Min | 0.00534 | 0.9024 | |||||||||||
| Sh | 0.00338 | 0.8773 | |||||||||||
| Ghobadi et al. [26] | 70 | Tuff | F.1.2 | 0.00357 | 0.988 | 0.00412 | 0.946 | 0.00051 | 0.944 | −0.00116 | 0.959 | ||
| F.3.A | 0.00709 | 0.879 | 0.00985 | 0.94 | 0.00169 | 0.957 | −0.00101 | 0.929 | |||||
| E.D | 0.00368 | 0.959 | 0.00381 | 0.901 | 0.00165 | 0.942 | −0.00049 | 0.962 | |||||
| VAR.M | 0.00249 | 0.971 | 0.00941 | 0.931 | 0.00142 | 0.949 | −0.00098 | 0.911 | |||||
| V.B.1 | 0.01445 | 0.963 | 0.01836 | 0.858 | 0.00316 | 0.962 | −0.00133 | 0.866 | |||||
| V.B.2 | 0.01099 | 0.947 | 0.01612 | 0.984 | 0.00716 | 0.902 | −0.00201 | 0.92 | |||||
| Sandstone Variety | Specimen No. | Time of Freeze–Thaw Cycles | ||||
|---|---|---|---|---|---|---|
| 0 | 30 | 60 | 90 | 120 | ||
| Fine | 2-5 | 2.113 | 2.438 | 2.892 | 3.127 | 3.583 |
| 2-20 | 1.628 | 1.904 | 2.451 | 2.897 | 3.328 | |
| 2-22 | 1.449 | 1.678 | 1.874 | 2.213 | 2.551 | |
| 2-23 | 1.321 | 1.574 | 1.987 | 2.215 | 2.46 | |
| Mean | 1.628 | 1.899 | 2.301 | 2.613 | 2.981 | |
| Coarse | 1-19 | 1.916 | 2.379 | 2.984 | 3.172 | 3.494 |
| 1-21 | 2.444 | 2.954 | 3.523 | 4.005 | 4.809 | |
| 1-23 | 1.727 | 2.687 | 3.014 | 3.289 | 3.464 | |
| 1-32 | 1.606 | 2.089 | 2.712 | 3.145 | 3.721 | |
| Mean | 1.923 | 2.527 | 3.058 | 3.403 | 3.872 | |
| Sandstone Variety | Specimen No. | Time of Freeze–Thaw Cycles | ||||
|---|---|---|---|---|---|---|
| 0 | 30 | 60 | 90 | 120 | ||
| Fine | 2-5 | 3818 | 3704 | 3571 | 3111 | 2900 |
| 2-20 | 3705 | 3607 | 3448 | 3297 | 3022 | |
| 2-22 | 3949 | 3871 | 3654 | 3304 | 3096 | |
| 2-23 | 3812 | 3726 | 3448 | 3160 | 2942 | |
| Mean | 3821 | 3727 | 3530 | 3218 | 2990 | |
| Coarse | 1-19 | 3639 | 3548 | 3448 | 3296 | 3198 |
| 1-21 | 3648 | 3561 | 3271 | 3105 | 3005 | |
| 1-23 | 3520 | 3404 | 3314 | 3171 | 3087 | |
| 1-32 | 3759 | 3661 | 3571 | 3304 | 3174 | |
| Mean | 3642 | 3544 | 3401 | 3219 | 3116 | |
| Sandstone Variety | Time of F–T Cycles | UCS (MPa) | Peak Value Strain (%) | Elastic Modulus (GPa) | Poisson Ratio |
|---|---|---|---|---|---|
| Fine | 0 | 114.8 | 0.573 | 19.28 | 0.21 |
| 30 | 98.8 | 0.582 | 16.57 | 0.21 | |
| 60 | 86.7 | 0.649 | 12.08 | 0.2 | |
| 90 | 79.6 | 0.674 | 10.01 | 0.2 | |
| 120 | 72.3 | 0.741 | 8.16 | 0.21 | |
| Coarse | 0 | 104.1 | 0.672 | 18.2 | 0.29 |
| 30 | 90.1 | 0.68 | 15.1 | 0.28 | |
| 60 | 83.9 | 0.786 | 11.3 | 0.29 | |
| 90 | 74.2 | 0.813 | 8.2 | 0.28 | |
| 120 | 64.4 | 0.862 | 6.9 | 0.28 |
| Sandstone Variety | Time of F–T Cycles | Real Measured UCS (MPa) | Decay Index λ |
|---|---|---|---|
| Fine | 0 | 114.8 | |
| 30 | 98.8 | 5.00 × 10−3 | |
| 60 | 86.7 | 4.68 × 10−3 | |
| 90 | 79.6 | 4.07 × 10−3 | |
| 120 | 72.3 | 3.85 × 10−3 | |
| Coarse | 0 | 104.1 | |
| 30 | 90.1 | 4.81 × 10−3 | |
| 60 | 83.9 | 3.60 × 10−3 | |
| 90 | 74.2 | 3.76 × 10−3 | |
| 120 | 64.4 | 4.00 × 10−3 |
Disclaimer/Publisher’s Note: The statements, opinions and data contained in all publications are solely those of the individual author(s) and contributor(s) and not of MDPI and/or the editor(s). MDPI and/or the editor(s) disclaim responsibility for any injury to people or property resulting from any ideas, methods, instructions or products referred to in the content. |
© 2023 by the authors. Licensee MDPI, Basel, Switzerland. This article is an open access article distributed under the terms and conditions of the Creative Commons Attribution (CC BY) license (https://creativecommons.org/licenses/by/4.0/).
Share and Cite
Wang, L.; Chen, X.; Zhang, W.; Tian, Y.; Xu, S. Study on Changes in Physical and Mechanical Properties and Integrity Decay of Sandstone Subjected to Freeze–Thaw Cycling. Appl. Sci. 2023, 13, 7316. https://doi.org/10.3390/app13127316
Wang L, Chen X, Zhang W, Tian Y, Xu S. Study on Changes in Physical and Mechanical Properties and Integrity Decay of Sandstone Subjected to Freeze–Thaw Cycling. Applied Sciences. 2023; 13(12):7316. https://doi.org/10.3390/app13127316
Chicago/Turabian StyleWang, Liping, Xiaotong Chen, Wan Zhang, Yanzhe Tian, and Shuanhai Xu. 2023. "Study on Changes in Physical and Mechanical Properties and Integrity Decay of Sandstone Subjected to Freeze–Thaw Cycling" Applied Sciences 13, no. 12: 7316. https://doi.org/10.3390/app13127316
APA StyleWang, L., Chen, X., Zhang, W., Tian, Y., & Xu, S. (2023). Study on Changes in Physical and Mechanical Properties and Integrity Decay of Sandstone Subjected to Freeze–Thaw Cycling. Applied Sciences, 13(12), 7316. https://doi.org/10.3390/app13127316
