Project Portfolio Planning Taking into Account the Effect of Loss of Competences of Project Team Members
Abstract
1. Introduction
- The DMRPSP declarative reference model integrating DSPS and PCMP problems enabling both the analysis (searching for an answer to the question of whether a required solution is reachable) and synthesis (searching for an answer to the question of which changes to parameters guarantees a required solution).
- Procedures of dynamic software project scheduling aimed at proactive planning with constrained multi-skilled resources, taking into account the influence of learning and forgetting effects.
- The results of many computer experiments illustrating the possibilities of using the presented approach for the rapid prototyping of acceptable job rotation schedules, as well as its scalability.
- What change in the level of employee competences will result in the acceptance of additional orders to the already adopted plan of the project portfolio implementation?
- Is it possible to accept additional orders during the implementation of the planned portfolio of projects while maintaining the required level of employees’ competences?
2. Related Works
3. Model Formulation
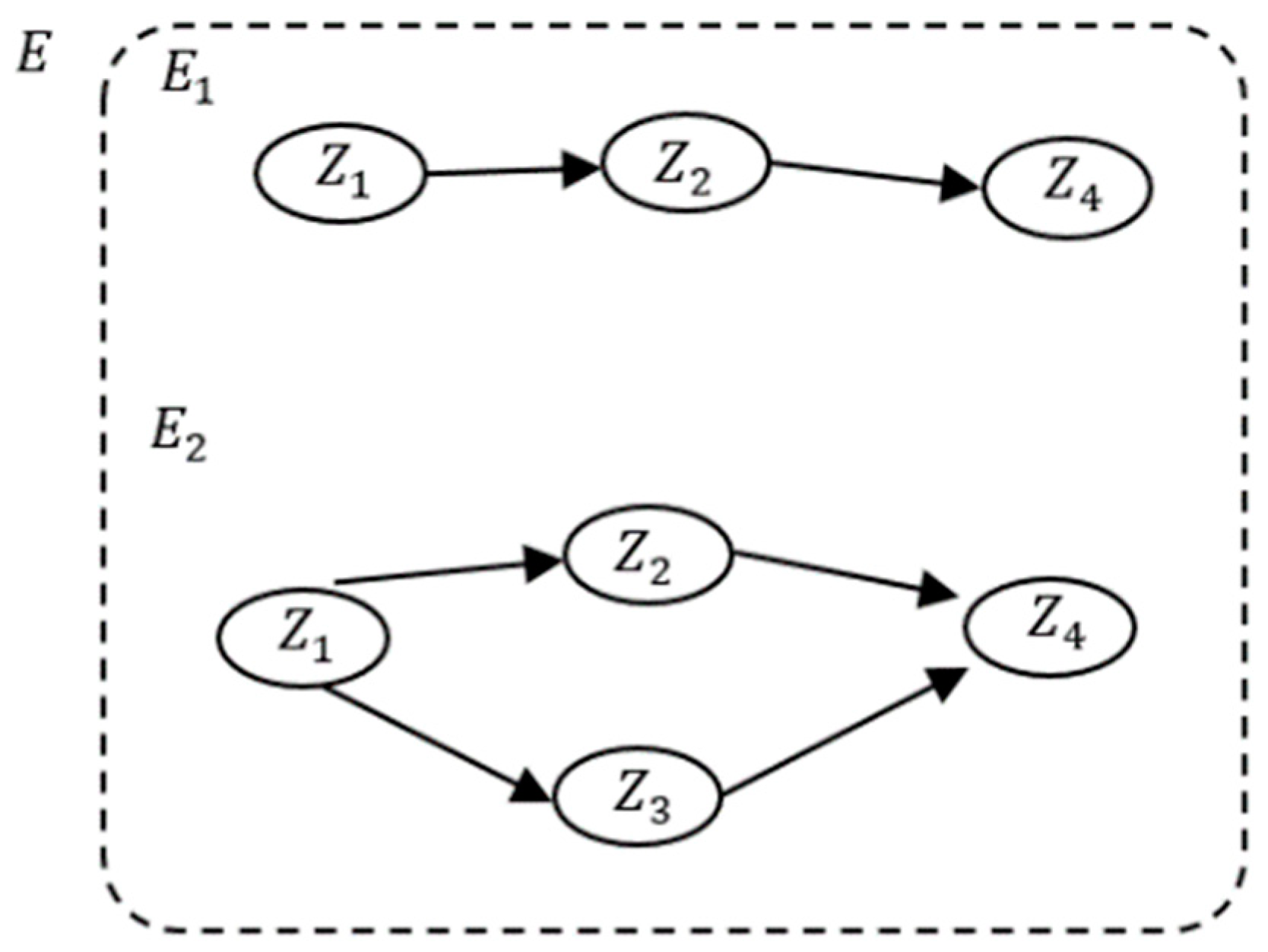
3.1. Illustrative Example
- Only one employee can be assigned to one task at a time.
- One employee can perform different tasks in the portfolio.
- An employee can perform only one task per unit of time.
- Increases by 1 after the task is completed by a specific employee.
- Decreases by 1 for every 2 units of time when an employee does not perform a task requiring this competence.
- Decrease to the minimum degree , where —number of employees, —number of tasks and —minimum level of competence.
- Increase to the maximum degree , where —number of employees, —number of tasks and —maximum level of competence.
- In variant (a), the rank was obtained, which corresponds to the situation where employees perform tasks without rotation, i.e., a specific task is carried out by only one employee; for example, a task performs only , a task performs only , etc.
- In variant (b), the rank is obtained, which corresponds to the situation where employees perform tasks with rotation, i.e., a specific task is carried out by different employees; for example, a task performs and , a task performs , and , etc.
- In variant (a), the project ends in the eighth unit of time, and the degree
- In variant (b), the project ends in the seventh unit of time, and the degree .
3.2. Declarative Model Description
- Parameters:
- Decision variables:
- Constraints:
- The tasks must be performed according to the sequence specified by the , project activity network, and within the time limit specified by and :
- The assignment of a worker to a task determines when it starts:
- At a time each employee is assigned to only one task:
- Each task and the project must be completed:
- The structure of competences changes over time (the effect of forgetting and learning):
- The level of the competence structure after the completion of the project portfolio cannot be less than the set value :
3.3. Problem Statement
- What change in the level of competence structure of will result in the acceptance of additional orders to the already adopted collection project plan? This occurs in the so-called analysis problem.
- Is it possible to accept additional orders for a successful portfolio while maintaining the required level of competence structure ? This occurs in the so-called synthesis problem.
- Is there an admissible solution for the input data (competence structure with a given competence level)?
- Are there other inputs (e.g., assignment of workers to tasks) resulting in an admissible solution (i.e., required level of competence structure)?
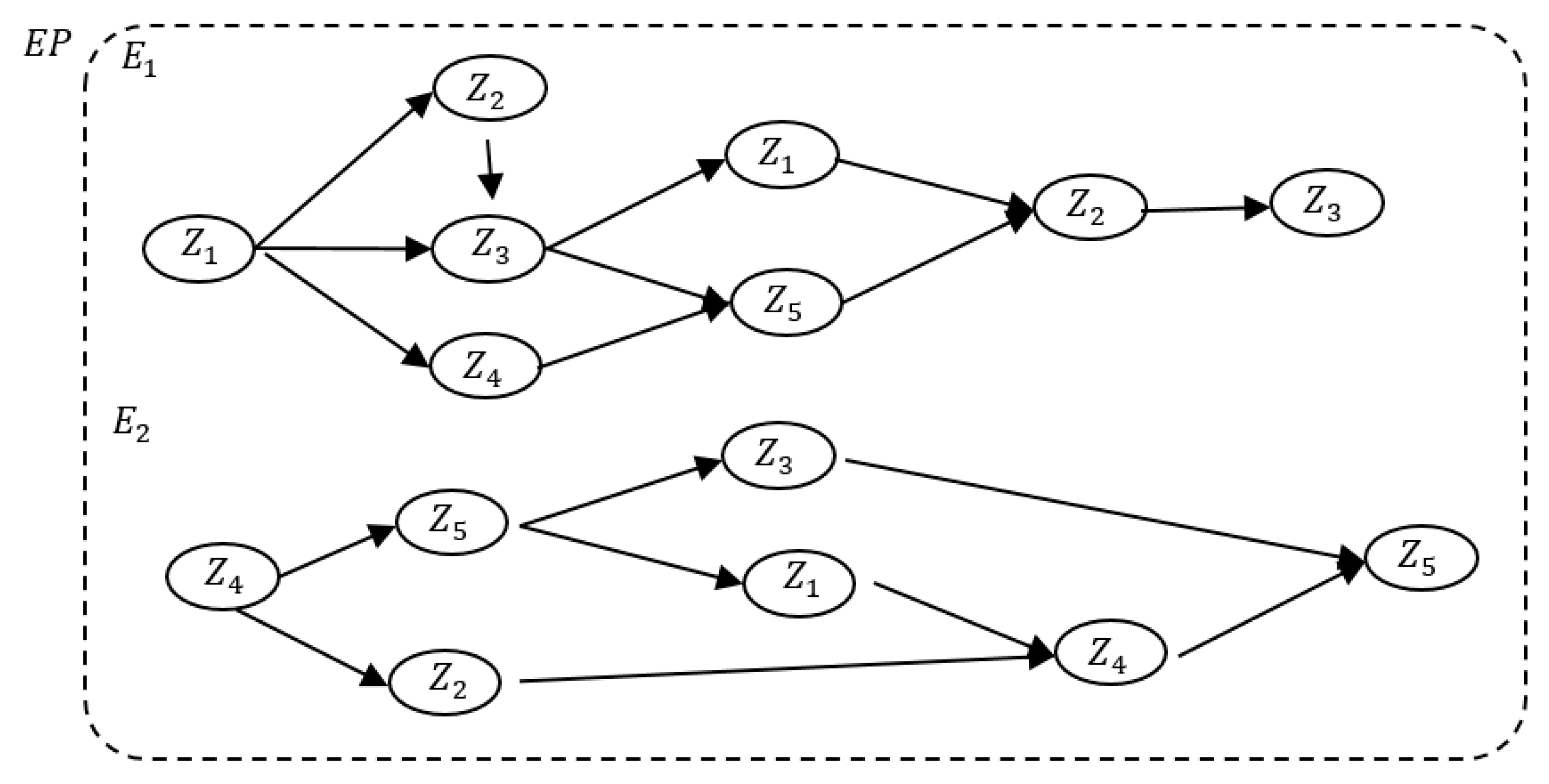
4. Case Study
4.1. Analysis of Possible Solutions
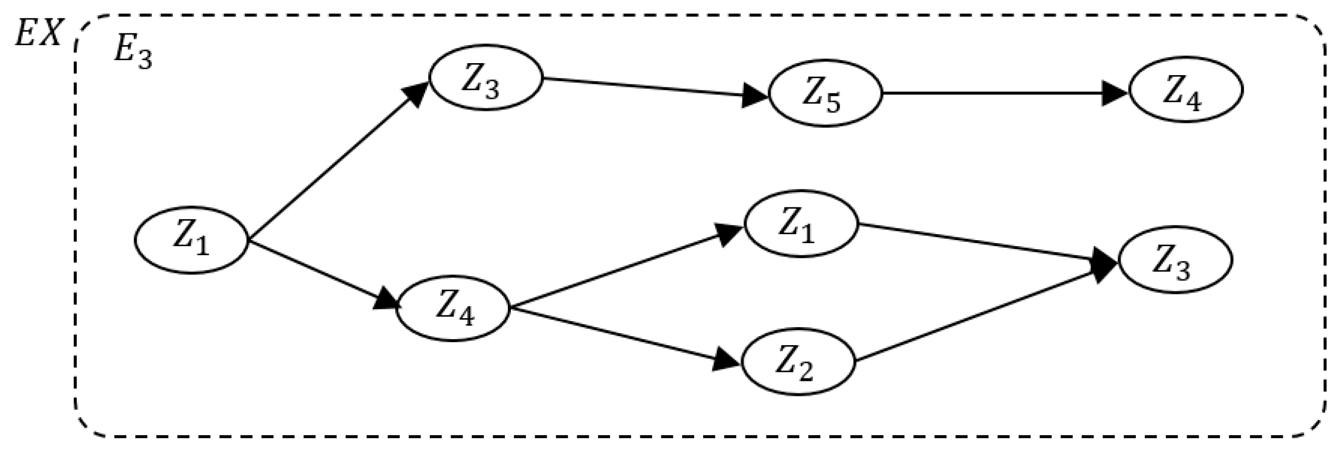
4.2. Synthesis of Expected Solutions
5. Computational Experiments for Scalability Assessment
6. Conclusions
Author Contributions
Funding
Institutional Review Board Statement
Informed Consent Statement
Data Availability Statement
Conflicts of Interest
References
- Hernandez-De-Menendez, M.; Morales-Menendez, R.; Escobar, C.A.; McGovern, M. Competencies for Industry 4.0. Int. J. Interact. Des. Manuf. 2020, 14, 1511–1524. [Google Scholar] [CrossRef]
- Pizoń, J.; Gola, A. The Meaning and Directions of Development of Personalized Production in the Era of Industry 4.0 and Industry 5.0. In Proceedings of the International Conference Innovation in Engineering; Lecture Notes in Mechanical Engineering, Medan, Indonesia, 11 October 2022; pp. 1–13. [Google Scholar] [CrossRef]
- Patalas-Maliszewska, J.; Kłos, S. An intelligent system for core-competence identification for industry 4.0 based on research results from german and polish manufacturing companies. In Intelligent Systems in Production Engineering and Maintenance—ISPEM 2017, Proceedings of the First International Conference on Intelligent Systems in Production Engineering and Maintenance ISPEM 2017; Burduk, A., Mazurkiewicz, D., Eds.; Advances in Intelligent Systems and Computing; Springer: Cham, Switzerland, 2017. [Google Scholar] [CrossRef]
- Wang, B.; Zheng, P.; Yin, Y.; Shih, A.; Wang, L. Toward human-centric smart manufacturing: A human-cyber-physical systems (HCPS) perspective. J. Manuf. Syst. 2022, 63, 471–490. [Google Scholar] [CrossRef]
- De Bruecker, P.; Bergh, J.V.D.; Beliën, J.; Demeulemeester, E. Workforce planning incorporating skills: State of the art. Eur. J. Oper. Res. 2015, 243, 1–16. [Google Scholar] [CrossRef]
- Heimerl, C.; Kolisch, R. Scheduling and staffing multiple projects with a multi-skilled workforce. OR Spectr. 2009, 32, 343–368. [Google Scholar] [CrossRef]
- Pawlewski, P.; Golińska, P.; Fertsch, M.; Trujillo, J.A.; Pasek, Z.J. Multiagent Approach for Supply Chain Integration by Distributed Production Planning, Scheduling and Control System. In Advances in Soft Computing, Proceedings of the International Symposium on Distributed Computing and Artificial Intelligence 2008 (DCAI 2008), Salamanca, Spain, 22–24 October 2008; Corchado, J.M., Rodríguez, S., Llinas, J., Molina, J.M., Eds.; Springer: Berlin/Heidelberg, Germany, 2008. [Google Scholar] [CrossRef]
- Murre, J.M.J.; Chessa, A.G. Power laws from individual differences in learning and forgetting: Mathematical analyses. Psychon. Bull. Rev. 2011, 18, 592–597. [Google Scholar] [CrossRef] [PubMed]
- Hoedt, S.; Claeys, A.; Aghezzaf, E.-H.; Cottyn, J. Real Time Implementation of Learning-Forgetting Models for Cycle Time Predictions of Manual Assembly Tasks after a Break. Sustainability 2020, 12, 5543. [Google Scholar] [CrossRef]
- Szwarc, E.; Bocewicz, G.; Golińska-Dawson, P.; Banaszak, Z. Proactive Operations Management: Staff Allocation with Competence Maintenance Constraints. Sustainability 2023, 15, 1949. [Google Scholar] [CrossRef]
- Vega-Velázquez, M.; García-Nájera, A.; Cervantes, H. A survey on the Software Project Scheduling Problem. Int. J. Prod. Econ. 2018, 202, 145–161. [Google Scholar] [CrossRef]
- Shen, X.; Minku, L.L.; Bahsoon, R.; Yao, X. Dynamic Software Project Scheduling through a Proactive-Rescheduling Method. IEEE Trans. Softw. Eng. 2016, 42, 658–686. [Google Scholar] [CrossRef]
- Araúzo, J.A.; Pajares, J.; Lopez-Paredes, A. Simulating the dynamic scheduling of project portfolios. Simul. Model. Pract. Theory 2010, 18, 1428–1441. [Google Scholar] [CrossRef]
- Campana, N.P.; Iori, M.; Moreira, M.C.O. Mathematical models and heuristic methods for the assembly line balancing problem with hierarchical worker assignment. Int. J. Prod. Res. 2021, 60, 2193–2211. [Google Scholar] [CrossRef]
- Sungur, B.; Yavuz, Y. Assembly line balancing with hierarchical worker assignment. J. Manuf. Syst. 2015, 37, 290–298. [Google Scholar] [CrossRef]
- Battini, D.; Berti, N.; Finco, S.; Zennaro, I.; Das, A. Towards industry 5.0: A multi-objective job rotation model for an inclusive workforce. Int. J. Prod. Econ. 2022, 250, 108619. [Google Scholar] [CrossRef]
- Bocewicz, G.; Nielsen, P.; Jasiulewicz-Kaczmarek, M.; Banaszak, Z. Dynamic Planning of Mobile Service Teams’ Mission Subject to Orders Uncertainty Constraints. Appl. Sci. 2020, 10, 8872. [Google Scholar] [CrossRef]
- Lin, R.; Zhou, G.; Liu, A.; Lu, H.; Li, T. Impact of Personnel Flexibility on Job Shop Scheduling. Sci. Program. 2016, 2016, 3403058. [Google Scholar] [CrossRef]
- Öztop, H. A Constraint Programming Model for the Open Vehicle Routing Problem with Heterogeneous Vehicle Fleet. In Towards Industry 5.0; Durakbasa, N.M., Gençyılmaz, M.G., Eds.; Lecture Notes in Mechanical Engineering; Springer: Cham, Switzerland, 2023. [Google Scholar] [CrossRef]
- Szwarc, E.; Wikarek, J.; Gola, A.; Bocewicz, G.; Banaszak, Z. Interactive Planning of Competency-Driven University Teaching Staff Allocation. Appl. Sci. 2020, 10, 4894. [Google Scholar] [CrossRef]
- Adel, A. Future of industry 5.0 in society: Human-centric solutions, challenges and prospective research areas. J. Cloud Comput. 2022, 11, 40. [Google Scholar] [CrossRef]
- Cortés-Leal, A.; Cárdenas, C.; Del-Valle-Soto, C. Maintenance 5.0: Towards a Worker-in-the-Loop Framework for Resilient Smart Manufacturing. Appl. Sci. 2022, 12, 11330. [Google Scholar] [CrossRef]
- Polo-Mejía, O.; Artigues, C.; Lopez, P. A heuristic method for the Multi-Skill Project Scheduling Problem with Partial Preemption. In Proceedings of the 8th International Conference on Operations Research and Enterprise Systems (ICORES 2019), Prague, Czech Republic, 19 February 2019; pp. 111–120. [Google Scholar] [CrossRef]
- Guyon, O.; Lemaire, P.; Pinson, E.; Rivreau, D. Solving an integrated job-shop problem with human resource constraints. Ann. Oper. Res. 2012, 213, 147–171. [Google Scholar] [CrossRef]
- Chen, R.; Liang, C.; Gu, D.; Zhao, H. A competence-time-quality scheduling model of multi-skilled staff for IT project portfolio. Comput. Ind. Eng. 2019, 139, 106183. [Google Scholar] [CrossRef]
- Li, H.; Zhu, H.; Zheng, L.; Xie, F. Software project scheduling under activity duration uncertainty. Ann. Oper. Res. 2023, 1–36. [Google Scholar] [CrossRef]
- Glock, C.H.; Grosse, E.H.; Jaber, M.Y.; Smunt, T.L. Applications of learning curves in production and operations management: A systematic literature review. Comput. Ind. Eng. 2018, 131, 422–441. [Google Scholar] [CrossRef]
- Kondor, G. NP-hardness of m-dimensional weighted matching problems. Theor. Comput. Sci. 2022, 930, 33–36. [Google Scholar] [CrossRef]
- Murre, J.M.J.; Dros, J. Replication and Analysis of Ebbinghaus’ Forgetting Curve. PLoS ONE 2015, 10, e0120644. [Google Scholar] [CrossRef]
- Viering, T.; Loog, M. The Shape of Learning Curves: A Review. arXiv 2022, arXiv:2103.10948. [Google Scholar] [CrossRef] [PubMed]
- Hutter, M. Learning Curve Theory, Machine Learning. arXiv 2021, arXiv:2102.04074. [Google Scholar] [CrossRef]
- Dong, F.; Li, M.; Zhao, Y.; Li, J.; Yang, Y. Software Multi-project Resource Scheduling: A Comparative Analysis. In Making Globally Distributed Software Development a Success Story; Wang, Q., Pfahl, D., Raffo, D.M., Eds.; Lecture Notes in Computer Science; Springer: Berlin/Heidelberg, Germany, 2008. [Google Scholar] [CrossRef]
- Abdel-Hamid, T. The dynamics of software project staffing: A system dynamics based simulation approach. IEEE Trans. Softw. Eng. 1989, 15, 109–119. [Google Scholar] [CrossRef]
- Xi, H.; Xu, D.; Son, Y.J. Dynamic Scheduling and Workforce Assignment in Open Source Software Development. arXiv 2020, arXiv:2009.09168. [Google Scholar]
- Li, H.; Zhang, X.; Sun, J.; Dong, X. Dynamic resource levelling in projects under uncertainty. Int. J. Prod. Res. 2020, 61, 198–218. [Google Scholar] [CrossRef]
- Chen, R.; Liang, C.; Gu, D.; Leung, J.Y.-T. A multi-objective model for multi-project scheduling and multi-skilled staff assignment for IT product development considering competency evolution. Int. J. Prod. Res. 2017, 55, 6207–6234. [Google Scholar] [CrossRef]
- Snauwaert, J.; Vanhoucke, M. A new algorithm for resource-constrained project scheduling with breadth and depth of skills. Eur. J. Oper. Res. 2020, 292, 43–59. [Google Scholar] [CrossRef]
- Tian, Y.; Xiong, T.; Liu, Z.; Mei, Y.; Wan, L. Multi-Objective multi-skill resource-constrained project scheduling problem with skill switches: Model and evolutionary approaches. Comput. Ind. Eng. 2022, 167, 107897. [Google Scholar] [CrossRef]
- Almeida, B.F.; Correia, I.; Saldanha-da-Gama, F. Modeling frameworks for the multi-skill resource-constrained project sched-uling problem: A theoretical and empirical comparison. Int. Trans. Oper. Res. 2019, 26, 946–967. [Google Scholar] [CrossRef]
- Felberbauer, T.; Gutjahr, W.J.; Doerner, K.F. Stochastic project management: Multiple projects with multi-skilled human resources. J. Sched. 2018, 22, 271–288. [Google Scholar] [CrossRef]
- Hewitt, M.; Chacosky, A.; Grasman, S.E.; Thomas, B.W. Integer programming techniques for solving non-linear workforce planning models with learning. Eur. J. Oper. Res. 2015, 242, 942–950. [Google Scholar] [CrossRef]
- Zheng, X.-L.; Wang, L. A multi-agent optimization algorithm for resource constrained project scheduling problem. Expert Syst. Appl. 2015, 42, 6039–6049. [Google Scholar] [CrossRef]
- Asensio-Cuesta, S.; Diego-Mas, J.A.; Canós-Darós, L.; Andrés-Romano, C. A genetic algorithm for the design of job rotation schedules considering ergonomic and competence criteria. Int. J. Adv. Manuf. Technol. 2012, 60, 1161–1174. [Google Scholar] [CrossRef]
- Jafari, H.; Haleh, H. Nurse scheduling problem by considering fuzzy modeling approach to treat uncertainty on nurses’ preferences for working shifts and weekends off. J. Optim. Ind. Eng. 2019, 14, 69–78. [Google Scholar] [CrossRef]
- Nigar, N.; Shahzad, M.K.; Islam, S.; Oki, O.; Lukose, J.M. Multi-Objective Dynamic Software Project Scheduling: A Novel Approach to Handle Employee’s Addition. IEEE Access 2023, 11, 39792–39806. [Google Scholar] [CrossRef]
- Bocewicz, G.; Banaszak, Z.; Rudnik, K.; Smutnicki, C.; Witczak, M.; Wójcik, R. An ordered-fuzzy-numbers-driven approach to the milk-run routing and scheduling problem. J. Comput. Sci. 2020, 49, 101288. [Google Scholar] [CrossRef]
- Rudnik, K.; Bocewicz, G.; Kucińska-Landwójtowicz, A.; Czabak-Górska, I.D. Ordered fuzzy WASPAS method for selection of improvement projects. Expert Syst. Appl. 2021, 169, 114471. [Google Scholar] [CrossRef]











| 3 | 5 | 3 | |
| 4 | 4 | 4 | |
| 5 | 4 | 4 | |
| 4 | 4 | 5 |
| 2 | 1 | 2 | |
| 1 | 1 | 1 | |
| 1 | 1 | 1 | |
| 1 | 1 | 1 |
| 1 | 0 | 0 | |
| 0 | 0 | 1 | |
| 0 | 0 | 0 | |
| 0 | 1 | 0 |
| 5 | 2 | 1 | |
| 4 | 4 | 4 | |
| 5 | 4 | 3 | |
| 2 | 4 | 5 | |
| 1 | 3 | 1 |
| 4 | 1 | 1 | |
| 2 | 2 | 4 | |
| 5 | 2 | 1 | |
| 1 | 2 | 4 | |
| 1 | 4 | 1 |
| Number of Employees | Tasks | Time Spent on Solving the Analysis Problem [s] | Time Spent on Solving the Synthesis Problem [s] | |
|---|---|---|---|---|
| 3 | 15 | 45 | 1 | 16 |
| 18 | 54 | 1 | 30 | |
| 21 | 63 | 1 | 57 | |
| 24 | 72 | 1 | 111 | |
| 27 | 81 | 1 | 240 | |
| 30 | 90 | 1 | 600 | |
| 4 | 15 | 60 | 1 | 18 |
| 18 | 72 | 1 | 41 | |
| 21 | 84 | 1 | 88 | |
| 24 | 96 | 1 | 190 | |
| 27 | 108 | 1 | 360 | |
| 30 | 120 | 1 | 880 | |
| 5 | 15 | 60 | 1 | 55 |
| 18 | 90 | 1 | 130 | |
| 21 | 105 | 1 | 280 | |
| 24 | 120 | 1 | 740 | |
| 27 | 135 | 2 | 1901 | |
| 30 | 150 | 2 | 3651 | |
| 6 | 15 | 75 | 1 | 240 |
| 18 | 108 | 2 | 440 | |
| 21 | 126 | 2 | 1256 | |
| 24 | 144 | 2 | 2589 | |
| 27 | 162 | 2 | 6987 | |
| 30 | 45 | 2 | >7000 |
Disclaimer/Publisher’s Note: The statements, opinions and data contained in all publications are solely those of the individual author(s) and contributor(s) and not of MDPI and/or the editor(s). MDPI and/or the editor(s) disclaim responsibility for any injury to people or property resulting from any ideas, methods, instructions or products referred to in the content. |
© 2023 by the authors. Licensee MDPI, Basel, Switzerland. This article is an open access article distributed under the terms and conditions of the Creative Commons Attribution (CC BY) license (https://creativecommons.org/licenses/by/4.0/).
Share and Cite
Bocewicz, G.; Szwarc, E.; Thibbotuwawa, A.; Banaszak, Z. Project Portfolio Planning Taking into Account the Effect of Loss of Competences of Project Team Members. Appl. Sci. 2023, 13, 7165. https://doi.org/10.3390/app13127165
Bocewicz G, Szwarc E, Thibbotuwawa A, Banaszak Z. Project Portfolio Planning Taking into Account the Effect of Loss of Competences of Project Team Members. Applied Sciences. 2023; 13(12):7165. https://doi.org/10.3390/app13127165
Chicago/Turabian StyleBocewicz, Grzegorz, Eryk Szwarc, Amila Thibbotuwawa, and Zbigniew Banaszak. 2023. "Project Portfolio Planning Taking into Account the Effect of Loss of Competences of Project Team Members" Applied Sciences 13, no. 12: 7165. https://doi.org/10.3390/app13127165
APA StyleBocewicz, G., Szwarc, E., Thibbotuwawa, A., & Banaszak, Z. (2023). Project Portfolio Planning Taking into Account the Effect of Loss of Competences of Project Team Members. Applied Sciences, 13(12), 7165. https://doi.org/10.3390/app13127165

