Numerical Study of the Flow Characteristics of Downburst-like Wind over the 3D Hill Using Different Turbulence Models
Abstract
1. Introduction

- (1)
- This work aims to provide a more comprehensive reference for the selection of turbulence models. The most suitable turbulence model for simulating the mean and transient wind fields when downburst over hills is determined.
- (2)
- The evolution mechanism of the transient wind field structure over the quadratic ideal hill under a downburst is revealed.
- (3)
- The flow separation characteristics and the acceleration phenomena of wind fields over hills and flatlands are analyzed, and the flow separation obtained by different turbulence models is compared.
2. Numerical Simulations and Wind Tunnel Tests
2.1. Governing Equations
2.2. Turbulence Model
2.2.1. RANS Method
2.2.2. LES Method
2.2.3. DES Method
2.3. Computational Domain and Boundary Condition Setting
2.4. Grid Division and Working Condition Setting
2.5. Solution Algorithms
2.6. Grid Independence Verification
2.7. Wind Tunnel Tests
3. Analysis of Wind Field Results over the Hill
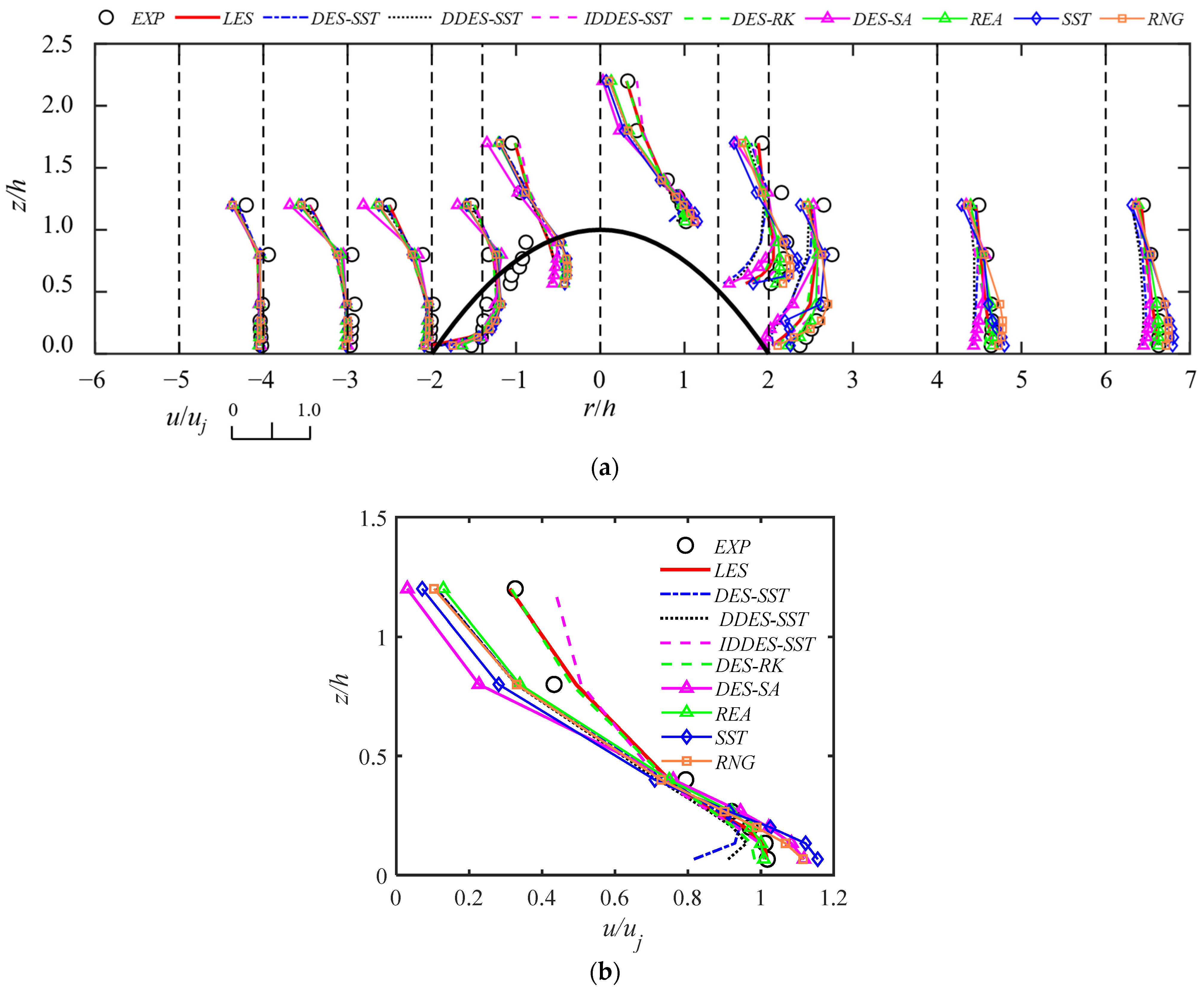
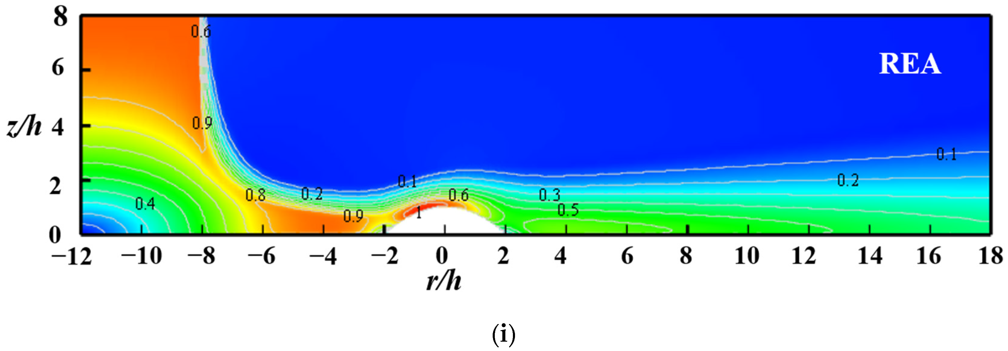
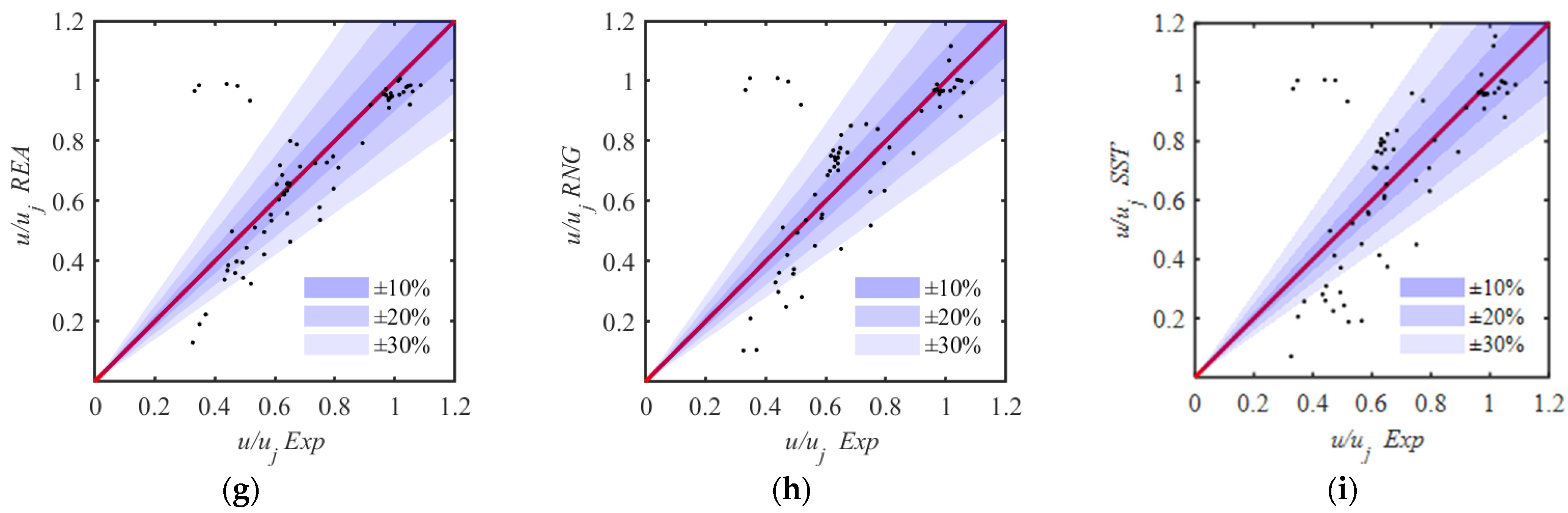
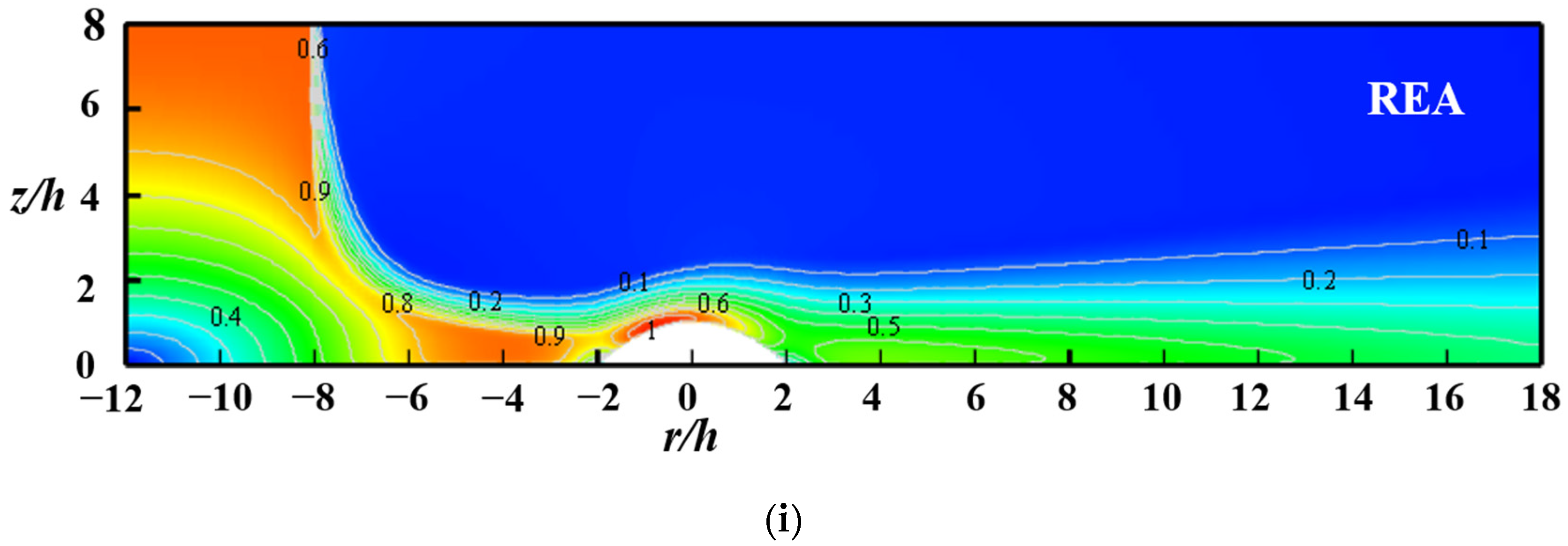
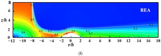
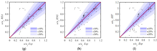
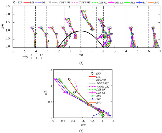
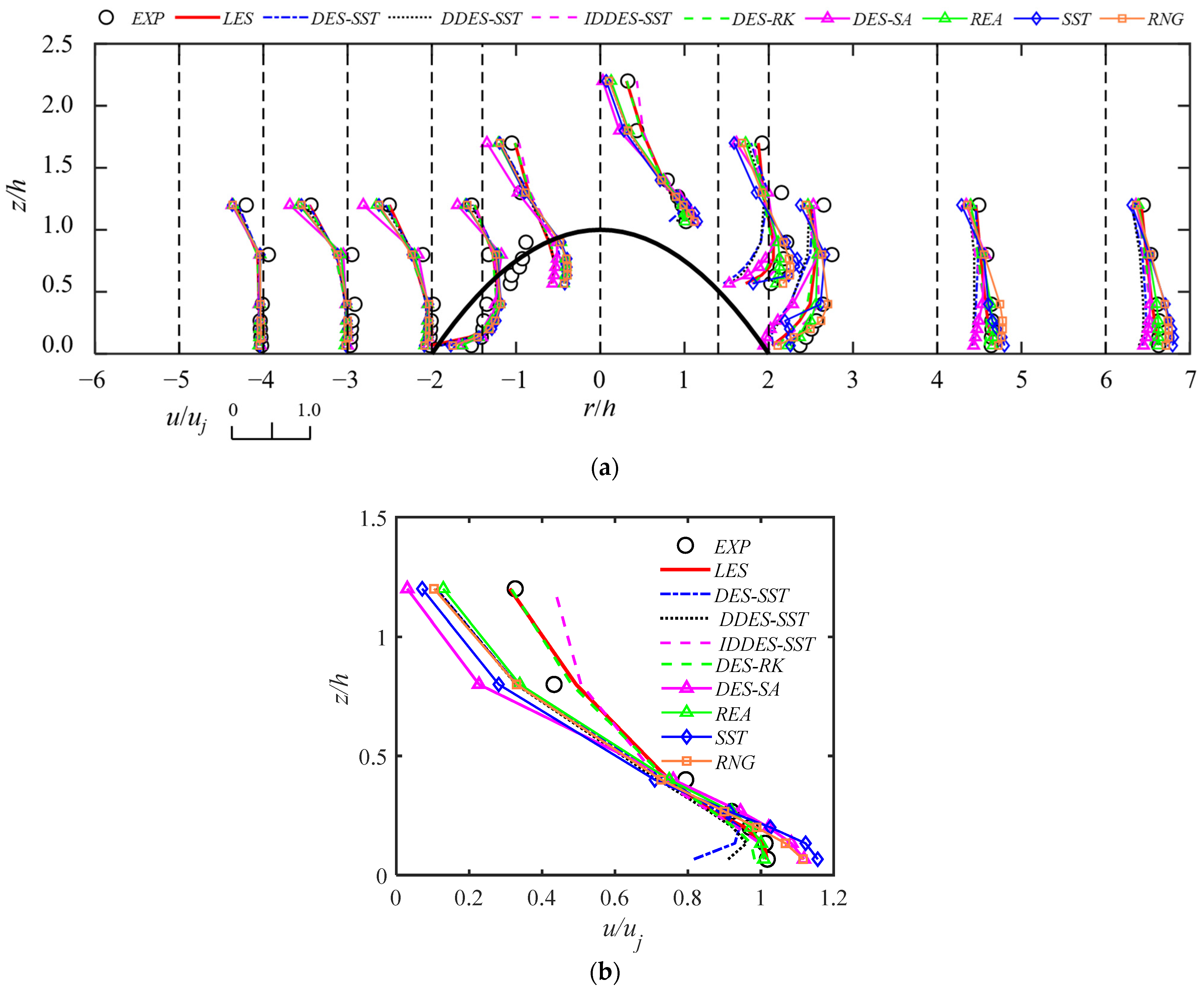
3.1. Comparison of Mean Wind Fields with Different Turbulence Models
3.2. Structural Characteristics of Transient Wind Fields with Different Turbulence Models
3.3. Flow Separation of Hill
4. Conclusions
- (1)
- For the mean wind field over the 3D hill model, the CFD numerical simulation method can simulate the wind field characteristics of the downburst. The results of the LES model, the DES-RK model, and the REA model are more accurate than other models, and the proportion of errors within 30% is as high as 80%. Furthermore, the simulation effect of each turbulence model is REA ≈ LES > DES.
- (2)
- By comparing the fluctuating wind speed, it was found that the simulation performance of each turbulence model in the transient wind field was ranked as follows: LES > DES. When comparing flow separation at the same time, it was found that the flow separation obtained by the DES-SST, DDES-SST, and IDDES-SST models showed little difference. The ring vortex structure simulated by the LES model underwent flow separation earlier than other models, and the vortex structure was more discrete when flowing over the hill model. Additionally, the vortex shedding position from the DES-RK turbulence model was concentrated near the wall, and the interaction between the main vortex and secondary vortex did not develop along the vertical height.
- (3)
- By comparing the development processes of downbursts in flatlands and hills, it has been found that the main stages of development are the same. The maximum wind speed is achieved through the interaction between the primary ring vortex structure and the rising counter-rotating secondary vortex structure. The key difference is that the presence of a hill causes the separation position of the secondary vortex to rise, resulting in a noticeable acceleration effect at the hilltop.
- (4)
- Using the LES turbulence model, flow characteristics were analyzed based on 3D hill models, Quad-D176-H075 and Quad-D300-H075. The velocity contour of the first four modes was analyzed using the POD method. The results indicate that the acceleration effect at the hilltop may be related to the first-order mode.
Author Contributions
Funding
Institutional Review Board Statement
Informed Consent Statement
Data Availability Statement
Conflicts of Interest
References
- Fujita, T.T. The Downburst: Microburst and Microburst: Report of Projects NIMROD and JAWS; Satellite and Mesometeorology Research Project, Department of the Geophysical Sciences, University of Chicago: Chicago, IL, USA, 1985. [Google Scholar]
- Zhong, Y.; Li, S.; Yan, Z.; Liu, X.; Luo, J.; Jin, W. Study on Stability of Transmission Tower-Line System under a Downburst. Buildings 2022, 12, 1338. [Google Scholar] [CrossRef]
- Abd-Elaal, E.S.; Mills, J.E.; Ma, X. A review of transmission line systems under downburst wind loads. J. Wind. Eng. Ind. Aerodyn. 2018, 179, 503–513. [Google Scholar] [CrossRef]
- Abd-Elaal, E.S.; Mills, J.E.; Ma, X. Numerical simulation of downburst wind flow over real topography. J. Wind. Eng. Ind. Aerodyn. 2018, 172, 85–95. [Google Scholar] [CrossRef]
- Yan, B.; Yuan, Y.; Ma, C.; Dong, Z.; Huang, H.; Wang, Z. Modeling of downburst outflows and wind pressures on a high-rise building under different terrain conditions. J. Build. Eng. 2022, 48, 103738. [Google Scholar] [CrossRef]
- Romanic, D.; Taszarek, M.; Brooks, H. Convective environments leading to microburst, macroburst and downburst events across the United States. Weather. Clim. Extrem. 2022, 37, 100474. [Google Scholar] [CrossRef]
- Zhang, S.; Yang, Q.; Solari, G.; Li, B.; Huang, G. Characteristics of thunderstorm outflows in Beijing urban area. J. Wind. Eng. Ind. Aerodyn. 2019, 195, 104011. [Google Scholar] [CrossRef]
- Canepa, F.; Burlando, M.; Solari, G. Vertical profile characteristics of thunderstorm outflows. J. Wind. Eng. Ind. Aerodyn. 2020, 206, 104332. [Google Scholar] [CrossRef]
- Wang, X.; Wang, H.; He, J.; Shi, Z.; Xie, C. Automated Recognition of Macro Downburst Using Doppler Weather Radar. Atmosphere 2022, 13, 672. [Google Scholar] [CrossRef]
- Gaetano, P.D.; Repetto, M.P.; Repetto, T.; Solari, G. Separation and classification of extreme wind events from anemometric records. J. Wind. Eng. Ind. Aerodyn. 2014, 126, 132–143. [Google Scholar] [CrossRef]
- Solari, G.; Burlando, M.; Gaetano, P.D.; Repetto, M.P. Characteristics of thunderstorms relevant to the wind loading of structures. Wind. Struct. 2015, 20, 763–791. [Google Scholar] [CrossRef]
- Wilson, J.W.; Roberts, R.; Kessinger, C.J.; McCarthy, J. Microburst Wind Structure and Evaluation of Doppler Radar for Airport Wind Shear Detection. J. Appl. Meteorol. 1984, 23, 898–915. [Google Scholar] [CrossRef]
- Hjelmfelt, M.R. Structure and Life Cycle of Microburst Outflows Observed in Colorado. J. Appl. Meteorol. 1988, 27, 900–927. [Google Scholar] [CrossRef]
- Fang, Z.; Wang, Z.; Li, Z.; Yan, J.; Huang, H. Wind field characteristics of stationary and moving downbursts based on the test of impinging jet with a movable nozzle. J. Wind. Eng. Ind. Aerodyn. 2023, 232, 105266. [Google Scholar] [CrossRef]
- Letchford, C.W.; Illidge, G.C. Turbulence and topographic effects in simulated thunderstorm downdrafts by wind tunnel jet. In Proceedings of the Wind Engineering into the 21th Centur, Copenhagan, Denmark, 21–24 July 1999. [Google Scholar]
- Mejia, A.D.; Elawady, A.; Vutukuru, K.S.; Chen, D.; Chowdhury, A.G. Examination of different wall jet and impinging jet concepts to produce large-scale downburst outflow. Front. Built Environ. 2022, 8, 980617. [Google Scholar] [CrossRef]
- Chen, Y.; Li, Y.; Yao, J.; Shen, G.; Lou, W.; Xu, H.; Guo, Y. Experimental Study of Downburst Wind Flow over a Typical Three-Dimensional Hill. Appl. Sci. 2022, 12, 3101. [Google Scholar] [CrossRef]
- Khan, A.; Shah, I.; Aziz, S.; Waqas, M.; Zaman, U.K.u.; Jung, D.-W. Numerical and Experimental Analysis of Drag and Lift Forces on a Bullet Head. Aerospace 2022, 9, 816. [Google Scholar] [CrossRef]
- Aziz, S.; Khan, A.; Shah, I.; Khan, T.A.; Ali, Y.; Sohail, M.U.; Rashid, B.; Jung, D.W. Computational Fluid Dynamics and Experimental Analysis of a Wind Turbine Blade’s Frontal Section with and without Arrays of Dimpled Structures. Energies 2022, 15, 7108. [Google Scholar] [CrossRef]
- Kim, J.; Hangan, H. Numerical simulations of impinging jets with application to downbursts. J. Wind. Eng. Ind. Aerodyn. 2007, 95, 279–298. [Google Scholar] [CrossRef]
- Qu, W.; Ji, B. Numerical study on formation and diffusion wind fields for thunderstorm microburst. In Proceedings of the 2010 International Conference on Mechanic Automation and Control Engineering, Wuhan, China, 26–28 June 2010. [Google Scholar]
- Aboshosha, H.; Bitsuamlak, G.T.; Damatty, A.A. Turbulence characterization of downbursts using LES. J. Wind. Eng. Ind. Aerodyn. 2015, 136, 44–61. [Google Scholar] [CrossRef]
- Sengupta, A.; Sarkar, P.P. Experimental measurement and numerical simulation of an impinging jet with application to thunderstorm microburst winds. J. Wind. Eng. Ind. Aerodyn. 2008, 96, 345–365. [Google Scholar] [CrossRef]
- Haines, M.; Taylor, I.J. The turbulence modelling of a pulsed impinging jet using LES and a divergence free mass flux corrected turbulent inlet. J. Wind. Eng. Ind. Aerodyn. 2019, 188, 338–364. [Google Scholar] [CrossRef]
- Khayrullina, A.; van Hooff, T.; Blocken, B.; van Heijst, G.J. Validation of steady RANS modelling of isothermal plane turbulent impinging jets at moderate Reynolds numbers. Eur. J. Mech. B Fluids 2019, 75, 228–243. [Google Scholar] [CrossRef]
- Žužul, J.; Ricci, A.; Burlando, M.; Blocken, B.; Solari, G. CFD analysis of the WindEEE dome produced downburst-like winds. J. Wind. Eng. Ind. Aerodyn. 2023, 232, 105268. [Google Scholar] [CrossRef]
- Selvam, R.P.; Holmes, J.D. Numerical simulation of thunderstorm downdrafts. J. Wind. Eng. Ind. Aerodyn. 1992, 44, 2817–2825. [Google Scholar] [CrossRef]
- Wood, G.S.; Kwok, K.C.; Motteram, N.A.; Fletcher, D.F. Physical and numerical modelling of thunderstorm downbursts. J. Wind. Eng. Ind. Aerodyn. 2001, 89, 535–552. [Google Scholar] [CrossRef]
- Mason, M.S.; Wood, G.S.; Fletcher, D.F. Impinging jet simulation of stationary downburst flow over topography. Wind. Struct. 2007, 10, 437–462. [Google Scholar] [CrossRef]
- Mason, M.S.; Wood, G.S.; Fletcher, D.F. Numerical investigation of the influence of topography on simulated downburst wind fields. J. Wind. Eng. Ind. Aerodyn. 2010, 98, 21–33. [Google Scholar] [CrossRef]
- Yan, B.; He, Y.; Ma, C.; Cheng, X. Semiempirical Models of Speedup Effect for Downburst Wind Field over 3-D Hills. Atmosphere 2023, 14, 694. [Google Scholar] [CrossRef]
- Yakhot, V.; Orszag, S.A. Renormalization group analysis of turbulence. I. Basic theory. J. Sci. Comput. 1986, 1, 3–51. [Google Scholar] [CrossRef]
- Shih, T.H.; Liou, W.W.; Shabbir, A.H.; Yang, Z.; Zhu, J.J. A new k-ε eddy viscosity model for high Reynolds number turbulent flows: Model development and validation. Comput. Fluids 1995, 24, 227–238. [Google Scholar] [CrossRef]
- Menter, F.R. Two-equation eddy-viscosity turbulence models for engineering applications. AIAA J. 1994, 32, 1598–1605. [Google Scholar] [CrossRef]
- Smagorinsky, J. General circulation experiments with the primitive equations. Mon. Weather. Rev. 1963, 91, 99–164. [Google Scholar] [CrossRef]
- Spalart, P.R.; Jou, W.H.; Strelets, M.; Allmaras, S.R. Comments on the feasibility of LES for winds, and on a hybrid RANS/LES approach. In Advances in DNS/LES, Proceedings of the First AFOSR International Conference on DNS/LES, Ruston, LA, USA, 4–8 August 1997; Greyden Press: Dayton, OH, USA, 1997. [Google Scholar]
- Shur, M.L.; Spalart, P.R.; Strelets, M.; Travin, A.K. A hybrid RANS-LES approach with delayed-DES and wall-modeled LES capabilities. Int. J. Heat Fluid Flow 2008, 29, 1638–1649. [Google Scholar] [CrossRef]

























| Position | Boundary Conditions | |
|---|---|---|
| Inlet | Velocity inlet | Inlet wind velocity uj = 10 m/s Turbulence intensity = 1% Inlet diameter D = 600 mm |
| Outlet and top | Pressure outlet | Turbulence intensity = 1% |
| Sides | Symmetry | |
| Bottom | No-slip wall | |
| Wall | No-slip wall | |
| Turbulence Model | Number of Grids (×106) | First Layer Grid (m) | Y+ |
|---|---|---|---|
| SST | 5.6 | 0.002 | 40 |
| RNG | 5.6 | 0.002 | 40 |
| REA | 5.6 | 0.002 | 40 |
| LES | 8.3 | 0.0005 | 10 |
| DES-SA | 8.3 | 0.0005 | 10 |
| DES-RK | 8.3 | 0.0005 | 10 |
| DES-SST | 8.3 | 0.0005 | 10 |
| DDES-SST | 8.3 | 0.0005 | 10 |
| IDDES-SST | 8.3 | 0.0005 | 10 |
| Error | LES | DES-SST | DDES-SST | IDDES-SST | DES-RK | DES-SA | REA | SST | RNG |
|---|---|---|---|---|---|---|---|---|---|
| 10% | 50% | 31.43% | 28.57% | 44.29% | 41.43% | 38.57% | 57.14% | 38.57% | 40% |
| 20% | 71.43% | 50% | 45.71% | 74.29% | 70% | 51.43% | 75.71% | 54.29% | 70% |
| 30% | 84.29% | 64.29% | 61.43% | 81.43% | 81.43% | 67.14% | 85.71% | 71.43% | 81.43% |
| MNB | −3% | −15.94% | −15.86% | −2.83% | −3.85% | −13.47% | 2.04% | 2.95% | 5.94% |
| References | Turbulent Model | Research Content | |
|---|---|---|---|
| Flatlands | Qu and Ji [21] | RSM | The maximum wind velocity phenomenon. |
| Aboshosha et al. [22] | LES |
| |
| Sengupta and Sarkar [23] | Standard k-ε, renormalization group k-ε (RNG), realizable k-ε, shear stress transport k-ω (SST), RSM, and LES | Comparison of simulation effects of turbulence models. | |
| Haines and Taylor [24] | IDDES k-ω, SST, Scale Adaptive Simulation (SAS), and LES | Comparison of simulation effects of turbulence models. | |
| Khayrullina et al. [25] | Standard k-ε, REA, RNG, SST, and RSM | Comparison of simulation effects of turbulence models. | |
| Žužul et al. [26] | Unsteady RANS (standard k-ε, REA, RNG, standard k-ω, and SST) and SAS. |
| |
| Terrain | Wood et al. [28] | Differential Reynolds stress model (DSM) and k-ε model | Acceleration phenomenon at the crest of the embankment. |
| Mason et al. [30] | / | The influence that topographic features have on the near-ground wind structure of a downburst. | |
| Abd-Elaal et al. [4] | DES | The profiles of downburst wind speeds as they pass over real topography, and the consequent changes in horizontal and vertical downburst wind speeds. | |
| Yan et al. [31] | REA, RNG, and SST |
| |
| This paper | LES, DES-SA, DES-RK, DES-SST, DDES-SST, IDDES-SST, REA, RNG, and SST |
|
Disclaimer/Publisher’s Note: The statements, opinions and data contained in all publications are solely those of the individual author(s) and contributor(s) and not of MDPI and/or the editor(s). MDPI and/or the editor(s) disclaim responsibility for any injury to people or property resulting from any ideas, methods, instructions or products referred to in the content. |
© 2023 by the authors. Licensee MDPI, Basel, Switzerland. This article is an open access article distributed under the terms and conditions of the Creative Commons Attribution (CC BY) license (https://creativecommons.org/licenses/by/4.0/).
Share and Cite
Yan, B.; Shen, R.; Ma, C.; Cheng, X.; Huang, G.; Yan, Z.; Li, X.; Zhang, Z. Numerical Study of the Flow Characteristics of Downburst-like Wind over the 3D Hill Using Different Turbulence Models. Appl. Sci. 2023, 13, 7098. https://doi.org/10.3390/app13127098
Yan B, Shen R, Ma C, Cheng X, Huang G, Yan Z, Li X, Zhang Z. Numerical Study of the Flow Characteristics of Downburst-like Wind over the 3D Hill Using Different Turbulence Models. Applied Sciences. 2023; 13(12):7098. https://doi.org/10.3390/app13127098
Chicago/Turabian StyleYan, Bowen, Ruifang Shen, Chenyan Ma, Xu Cheng, Guoqing Huang, Zhitao Yan, Xiao Li, and Zhigang Zhang. 2023. "Numerical Study of the Flow Characteristics of Downburst-like Wind over the 3D Hill Using Different Turbulence Models" Applied Sciences 13, no. 12: 7098. https://doi.org/10.3390/app13127098
APA StyleYan, B., Shen, R., Ma, C., Cheng, X., Huang, G., Yan, Z., Li, X., & Zhang, Z. (2023). Numerical Study of the Flow Characteristics of Downburst-like Wind over the 3D Hill Using Different Turbulence Models. Applied Sciences, 13(12), 7098. https://doi.org/10.3390/app13127098

