Next Article in Journal
Distribution and Evolution Law of Void Fraction in the Goaf of Longwall Mining in a Coal Mine: Calculation Method and Numerical Simulation Verification
Previous Article in Journal
From Discourse Relations to Network Edges: A Network Theory Approach to Discourse Analysis
 
 
Font Type:
Arial Georgia Verdana
Font Size:
Aa Aa Aa
Line Spacing:
Column Width:
Background:
Article

Quadrotor Cascade Control System Design Based on Linear Active Disturbance Rejection Control

College of Automation and Electronic Engineering, Qingdao University of Science and Technology, Qingdao 266061, China
*
Author to whom correspondence should be addressed.
Appl. Sci. 2023, 13(12), 6904; https://doi.org/10.3390/app13126904
Submission received: 23 April 2023 / Revised: 25 May 2023 / Accepted: 31 May 2023 / Published: 7 June 2023

Abstract

:
In this paper, we propose a cascade control system design based on linear active disturbance rejection control (SMC&A-LADRC) to address the following quadrotor UAV problems: that the path is easily yawed when disturbed, the control parameters are difficult to optimize, and the tracking accuracy is low. The strategy can effectively eliminate external disturbances and adjust the controller parameters online so that the quadrotor UAV always flies on the optimal path to achieve energy optimization and long-endurance flight. The proposed cascade control system combines the advantages of sliding mode control (SMC) and linear active-disturbance rejection control (LADRC), using the linear extended state observer (LESO) to estimate the uncertain external disturbances and unmodeled internal dynamics of the quadrotor system, compensate for the uncertain signals under SMC chattering, optimize the PD controller parameters online using adaptive control to eliminate the effects of parameter deviations, and simplify the parameter adjustment process. Finally, a stability analysis of the quadrotor cascade control system is carried out by using the Lyapunov theorem of stability, and a simulation analysis is carried out using MATLAB to compare the results with those obtained with classical LADRC. The test results indicate that the control strategy of this paper is reasonable for utilization with a quadrotor attitude and displacement control system, allowing the quadrotor to fly on the optimal path with good anti-interference ability and a fast response speed.

1. Introduction

Compared with traditional fixed-wing UAVs [1], quadrotor UAVs have become more popular in recent years. Because quadrotor UAVs have the advantages of low cost, a small size, and strong anti-interference, they are used in the fields of detection and survey [2], disaster rescue [3], traffic monitoring [4], the military [5], and news reporting [6]. They can take the place of people to perform difficult and dangerous tasks, and are gradually showing great application potential in the civil and military fields [7].
The quadrotor is a complex system with multiple degrees of freedom, strong coupling, and an underdrive that requires high control accuracy as it is susceptible to gusts of wind, air friction, and perturbations within the UAV [8] when performing missions. Problems such as yawing and loss of control can occur, affecting the progress of the mission and the safety of people. Furthermore, the application of quadrotors in various fields is becoming more finely segmented, which causes problems such as shorter flight times. Thus, how to control the smooth flight of quadrotor UAVs and achieve a longer range with the original accessories [9] has become a hot topic of discussion nowadays.
In order to adapt to the specific needs of quadrotor UAV control performance, many intelligent control schemes have been proposed for quadrotor UAVs at home and abroad, such as fuzzy PID control [10], neural networks [11], adaptive control [12], LQR [13], ADRC [14], SMC [15], etc. PID control algorithms are widely used in industrial production because of their simplicity, few adjustable parameters, and low dependence on accurate models. Reference [16] proposed a controller parameter that uses a multi-objective particle swarm optimization (PSO) algorithm to improve PID performance and adjusts the PID online to solve the problems of system instability, slow response, and error tracking due to parameter deviations. In reference [17], a novel adaptive neural network-based controller was proposed that does not require knowledge of the system parameters and achieves online updating of the output weight matrix, which can effectively eliminate the bias caused by the parameter uncertainty of the inner loop. Reference [18] proposed an adaptive fuzzy tracking control scheme, which applies a nonlinear disturbance observer to compensate for the external disturbances and the approximation error of the fuzzy logic system, and in most cases, adaptive control is mostly applied to identify the quadrotor dynamics and external disturbances online or to design robust controllers in combination with other control techniques [19]. The LQR controller [20] is able to track the desired position and attitude trajectory and the spiral trajectory well, and this strategy is able to compensate for the effect of the load on the control system dynamics. LADRC [21] has a good tracking capability and anti-interference capability, and can treat external disturbances as well as internal uncertainties as a total disturbance by LESO and compensate for them with a PD controller, but it has too many adjustment parameters and a limited ability to handle external disturbances. Reference [22] proposed a modified terminal-sliding mode controller, which is a strategy with a time-varying delayed output observer that allows the quadrotor UAV to operate smoothly for a limited period of time. In references [23,24], an improved LADRC controller was proposed to improve the dynamic capability of the distribution network under various grid defect scenarios. In summary, conventional control methods are subject to internal uncertainties, unmodeled parts, and external nonlinear disturbances that can lead to poor control performance and make it difficult to design controllers due to the complexity of the quadrotor itself. In addition to their own shortcomings, the control methods described above cannot simultaneously take into account internal parameter uncertainties by coupling between quadrotor control channels, wind disturbances, and other nonlinear disturbances, and can only deal with one or two disturbances; thus, further research is needed.
If the quadrotor is disturbed, the goal is for it to continue to fly on the optimal path [25] to reach the desired position using the shortest path and to obtain a longer endurance based on the original energy. Combining the advantages of the above control schemes, this paper utilizes LADRC and SMC to design a simple and more robust quadrotor cascade control scheme for quadrotor UAVs with long endurance. The contributions of this paper are outlined as follows:
First, when the quadrotor UAV is in flight, external disturbances, internal disturbances, and controller parameter deviations can all affect its smooth operation. LADRC can effectively estimate the internal and external disturbances of the system, but there are many adjustable parameters; therefore, we introduce adaptive control to adjust the PD controller parameters online according to the input and output of the system. This adaptive LADRC-based quadrotor UAV control system can effectively compensate for the tracking error caused by the controller parameters and make the control system more robust.
Secondly, this paper proposes a cascade control system design based on linear active disturbance rejection control with sliding film control as the outer loop of the control system and adaptive control-based LADRC as the inner loop of the control system. This strategy, by introducing SMC, can effectively improve the robustness of the controller and accelerate the response speed. The position control channels of the quadrotor system are controlled by independent SMC&A-LADRC. This strategy can effectively suppress the external interference of the quadrotor, overcome the shortcomings of low LADRC tracking accuracy, and realize the quadrotor UAV flying with the optimal path to achieve long endurance flight.
Third, LESO can estimate and compensate for the total disturbance of the quadrotor system in real time. We treat the chattering caused by SMC as disturbance, observe it in real time by LSEO, and then compensate for it by PD controller to further improve the robustness of SMC&A-LADRC. The control scheme combines the advantages of both, uses LESO to solve the problem of chattering in SMC, and applies it to the position control channel, so that the quadrotor still follows the desired trajectory when disturbed, and achieves the purpose of an optimal flight path.
The structural framework of this paper is presented as follows: Section 2 presents a six-degrees-of-freedom quadrotor UAV dynamics model. Section 3 proposes a LADRC-based tandem control scheme for the quadrotor system and proves the stability of the system by Lyapunov theorem of stability. Section 4 simulates and analyzes the control strategy proposed in this paper and tests the trajectory tracking of the quadrotor UAV under different conditions. Finally, Section 5 provides a detailed summary of this paper.

2. Mathematical Models

The quadrotor UAV is a system with six-degrees-of-freedom driven by four motors, and its translational and rotational motions are achieved through motor speed regulation. x , y and z are used to control the position channel of the quadrotor; θ , ϕ and ψ are used to control the attitude channel of the quadrotor. In order to obtain an accurate quadrotor dynamics model [26], the internal friction of the airframe is neglected, the quadrotor is considered as a rigid structure, the earth coordinate system O Y : O Y X Y Y Y Z Y and the airframe coordinate system O R : O R X R Y R Z R are established, and the structure diagram and reference coordinate system of the quadrotor are shown in Figure 1.
The transformation relationship of the quadrotor from the Earth coordinate system O Y : O Y X Y Y Y Z Y to the airframe coordinate system O R : O R X R Y R Z R is expressed in terms of the attitude matrix O Q [27] as:
O Q = Q 1 Q 2 Q 3 = cos θ cos ψ sin θ sin ϕ cos ψ sin ϕ sin ϕ sin θ cos ϕ cos ψ + sin ψ sin ϕ cos θ sin ψ sin θ sin ϕ sin ψ + cos ψ cos ϕ sin θ sin ψ cos ϕ cos ϕ cos ψ sin θ sin φ cos θ cos ϕ cos θ
We introduce T 1 , T 2 , T 3 and T 4 to denote the lift generated by the four motors; therefore, the flight dynamics of the quadrotor can be expressed as:
T r = T X r T Y r T Z r = 0 0 T 1 + T 2 + T 3 + T 4
In the fuselage coordinate system O R : O R X R Y R Z R , bringing in the rotation matrix and associating Equations (1) and (3), the lift of the quadrotor can be expressed as:
T q = T X q T Y q T Z q = O Q T r
In the Earth coordinate system O Y : O Y X Y Y Y Z Y , the mathematical model of the position channel is expressed as:
m x ¨ = T X q J s x ˙ m y ¨ = T Y q J s y ˙ m z ¨ = T Z q m g J s z ˙
where J s indicates the torque coefficient; m represents the mass of the quadrotor; g represents the acceleration of gravity.
Further, the channels for attitude control can be expressed as:
θ ¨ = c T 1 + T 2 + T 3 T 4 J s θ ˙ / h 1 + h 3 h 1 φ ˙ ψ ˙ / h 2 φ ¨ = c T 1 + T 2 + T 3 T 4 J s φ ˙ / h 2 + h 2 h 3 θ ˙ ψ ˙ / h 1 ψ ¨ = J f T 1 + T 2 T 3 + T 4 J s ψ ˙ / h 3 + h 1 h 2 θ ˙ φ ˙ / h 3
where h 1 , h 2 , and h 3 express the rotational inertia of the x , y and z -axis, respectively; J f is the coefficient of air resistance; c is the distance between aircraft center and rotor center.
For the convenience of the study, we introduce the dummy variable Γ i to replace T i and the dummy variable Γ x , Γ y , Γ z to simplify the mathematical model of the quadrotor position motion.
where i = 1 , 2 , 3 , 4 , the intermediate variables of the simplified model are expressed as:
Γ 1 Γ 2 Γ 3 Γ 4 = 1 / m 1 / m 1 / m 1 / m c / h 2 c / h 2 c / h 2 c / h 2 c / h 1 c / h 1 c / h 1 c / h 1 l o / p 3 l o / h 3 l o / h 3 l o / h 3 T 1 T 2 T 3 T 4
Γ x Γ y Γ z = i = 1 4 T i m × sin θ cos ϕ cos ψ + sin ψ sin ϕ sin θ sin ψ cos ϕ cos ϕ cos ψ cos ϕ cos θ
From Equations (4)–(7), the mathematical model of the quadrotor is obtained as:
x ¨ = Γ x l s x ˙ / m y ¨ = Γ y l s y ˙ / m z ¨ = Γ z m g l s z ˙ / m θ ¨ = Γ 2 l s θ ˙ / h 2 + h 3 h 1 φ ˙ ψ ˙ / h 2 ϕ ¨ = Γ 3 l s ϕ ˙ / h 1 + h 2 h 3 θ ˙ ψ ˙ / h 1 ψ ¨ = Γ 4 l s ψ ˙ / h 3 + h 1 h 2 θ ˙ ϕ ˙ / h 3
where
Γ 1 = Γ z cos ϕ cos θ
θ = arctan Γ x cos ψ + Γ y sin ψ Γ z
ϕ = arctan cos θ Γ x cos ψ Γ y sin ψ Γ z

3. Controller Design

This paper presents the overall design of a quadrotor position control system and the design of a cascade control method for quadrotor based on SMC and LADRC. The mathematical model of the quadrotor system is non-linear and strongly coupled. LADRC can decouple the channels of the control system well, but when subjected to external disturbances, LADRC cannot satisfy the quadrotor UAV’s need to fly by an optimal route. Therefore, we consider Adaptive Linear Active Disturbance Rejection Control (Adaptive-LADRC) as the inner loop and SMC as the outer loop to design a cascade control system (SMC&Adaptive-LADRC) for the quadrotor UAV to suppress external disturbances, so that the quadrotor is in the optimal flight path and achieves energy optimization. Each degree of freedom of the quadrotor system is controlled by an independent controller, and its structure is shown schematically in Figure 2.
The purpose of this paper is to design a cascade control scheme for a quadrotor system, so that the quadrotor UAV can always maintain the optimal flight path in the flight state and achieve energy optimization. Based on the classical LADRC, we introduce adaptive control to optimize the PD controller parameters, and in the outer loop, we use sliding mode control to remove the processing of outside disturbances and internal disturbances of the quadrotor. The SMC&A-LADRC structure diagram is shown in Figure 3.

3.1. Outer-Loop Sliding Mode Control

The SMC algorithm is easy to implement, insensitive to disturbance, with a fast response, etc. Under certain conditions, it can rise up and down with small amplitude along the specified state trajectory, so SMC has a good robust performance. LESO solves the problem of jitter in SMC by observing the error of the system and treating the chattering of SMC as interference, which is compensated off by the sliding mode external loop control.
In the mathematical model of the position channel, the tracking error is defined as:
δ 1 = z 1 u d
where u d is the expected signal of the system. z 1 is the real-time estimation of the state u of the quadrotor control system by LESO.
The design of the sliding surface [28] is shown below:
S I = α 1 δ 1 + δ 2 δ ˙ 1 = δ 2
where I = x , y , z , θ , ϕ , ψ represents six channels of quadrotor; α 1 is an adjustable parameter.
Derivation of the designed sliding surface gives:
S ˙ I = α 1 δ ˙ 1 + δ ˙ 2
The commonly used convergence rates are equal convergence rate, exponential convergence rate, power convergence rate, and general convergence rate. When selecting the convergence rate, the dynamic quality of the convergence motion can be guaranteed by using a suitable control method.
S ˙ I = λ sgn s η s
where λ > 0 , η > 0 .
Combining Equations (14) and (15) it is shown:
S ˙ I = α 1 δ ˙ 1 + z ¨ 1 u ¨ d = α 1 δ ˙ 1 + z 3 + b 0 v u ¨ d
where z 1 , z 2 , z 3 are the LESO implementation estimate of the state of the quadrotor system; b 0 is an adjustable parameter; considering Equation (16), the design of the outer loop control rate of the sliding mode is shown as follows:
u I = α 1 δ 1 α 2 δ ˙ 1 z 3 + u ¨ d
where α 1 , α 2 are an adjustable parameter. When suitable parameters are chosen, the tracking error δ 1 can be shown to converge, ensuring that the actual signal can be accurately tracked for the given signal.

3.2. Adaptive LADRC Inner Loop Control

LESO is the core part of self immunity to perturbations, for estimating the total perturbation, taking internal and external perturbations and uncertainties as the state variables of the system. Defining z = z 1 z 2 z 3 T to estimate the total perturbation of the quadrotor system of the system gives:
z ˙ = H 1 z + H 2 u + H 3 l y = H 4 z
where H 1 = 0 1 0 0 0 1 0 0 0 , H 2 = 0 b 0 0 , H 3 = 0 0 1 , H 4 = 1 0 0 .
z ˙ = H 1 z + H 2 u + ϖ y y ^ y ^ = H 4 z
where ϖ = 3 τ 0 3 τ 0 2 τ 0 3 T , τ 0 is the bandwidth of LESO. Parameterizing the gain of the observer through the characteristic equation gives:
η s = s + τ 3 = s 3 + τ 1 s 2 + τ 2 s + τ 3
Thus, LESO [29] can be defined as:
z ^ 1 = s ^ 1 z ^ 2 = s ^ 2 z ^ 3 = u
Further, the LADRC control rate is defined as:
M = M 0 z ^ 3 / b 0
where
M 0 = K p u I z ^ 1 + K d u ˙ d z ^ 2
Define a control rate as follows:
χ ˙ = K p u I z ^ 1 + K d u ˙ d z ^ 2 β χ
Remark 1.
In most cases, we use the empirical test method to adjust the parameters of LADRC. In this paper,  τ  is the bandwidth of LESO, which determines the tracking speed of LESO. The larger the  τ , the higher the accuracy of LESO estimation, but too much  τ  will introduce high frequency noise.  b 0  is the disturbance compensation, the larger the  b 0 , the greater the disturbance resistance. Usually, good control is obtained by making  τ = 50 ,   b 0 = 1 . For the two parameters  K p  and  K d  of PD controller, usually we first make  K d = 1  and gradually increase  K p  to obtain the desired response time before adjusting  K d .
To improve the robustness of the control system, we introduce adaptive control to optimize the parameters K p and K d of the PD controller, which also presents a novel approach for proving the stability of the controller.
Theorem 1.
Assuming that each signal in the system is bounded and the tracking error converges to zero, the following adaptive rate is used to make the system stable considering the nonlinear system in this paper.
K ^ ˙ p = ϑ p χ K p u I z 1 / K ˜ p
K ^ ˙ d = ϑ d χ K d u ˙ d z 2 / K ˜ d
To solve the problem that the adaptive rate will have zero points, the adaptive rate is rewritten as:
K ^ p = 0 T ϑ p χ K p u I z 1 / k ˜ p d t + K p 0
K ^ d = 0 T ϑ d χ K d u d z 2 / k ˜ d d t + K d 0
where  K ^ p and K ^ d  as estimates of PD controller gain,  ϑ p , ϑ d , χ  are the appropriate parameters.
Remark 2.
Usually, researchers adjust the gain  K p  and  K d  of the PD controller online by an empirical trial-and-error method, but online adjustment is difficult and may lead to deviations in parameter selection and thus tracking errors. The quadrotor is susceptible to internal and external disturbances during operation, which leads to system instability. Therefore, this paper adopts an adaptive control method to adjust the gain  K p  and  K d  of the PD controller in time, which compensates the tracking error caused by the deviation and disturbance of the controller parameters, enhances the robustness of the controller, and also contributes to the stability of the position control and attitude control of the whole quadrotor UAV through adaptive control.
Proof of Theorem 1.
Define a positive definite Lyapunov function as follows:
V t = 1 2 S I 2 + 1 2 χ 2 + 1 2 K ˜ p ϑ p 1 K ˜ p + 1 2 K ˜ d ϑ d 1 K ˜ d
Derivation of Equation (29) gives:
V ˙ t = S I S ˙ I + χ χ ˙ + K ˜ p ϑ p 1 K ˜ ˙ p + K ˜ d ϑ d 1 K ˜ ˙ d
Bringing Equations (14) and (24) into Equation (30) gives:
V ˙ t = S I α 1 δ ˙ 1 + δ ˙ 2 + χ K p u I z ^ 1 + K d u d z ^ 2 β χ + K ˜ p ϑ p 1 K ˜ ˙ p + K ˜ d ϑ d 1 K ˜ ˙ d = S I α 1 δ ˙ 1 + δ ˙ 2 + χ K p u I z ^ 1 + χ K d u d z ^ 2 β χ 2 + K ˜ p ϑ p 1 K ˜ ˙ p + K ˜ d ϑ d 1 K ˜ ˙ d = S I α 1 δ ˙ 1 + z ¨ 1 u ¨ d + χ K p u I z ^ 1 + χ K d u d z ^ 2 β χ 2 + K ˜ p ϑ p 1 K ˜ ˙ p + K ˜ d ϑ d 1 K ˜ ˙ d = S I α 1 δ ˙ 1 + z 3 + u I u ¨ d + χ K p u I z ^ 1 + χ K d u d z ^ 2 β χ 2 + K ˜ p ϑ p 1 K ˜ ˙ p + K ˜ d ϑ d 1 K ˜ ˙ d
Bringing Equation (17) into (31) gives:
V ˙ t = S I α 1 δ ˙ 1 + z 3 α 1 δ 1 α 2 δ ˙ 1 z 3 + u ¨ d u ¨ d + χ K p u I z ^ 1 + χ K d u d z ^ 2 β χ 2 + K ˜ p ϑ p 1 K ˜ ˙ p + K ˜ d ϑ d 1 K ˜ ˙ d = α 1 S I 2 + χ K p u I z ^ 1 + χ K d u d z ^ 2 β χ 2 + K ˜ p ϑ p 1 K ˜ ˙ p + K ˜ d ϑ d 1 K ˜ ˙ d α 1 S I 2 + χ K p u I z ^ 1 + χ K d u d z ^ 2 β χ 2 K ˜ p ϑ p 1 K ˜ ˙ p K ˜ d ϑ d 1 K ˜ ˙ d
Bringing Equations (25) and (26) into (32) gives:
V ˙ t α 1 S I 2 + χ K p u I z ^ 1 + χ K d u d z ^ 2 β χ 2 K ˜ p ϑ p 1 ϑ p χ K p u I z 1 / K ˜ p K ˜ d ϑ d 1 ϑ d χ K d u ˙ d z 2 / K ˜ d α 1 S I 2 + χ K p u I z ^ 1 + χ K d u d z ^ 2 β χ 2 χ K p u I z 1 χ K d u ˙ d z 2 α 1 S I 2 + χ K p u I z ^ 1 + χ K d u d z ^ 2 β χ 2 χ K p u I z 1 χ K d u ˙ d z 2 α 1 S I 2 β χ 2
where α 1 , β are positive parameters, so that we can obtain:
V ˙ t 0
According to Barbalat’s Theorem it is obtained that:
lim t S I 2 = 0 . lim t χ 2 = 0
From Equation (35), we have:
V ˙ t < 0
Therefore, according to Barbalat’s Theorem it can be judged that the system is asymptotically stable and the system stability is proved. □

4. Simulation

The simulation analysis of quadrotor for multiple trajectory tracking is performed using MATLAB/Simulink. Assume that the initial position is 0 0 0 T m , the initial posture is 0 0 0 T r a d .
The parameters of the quadcopter system are shown in Table 1, the parameters of the LADRC control system are shown in Table 2, and the parameters of the SMC&A-LADRC control system are shown in Table 3. In order to reduce the parameters that can be adjusted by LADRC, we have given the parameter values of r , h , b 0 , ω 0 by an empirical trial-and-error method.
Simulation Example 1.
This is a trajectory tracking simulation designed to test the trajectory tracking performance of SMC&A-LADRC, the desired trajectory is a spiraling circle and the desired signal input is shown in Equation (37):
x d = 0.8 cos 0.6 t y d = 0.5 sin 0.3 t z d = 1.8 + 0.8 t ψ d = 60 °
The results of trajectory tracking are shown in Figure 4, and the curves of position and attitude channels are shown in Figure 5 and Figure 6, respectively.
The purpose of simulation case 1 is to test whether the control system proposed in this paper is effective. The trajectory tracking curve of a quadrotor in 3D coordinate system is given in Figure 4. It is clear from the figure that the SMC&A-LADRC control scheme proposed in this paper can respond quickly and track the desired signal accurately and steadily. The tracking curves of position channel x , y and z are given in Figure 5a–c, respectively. In-depth analysis can be obtained that all three position channels achieve stable tracking at 0.8 s with error control of 0.001% and no significant overshoot. The tracking curves of the attitude channel θ , ϕ and ψ are given in Figure 6a–c, respectively, and it can be seen that the control strategy proposed in this paper can be quickly to the input signal, which proves that the SMC&A-LADRC control scheme is reasonable and effective.
Simulation Example 2.
This simulation example is designed to test the robust performance of SMC&A-LADRC with wind disturbance as shown in Equation (38) and input signal as shown in Equation (37) in reference [30]. The position control response curve under perturbation is shown in Figure 7, and Figure 8 represents the error comparison graph between LADRC and SMC&A-LADRC.
Θ x t = 10 cos 0.5 t 3.0403 + 7 sin 0.7 t + π 3 Θ y t = 6 sin 0.5 t 1 + 6 cos 0.8 t Θ z t = 5 sin 0.6 t + 3.08 Θ θ t = 13 cos 0.6 t 0.4 Θ ϕ t = 4 sin 0.5 t 0.1 + cos 0.1 t 0.65 Θ ψ t = 2 sin 0.3 t + 1
The simulation case 2 is designed to test the robustness of SMC&A-LADRC. In order to achieve the UAV flying on the optimal path, strong wind disturbance is added to six channels in this paper. As shown in the analysis of Figure 7, SMC&A-LADRC reaches the equilibrium at 0.8 s and the tracking curve is smooth and fits the desired signal, while LADRC has obvious fluctuations in the process of tracking curve. Figure 8 shows the comparison of the tracking error between SMC&A-LADRC and LADRC position channels, and it is obvious from the figure that the error of SMC&A-LADRC is almost zero after reaching equilibrium, which indicates that the change in strong wind disturbance has little effect on the quadrotor system, and thus shows that the proposed SMC&A-LADRC method has a high robustness, and it can be used in the presence of wind disturbance and internal UAV perturbations; therefore, the quadrotor can be made to fly in the optimal path and achieve energy optimization.
Simulation Example 3.
The step input is the most severe operating condition for the system, whose rise time is almost zero, and the frequency band of the signal is inversely proportional to the rise time. In this test, we give the step expectation signal and add the step signal perturbation in the 12th second of the simulation as a way to test the tracking performance and interference immunity of SMC&A-LADRC, giving the step expectation signal as shown in Equation (39):
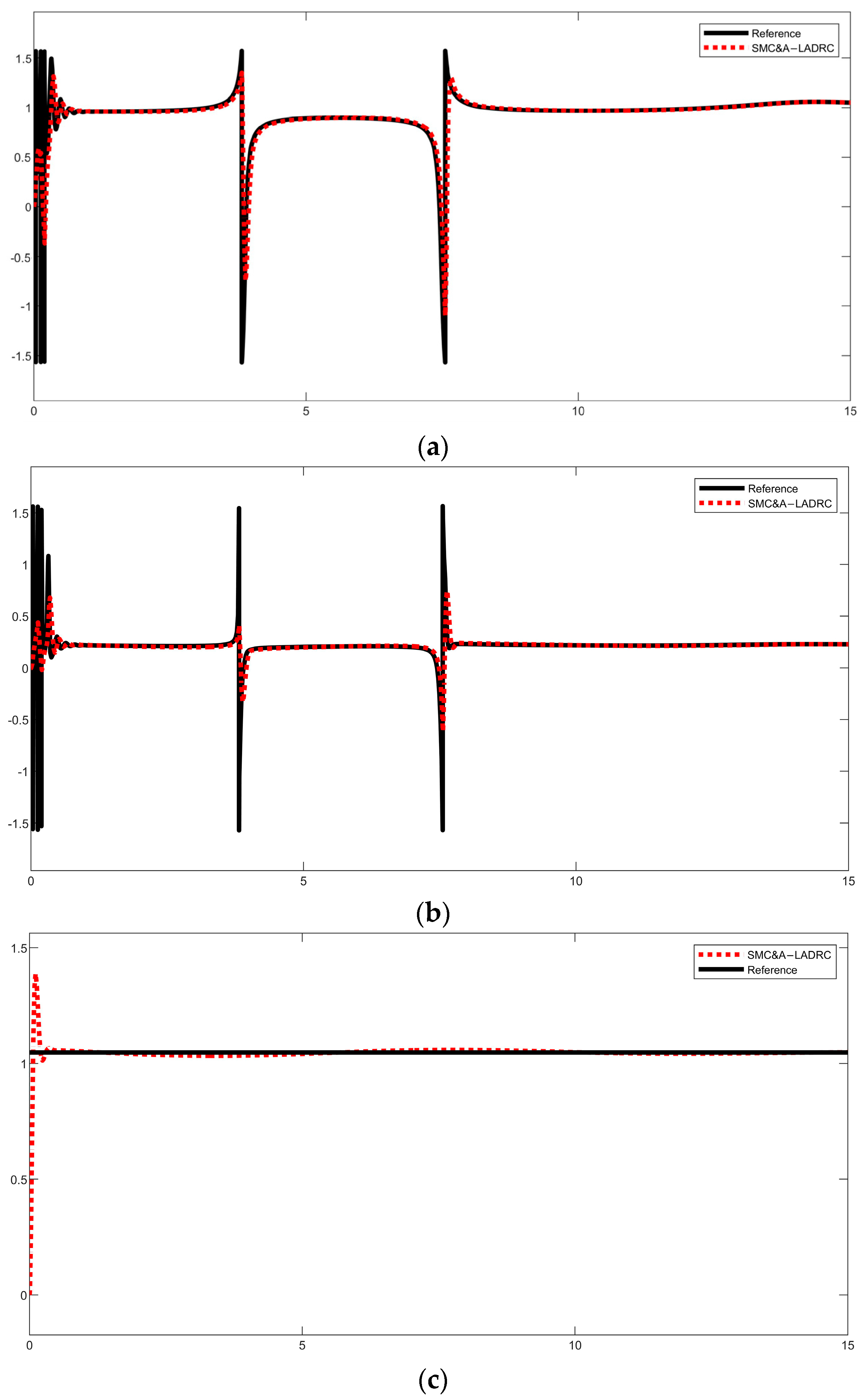
N t = 1.2 0 t < 5 0.2 5 t < 10 3.7 10 t < 15
The tracking graph of the position control channel is shown in Figure 9.
Remark 3.
Reference [22] proposed a LADRC attitude control scheme with improved fal function; after simulation study, this scheme has less errors than the classical ADRC. Ideally without external disturbances, LADRC can achieve the same smooth curve as SMC&A-LADRC, but the quadrotor UAV will definitely be subject to external disturbances such as air drag and wind disturbances in operation, so comparing SMC&A-LADRC with LADRC can adequately reflect the superiority of the proposed control scheme.
Simulation case 3 is to test the control performance of SMC&A-LADRC under severe working conditions. Figure 9a–c indicate the tracking state of x , y and z channels, respectively; thus, it is obvious that the SMC&A-LADRC controller has reached smoothness at 0.1 s, which is 0.2 s faster than the response under LADRC control, and there is no obvious fluctuation. At 5 s and 10 s, the input signal is in the form of a step signal, changing the desired value, and it is obvious from the graph that there is a significant vibration in LADRC, while the curve of SMC&A-LADRC fluctuates less and is smoother. To verify that SMC&A-LADRC has good robustness, we introduce severe step disturbance at the 12th s. It is obvious from the figure that the proposed control scheme has good anti-disturbance performance. Figure 10 shows the comparison of LADRC and SMC&A-LADRC errors in the saving state. From the figure, it can be seen that the errors of SMC&A-LADRC converge faster than LADRC when subjected to step perturbation and can converge to zero better, which proves that the control scheme proposed in this paper is reasonable and effective. The above shows that SMC&A-LADRC is able to respond quickly to the changes in the input signal, which allows the quadrotor UAV to work with the shortest path and energy optimization to achieve a long-endurance operating mode.
Remark 4.
In the comprehensive simulation cases 2 and 3, we designed two different external disturbances to verify the robustness of the control system; one is the gusty wind disturbance that the quadrotor UAV must be subjected to in flight, and the other is a step signal to simulate the uncertain strong external disturbance. Figure 8 and Figure 10 illustrate that if the external noise disturbance is large, the upper bound of the disturbance also needs to be increased, but too large an upper bound may cause jitter or system runaway, which does not guarantee good tracking performance. The introduction of SMC&A-LADRC can reconcile the conflicts between the coupling and immunity performance of each channel of the quadrotor UAV and make the control system more robust, which is a practical control algorithm for quadrotor UAVs with strong external disturbances.
Combining all the above simulation cases, simulation case 1 is to verify whether the SMC&A-LADRC control strategy proposed in this paper has good trajectory tracking performance, and simulation cases 2 and 3 are designed with wind disturbance and step disturbance to verify whether the SMC&A-LADRC control strategy has good robustness. Integrating the above estimated tracking diagram and simulation evaluation, we verify the rationality and effectiveness of the SMC&A-LADRC control strategy proposed in this paper, and it has good control performance and strong anti-disturbance capability with stronger robustness when subjected to internal disturbance and external disturbance of the quadrotor, which can make the quadrotor UAV work with the optimal path for flight and achieve the expected control effect.

5. Conclusions

In this paper, a quadrotor mathematical model is established through the conversion relationship between airframe coordinates and fixed coordinates, adaptive control and sliding mode control are introduced to optimize LADRC, and a quadrotor tandem control scheme based on LADRC is designed. The adaptive control can optimize the parameters of PD controller and reduce the tediousness of manual parameter tuning, SMC can eliminate the external disturbance of quadrotor, and combined with the total disturbance estimated by LESO in real time, it can effectively solve the problem of jitter in SMC. Through simulation tests, the control strategy proposed in this paper is proven to be better than LADRC, and is effective and reasonable.
At present, this paper is limited to theoretical analysis without considering some practical problems. Given that position control is the key to the optimal path of a quadcopter, this paper only investigates the quadcopter position control system and does not conduct experiments due to equipment limitations, which is the shortcoming of this paper. The above issues will be considered in the next step of work.

Author Contributions

Z.Q.: contributed to the conception of the study, performed the experiment, performed the data analyses and wrote the manuscript; G.Z. and T.Z.: contributed to the conceptualization of the study. All authors have read and agreed to the published version of the manuscript.

Funding

The authors received no financial support for the research, authorship and/or publication of this article.

Institutional Review Board Statement

Not applicable.

Informed Consent Statement

Not applicable.

Data Availability Statement

Not applicable.

Acknowledgments

Special thanks to Shandong Key Laboratory of Autonomous Landing for Deep Space Exploration for the support and help of this paper.

Conflicts of Interest

The authors declare that they have no competing interest.

References

  1. Thato, E.; Larona, P.; Keletso, Z.; Rodrigo, S. Cooperative Control of Fixed-wing Drones Using Relative Jacobian with Obstacle Avoidance. Procedia Comput. Sci. 2022, 215, 731–741. [Google Scholar]
  2. Gil, G.; Umberto, A.; Gonçalves, L.M.S.; Paula, S.; Filipa, B. Beach litter survey by drones: Mini-review and discussion of a potential standardization. Environ. Pollut. 2022, 315, 120370. [Google Scholar]
  3. Mario, A.; Abrahim, N. The uses of unmanned aerial vehicles—UAV’s—(or drones) in social logistic: Natural disasters response and humanitarian relief aid. Procedia Comput. Sci. 2019, 149, 375–383. [Google Scholar]
  4. Ahmed, A.; Houssem-eddine, D.; Mohammed, E.; Sidi-Mohammed, S.; Hichem, S. UAVs for traffic monitoring: A sequential game-based computation offloading/sharing approach. Comput. Netw. 2020, 177, 107273. [Google Scholar]
  5. Deebak, B.D.; Hwang, S.O. Intelligent drone-assisted robust lightweight multi-factor authentication for military zone surveillance in the 6G era. Comput. Netw. 2023, 225, 109664. [Google Scholar] [CrossRef]
  6. Zhexin, Y.; Qiuming, L.; Jingkang, Y.; Yanan, C.; Zhen, W. PPUP-GAN: A GAN-based privacy-protecting method for aerial photography. Future Gener. Comput. Syst. 2023, 145, 284–292. [Google Scholar]
  7. Janet, M.; Yang, Y.; Albert, P.; Chi, H. Application of drones in the architecture, engineering, and construction (AEC) industry. Autom. Constr. 2023, 150, 104827. [Google Scholar]
  8. Saleh, M.; Fayez, F.; Khalid, A.; Omid, M.; Afef, F.; Thaned, R. Adaptive fast-reaching nonsingular terminal sliding mode tracking control for quadrotor UAVs subject to model uncertainties and external disturbances. Ain Shams Eng. J. 2022, 14, 102059. [Google Scholar]
  9. Okan, D.; Bahar, Y.; Bektaş, T. Minimizing energy and cost in range-limited drone deliveries with speed optimization. Transp. Res. Part C Emerg. Technol. 2021, 125, 102985. [Google Scholar]
  10. Roger, M.; Luis, T. Robust PID control of quadrotors with power reduction analysis. ISA Trans. 2020, 98, 47–62. [Google Scholar]
  11. Ivan, L.; Ricardo, P.; Javier, M. Trajectory tracking double two-loop adaptive neural network control for a Quadrotor. J. Frankl. Inst. 2023, 360, 3770–3799. [Google Scholar]
  12. Moein, D.; Mansour, K.; Ali, A. Robust adaptive control for formation-based cooperative transportation of a payload by multi quadrotors. Eur. J. Control 2023, 69, 100763. [Google Scholar]
  13. Aisha, S.; Seref, N. Robust LQR and LQR-PI control strategies based on adaptive weighting matrix selection for a UAV position and attitude tracking control. Alex. Eng. J. 2022, 61, 6275–6292. [Google Scholar]
  14. Mauricio, A.; Luigi, C.; Carlos, P.; Enrico, C.; Carlo, N. UAV quadrotor attitude control: An ADRC-EMC combined approach. Control Eng. Pract. 2019, 84, 13–22. [Google Scholar]
  15. Zhao, Z.; Jin, X. Adaptive neural network-based sliding mode tracking control for agricultural quadrotor with variable payload. Comput. Electr. Eng. 2022, 103, 108336. [Google Scholar] [CrossRef]
  16. Javier, A.; Uriel, E.; Edgar, C.; Juan, M. Optimal PID ø axis Control for UAV Quadrotor based on Multi-Objective PSO. IFAC-Pap. 2022, 55, 101–106. [Google Scholar]
  17. Ivan, L.; Jerónimo, M.; Javier, M. Adaptive neural network-based trajectory tracking outer loop control for a quadrotor. Aerosp. Sci. Technol. 2022, 129, 107847. [Google Scholar]
  18. Chuang, L.; Wang, Y.; Xuebo, Y. Adaptive fuzzy control of a quadrotor using disturbance observer. Aerosp. Sci. Technol. 2022, 128, 107784. [Google Scholar]
  19. Nekoukar, V.; Dehkordi, N.M. Robust path tracking of a quadrotor using adaptive fuzzy terminal sliding mode control. Control Eng. Pract. 2021, 110, 104763. [Google Scholar] [CrossRef]
  20. Yaser, A.; Minhuan, G.; Dongbing, G. Using iterative LQR to control two quadrotors transporting a cable-suspended load. IFAC-Pap. 2017, 50, 4324–4329. [Google Scholar]
  21. Yan, H.; Xu, W.; Huang, L. Design of quadrotor attitude controller based on improved ADRC. J. Beijing Univ. Aeronaut. Astronaut. 2023, 4, 1–14. [Google Scholar]
  22. EL HOUM, Y.; ABBOU, A.; AGGA, A. Design of a modified terminal sliding mode controller with time varying delayed output observer for a quad-rotor system. IFAC-Pap. 2022, 55, 408–413. [Google Scholar]
  23. Zhou, X.; Zhong, W.; Ma, Y.; Guo, K.; Yin, J.; Wei, C. Control strategy research of D-STATCOM using active disturbance rejection control based on total disturbance error compensation. IEEE Access 2021, 9, 50138–50150. [Google Scholar] [CrossRef]
  24. Zhao, F.; Wang, X.; Zhu, T. Power Dynamic Decoupling Control of Grid-Forming Converter in Stiff Grid. IEEE Trans. Power Electron. 2022, 37, 9073–9088. [Google Scholar] [CrossRef]
  25. Luigi, F.; Mattia, F.; Arturo, B. Optimal and Robust Control: Advanced Topics with MATLAB; CRC Press: Boca Raton, FL, USA, 2021; Volume 11, p. 24. [Google Scholar]
  26. Xinkai, L.; Hongli, Z.; Wenhui, F.; Cong, W.; Ping, M. Finite-time control for quadrotor based on composite barrier Lyapunov function with system state constraints and actuator faults. Aerosp. Sci. Technol. 2021, 119, 107063. [Google Scholar]
  27. Taha, E. Distributed Coverage Control of Quadrotor Multi-UAV Systems for Precision Agriculture. IFAC-Pap. 2019, 52, 251–256. [Google Scholar]
  28. Wang, F.; Zhou, A.; Wang, Y. A fractional order based nonlinear integral sliding mode control algorithm. Electromechanical Eng. Technol. 2023, 52, 3. [Google Scholar]
  29. Li, B.; Ren, J.; Shang, Y. Study on the immunity of electromagnetic bearing self-turbulence control. Energy Storage Sci. Technol. 2023, 4, 1–8. [Google Scholar]
  30. Labbadi, M.; Cherkaoui, M. Robust adaptive nonsingular fast terminal sliding-mode tracking control for an uncertain quadrotor UAV subjected to disturbances—ScienceDirect. ISA Trans. 2020, 99, 290–304. [Google Scholar] [CrossRef]
Figure 1. Construction and frame of tilt quadrotor.
Figure 1. Construction and frame of tilt quadrotor.
Applsci 13 06904 g001
Figure 2. Structure diagram of quadrotor system control scheme.
Figure 2. Structure diagram of quadrotor system control scheme.
Applsci 13 06904 g002
Figure 3. Structure diagram of quadrotor system tandem controller.
Figure 3. Structure diagram of quadrotor system tandem controller.
Applsci 13 06904 g003
Figure 4. Trajectory tracking curve of a quadrotor UAV in ideal conditions.
Figure 4. Trajectory tracking curve of a quadrotor UAV in ideal conditions.
Applsci 13 06904 g004
Figure 5. Position tracking curve of a quadrotor UAV in ideal conditions. (ac) are the tracking curves for each of the three position control channels.
Figure 5. Position tracking curve of a quadrotor UAV in ideal conditions. (ac) are the tracking curves for each of the three position control channels.
Applsci 13 06904 g005aApplsci 13 06904 g005b
Figure 6. Attitude tracking curve of a quadrotor UAV in ideal conditions. (ac) are the tracking curves for each of the three attitude control channels.
Figure 6. Attitude tracking curve of a quadrotor UAV in ideal conditions. (ac) are the tracking curves for each of the three attitude control channels.
Applsci 13 06904 g006
Figure 7. Position control response curves under disturbances. (ac) are the tracking curves for each of the three position control channels.
Figure 7. Position control response curves under disturbances. (ac) are the tracking curves for each of the three position control channels.
Applsci 13 06904 g007aApplsci 13 06904 g007b
Figure 8. Comparison chart of the error of LADRC and SMC&A-LADRC. (ac) are the errors of each of the three position control channels.
Figure 8. Comparison chart of the error of LADRC and SMC&A-LADRC. (ac) are the errors of each of the three position control channels.
Applsci 13 06904 g008aApplsci 13 06904 g008b
Figure 9. Tracking trajectory of the quadrotor in severe working condition. (ac) are the tracking curves for each of the three position control channels.
Figure 9. Tracking trajectory of the quadrotor in severe working condition. (ac) are the tracking curves for each of the three position control channels.
Applsci 13 06904 g009
Figure 10. Error comparison chart of LADRC and SMC&A-LADRC in the step state. (ac) are the errors of each of the three position control channels.
Figure 10. Error comparison chart of LADRC and SMC&A-LADRC in the step state. (ac) are the errors of each of the three position control channels.
Applsci 13 06904 g010aApplsci 13 06904 g010b
Table 1. Quadrotor system parameters.
Table 1. Quadrotor system parameters.
ParameterDescriptionValueUnit
g Gravitational acceleration9.8m/s2
h 1 , h 2 , h 3 Rotational inertia of the x , y , z -axis0.80kg·m2
c Distance between aircraft center and rotor center0.35m
J s Torque coefficient0.04m
J f Coefficient of air resistance0.01Ns2/rad2
m Weight of a quadcopter drone1.6kg
Table 2. LADRC Control parameters.
Table 2. LADRC Control parameters.
Parameter K p K d r h b 0 ω 0
x 6601050.2150
y 6201450.2150
z 710950.2150
θ 9101850.2150
ϕ 9501550.2150
ψ 8902950.2150
Table 3. SMC&A-LADRC Control parameters.
Table 3. SMC&A-LADRC Control parameters.
Parameter α 1 α 2
x 100030
y 100030
z 100030
Disclaimer/Publisher’s Note: The statements, opinions and data contained in all publications are solely those of the individual author(s) and contributor(s) and not of MDPI and/or the editor(s). MDPI and/or the editor(s) disclaim responsibility for any injury to people or property resulting from any ideas, methods, instructions or products referred to in the content.

Share and Cite

MDPI and ACS Style

Qiao, Z.; Zhu, G.; Zhao, T. Quadrotor Cascade Control System Design Based on Linear Active Disturbance Rejection Control. Appl. Sci. 2023, 13, 6904. https://doi.org/10.3390/app13126904

AMA Style

Qiao Z, Zhu G, Zhao T. Quadrotor Cascade Control System Design Based on Linear Active Disturbance Rejection Control. Applied Sciences. 2023; 13(12):6904. https://doi.org/10.3390/app13126904

Chicago/Turabian Style

Qiao, Zheng, Guixin Zhu, and Tong Zhao. 2023. "Quadrotor Cascade Control System Design Based on Linear Active Disturbance Rejection Control" Applied Sciences 13, no. 12: 6904. https://doi.org/10.3390/app13126904

APA Style

Qiao, Z., Zhu, G., & Zhao, T. (2023). Quadrotor Cascade Control System Design Based on Linear Active Disturbance Rejection Control. Applied Sciences, 13(12), 6904. https://doi.org/10.3390/app13126904

Note that from the first issue of 2016, this journal uses article numbers instead of page numbers. See further details here.

Article Metrics

Back to TopTop