Antimicrobial Activity and Biodiversity Study of a Homemade Vegetable Puree Treated with Antimicrobials from Paenibacillus dendritiformis
Abstract
Featured Application
Abstract
1. Introduction
2. Materials and Methods
2.1. Preparation of Partially-Purified Extracts
2.2. Preparation of the Puree
2.3. Preparation of Puree Samples for Microbiological Counts
2.4. Preparation of Puree Samples for Biodiversity Analysis
2.5. DNA Sequencing and Analysis
2.6. Statistics
3. Results
3.1. Antimicrobial Activity of Eluates
3.2. Microbiological Counts
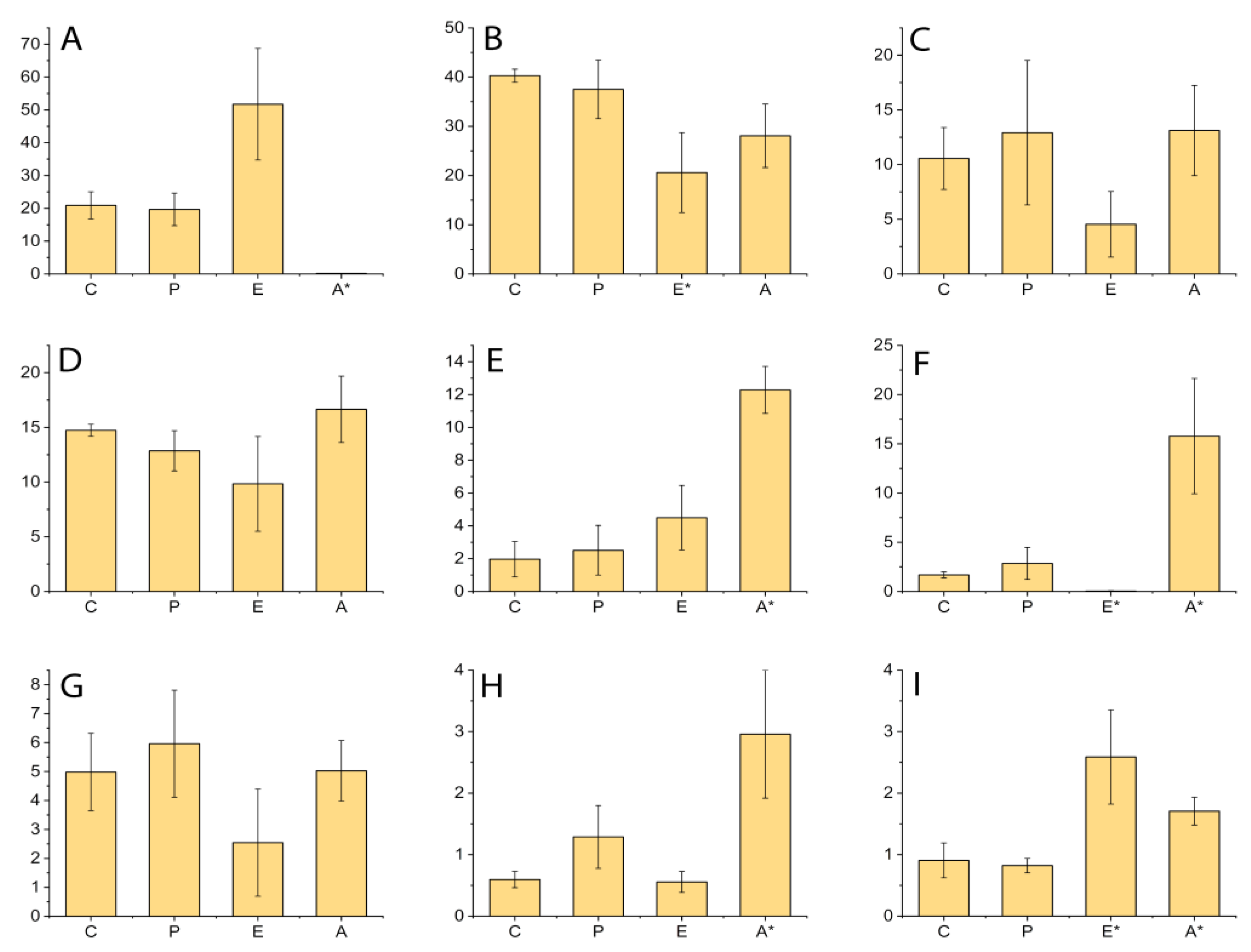
3.3. Bacterial Biodiversity
4. Discussion
5. Conclusions and Future Work
Author Contributions
Funding
Institutional Review Board Statement
Informed Consent Statement
Data Availability Statement
Acknowledgments
Conflicts of Interest
References
- Fernández-López, J.; Botella-Martínez, C.; Navarro-Rodríguez, C.; Vera, D.; Viuda-Martos, M.; Sánchez-Zapatas, E.; Pérez-Álvarez, J.A. Vegetable Soups and Creams: Raw Materials, Processing, Health Benefits, and Innovation Trends. Plants 2020, 9, 1769. [Google Scholar] [CrossRef] [PubMed]
- Liu, R.H. Health-Promoting Components of Fruits and Vegetables in the Diet. Adv. Nutr. 2013, 4, 384S–392S. [Google Scholar] [CrossRef]
- Kowalska, B.; Szczech, M. Differences in Microbiological Quality of Leafy Green Vegetables. Ann. Agric. Environ. Med. 2022, 29, 238–245. [Google Scholar] [CrossRef] [PubMed]
- Carlin, F.; Guinebretiere, M.H.; Choma, C.; Pasqualini, R.; Braconnier, A.; Nguyen-The, C. Spore-Forming Bacteria in Commercial Cooked, Pasteurised and Chilled Vegetable Purees. Food Microbiol. 2000, 17, 153–165. [Google Scholar] [CrossRef]
- Schoeni, J.L.; Lee Wong, A.C. Bacillus cereus Food Poisoning and Its Toxins. J. Food Prot. 2005, 68, 636–648. [Google Scholar] [CrossRef] [PubMed]
- Grande, M.J.; Abriouel, H.; López, R.L.; Valdivia, E.; Omar, N.B.; Martínez-Cañamero, M.; Gálvez, A. Efficacy of Enterocin AS-48 against Bacilli in Ready-to-Eat Vegetable Soups and Purees. J. Food Prot. 2007, 70, 2339–2345. [Google Scholar] [CrossRef]
- Pedersen, P.B.; Bjørnvad, M.E.; Rasmussen, M.D.; Petersen, J.N. Cytotoxic Potential of Industrial Strains of Bacillus sp. Regul. Toxicol. Pharmacol. 2002, 36, 155–161. [Google Scholar] [CrossRef] [PubMed]
- Kumariya, R.; Garsa, A.K.; Rajput, Y.S.; Sood, S.K.; Akhtar, N.; Patel, S. Bacteriocins: Classification, Synthesis, Mechanism of Action and Resistance Development in Food Spoilage Causing Bacteria. Microb. Pathog. 2019, 128, 171–177. [Google Scholar] [CrossRef] [PubMed]
- Gálvez, A.; Grande Burgos, M.J.; Lucas Lopez, R.; Pérez Pulido, R. Food Biopreservation; Hartel, R.W., Ed.; Springer: New York, NY, USA, 2014; ISBN 9781493920280. [Google Scholar]
- Choyam, S.; Srivastava, A.K.; Shin, J.H.; Kammara, R. Ocins for Food Safety. Front. Microbiol. 2019, 10, 1736. [Google Scholar] [CrossRef]
- Lahiri, D.; Nag, M.; Dutta, B.; Sarkar, T.; Pati, S.; Basu, D.; Abdul Kari, Z.; Wei, L.S.; Smaoui, S.; Wen Goh, K.; et al. Bacteriocin: A Natural Approach for Food Safety and Food Security. Front. Bioeng. Biotechnol. 2022, 10, 1005918. [Google Scholar] [CrossRef]
- Rendueles, C.; Duarte, A.C.; Escobedo, S.; Fernández, L.; Rodríguez, A.; García, P.; Martínez, B. Combined Use of Bacteriocins and Bacteriophages as Food Biopreservatives: A Review. Int. J. Food Microbiol. 2022, 368, 109611. [Google Scholar] [CrossRef] [PubMed]
- Caulier, S.; Nannan, C.; Gillis, A.; Licciardi, F.; Bragard, C.; Mahillon, J. Overview of the Antimicrobial Compounds Produced by Members of the Bacillus subtilis Group. Front. Microbiol. 2019, 10, 302. [Google Scholar] [CrossRef] [PubMed]
- Abriouel, H.; Franz, C.M.A.P.; Omar, N.B.; Galvez, A. Diversity and Applications of Bacillus Bacteriocins. FEMS Microbiol. Rev. 2011, 35, 201–232. [Google Scholar] [CrossRef] [PubMed]
- Basi-Chipalu, S.; Sthapit, P.; Dhital, S. A review on characterization, applications and structure-activity relationships of Bacillus species-produced bacteriocins. Drug Discov. Ther. 2022, 16, 55–62. [Google Scholar] [CrossRef] [PubMed]
- Mercado, V.; Olmos, J. Bacteriocin Production by Bacillus Species: Isolation, Characterization, and Application. Probiotics Antimicrob. Proteins 2022, 14, 1151–1169. [Google Scholar] [CrossRef] [PubMed]
- Zhang, B.; Xu, L.; Ding, J.; Wang, M.; Ge, R.; Zhao, H.; Zhang, B.; Fan, J. Natural Antimicrobial Lipopeptides Secreted by Bacillus Spp. and Their Application in Food Preservation, a Critical Review. Trends Food Sci. Technol. 2022, 127, 26–37. [Google Scholar] [CrossRef]
- Sirota-Madi, A.; Olender, T.; Helman, Y.; Finkelshtein, I.B.; Roth, D.; Hagai, E.; Leshkowitz, D.; Brodsky, L.; Galatenko, V.; Nikolaev, V.; et al. Genome Sequence of the Pattern-Forming Social Bacterium: Paenibacillus dendritiformis C454 Chiral Morphotype. J. Bacteriol. 2012, 194, 2127–2128. [Google Scholar] [CrossRef]
- Be’er, A.; Ariel, G.; Kalisman, O.; Helman, Y.; Sirota-Madi, A.; Zhang, H.P.; Florin, E.L.; Payne, S.M.; Ben-Jacob, E.; Swinney, H.L. Lethal Protein Produced in Response to Competition between Sibling Bacterial Colonies. Proc. Natl. Acad. Sci. USA 2010, 107, 6258–6263. [Google Scholar] [CrossRef]
- Gonzalez-Pastor, J.E.; Hobbs, E.C.; Losick, R. Cannibalism by Sporulating Bacteria. Science 2003, 301, 510–513. [Google Scholar] [CrossRef]
- Claverys, J.P.; Håvarstein, L.S. Cannibalism and Fratricide: Mechanisms and Raisons d’être. Nat. Rev. Microbiol. 2007, 5, 219–229. [Google Scholar] [CrossRef]
- Grady, E.N.; MacDonald, J.; Liu, L.; Richman, A.; Yuan, Z.-C. Current knowledge and perspectives of Paenibacillus: A review. Microb. Cell Fact. 2016, 15, 203. [Google Scholar] [CrossRef] [PubMed]
- Jangra, M.; Randhawa, H.K.; Kaur, M.; Srivastava, A.; Maurya, N.; Patil, P.P.; Jaswal, P.; Arora, A.; Patil, P.B.; Raje, M.; et al. Purification, Characterization and in Vitro Evaluation of Polymyxin a from Paenibacillus dendritiformis: An Underexplored Member of the Polymyxin Family. Front. Microbiol. 2018, 9, 2864. [Google Scholar] [CrossRef] [PubMed]
- Zhu, S.; Hegemann, J.D.; Fage, C.D.; Zimmermann, M.; Xie, X.; Linne, U.; Marahiel, M.A. Insights into the Unique Phosphorylation of the Lasso Peptide Paeninodin. J. Biol. Chem. 2016, 291, 13662–13678. [Google Scholar] [CrossRef]
- Kumar, K.; Verma, A.; Pal, G.; Anubha; White, J.F.; Verma, S.K. Seed Endophytic Bacteria of Pearl Millet (Pennisetum glaucum L.) Promote Seedling Development and Defend Against a Fungal Phytopathogen. Front. Microbiol. 2021, 12, 774293. [Google Scholar] [CrossRef]
- Yadav, M.; Dubey, M.K.; Upadhyay, R.S. Systemic Resistance in Chilli Pepper against Anthracnose (Caused by Colletotrichum truncatum) Induced by Trichoderma harzianum, Trichoderma asperellum and Paenibacillus dendritiformis. J. Fungi 2021, 7, 307. [Google Scholar] [CrossRef] [PubMed]
- Lapidot, D.; Dror, R.; Vered, E.; Mishli, O.; Levy, D.; Helman, Y. Disease protection and growth promotion of potatoes (Solanum tuberosum L.) by Paenibacillus dendritiformis. Plant Pathol. 2014, 64, 545–551. [Google Scholar] [CrossRef]
- Abriouel, H.; Valdivia, E.; Martínez-Bueno, M.; Maqueda, M.; Gálvez, A. A Simple Method for Semi-Preparative-Scale Production and Recovery of Enterocin AS-48 Derived from Enterococcus faecalis subsp. liquefaciens A-48-32. J. Microbiol. Methods 2003, 55, 599–605. [Google Scholar] [CrossRef] [PubMed]
- Tagg, J.R.; McGiven, A.R. Assay System for Bacteriocins. Appl. Microbiol. 1971, 21, 943. [Google Scholar] [CrossRef]
- Rodriguez-López, J.; Grande, M.J.; Pérez-Pulido, R.; Galvez, A.; Lucas, R. Impact of High-Hydrostatic Pressure Treatments Applied Singly or in Combination with Moderate Heat on the Microbial Load, Antimicrobial Resistance, and Bacterial Diversity of Guacamole. Microorganisms 2020, 8, 909. [Google Scholar] [CrossRef]
- Schmieder, R.; Edwards, R. Quality Control and Preprocessing of Metagenomic Datasets. Bioinformatics 2011, 27, 863–864. [Google Scholar] [CrossRef]
- Caporaso, J.G.; Lauber, C.L.; Walters, W.A.; Berg-Lyons, D.; Lozupone, C.A.; Turnbaugh, P.J.; Fierer, N.; Knight, R. Global Patterns of 16S RRNA Diversity at a Depth of Millions of Sequences per Sample. Proc. Natl. Acad. Sci. USA 2011, 108, 4516–4522. [Google Scholar] [CrossRef] [PubMed]
- Callahan, B.J.; McMurdie, P.J.; Rosen, M.J.; Han, A.W.; Johnson, A.J.A.; Holmes, S.P. DADA2: High-Resolution Sample Inference from Illumina Amplicon Data. Nat. Methods 2016, 13, 581–583. [Google Scholar] [CrossRef] [PubMed]
- Ondov, B.D.; Bergman, N.H.; Phillippy, A.M. Interactive Metagenomic Visualization in a Web Browser. BMC Bioinform. 2011, 12, 385. [Google Scholar] [CrossRef] [PubMed]
- Gálvez, A.; Abriouel, H.; López, R.L.; Omar, N. Ben Bacteriocin-Based Strategies for Food Biopreservation. Int. J. Food Microbiol. 2007, 120, 51–70. [Google Scholar] [CrossRef]
- El-Sharoud, W.M.; Zalma, S.A.; Yousef, A.E. Inducing the Production of the Bacteriocin Paenibacillin by Paenibacillus polymyxa through Application of Environmental Stresses with Relevance to Milk Bio-Preservation. Int. J. Food Microbiol. 2022, 371, 109637. [Google Scholar] [CrossRef]
- Girardin, H.; Albagnac, C.; Dargaignaratz, C.; Nguyen-The, C.; Carlin, F. Antimicrobial Activity of Foodborne Paenibacillus and Bacillus spp. against Clostridium botulinum. J. Food Prot. 2002, 65, 806–813. [Google Scholar] [CrossRef]
- Bruno, M.E.C.; Montville, T.J. Common Mechanistic Action of Bacteriocins from Lactic Acid Bacteria. The Influence of Four Bacteriocins from Lactic Acid Bacteria on the Proton Motive Force (PMF) of Sensitive. Appl. Environ. Microbiol. 1993, 59, 3003–3010. [Google Scholar] [CrossRef]
- Morin, N.; Lanneluc, I.; Connil, N.; Cottenceau, M.; Pons, A.M.; Sablé, S. Mechanism of Bactericidal Activity of Microcin L in Escherichia coli and Salmonella enterica. Antimicrob. Agents Chemother. 2011, 55, 997–1007. [Google Scholar] [CrossRef]
- Ananou, S.; Valdivia, E.; Martínez Bueno, M.; Gálvez, A.; Maqueda, M. Effect of Combined Physico-Chemical Preservatives on Enterocin AS-48 Activity against the Enterotoxigenic Staphylococcus aureus CECT 976 Strain. J. Appl. Microbiol. 2004, 97, 48–56. [Google Scholar] [CrossRef]
- Jeppesen, C. Media for Aeromonas spp., Plesiomonas shigelloides and Pseudomonas spp. from Food and Environment. Int. J. Food Microbiol. 1995, 26, 25–41. [Google Scholar] [CrossRef]
- Ghequire, M.G.K.; De Mot, R. Ribosomally Encoded Antibacterial Proteins and Peptides from Pseudomonas. FEMS Microbiol. Rev. 2014, 38, 523–568. [Google Scholar] [CrossRef] [PubMed]
- Ercolini, D. High-Throughput Sequencing and Metagenomics: Moving Forward in the Culture-Independent Analysis of Food Microbial Ecology. Appl. Environ. Microbiol. 2013, 79, 3148–3155. [Google Scholar] [CrossRef] [PubMed]






| Test Strains | ||||||
|---|---|---|---|---|---|---|
| Eluate | S. aureus CECT 976 | E. faecalis S-47 | S. enterica CECT 3197 | E. coli E19 | L. innocua CECT 910 | B. cereus LWL1 |
| NaCl (E) | 13 | 0 | 13 | 14 | 0 | 12 |
| Acn (A) | 16 | 0 | 9 | 9 | 0 | 17 |
| T0 | T1 | T2 | T7 | |
|---|---|---|---|---|
| Enterobacteriaceae 25 °C | ||||
| C | 5.37 ± 0.02 | 4.70 ± 0.004 | 4.48 b ± 0.00 | 7.48 a ± 0.00 |
| P | 5.29 ± 0.03 | 5.84 a ± 0.03 | 4.48 b ± 0.00 | 6.59 a,c ± 0.01 |
| E | 4.11 c ± 0.01 | 4.95 a ± 0.05 | 4.48 a ± 0.00 | 4.48 a,c ± 0.00 |
| A | 5.25 ± 0.04 | 1.00 b,c ± 0.00 | 1.15 b,c ± 0.15 | <1.00 |
| Bacillus cereus agar 25 °C | ||||
| C | 3.60 ± 0.03 | 5.31 a ± 0.01 | 6.65 a ± 0.02 | 4.48 a ± 0.00 |
| P | 5.05 ± 0.01 | 5.27 ± 0.01 | 5.05 c ± 0.03 | 4.48 b ± 0.00 |
| E | 3.61 ± 0.01 | 4.38 a,c ± 0.02 | 5.15 a,c ± 0.06 | 2.63 b,c ± 0.15 |
| A | 3.61 ± 0.03 | 5.35 a ± 0.12 | 5.31 a,c ± 0.05 | 3.09 b,c ± 0.05 |
| Lactic acid bacteria 25 °C | ||||
| C | 4.25 ± 0.03 | 7.48 a ± 0.00 | 7.94 a ± 0.08 | 8.72 a ± 0.02 |
| P | 4.37 ± 0.05 | 7.48 a ± 0.00 | 7.37 a,c ± 0.01 | 8.42 a ± 0.12 |
| E | 4.09 ± 0.01 | 6.48 a,c ± 0.00 | 7.36 a,c ± 0.00 | 8.57 a ± 0.09 |
| A | 4.25 ± 0.01 | 7.48 a ± 0.00 | 8.17 a ± 0.02 | 8.44 a ± 0.04 |
| Total aerobic mesophiles 25 °C | ||||
| C | 5.61 ± 0.01 | 7.48 a ± 0.00 | 8.06 a ± 0.00 | 8.64 a ± 0.05 |
| P | 5.84 ± 0.08 | 7.48 a ± 0.00 | 8.00 a ± 0.05 | 8.37 a ± 0.06 |
| E | 4.96 ± 0.00 | 6.48 ac ± 0.00 | 7.82 a ± 0.03 | 8.46 a ± 0.06 |
| A | 5.33 ± 0.03 | 7.48 a ± 0.00 | 8.01 a ± 0.05 | 8.35 a ± 0.04 |
| Enterobacteriaceae 4 °C | ||||
| C | 5.37 ± 0.02 | 5.05 b ± 0.05 | 5.49 ± 0.01 | 6.85 a ± 0.03 |
| P | 5.29 ± 0.03 | 4.76 b ± 0.02 | 5.53 ± 0.04 | 5.57 c ± 0.08 |
| E | 4.11 c ± 0.01 | 4.39 c ± 0.01 | 5.30 a ± 0.04 | 6.03 a,c ± 0.01 |
| A | 5.25 ± 0.04 | 4.7 b ± 0.14 | 5.61 ± 0.04 | 4.45 b,c ± 0.04 |
| Bacillus cereus agar 4 °C | ||||
| C | 3.60 ± 0.03 | 3.17 b ± 0.06 | 3.78 ± 0.04 | 2.26 b ± 0.08 |
| P | 5.05 ± 0.01 | 3.95 b ± 0.05 | 3.71 b ± 0.03 | 2.27 b ± 0.04 |
| E | 3.61 ± 0.01 | 3.26 b ± 0.06 | 3.61 ± 0.04 | 2.41 b ± 0.08 |
| A | 3.61 ± 0.03 | 3.17 b ± 0.13 | 3.58 ± 0.05 | 2.85 b ± 0.04 |
| Lactic acid bacteria 4 °C | ||||
| C | 4.25 ± 0.03 | 5.36 a ± 0.06 | 6.05 a ± 0.01 | 7.36 a ± 0.005 |
| P | 4.37 ± 0.05 | 5.16 a ± 0.03 | 5.87 a ± 0.01 | 7.29 a ± 0.02 |
| E | 4.09 ± 0.01 | 5.14 a ± 0.04 | 5.66 a ± 0.02 | 7.43 a ± 0.01 |
| A | 4.25 ± 0.00 | 5.08 a ± 0.02 | 5.61 a ± 0.03 | 7.39 a ± 0.02 |
| Total aerobic mesophiles 4 °C | ||||
| C | 5.61 ± 0.01 | 5.39 ± 0.03 | 6.17 a ± 0.03 | 7.64 a ± 0.10 |
| P | 5.84 ± 0.08 | 6.10 a ± 0.04 | 6.44 a ± 0.03 | 7.36 a ± 0.02 |
| E | 4.96 c ± 0.00 | 5.26 ± 0.02 | 6.02 a ± 0.07 | 7.32 a ± 0.08 |
| A | 5.33 ± 0.03 | 5.10 ± 0.03 | 5.99 a ± 0.03 | 8.02 a ± 0.02 |
| Sample | Nº Reads | Chao1 | Shannon | Simpson |
|---|---|---|---|---|
| C1 | 123,226 | 25 | 1.703 | 0.749 |
| C2 | 119,676 | 30 | 1.849 | 0.777 |
| C3 | 127,885 | 29 | 1.724 | 0.739 |
| P1 | 130,156 | 25 | 1.532 | 0.702 |
| P2 | 112,884 | 28 | 1.885 | 0.787 |
| P3 | 130,114 | 28 | 2.050 | 0.822 |
| E1 | 124,532 | 28 | 1.224 | 0.494 |
| E2 | 113,295 | 27 | 1.422 | 0.626 |
| E3 | 119,261 | 26 | 1.814 | 0.787 |
| A1 | 125,674 | 26 | 2.056 | 0.822 |
| A2 | 121,055 | 29 | 1.988 | 0.812 |
| A3 | 122,216 | 33 | 2.029 | 0.835 |
Disclaimer/Publisher’s Note: The statements, opinions and data contained in all publications are solely those of the individual author(s) and contributor(s) and not of MDPI and/or the editor(s). MDPI and/or the editor(s) disclaim responsibility for any injury to people or property resulting from any ideas, methods, instructions or products referred to in the content. |
© 2023 by the authors. Licensee MDPI, Basel, Switzerland. This article is an open access article distributed under the terms and conditions of the Creative Commons Attribution (CC BY) license (https://creativecommons.org/licenses/by/4.0/).
Share and Cite
Mena, L.; Grande, M.J.; Gálvez, A. Antimicrobial Activity and Biodiversity Study of a Homemade Vegetable Puree Treated with Antimicrobials from Paenibacillus dendritiformis. Appl. Sci. 2023, 13, 6901. https://doi.org/10.3390/app13126901
Mena L, Grande MJ, Gálvez A. Antimicrobial Activity and Biodiversity Study of a Homemade Vegetable Puree Treated with Antimicrobials from Paenibacillus dendritiformis. Applied Sciences. 2023; 13(12):6901. https://doi.org/10.3390/app13126901
Chicago/Turabian StyleMena, Laura, María José Grande, and Antonio Gálvez. 2023. "Antimicrobial Activity and Biodiversity Study of a Homemade Vegetable Puree Treated with Antimicrobials from Paenibacillus dendritiformis" Applied Sciences 13, no. 12: 6901. https://doi.org/10.3390/app13126901
APA StyleMena, L., Grande, M. J., & Gálvez, A. (2023). Antimicrobial Activity and Biodiversity Study of a Homemade Vegetable Puree Treated with Antimicrobials from Paenibacillus dendritiformis. Applied Sciences, 13(12), 6901. https://doi.org/10.3390/app13126901

