Adaptive Recursive Sliding Mode Control (ARSMC)-Based UAV Control for Future Smart Cities
Abstract
1. Introduction
2. Mathematical Model
3. Design Procedure of Robust Sliding Mode Control
4. Recursive Control Design
Adaptive Recursive Sliding Mode Control Strategy
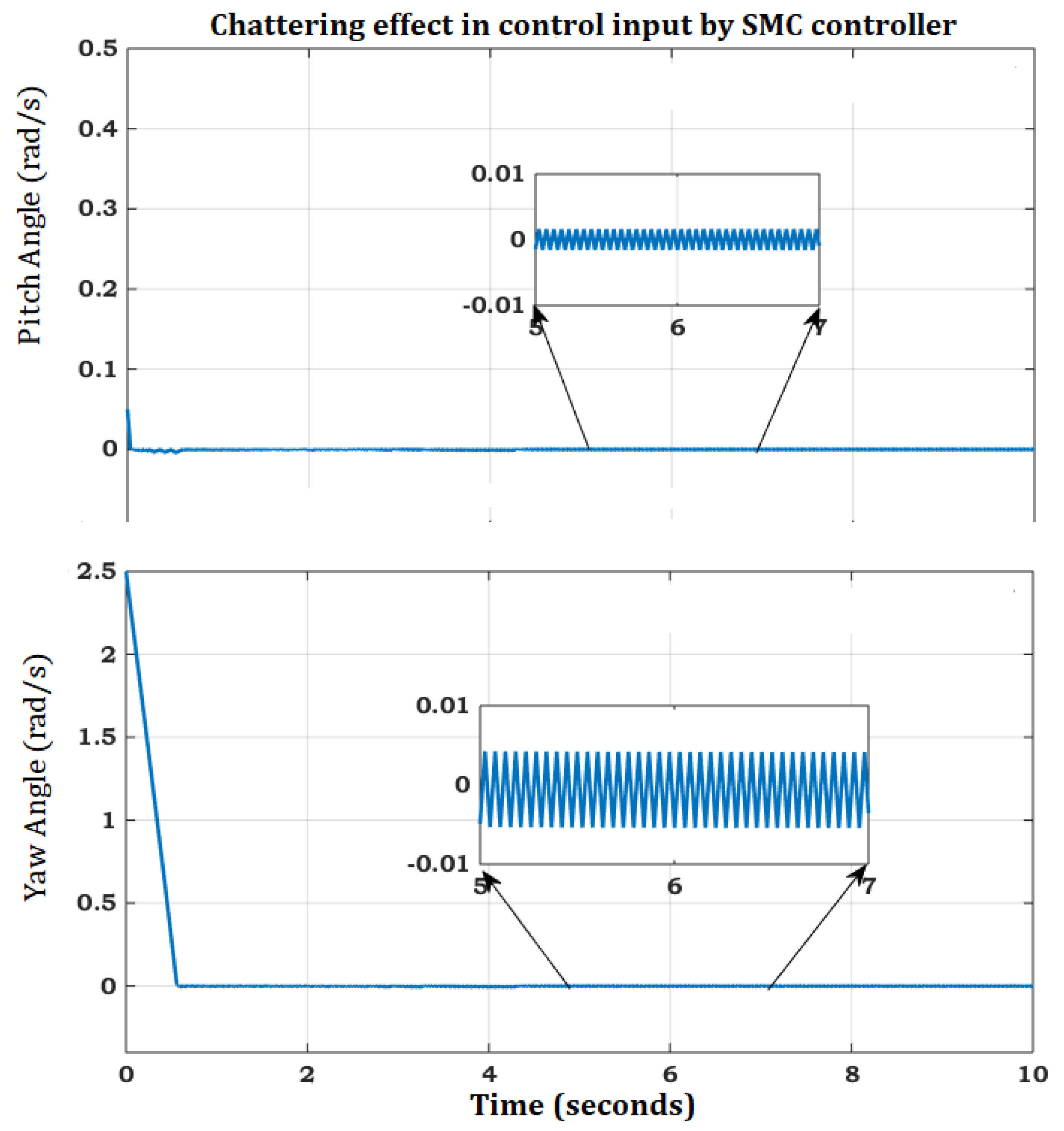
5. Discussion: Simulation Response of Control Strategies
6. Conclusions
- The presence of significant inherent uncertainties in the physical parameters can cause nonlinear behavior that must be addressed by precise application of recursive adaption law.
- The high amplitude noise signal causes severe contamination for the input actuators and high-voltage range.
Author Contributions
Funding
Institutional Review Board Statement
Informed Consent Statement
Data Availability Statement
Conflicts of Interest
References
- Eldeeb, E.; de Souza Sant’Ana, J.M.; Pérez, D.E.; Shehab, M.; Mahmood, N.H.; Alves, H. Multi-UAV Path Learning for Age and Power Optimization in IoT with UAV Battery Recharge. IEEE Trans.-Hicular Technol. 2022, 72, 5356–5360. [Google Scholar] [CrossRef]
- Koo, V.; Chan, Y.K.; Vetharatnam, G.; Chua, M.Y.; Lim, C.H.; Lim, C.S.; Thum, C.C.; Lim, T.S.; Ahmad, Z.B.; Mahmood, K.A.; et al. A new un-manned aerial vehicle synthetic aperture radar for environmental monitoring. Prog. Electromagn. Res. 2012, 122, 245–268. [Google Scholar] [CrossRef]
- Mahmood, A.; Vu, T.X.; Khan, W.U.; Chatzinotas, S.; Ottersten, B. Optimizing Computational and Com-munication Resources for MEC Network Empowered UAV-RIS Communication. In Proceedings of the 2022 IEEE Globecom Workshops (GC Wkshps), Rio de Janeiro, Brazil, 4–8 December 2022; pp. 974–979. [Google Scholar]
- Bucolo, M.; Buscarino, A.; Fortuna, L.; Gagliano, S. Bifurcation scenarios for pilot induced oscillations. Aerosp. Sci. Technol. 2020, 106, 106194. [Google Scholar] [CrossRef]
- Orozco, R.G. Mixed sensitivity control: A non-iterative approach. Syst. Sci. Control. Eng. 2020, 8, 441–453. [Google Scholar] [CrossRef]
- Twin Rotor, Multiple Input Multiple Output (MIMO). System Control Experiments 33-949S; User Manual; Feedback Instruments Ltd.: East Sussex, UK, 2006. [Google Scholar]
- Ramalakshmi, A.P.S.; Manoharan, P.S. Non-linear modeling and PID control of twin rotor MIMO system. In Proceedings of the 2012 IEEE International Conference on Advanced Communication Control and Computing Technologies (ICACCCT), Ramanathapuram, India, 23–25 August 2012; pp. 366–369. [Google Scholar]
- Ahmad, U.; Anjum, W.; Bukhari, S.M.A. H2 and H∞ controller design of twin rotor system (TRS). Sci. Res. 2013, 4, 27843. [Google Scholar]
- John, L.; Mija, S.J. Robust H∞ control algorithm for twin rotor MIMO system. In Proceedings of the 2014 IEEE International Conference on Advanced Communications, Control and Computing Technologies, Ramanathapuram, India, 8–10 May 2014; pp. 168–173. [Google Scholar]
- Chaudhary, S.; Kumar, A. Control of twin rotor mimo system using 1-degree-of-freedom PID, 2-degree-of-freedom PID and fractional order PID controller. In Proceedings of the 2019 3rd International Conference on Electronics, Communication and Aerospace Technology (ICECA), Coimbatore, India, 12–14 June 2019; pp. 746–751. [Google Scholar]
- Wen, P.; Li, Y. Twin rotor system modeling, de-coupling and optimal control. In Proceedings of the 2011 IEEE International Conference on Mechatronics and Automation, Beijing, China, 7–10 August 2011; pp. 1839–1842. [Google Scholar]
- Hernandez, B.; Steven, O.H.; Angelo, M.L.; Giraldo, E. Rls estimation and sliding mode control with integral action for a twin rotor mimo system. In Proceedings of the 2019 IEEE 4th Colombian Conference on Automatic Control (CCAC), Medellin, Colombia, 15–18 October 2019; pp. 1–6. [Google Scholar]
- Song, D.; Li, X.; Peng, Z. Mixed sensitivity H-infinity control of an adaptive optics system. Opt. Eng. 2016, 55, 094106. [Google Scholar] [CrossRef]
- Biswas, P.; Maiti, R.; Kolay, A.; Sharma, K.D.; Sarkar, G. PSO based PID controller design for twin rotor MIMO system. In Proceedings of the 2014 International Conference on Control, Instrumentation, Energy and Communication (CIEC), Calcutta, India, 31 January–2 February 2014; pp. 56–60. [Google Scholar]
- Rao, V.S.; George, V.I.; Kamath, S.; Shreesha, C. Comparison of lqg controller with reliable h infinity con-troller designed for trms. Int. J. Control. Theory Appl. 2015, 8, 1171–1179. [Google Scholar]
- Dube, D.Y.; Patel, H.G. Suppressing the noise in measured signals for the control of helicopters. Fluct. Noise Lett. 2019, 18, 1950002. [Google Scholar] [CrossRef]
- Iqbal, J.; Ullah, M.; Khan, S.G.; Khelifa, B.; Ćuković, S. Nonlinear control systems—A brief overview of historical and recent advances. Nonlinear Eng. 2017, 6, 301–312. [Google Scholar] [CrossRef]
- Shah, S.H.; Khan, S.G.; ul Haq, I.; Shah, K.; Abid, A. Compliance control of robotic walk assist device via integral sliding mode control. In Proceedings of the 2019 16th International Bhurban Conference on Applied Sciences and Technology (Ibcast), Islamabad, Pakistan, 8–12 January 2019; pp. 515–520. [Google Scholar]
- Iftikhar SKhan, S.U.; Mahmood, A. A comparative analysis of twin rotor MIMO system with different control schemes. ISA Trans. 2018, 82, 148–158. [Google Scholar]
- Nazir, A.; Malik, S.A.; Iqbal, S. Comparative analysis of different control techniques for a twin rotor MIMO system. Int. J. Control Autom. Syst. 2019, 17, 1225–1237. [Google Scholar]
- Rahim, M.; Aras, S.M.; Zainudin, S. Comparative study of PID and fuzzy logic controllers for twin rotor MIMO system. Int. J. Adv. Sci. Technol. 2020, 29, 1423–1430. [Google Scholar]
- Cajo, R.; Agila, W. Evaluation of algorithms for linear and nonlinear PID control for Twin Rotor MIMO System. In Proceedings of the 2015 Asia-Pacific Conference on Computer Aided System Engineering, Quito, Ecuador, 14–16 July 2015; pp. 214–219. [Google Scholar]
- Rahideh, A.; Shaheed, M.H. Robust model predictive control of a twin rotor MIMO system. In Proceedings of the 2009 IEEE International Conference on Mechatronics, Malaga, Spain, 14–17 April 2009; pp. 1–6. [Google Scholar]
- Köhler, J.; Kötting, P.; Soloperto, R.; Allgöwer, F.; Müller, M.A. A robust adaptive model predictive control framework for nonlinear uncertain systems. Int. J. Robust Nonlinear Control 2021, 31, 8725–8749. [Google Scholar] [CrossRef]
- Akpan, V.A.; Hassapis, G.D. Nonlinear model identification and adaptive model predictive control using neural networks. ISA Trans. 2011, 50, 177–194. [Google Scholar] [CrossRef]
- Pratap, B.; Purwar, S. Neural network observer for twin rotor MIMO system: An LMI based approach. In Proceedings of the 2010 International Conference on Modelling, Identification and Control, Okayama, Japan, 17–19 July 2010; pp. 539–544. [Google Scholar]
- Mehndiratta, M.; Kayacan, E.; Patel, S.; Kayacan, E.; Chowdhary, G. Learning-based fast nonlinear model predictive control for custom-made 3D printed ground and aerial robots. In Handbook of Model Predictive Control; Birkhauser: Cham, Switzerland, 2019; pp. 581–605. [Google Scholar]
- Bouffard, P.; Aswani, A.; Tomlin, C. Learning-based model predictive control on a quadrotor: Onboard implementation and experimental results. In Proceedings of the 2012 IEEE International Conference on Robotics and Automation, Saint Paul, MN, USA, 14–18 May 2012; pp. 279–284. [Google Scholar]
- Pandey, V.K.; Kar, I.; Mahanta, C. Controller design for a class of nonlinear MIMO coupled system using multiple models and second level adaptation. ISA Trans. 2017, 69, 256–272. [Google Scholar] [CrossRef]
- Pandey, V.K.; Kar, I.; Mahanta, C. Adaptive Controller Design for Nonlinear Uncertain Systems Using Multiple Model based Two Level Adaptation Technique. Ph.D. Dissertation, Indian Institute of Technology, Guwahati, India, 2018. [Google Scholar]
- Hashim, H.A.; Abido, M.A. Fuzzy controller design using evolutionary techniques for twin rotor MIMO system: A comparative study. Comput. Intell. Neurosci. 2015, 2015, 49. [Google Scholar] [CrossRef]
- Tao, C.W.; Taur, J.S.; Chen, Y.C. Design of a parallel distributed fuzzy LQR controller for the twin rotor multi-input multi-output system. Fuzzy Sets Syst. 2010, 161, 2081–2103. [Google Scholar] [CrossRef]
- Saroj, D.K.; Kar, I.; Pandey, V.K. Sliding mode controller design for Twin Rotor MIMO system with a nonlinear state observer. In Proceedings of the 2013 International Mutli-Conference on Automation, Computing, Communication, Control and Compressed Sensing (iMac4s), Kottayam, India, 22–23 March 2013; pp. 668–673. [Google Scholar]
- Ilyas, M.; Abbas, N.; UbaidUllah, M.; Imtiaz, W.A.; Shah, M.A.Q.; Mahmood, K. Control law design for twin rotor MIMO system with nonlinear control strategy. Discret. Dyn. Nat. Soc. 2016, 2016, 2952738. [Google Scholar] [CrossRef]
- Rahideh, A.; Bajodah, A.H.; Shaheed, M.H. Real time adaptive nonlinear model inversion control of a twin rotor MIMO system using neural networks. Eng. Appl. Artif. Intell. 2012, 25, 1289–1297. [Google Scholar] [CrossRef]
- Abbas, N.; Pan, X.; Raheem, A.; Shakoor, R.; Arfeen, Z.A.; Rashid, M.; Umer, F.; Safdar, N.; Liu, X. Real-time robust generalized dynamic inversion based optimization control for coupled twin rotor MIMO system. Sci. Rep. 2022, 12, 17852. [Google Scholar] [CrossRef]
- Abbas, N.; Liu, X. A mixed dynamic optimization with µ-synthesis (DK iterations) via gain scheduling for varying dynamics of decoupled twin-rotor MIMO system based on the method of inequality (MOI). Con. Eng. App. Inf. 2022, 24, 13–23. [Google Scholar]
- Brogan, W.L. Modern Control Theory; Pearson Education: Chennai, India, 1991. [Google Scholar]
- Labbadi, M.; Mohamed, C. Robust adaptive backstepping fast terminal sliding mode controller for un-certain quadrotor UAV. Aerosp. Sci. Technol. 2019, 93, 105306. [Google Scholar] [CrossRef]
- Ran, M.; Wang, Q.; Hou, D.; Dong, C. Backstepping design of missile guidance and control based on adaptive fuzzy sliding mode control. Chin. J. Aeronaut. 2014, 27, 634–642. [Google Scholar] [CrossRef]










| Variable Notation | Description | Units and Values of Parameters |
|---|---|---|
| Main rotor inertia | 6.8 kgm | |
| Tail rotor inertia | kgm | |
| Constant | 0.0135 | |
| Constant | 0.0924 | |
| Constant | 0.02 | |
| Constant | 0.9 | |
| Gravitational momentum | 0.32 Nm | |
| Frictional parameter | Nms rad | |
| Frictional parameter | Nms/rad | |
| Frictional parameter | Nms/rad | |
| Frictional parameter | Nms/rad | |
| Gyroscopic parameter | 0.05 rad/s | |
| Gain of main motor | 1.1 | |
| Gain of tail motor | 0.8 | |
| Denominator of motor | 1.1 | |
| Numerator of motor | 1 | |
| Denominator of motor | 1 | |
| Numerator of motor | 1 | |
| Coupling reaction for gain | 2 |
Disclaimer/Publisher’s Note: The statements, opinions and data contained in all publications are solely those of the individual author(s) and contributor(s) and not of MDPI and/or the editor(s). MDPI and/or the editor(s) disclaim responsibility for any injury to people or property resulting from any ideas, methods, instructions or products referred to in the content. |
© 2023 by the authors. Licensee MDPI, Basel, Switzerland. This article is an open access article distributed under the terms and conditions of the Creative Commons Attribution (CC BY) license (https://creativecommons.org/licenses/by/4.0/).
Share and Cite
Abbas, N.; Abbas, Z.; Liu, X. Adaptive Recursive Sliding Mode Control (ARSMC)-Based UAV Control for Future Smart Cities. Appl. Sci. 2023, 13, 6790. https://doi.org/10.3390/app13116790
Abbas N, Abbas Z, Liu X. Adaptive Recursive Sliding Mode Control (ARSMC)-Based UAV Control for Future Smart Cities. Applied Sciences. 2023; 13(11):6790. https://doi.org/10.3390/app13116790
Chicago/Turabian StyleAbbas, Nadir, Zeshan Abbas, and Xiaodong Liu. 2023. "Adaptive Recursive Sliding Mode Control (ARSMC)-Based UAV Control for Future Smart Cities" Applied Sciences 13, no. 11: 6790. https://doi.org/10.3390/app13116790
APA StyleAbbas, N., Abbas, Z., & Liu, X. (2023). Adaptive Recursive Sliding Mode Control (ARSMC)-Based UAV Control for Future Smart Cities. Applied Sciences, 13(11), 6790. https://doi.org/10.3390/app13116790

