The LHAASO PeVatron Bright Sky: What We Learned
Abstract
1. Introduction
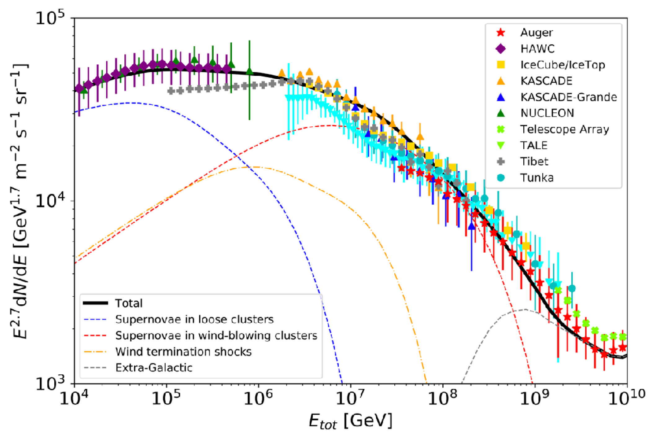
1.1. Status of the Field before the LHAASO Results
1.2. Status of the Field after the LHAASO Results
- CRs were discovered in 1912 but, despite the enormous efforts made in recent years, the primary three questions about their origin still need to be clarified: what are their sources, how are they accelerated, and how do they propagate?
- Two direct pieces of evidence were identified in -rays as a signature of sources of galactic CRs: the “pion bump” below 100 MeV, due to the decay, and -ray emissions at E TeV.
- In the standard paradigm, the main candidates for galactic CR acceleration are SNRs, mainly for energetic reasons. In spite of the evidence of the “pion bump” in some of them, no SNRs have been detected at E TeV, and the hypothesis that other kinds of source could contribute to CR acceleration emerged.
- The first observational evidence of VHE emissions without the sign of a cutoff from MSCs, microquasars, and PWNe confirmed this latter hypothesis and questioned the emissions at E TeV as the “smoking gun” of hadronic acceleration.
- The detection of 12 Galactic PeVatrons by LHAASO confirmed that sources other from SNRs can accelerate CRs and that electrons can emit UHE -ray. Consequently, we need further help to understand which sources are really CR accelerators.
- Neutrino detection and better morphological reconstruction are fundamental tools to achieve this aim, and future instruments can be of great help.

2. PeVatron Candidate Source Typologies
- Energetics—Hadronic PeVatrons must explain the CR power of the Galaxy, estimated to be about 10–10 erg/s [11];
- Maximum energy—The acceleration efficiency at the source must be able to explain the PeV particle energies;
- Composition—Galactic CR sources must explain why their composition that is slightly different with respect to solar CRs (e.g., large overabundance of light elements, overabundance of metals with respect to H and He) [10,11]. Moreover, the composition varies with energy (e.g., different elements have different spectral indices), and this energy dependence also needs to be reproduced.
- Evidence of UHE -ray emission ( TeV)—If we have CR acceleration, we expect protons that are accelerated at least up to 1 PeV and, consequently, -ray emission well above 100 TeV without a cutoff in the spectrum;
- Spectral curvature—The parent particle power-law is modified by the existence of a maximum energy and/or by some breaks due to losses;
- Extended emissions with a likely energy-dependent morphology—CRs diffuse through the media surrounding the source and diffusion (as in cooling) is energy dependent;
- Multi-wavelength counterpart—Secondary non-thermal electrons produced in the p-p interaction are emitted in radio/X-ray bands.
2.1. The Standard Candidates: Supernova Remnants

2.2. Superbubbles and Young Massive Clusters
2.3. Pulsar Wind Nebulae: The Crab and the Others
2.4. TeV Halos
2.5. Gamma-Ray Binaries and Microquasars
3. Overview of the 12 LHAASO Sources
3.1. LHAASOJ0534+2202 (Crab Nebula)
3.2. LHAASO J1825-1326

3.3. LHAASO J1839-0545
3.4. LHAASO J1843-0338
3.5. LHAASO J1849-0003
3.6. LHAASO J1908+621

3.7. LHAASO J1929+1745

3.8. LHAASO J1956+2845

3.9. LHAASO J2018+3651

3.10. LHAASO J2032+4102

3.11. LHAASO J2108+5157

3.12. LHAASO J2226+6057

4. The Future
- Higher angular resolution of the future VHE/UHE -ray instruments;
- Higher sensitivity of the future neutrino experiments;
- Multiwavelength and multi-messenger analysis of the same source;
- Improvements in the comprehension of the micro-physics of different kinds of source.


5. Conclusions

Author Contributions
Funding
Acknowledgments
Conflicts of Interest
Abbreviations
| IACT | Imaging Atmospheric Cherenkov Telescope |
| CR | Cosmic Ray |
| CTA | Cherenkov Telescope Array |
| DSA | Diffusive Shock Acceleration |
| EAS | Extensive Air Shower |
| GMC | Giant Molecular Cloud |
| HE | High Energy |
| IACT | Imaging Atmospheric Cherenkov Telescope |
| IC | Inverse Compton |
| MC | Molecular Cloud |
| MSC | Massive Star Cluster |
| PWN | Pulsar Wind Nebula |
| SNR | Supernova Remnant |
| UHE | Ultra High Energy |
| VHE | Very High Energy |
| YMSC | Young Massive Star Cluster |
References
- Kobayashi, K.; Marrocchesi, P.S.; Calet Collaboration. Extended measurement of the proton spectrum with CALET on the International Space Station. In Proceedings of the 37th International Cosmic Ray Conference, Berlin, Germany, 12–23 July 2021; p. 98. [Google Scholar] [CrossRef]
- Lipari, P.; Vernetto, S. The shape of the cosmic ray proton spectrum. Astropart. Phys. 2020, 120, 102441. [Google Scholar] [CrossRef]
- Donghwa, K. Cosmic Rays Around the Knee—Composition and Latest Results. 2022. Available online: https://indico.desy.de/event/34265/contributions/129166/attachments/78684/102206/HONEST_CRs_Knee_DonghwaKang.pdf (accessed on 1 December 2022).
- Vink, J. Galactic Cosmic Rays: Energy Budget vs. Maximum Energy. 2022. Available online: https://indico.desy.de/event/34265/contributions/132799/attachments/78672/102182/Vink_SNRs_PeVatrons.pdf (accessed on 1 December 2022).
- Aharonian, F. On the Identification and Localisation of Cosmic Ray PeVatrons Inside Extended UHE Gamma-Ray Sources. 2022. Available online: https://indico.desy.de/event/34265/contributions/130568/attachments/78794/102365/FA-HONEST.pdf (accessed on 1 December 2022).
- Schröder, F.G. News from Cosmic Ray Air Showers (ICRC 2019—Cosmic Ray Indirect Rapport). arXiv 2019, arXiv:1910.03721. [Google Scholar]
- Coleman, A. Measurement of the Cosmic Ray Flux near the Second Knee with the Pierre Auger Observatory. In Proceedings of the 36th International Cosmic Ray Conference (ICRC2019), Madison, WI, USA, 22 July 2019; Volume 36, p. 225. [Google Scholar] [CrossRef]
- Cristofari, P. The Hunt for Pevatrons: The Case of Supernova Remnants. Universe 2021, 7, 324. [Google Scholar] [CrossRef]
- Adriani, O.; Akaike, Y.; Asano, K.; Asaoka, Y.; Berti, E.; Bigongiari, G.; Binns, W.R.; Bongi, M.; Brogi, P.; Bruno, A.; et al. Observation of Spectral Structures in the Flux of Cosmic-Ray Protons from 50 GeV to 60 TeV with the Calorimetric Electron Telescope on the International Space Station. Phys. Rev. Lett. 2022, 129, 101102. [Google Scholar] [CrossRef] [PubMed]
- Blasi, P. Acceleration of galactic cosmic rays. Nuovo C. Riv. Ser. 2019, 42, 549–600. [Google Scholar] [CrossRef]
- Gabici, S.; Evoli, C.; Gaggero, D.; Lipari, P.; Mertsch, P.; Orlando, E.; Strong, A.; Vittino, A. The origin of Galactic cosmic rays: Challenges to the standard paradigm. Int. J. Mod. Phys. 2019, 28, 1930022–1930339. [Google Scholar] [CrossRef]
- Giuliani, A.; Cardillo, M.; Tavani, M.; Fukui, Y.; Yoshiike, S.; Torii, K.; Dubner, G.; Castelletti, G.; Barbiellini, G.; Bulgarelli, A.; et al. Neutral Pion Emission from Accelerated Protons in the Supernova Remnant W44. Astrophys. J. Lett. 2011, 742, L30. [Google Scholar] [CrossRef]
- Ackermann, M.; Ajello, M.; Allafort, A.; Baldini, L.; Ballet, J.; Barbiellini, G.; Baring, M.G.; Bastieri, D.; Bechtol, K.; Bellazzini, R.; et al. Detection of the Characteristic Pion-Decay Signature in Supernova Remnants. Science 2013, 339, 807–811. [Google Scholar] [CrossRef]
- Cardillo, M.; Amato, E.; Blasi, P. Supernova remnant W44: A case of cosmic-ray reacceleration. Astron. Astrophys. 2016, 595, A58. [Google Scholar] [CrossRef]
- Bell, A.R.; Schure, K.M.; Reville, B.; Giacinti, G. Cosmic-ray acceleration and escape from supernova remnants. Mon. Not. R. Astron. Soc. 2013, 431, 415–429. [Google Scholar] [CrossRef]
- Cardillo, M.; Amato, E.; Blasi, P. On the cosmic ray spectrum from type II supernovae expanding in their red giant presupernova wind. Astropart. Phys. 2015, 69, 1–10. [Google Scholar] [CrossRef]
- de Oña Wilhelmi, E.; Sushch, I.; Brose, R.; Mestre, E.; Su, Y.; Zanin, R. SNR G39.2-0.3, an hadronic cosmic rays accelerator. Mon. Not. R. Astron. Soc. 2020, 497, 3581–3590. [Google Scholar] [CrossRef]
- Sushch, I.; Brose, R. Limits on compression of cosmic rays in supernova remnants. arXiv 2023, arXiv:2302.10591. [Google Scholar] [CrossRef]
- Bykov, A.M. Particle Acceleration and Nonthermal Phenomena in Superbubbles. Space Sci. Rev. 2001, 99, 317–326. [Google Scholar] [CrossRef]
- Abeysekara, A.U.; Albert, A.; Alfaro, R.; Alvarez, C.; Álvarez, J.D.; Camacho, J.R.A.; Arceo, R.; Arteaga-Velázquez, J.C.; Arunbabu, K.P.; Avila Rojas, D.; et al. Measurement of the Crab Nebula Spectrum Past 100 TeV with HAWC. Astrophys. J. 2019, 881, 134. [Google Scholar] [CrossRef]
- Abeysekara, A.U.; Albert, A.; Alfaro, R.; Angeles Camacho, J.R.; Arteaga-Velázquez, J.C.; Arunbabu, K.P.; Avila Rojas, D.; Ayala Solares, H.A.; Baghmanyan, V.; Belmont-Moreno, E.; et al. Multiple Galactic Sources with Emission Above 56 TeV Detected by HAWC. Phys. Rev. Lett. 2020, 124, 021102. [Google Scholar] [CrossRef] [PubMed]
- H.E.S.S. Collaboration; Abdalla, H.; Aharonian, F.; Ait Benkhali, F.; Angüner, E.O.; Arakawa, M.; Arcaro, C.; Armand, C.; Arrieta, M.; Backes, M.; et al. Particle transport within the pulsar wind nebula HESS J1825-137. Astron. Astrophys. 2019, 621, A116. [Google Scholar] [CrossRef]
- Amenomori, M.; Bao, Y.W.; Bi, X.J.; Chen, D.; Chen, T.L.; Chen, W.Y.; Chen, X.; Chen, Y.; Cirennima; Cui, S.W.; et al. First Detection of Photons with Energy beyond 100 TeV from an Astrophysical Source. Phys. Rev. Lett. 2019, 123, 051101. [Google Scholar] [CrossRef]
- Breuhaus, M.; Hahn, J.; Romoli, C.; Reville, B.; Giacinti, G.; Tuffs, R.; Hinton, J.A. Ultra-high Energy Inverse Compton Emission from Galactic Electron Accelerators. Astrophys. J. Lett. 2021, 908, L49. [Google Scholar] [CrossRef]
- Albert, A.; Alfaro, R.; Alvarez, C.; Álvarez, J.D.; Angeles Camacho, J.R.; Arteaga-Velázquez, J.C.; Arunbabu, K.P.; Avila Rojas, D.; Ayala Solares, H.A.; Baghmanyan, V.; et al. Evidence that Ultra-high-energy Gamma Rays Are a Universal Feature near Powerful Pulsars. Astrophys. J. Lett. 2021, 911, L27. [Google Scholar] [CrossRef]
- de Oña Wilhelmi, E.; López-Coto, R.; Amato, E.; Aharonian, F. On the Potential of Bright, Young Pulsars to Power Ultrahigh Gamma-Ray Sources. Astrophys. J. Lett. 2022, 930, L2. [Google Scholar] [CrossRef]
- Anchordoqui, L.A.; Barger, V.; Cholis, I.; Goldberg, H.; Hooper, D.; Kusenko, A.; Learned, J.G.; Marfatia, D.; Pakvasa, S.; Paul, T.C.; et al. Cosmic neutrino pevatrons: A brand new pathway to astronomy, astrophysics, and particle physics. J. High Energy Astrophys. 2014, 1–2, 1–30. [Google Scholar] [CrossRef]
- Celli, S.; Aharonian, F.; Gabici, S. Spectral Signatures of PeVatrons. Astrophys. J. 2020, 903, 61. [Google Scholar] [CrossRef]
- Abbasi, R.; Ackermann, M.; Adams, J.; Ahlers, M.; Ahrens, J.; Andeen, K.; Auffenberg, J.; Bai, X.; Baker, M.; Barwick, S.W.; et al. The IceCube data acquisition system: Signal capture, digitization, and timestamping. Nucl. Instrum. Methods Phys. Res. 2009, 601, 294–316. [Google Scholar] [CrossRef]
- Zaborov, D. High-energy neutrino astronomy and the Baikal-GVD neutrino telescope. arXiv 2020, arXiv:2011.09209. [Google Scholar]
- Agostini, M.; Böhmer, M.; Bosma, J.; Clark, K.; Danninger, M.; Fruck, C.; Gernhäuser, R.; Gärtner, A.; Grant, D.; Henningsen, F.; et al. The Pacific Ocean Neutrino Experiment. Nat. Astron. 2020, 4, 913–915. [Google Scholar] [CrossRef]
- Aartsen, M.G.; Abbasi, R.; Ackermann, M.; Adams, J.; Aguilar, J.A.; Ahlers, M.; Ahrens, M.; Alispach, C.; Allison, P.; Amin, N.M.; et al. IceCube-Gen2: The window to the extreme Universe. J. Phys. Nucl. Phys. 2021, 48, 060501. [Google Scholar] [CrossRef]
- Adrián-Martínez, S.; Ageron, M.; Aharonian, F.; Aiello, S.; Albert, A.; Ameli, F.; Anassontzis, E.; Andre, M.; Androulakis, G.; Anghinolfi, M.; et al. Letter of intent for KM3NeT 2.0. J. Phys. Nucl. Phys. 2016, 43, 084001. [Google Scholar] [CrossRef]
- Mandelartz, M.; Becker Tjus, J. Prediction of the diffuse neutrino flux from cosmic ray interactions near supernova remnants. Astropart. Phys. 2015, 65, 80–100. [Google Scholar] [CrossRef][Green Version]
- Huang, T.Q.; Li, Z. Neutrino observations of LHAASO sources: Present constraints and future prospects. Mon. Not. R. Astron. Soc. 2022, 514, 852–862. [Google Scholar] [CrossRef]
- Sarmah, P.; Chakraborty, S.; Joshi, J.C. Probing LHAASO galactic PeVatrons through gamma-ray and neutrino correspondence. Mon. Not. R. Astron. Soc. 2023, 521, 1144–1151. [Google Scholar] [CrossRef]
- Aartsen, M.G.; Ackermann, M.; Adams, J.; Aguilar, J.A.; Ahlers, M.; Ahrens, M.; Alispach, C.; Andeen, K.; Anderson, T.; Ansseau, I.; et al. Time-Integrated Neutrino Source Searches with 10 Years of IceCube Data. Phys. Rev. Lett. 2020, 124, 051103. [Google Scholar] [CrossRef]
- IceCube Collaboration; Aartsen, M.G.; Ackermann, M.; Adams, J.; Aguilar, J.A.; Ahlers, M.; Ahrens, M.; Al Samarai, I.; Altmann, D.; Andeen, K.; et al. Multimessenger observations of a flaring blazar coincident with high-energy neutrino IceCube-170922A. Science 2018, 361, eaat1378. [Google Scholar] [CrossRef]
- Abbasi, R.; Ackermann, M.; Adams, J.; Aguilar, J.A.; Ahlers, M.; Ahrens, M.; Alispach, C.; Alves, A.A.; Amin, N.M.; Andeen, K.; et al. IceCube high-energy starting event sample: Description and flux characterization with 7.5 years of data. Phys. Rev. 2021, 104, 022002. [Google Scholar] [CrossRef]
- Chakraborty, S.; Izaguirre, I. Star-forming galaxies as the origin of IceCube neutrinos: Reconciliation with Fermi-LAT gamma rays. arXiv 2016, arXiv:1607.03361. [Google Scholar]
- Petropoulou, M.; Coenders, S.; Vasilopoulos, G.; Kamble, A.; Sironi, L. Point-source and diffuse high-energy neutrino emission from Type IIn supernovae. Mon. Not. R. Astron. Soc. 2017, 470, 1881–1893. [Google Scholar] [CrossRef]
- Sarmah, P.; Chakraborty, S.; Tamborra, I.; Auchettl, K. High energy particles from young supernovae: Gamma-ray and neutrino connections. J. Cosmol. Astropart. Phys. 2022, 2022, 011. [Google Scholar] [CrossRef]
- Cao, Z.; Aharonian, F.A.; An, Q.; Axikegu; Bai, L.X.; Bai, Y.X.; Bao, Y.W.; Bastieri, D.; Bi, X.J.; Bi, Y.J.; et al. Ultrahigh-energy photons up to 1.4 petaelectronvolts from 12 γ-ray Galactic sources. Nature 2021, 594, 33–36. [Google Scholar] [CrossRef]
- Cao, Z.; Aharonian, F.; An, Q.; Axikegu; Bai, L.X.; Bai, Y.X.; Bao, Y.W.; Bastieri, D.; Bi, X.J.; Bi, Y.J.; et al. Discovery of a New Gamma-Ray Source, LHAASO J0341+5258, with Emission up to 200 TeV. Astrophys. J. Lett. 2021, 917, L4. [Google Scholar] [CrossRef]
- Aharonian, F.; An, Q.; Axikegu; Bai, L.X.; Bai, Y.X.; Bao, Y.W.; Bastieri, D.; Bi, X.J.; Bi, Y.J.; Cai, H.; et al. Extended Very-High-Energy Gamma-Ray Emission Surrounding PSR J 0622 +3749 Observed by LHAASO-KM2A. Phys. Rev. Lett. 2021, 126, 241103. [Google Scholar] [CrossRef]
- Vink, J. What sources are the dominant Galactic cosmic-ray accelerators? arXiv 2022, arXiv:2212.10677. [Google Scholar]
- Amato, E.; Casanova, S. On particle acceleration and transport in plasmas in the Galaxy: Theory and observations. J. Plasma Phys. 2021, 87, 845870101. [Google Scholar] [CrossRef]
- Fiori, M.; Olmi, B.; Amato, E.; Bandiera, R.; Bucciantini, N.; Zampieri, L.; Burtovoi, A. Modelling the γ-ray pulsar wind nebulae population in our galaxy. Mon. Not. R. Astron. Soc. 2022, 511, 1439–1453. [Google Scholar] [CrossRef]
- Uzdensky, D.A.; Cerutti, B.; Begelman, M.C. Reconnection-powered Linear Accelerator and Gamma-Ray Flares in the Crab Nebula. Astrophys. J. Lett. 2011, 737, L40. [Google Scholar] [CrossRef]
- Cerutti, B.; Werner, G.R.; Uzdensky, D.A.; Begelman, M.C. Gamma-ray flares in the Crab Nebula: A case of relativistic reconnection?a). Phys. Plasmas 2014, 21, 056501. [Google Scholar] [CrossRef]
- Lyutikov, M.; Komissarov, S.; Sironi, L.; Porth, O. Particle acceleration in explosive relativistic reconnection events and Crab Nebula gamma-ray flares. J. Plasma Phys. 2018, 84, 635840201. [Google Scholar] [CrossRef]
- MAGIC Collaboration; Acciari, V.A.; Ansoldi, S.; Antonelli, L.A.; Arbet Engels, A.; Baack, D.; Babić, A.; Banerjee, B.; Barres de Almeida, U.; Barrio, J.A.; et al. Resolving the origin of very-high-energy gamma-ray emission from the PeVatron candidate SNR G106.3+2.7 using MAGIC telescopes. In Proceedings of the 37th International Cosmic Ray Conference (ICRC2021), Berlin, Germany, 12–23 July 2021; Volume 395, p. 796. [Google Scholar]
- Liu, Q.C.; Zhou, P.; Chen, Y. IRAM 30 m CO-line Observation toward the PeVatron Candidate G106.3+2.7: Direct Interaction between the Shock and the Molecular Cloud Remains Uncertain. Astrophys. J. 2022, 926, 124. [Google Scholar] [CrossRef]
- Fang, K.; Kerr, M.; Blandford, R.; Fleischhack, H.; Charles, E. Evidence for PeV Proton Acceleration from Fermi-LAT Observations of SNR G 106.3 +2.7. Phys. Rev. Lett. 2022, 129, 071101. [Google Scholar] [CrossRef]
- Liang, X.H.; Li, C.M.; Wu, Q.Z.; Pan, J.S.; Liu, R.Y. A PeVatron Candidate: Modeling the Boomerang Nebula in X-ray Band. Universe 2022, 8, 547. [Google Scholar] [CrossRef]
- Corso, N.; Diesing, R.; Caprioli, D. Hadronic versus leptonic origin of gamma-ray emission from supernova remnants. arXiv 2023, arXiv:2301.10257. [Google Scholar]
- Sudoh, T.; Beacom, J.F. Where are Milky Way’s hadronic PeVatrons? Phys. Rev. 2023, 107, 043002. [Google Scholar] [CrossRef]
- Pareschi, G.; Agnetta, G.; Antonelli, L.A.; Bastieri, D.; Bellassai, G.; Belluso, M.; Billotta, S.; Biondo, B.; Bonanno, G.; Bonnoli, G.; et al. The Dual-mirror Small Size Telescope for the Cherenkov Telescope Array. In Proceedings of the International Cosmic Ray Conference, Rio de Janeiro, Brazil, 2–9 July 2013; Volume 33, p. 1151. [Google Scholar]
- Scuderi, S. The ASTRI Program. Eur. Phys. J. Web Conf. 2019, 209, 01001. [Google Scholar] [CrossRef]
- Giro, E.; Canestrari, R.; Bruno, P.; Catalano, O.; Fugazza, D.; La Palombara, N.; Maccarone, M.C.; Pareschi, G.; Russo, F.; Scuderi, S.; et al. The ASTRI-Horn telescope validation toward the production of the ASTRI Mini-Array: A proposed pathfinder for the Cherenkov Telescope Array. In Proceedings of the Conference Series, San Diego, CA, USA, 9 September 2019; Volume 11119, p. 111191E. [Google Scholar] [CrossRef]
- Scuderi, S.; Giuliani, A.; Pareschi, G.; Tosti, G.; Catalano, O.; Amato, E.; Antonelli, L.A.; Becerra Gonzàles, J.; Bellassai, G.; Bigongiari, C.; et al. The ASTRI Mini-Array of Cherenkov telescopes at the Observatorio del Teide. J. High Energy Astrophys. 2022, 35, 52–68. [Google Scholar] [CrossRef]
- Vercellone, S.; Bigongiari, C.; Burtovoi, A.; Cardillo, M.; Catalano, O.; Franceschini, A.; Lombardi, S.; Nava, L.; Pintore, F.; Stamerra, A.; et al. ASTRI Mini-Array core science at the Observatorio del Teide. J. High Energy Astrophys. 2022, 35, 1–42. [Google Scholar] [CrossRef]
- Consortium, C. Science with the Cherenkov Telescope Array; World Scientific: Singapore, 2019. [Google Scholar] [CrossRef]
- Huang, T.Q.; Li, Z. Constraints on Hadronic Contributions to LHAASO Sources with Neutrino Observations. Astrophys. J. 2022, 925, 85. [Google Scholar] [CrossRef]
- Albert, A.; André, M.; Anghinolfi, M.; Anton, G.; Ardid, M.; Aubert, J.J.; Avgitas, T.; Baret, B.; Barrios-Martí, J.; Basa, S.; et al. New constraints on all flavor Galactic diffuse neutrino emission with the ANTARES telescope. Phys. Rev. 2017, 96, 062001. [Google Scholar] [CrossRef]
- Abbasi, R.; Ackermann, M.; Adams, J.; Aggarwal, N.; Aguilar, J.A.; Ahlers, M.; Alameddine, J.M.; Alves, A.A.; Amin, N.M.; Andeen, K.; et al. Searches for Neutrinos from Large High Altitude Air Shower Observatory Ultra-high-energy γ-Ray Sources Using the IceCube Neutrino Observatory. Astrophys. J. Lett. 2023, 945, L8. [Google Scholar] [CrossRef]
- Morlino, G. Stellar Clusters as PeVatrons: Cosmic Ray Acceleration. 2022. Available online: https://indico.desy.de/event/34265/contributions/129173/attachments/78800/102371/Morlino-Stellar-clusters2.pdf (accessed on 1 December 2022).
- Gabici, S. Problems of the (Isolated) Supernova Remnant Paradigm. 2022. Available online: https://indico.desy.de/event/34265/contributions/129169/attachments/78735/102279/gabici.pdff (accessed on 1 December 2022).
- Amato, E.; Olmi, B. The Crab Pulsar and Nebula as Seen in Gamma-Rays. Universe 2021, 7, 448. [Google Scholar] [CrossRef]
- Olmi, B.; Bucciantini, N. From young to old: The evolutionary path of Pulsar Wind Nebulae. arXiv 2023, arXiv:2301.12903. [Google Scholar] [CrossRef]
- Reville, B. Maximum Energy in SNR Shocks. 2022. Available online: https://indico.desy.de/event/34265/contributions/129170/attachments/78717/102281/Honest-Rev.pdff (accessed on 1 December 2022).
- Liu, R.Y.; Wang, X.Y. Origin of Galactic Sub-PeV Diffuse Gamma-Ray Emission: Constraints from High-energy Neutrino Observations. Astrophys. J. Lett. 2021, 914, L7. [Google Scholar] [CrossRef]
- Schoorlemmer, H. A next-generation ground-based wide field-of-view gamma-ray observatory in the southern hemisphere. In Proceedings of the 36th International Cosmic Ray Conference (ICRC2019), Madison, WI, USA, 22 July 2019; Volume 36, p. 785. [Google Scholar] [CrossRef]
- Gress, O.; Astapov, I.; Budnev, N.; Bezyazeekov, P.; Bogdanov, A.; Boreyko, V.; Brückner, M.; Chiavassa, A.; Chvalaev, O.; Dyachok, A.; et al. The wide-aperture gamma-ray telescope TAIGA-HiSCORE in the Tunka Valley: Design, composition and commissioning. Nucl. Instruments Methods Phys. Res. 2017, 845, 367–372. [Google Scholar] [CrossRef]
- Vieu, T.; Reville, B. Massive star cluster origin for the galactic cosmic ray population at very-high energies. Mon. Not. R. Astron. Soc. 2023, 519, 136–147. [Google Scholar] [CrossRef]
- Amato, E. The origin of galactic cosmic rays. Int. J. Mod. Phys. 2014, 23, 1430013. [Google Scholar] [CrossRef]
- Hinton, J. PeVatrons and their Environments: Future Surveys. 2022. Available online: https://indico.desy.de/event/34265/contributions/129186/attachments/78819/102402/HONESTworkshopPeVsurveys.pdf (accessed on 1 December 2022).
- Blasi, P. The origin of galactic cosmic rays. Astron. Astrophys. Rev. 2013, 21, 70. [Google Scholar] [CrossRef]
- Ginzburg, V.L.; Syrovatskii, S.I. The Origin of Cosmic Rays; Elsevier: Amsterdam, The Netherlands, 1964. [Google Scholar]
- Fermi, E. On the Origin of the Cosmic Radiation. Phys. Rev. 1949, 75, 1169–1174. [Google Scholar] [CrossRef]
- Berezhko, E.G.; Ellison, D.C. A Simple Model of Nonlinear Diffusive Shock Acceleration. Astrophys. J. 1999, 526, 385–399. [Google Scholar] [CrossRef]
- Bell, A.R. Cosmic ray origins in supernova blast waves. Mon. Not. R. Astron. Soc. 2015, 447, 2224–2234. [Google Scholar] [CrossRef]
- Koyama, K.; Petre, R.; Gotthelf, E.V.; Hwang, U.; Matsuura, M.; Ozaki, M.; Holt, S.S. Evidence for shock acceleration of high-energy electrons in the supernova remnant SN1006. Nature 1995, 378, 255–258. [Google Scholar] [CrossRef]
- Aharonian, F.A.; Akhperjanian, A.G.; Aye, K.M.; Bazer-Bachi, A.R.; Beilicke, M.; Benbow, W.; Berge, D.; Berghaus, P.; Bernlöhr, K.; Bolz, O.; et al. High-energy particle acceleration in the shell of a supernova remnant. Nature 2004, 432, 75–77. [Google Scholar] [CrossRef]
- Uchiyama, Y.; Aharonian, F.A.; Tanaka, T.; Takahashi, T.; Maeda, Y. Extremely fast acceleration of cosmic rays in a supernova remnant. Nature 2007, 449, 576–578. [Google Scholar] [CrossRef]
- Vink, J. Supernova remnants: The X-ray perspective. Astron. Astrophys. Rev. 2012, 20, 49. [Google Scholar] [CrossRef]
- Morlino, G.; Bandiera, R.; Blasi, P.; Amato, E. Collisionless Shocks in a Partially Ionized Medium. II. Balmer Emission. Astrophys. J. 2012, 760, 137. [Google Scholar] [CrossRef]
- Cardillo, M.; Tavani, M.; Giuliani, A.; Yoshiike, S.; Sano, H.; Fukuda, T.; Fukui, Y.; Castelletti, G.; Dubner, G. The supernova remnant W44: Confirmations and challenges for cosmic-ray acceleration. Astron. Astrophys. 2014, 565, A74. [Google Scholar] [CrossRef]
- Jogler, T.; Funk, S. Revealing W51C as a Cosmic Ray Source Using Fermi-LAT Data. Astrophys. J. 2016, 816, 100. [Google Scholar] [CrossRef]
- Collaboration, H.E.S.S.; Abdalla, H.; Abramowski, A.; Aharonian, F.; Ait Benkhali, F.; Akhperjanian, A.G.; Andersson, T.; Angüner, E.O.; Arrieta, M.; Aubert, P.; et al. The supernova remnant W49B as seen with H.E.S.S. and Fermi-LAT. Astron. Astrophys. 2018, 612, A5. [Google Scholar] [CrossRef]
- Lagage, P.O.; Cesarsky, C.J. The maximum energy of cosmic rays accelerated by supernova shocks. Astron. Astrophys. 1983, 125, 249–257. [Google Scholar]
- Cristofari, P.; Blasi, P.; Amato, E. The low rate of Galactic pevatrons. Astropart. Phys. 2020, 123, 102492. [Google Scholar] [CrossRef]
- Gabici, S.; Aharonian, F.A.; Blasi, P. Gamma rays from molecular clouds. Astrophys. Space Sci. 2007, 309, 365–371. [Google Scholar] [CrossRef]
- Aharonian, F.; Yang, R.; de Oña Wilhelmi, E. Massive stars as major factories of Galactic cosmic rays. Nat. Astron. 2019, 3, 561–567. [Google Scholar] [CrossRef]
- Cesarsky, C.J.; Montmerle, T. Gamma-Rays from Active Regions in the Galaxy—The Possible Contribution of Stellar Winds. Space Sci. Rev. 1983, 36, 173–193. [Google Scholar] [CrossRef]
- Montmerle, T. On gamma-ray sources, supernova remnants, OB associations, and the origin of cosmic rays. Astrophys. J. 1979, 231, 95–110. [Google Scholar] [CrossRef]
- Klepach, E.G.; Ptuskin, V.S.; Zirakashvili, V.N. Cosmic ray acceleration by multiple spherical shocks. Astropart. Phys. 2000, 13, 161–172. [Google Scholar] [CrossRef]
- Parizot, E.; Marcowith, A.; van der Swaluw, E.; Bykov, A.M.; Tatischeff, V. Superbubbles and energetic particles in the Galaxy. I. Collective effects of particle acceleration. Astron. Astrophys. 2004, 424, 747–760. [Google Scholar] [CrossRef]
- Collaboration, H.E.S.S.; Abdalla, H.; Abramowski, A.; Aharonian, F.; Ait Benkhali, F.; Angüner, E.O.; Arakawa, M.; Arrieta, M.; Aubert, P.; Backes, M.; et al. The H.E.S.S. Galactic plane survey. Astron. Astrophys. 2018, 612, A1. [Google Scholar] [CrossRef]
- Aharonian, F.; Akhperjanian, A.; Beilicke, M.; Bernlöhr, K.; Börst, H.; Bojahr, H.; Bolz, O.; Coarasa, T.; Contreras, J.; Cortina, J.; et al. An unidentified TeV source in the vicinity of Cygnus OB2. Astron. Astrophys. 2002, 393, L37–L40. [Google Scholar] [CrossRef]
- Ackermann, M.; Ajello, M.; Allafort, A.; Baldini, L.; Ballet, J.; Barbiellini, G.; Bastieri, D.; Belfiore, A.; Bellazzini, R.; Berenji, B.; et al. A Cocoon of Freshly Accelerated Cosmic Rays Detected by Fermi in the Cygnus Superbubble. Science 2011, 334, 1103. [Google Scholar] [CrossRef]
- Abeysekara, A.U.; Archer, A.; Aune, T.; Benbow, W.; Bird, R.; Brose, R.; Buchovecky, M.; Bugaev, V.; Cui, W.; Daniel, M.K.; et al. A Very High Energy γ-Ray Survey toward the Cygnus Region of the Galaxy. Astrophys. J. 2018, 861, 134. [Google Scholar] [CrossRef]
- Abeysekara, A.U.; Albert, A.; Alfaro, R.; Alvarez, C.; Camacho, J.R.A.; Arteaga-Velázquez, J.C.; Arunbabu, K.P.; Rojas, D.A.; Solares, H.A.A.; Baghmanyan, V.; et al. HAWC observations of the acceleration of very-high-energy cosmic rays in the Cygnus Cocoon. Nat. Astron. 2021, 5, 465–471. [Google Scholar] [CrossRef]
- Amenomori, M.; Bao, Y.W.; Bi, X.J.; Chen, D.; Chen, T.L.; Chen, W.Y.; Chen, X.; Chen, Y.; Cirennima; Cui, S.W.; et al. Gamma-Ray Observation of the Cygnus Region in the 100-TeV Energy Region. Phys. Rev. Lett. 2021, 127, 031102. [Google Scholar] [CrossRef]
- Collaboration, H.E.S.S.; Abramowski, A.; Acero, F.; Aharonian, F.; Akhperjanian, A.G.; Anton, G.; Barnacka, A.; Barres de Almeida, U.; Bazer-Bachi, A.R.; Becherini, Y.; et al. Revisiting the Westerlund 2 field with the HESS telescope array. Astron. Astrophys. 2011, 525, A46. [Google Scholar] [CrossRef]
- Collaboration, H.E.S.S.; Abramowski, A.; Aharonian, F.; Ait Benkhali, F.; Akhperjanian, A.G.; Angüner, E.O.; Backes, M.; Balenderan, S.; Balzer, A.; Barnacka, A.; et al. The exceptionally powerful TeV γ-ray emitters in the Large Magellanic Cloud. Science 2015, 347, 406–412. [Google Scholar] [CrossRef]
- Collaboration, H.E.S.S.; Abramowski, A.; Aharonian, F.; Benkhali, F.A.; Akhperjanian, A.G.; Angüner, E.O.; Backes, M.; Balzer, A.; Becherini, Y.; Tjus, J.B.; et al. Acceleration of petaelectronvolt protons in the Galactic Centre. Nature 2016, 531, 476–479. [Google Scholar] [CrossRef] [PubMed]
- Collaboration, H.E.S.S.; Abdalla, H.; Abramowski, A.; Aharonian, F.; Ait Benkhali, F.; Akhperjanian, A.G.; Andersson, T.; Angüner, E.O.; Arakawa, M.; Arrieta, M.; et al. Characterising the VHE diffuse emission in the central 200 parsecs of our Galaxy with H.E.S.S. Astron. Astrophys. 2018, 612, A9. [Google Scholar] [CrossRef]
- Aharonian, F.; Ashkar, H.; Backes, M.; Barbosa Martins, V.; Becherini, Y.; Berge, D.; Bi, B.; Böttcher, M.; de Bony de Lavergne, M.; Bradascio, F.; et al. A deep spectromorphological study of the γ-ray emission surrounding the young massive stellar cluster Westerlund 1. Astron. Astrophys. 2022, 666, A124. [Google Scholar] [CrossRef]
- Gupta, S.; Nath, B.B.; Sharma, P.; Eichler, D. Realistic modelling of wind and supernovae shocks in star clusters: Addressing 22Ne/20Ne and other problems in Galactic cosmic rays. Mon. Not. R. Astron. Soc. 2020, 493, 3159–3177. [Google Scholar] [CrossRef]
- Bykov, A.M.; Marcowith, A.; Amato, E.; Kalyashova, M.E.; Kruijssen, J.M.D.; Waxman, E. High-Energy Particles and Radiation in Star-Forming Regions. Space Sci. Rev. 2020, 216, 42. [Google Scholar] [CrossRef]
- Härer, L.K.; Reville, B.; Hinton, J.; Mohrmann, L.; Vieu, T. Understanding the TeV γ-ray emission surrounding the young massive star cluster Westerlund 1. Astron. Astrophys. 2023, 671, A4. [Google Scholar] [CrossRef]
- Badmaev, D.V.; Bykov, A.M.; Kalyashova, M.E. Inside the core of a young massive star cluster: 3D MHD simulations. Mon. Not. R. Astron. Soc. 2022, 517, 2818–2830. [Google Scholar] [CrossRef]
- Morlino, G.; Blasi, P.; Peretti, E.; Cristofari, P. Particle acceleration in winds of star clusters. Mon. Not. R. Astron. Soc. 2021, 504, 6096–6105. [Google Scholar] [CrossRef]
- Amato, E. Particle Acceleration in Pulsar Wind Nebulae. 2022. Available online: https://indico.desy.de/event/34265/contributions/129180/attachments/78806/102382/Amato_HONEST2.pdf (accessed on 1 December 2022).
- Abdo, A.A.; Allen, B.; Berley, D.; Casanova, S.; Chen, C.; Coyne, D.G.; Dingus, B.L.; Ellsworth, R.W.; Fleysher, L.; Fleysher, R.; et al. TeV Gamma-Ray Sources from a Survey of the Galactic Plane with Milagro. Astrophys. J. Lett. 2007, 664, L91–L94. [Google Scholar] [CrossRef]
- Abeysekara, A.U.; Albert, A.; Alfaro, R.; Alvarez, C.; Álvarez, J.D.; Arceo, R.; Arteaga-Velázquez, J.C.; Ayala Solares, H.A.; Barber, A.S.; Baughman, B.; et al. The 2HWC HAWC Observatory Gamma-Ray Catalog. Astrophys. J. 2017, 843, 40. [Google Scholar] [CrossRef]
- Linden, T.; Auchettl, K.; Bramante, J.; Cholis, I.; Fang, K.; Hooper, D.; Karwal, T.; Li, S.W. Using HAWC to discover invisible pulsars. Phys. Rev. 2017, 96, 103016. [Google Scholar] [CrossRef]
- Fang, K. Gamma-ray pulsar halos in the Galaxy. Front. Astron. Space Sci. 2022, 9, 1022100. [Google Scholar] [CrossRef]
- Aharonian, F.; Akhperjanian, A.G.; Aye, K.M.; Bazer-Bachi, A.R.; Beilicke, M.; Benbow, W.; Berge, D.; Berghaus, P.; Bernlöhr, K.; Boisson, C.; et al. Discovery of Very High Energy Gamma Rays Associated with an X-ray Binary. Science 2005, 309, 746–749. [Google Scholar] [CrossRef] [PubMed]
- Khangulyian, D. VHE γ-ray Experimental Results: Binary Systems at 100 TeV. 2022. Available online: https://indico.desy.de/event/34265/contributions/129182/attachments/78809/102388/DKhangulyan_PeVatrons.pdf (accessed on 1 December 2022).
- Collaboration, H.E.S.S.; Abdalla, H.; Adam, R.; Aharonian, F.; Ait Benkhali, F.; Angüner, E.O.; Arakawa, M.; Arcaro, C.; Armand, C.; Ashkar, H.; et al. H.E.S.S. and Fermi-LAT observations of PSR B1259-63/LS 2883 during its 2014 and 2017 periastron passages. Astron. Astrophys. 2020, 633, A102. [Google Scholar] [CrossRef]
- Huang, D.; Rho, C.D.; HAWC Collaboration Team. Analysis of High-mass Microquasar LS5039 using the newest HAWC data. In Proceedings of the APS April Meeting Abstracts, New York, NY, USA, 9–12 April 2022; Volume 67, p. G13.005. [Google Scholar]
- Tibolla, O. Recent results from the HAWC experiment. J. Phys. Conf. Ser. 2023, 2429, 012017. [Google Scholar] [CrossRef]
- Abeysekara, A.U.; Albert, A.; Alfaro, R.; Alvarez, C.; Álvarez, J.D.; Arceo, R.; Arteaga-Velázquez, J.C.; Avila Rojas, D.; Ayala Solares, H.A.; Belmont-Moreno, E.; et al. Very-high-energy particle acceleration powered by the jets of the microquasar SS 433. Nature 2018, 562, 82–85. [Google Scholar] [CrossRef]
- Fang, K.; Charles, E.; Blandford, R.D. GeV-TeV Counterparts of SS 433/W50 from Fermi-LAT and HAWC Observations. Astrophys. J. Lett. 2020, 889, L5. [Google Scholar] [CrossRef]
- Olivera-Nieto, L. The Jets of SS 433 As Seen by H.E.S.S. 2022. Available online: https://indico.icc.ub.edu/event/46/contributions/1302/attachments/443/871/ID382_OliveraNieto_SS433.pdf (accessed on 8 July 2022).
- Safi-Harb, S.; Mac Intyre, B.; Zhang, S.; Pope, I.; Zhang, S.; Saffold, N.; Mori, K.; Gotthelf, E.V.; Aharonian, F.; Band, M.; et al. Hard X-ray Emission from the Eastern Jet of SS 433 Powering the W50 “Manatee” Nebula: Evidence for Particle Reacceleration. Astrophys. J. 2022, 935, 163. [Google Scholar] [CrossRef]
- Cao, Z. A future project at tibet: The large high altitude air shower observatory (LHAASO). Chin. Phys. C 2010, 34, 249–252. [Google Scholar] [CrossRef]
- Lhaaso Collaboration; Cao, Z.; Aharonian, F.; An, Q.; Axikegu; Bai, L.X.; Bai, Y.X.; Bao, Y.W.; Bastieri, D.; Bi, X.J.; et al. Peta-electron volt gamma-ray emission from the Crab Nebula. Science 2021, 373, 425–430. [Google Scholar] [CrossRef] [PubMed]
- Wakely, S.P.; Horan, D. TeVCat: An online catalog for Very High Energy Gamma-Ray Astronomy. Int. Cosm. Ray Conf. 2008, 3, 1341–1344. [Google Scholar]
- Martin, P.; Marcowith, A.; Tibaldo, L. Are pulsar halos rare? Modeling the halos around PSRs J0633+1746 and B0656+14 in the light of Fermi-LAT, HAWC, and AMS-02 observations and extrapolating to other nearby pulsars. Astron. Astrophys. 2022, 665, A132. [Google Scholar] [CrossRef]
- Fang, K.; Xi, S.Q.; Bi, X.J. Self-consistent interpretations of the multiwavelength gamma-ray spectrum of LHAASO J 0621 +3755. Phys. Rev. 2021, 104, 103024. [Google Scholar] [CrossRef]
- Tavani, M.; Bulgarelli, A.; Vittorini, V.; Pellizzoni, A.; Striani, E.; Caraveo, P.; Weisskopf, M.C.; Tennant, A.; Pucella, G.; Trois, A.; et al. Discovery of Powerful Gamma-Ray Flares from the Crab Nebula. Science 2011, 331, 736. [Google Scholar] [CrossRef]
- Abdo, A.A.; Ackermann, M.; Ajello, M.; Allafort, A.; Baldini, L.; Ballet, J.; Barbiellini, G.; Bastieri, D.; Bechtol, K.; Bellazzini, R.; et al. Gamma-Ray Flares from the Crab Nebula. Science 2011, 331, 739. [Google Scholar] [CrossRef]
- Yeung, P.K.H.; Horns, D. Fermi Large Area Telescope observations of the fast-dimming Crab Nebula in 60-600 MeV. Astron. Astrophys. 2020, 638, A147. [Google Scholar] [CrossRef]
- Atoyan, A.M.; Aharonian, F.A. On the mechanisms of gamma radiation in the Crab Nebula. Mon. Not. R. Astron. Soc. 1996, 278, 525–541. [Google Scholar] [CrossRef]
- Nie, L.; Liu, Y.; Jiang, Z.; Geng, X. Ultra-high-energy Gamma-Ray Radiation from the Crab Pulsar Wind Nebula. Astrophys. J. 2022, 924, 42. [Google Scholar] [CrossRef]
- Olmi, B. The Crab Nebula at Very High Energies. 2022. Available online: https://indico.desy.de/event/34265/contributions/129181/attachments/78804/102379/Bolmi_CrabVHE.pdf (accessed on 1 December 2022).
- Aharonian, F.A.; Akhperjanian, A.G.; Bazer-Bachi, A.R.; Beilicke, M.; Benbow, W.; Berge, D.; Bernlöhr, K.; Boisson, C.; Bolz, O.; Borrel, V.; et al. A possible association of the new VHE γ-ray source HESS J1825-137 with the pulsar wind nebula G18.0-0.7. Astron. Astrophys. 2005, 442, L25–L29. [Google Scholar] [CrossRef]
- Albert, A.; Alfaro, R.; Alvarez, C.; Camacho, J.R.A.; Arteaga-Velázquez, J.C.; Arunbabu, K.P.; Rojas, D.A.; Ayala Solares, H.A.; Baghmanyan, V.; Belmont-Moreno, E.; et al. Evidence of 200 TeV Photons from HAWC J1825-134. Astrophys. J. Lett. 2021, 907, L30. [Google Scholar] [CrossRef]
- Aharonian, F.; Akhperjanian, A.G.; Bazer-Bachi, A.R.; Beilicke, M.; Benbow, W.; Berge, D.; Bernlöhr, K.; Boisson, C.; Bolz, O.; Borrel, V.; et al. Energy dependent γ-ray morphology in the pulsar wind nebula HESS J1825-137. Astron. Astrophys. 2006, 460, 365–374. [Google Scholar] [CrossRef]
- Principe, G.; Mitchell, A.; Hinton, J.; Parson, D.; Caroff, S.; Hahn, J.; Funk, S. Energy-dependent morphology of the pulsar wind nebula HESS J1825-137 seen by the Fermi-LAT. In Proceedings of the 36th International Cosmic Ray Conference (ICRC2019), Madison, WI, USA, 22 July 2019; Volume 36, p. 595. [Google Scholar] [CrossRef]
- Gaensler, B.M.; Slane, P.O. The Evolution and Structure of Pulsar Wind Nebulae. ARAA 2006, 44, 17–47. [Google Scholar] [CrossRef]
- Castelletti, G.; Giacani, E.; Dubner, G. First EVLA radio observations towards two TeV sources: HESS J1809-193 and HESS J1825-137. Bol. Asoc. Argent. Astron. Plata Argent. 2012, 55, 179–183. [Google Scholar]
- Sudoh, T.; Linden, T.; Beacom, J.F. TeV halos are everywhere: Prospects for new discoveries. Phys. Rev. 2019, 100, 043016. [Google Scholar] [CrossRef]
- Khangulyan, D.; Koldoba, A.V.; Ustyugova, G.V.; Bogovalov, S.V.; Aharonian, F. On the Anomalously Large Extension of the Pulsar Wind Nebula HESS J1825-137. Astrophys. J. 2018, 860, 59. [Google Scholar] [CrossRef]
- H.E.S.S. Collaboration; Abdalla, H.; Adam, R.; Aharonian, F.; Ait Benkhali, F.; Angüner, E.O.; Arcaro, C.; Armand, C.; Armstrong, T.; Ashkar, H.; et al. An extreme particle accelerator in the Galactic plane: HESS J1826-130. Astron. Astrophys. 2020, 644, A112. [Google Scholar] [CrossRef]
- Burgess, D.A.; Mori, K.; Gelfand, J.D.; Hailey, C.J.; Tokayer, Y.M.; Woo, J.; An, H.; Malone, K.; Reynolds, S.P.; Safi-Harb, S.; et al. The Eel Pulsar Wind Nebula: A PeVatron-candidate Origin for HAWC J1826-128 and HESS J1826-130. Astrophys. J. 2022, 930, 148. [Google Scholar] [CrossRef]
- Karpova, A.V.; Zyuzin, D.A.; Shibanov, Y.A. X-ray studies of the gamma-ray pulsar J1826-1256 and its pulsar wind nebula with Chandra and XMM-Newton. Mon. Not. R. Astron. Soc. 2019, 487, 1964–1972. [Google Scholar] [CrossRef]
- Aharonian, F.; Akhperjanian, A.G.; Barres de Almeida, U.; Bazer-Bachi, A.R.; Behera, B.; Beilicke, M.; Benbow, W.; Bernlöhr, K.; Boisson, C.; Bolz, O.; et al. HESS very-high-energy gamma-ray sources without identified counterparts. Astron. Astrophys. 2008, 477, 353–363. [Google Scholar] [CrossRef]
- Bartoli, B.; Bernardini, P.; Bi, X.J.; Bolognino, I.; Branchini, P.; Budano, A.; Calabrese Melcarne, A.K.; Camarri, P.; Cao, Z.; Cardarelli, R.; et al. Observation of TeV Gamma Rays from the Unidentified Source HESS J1841-055 with the ARGO-YBJ Experiment. Astrophys. J. 2013, 767, 99. [Google Scholar] [CrossRef]
- MAGIC Collaboration; Acciari, V.A.; Ansoldi, S.; Antonelli, L.A.; Arbet Engels, A.; Asano, K.; Baack, D.; Babić, A.; Banerjee, B.; Baquero, A.; et al. Studying the nature of the unidentified gamma-ray source HESS J1841-055 with the MAGIC telescopes. Mon. Not. R. Astron. Soc. 2020, 497, 3734–3745. [Google Scholar] [CrossRef]
- The MAGIC Collaboration; Saha, L.; López-Oramas, A.; Acciari, V.A.; Ansoldi, S.; Antonelli, L.A.; Arbet Engels, A.; Artero, M.; Asano, K.; Baack, D.; et al. Understanding the origin of the extended gamma-ray emission and the physical nature of HESS J1841-055 using observations at TeV energies with the MAGIC telescopes. In Proceedings of the 37th International Cosmic Ray Conference, Berlin, Germany, 12–23 July 2021; p. 782. [Google Scholar] [CrossRef]
- MAGIC Collaboration; Acciari, V.A.; Ansoldi, S.; Antonelli, L.A.; Arbet Engels, A.; Arcaro, C.; Baack, D.; Babić, A.; Banerjee, B.; Bangale, P.; et al. Discovery of TeV γ-ray emission from the neighbourhood of the supernova remnant G24.7+0.6 by MAGIC. Mon. Not. R. Astron. Soc. 2019, 483, 4578–4585. [Google Scholar] [CrossRef]
- Banik, P.; Bhadra, A. An interacting molecular cloud scenario for production of gamma-rays and neutrinos from MAGIC J1835-069, and MAGIC J1837-073. Eur. Phys. J. C 2021, 81, 478. [Google Scholar] [CrossRef]
- Katsuta, J.; Uchiyama, Y.; Funk, S. Extended Gamma-Ray Emission from the G25.0+0.0 Region: A Star-forming Region Powered by the Newly Found OB Association? Astrophys. J. 2017, 839, 129. [Google Scholar] [CrossRef]
- Hoppe, S. Emitters of VHE γ-Radiation as Revealed by the H.E.S.S. Galactic Plane Survey. Ph.D Thesis, Ruprecht-Karls University of Heidelberg, Heidelberg, Germany, 2008. [Google Scholar]
- Castelletti, G.; Supan, L.; Petriella, A.; Giacani, E.; Joshi, B.C. Radio and X-ray properties of the source G29.37+0.1 linked to HESS J1844-030. Astron. Astrophys. 2017, 602, A31. [Google Scholar] [CrossRef]
- Petriella, A. New composite supernova remnant toward HESS J1844-030? Astron. Astrophys. 2019, 626, A65. [Google Scholar] [CrossRef]
- Di Girolamo, T. Recent results in γ-ray astronomy with the ARGO-YBJ detector. Eur. Phys. J. Web Conf. 2017, 136, 03004. [Google Scholar] [CrossRef]
- Amenomori, M.; Asano, S.; Bao, Y.W.; Bi, X.J.; Chen, D.; Chen, T.L.; Chen, W.Y.; Chen, X.; Chen, Y.; Cirennima; et al. Measurement of the Gamma-Ray Energy Spectrum beyond 100 TeV from the HESS J1843-033 Region. Astrophys. J. 2022, 932, 120. [Google Scholar] [CrossRef]
- Ueno, M.; Bamba, A.; Koyama, K.; Ebisawa, K. Chandra Observations of a Nonthermal Supernova Remnant Candidate AX J1843.8-0352 and Its Surroundings. Astrophys. J. 2003, 588, 338–343. [Google Scholar] [CrossRef][Green Version]
- Vleeschower Calas, L.; Kaufmann, S.; Álvarez Ochoa, C.; Tibolla, O. Studies of high-energy pulsars: The special case of PSR J1849-0001. Nucl. Part. Phys. Proc. 2018, 297–299, 102–105. [Google Scholar] [CrossRef]
- Zhang, B.; Moscadelli, L.; Sato, M.; Reid, M.J.; Menten, K.M.; Zheng, X.W.; Brunthaler, A.; Dame, T.M.; Xu, Y.; Immer, K. The Parallax of W43: A Massive Star-forming Complex near the Galactic Bar. Astrophys. J. 2014, 781, 89. [Google Scholar] [CrossRef]
- Mitchell, A.; Rowell, G.; Celli, S.; Einecke, S. Predictions for gamma-rays from clouds associated with supernova remnant PeVatrons. In Proceedings of the 37th International Cosmic Ray Conference, Berlin, Germany, 12–23 July 2021; p. 922. [Google Scholar] [CrossRef]
- Aharonian, F.; Akhperjanian, A.G.; Anton, G.; Barres de Almeida, U.; Bazer-Bachi, A.R.; Becherini, Y.; Behera, B.; Benbow, W.; Bernlöhr, K.; Boisson, C.; et al. Detection of very high energy radiation from HESS J1908+063 confirms the Milagro unidentified source MGRO J1908+06. Astron. Astrophys. 2009, 499, 723–728. [Google Scholar] [CrossRef]
- Bartoli, B.; Bernardini, P.; Bi, X.J.; Bleve, C.; Bolognino, I.; Branchini, P.; Budano, A.; Calabrese Melcarne, A.K.; Camarri, P.; Cao, Z.; et al. Observation of the TeV Gamma-Ray Source MGRO J1908+06 with ARGO-YBJ. Astrophys. J. 2012, 760, 110. [Google Scholar] [CrossRef]
- Aliu, E.; Archambault, S.; Aune, T.; Behera, B.; Beilicke, M.; Benbow, W.; Berger, K.; Bird, R.; Buckley, J.H.; Bugaev, V.; et al. Investigating the TeV Morphology of MGRO J1908+06 with VERITAS. Astrophys. J. 2014, 787, 166. [Google Scholar] [CrossRef]
- Albert, A.; Alfaro, R.; Alvarez, C.; Camacho, J.R.A.; Arteaga-Velázquez, J.C.; Arunbabu, K.P.; Avila Rojas, D.; Ayala Solares, H.A.; Baghmanyan, V.; Belmont-Moreno, E.; et al. 3HWC: The Third HAWC Catalog of Very-high-energy Gamma-Ray Sources. Astrophys. J. 2020, 905, 76. [Google Scholar] [CrossRef]
- Abdollahi, S.; Acero, F.; Ackermann, M.; Ajello, M.; Atwood, W.B.; Axelsson, M.; Baldini, L.; Ballet, J.; Barbiellini, G.; Bastieri, D.; et al. Fermi Large Area Telescope Fourth Source Catalog. ApJS 2020, 247, 33. [Google Scholar] [CrossRef]
- Li, J.; Liu, R.Y.; de Ona Wilhelmi, E.; Torres, D.F.; Liu, Q.C.; Kerr, M.; Bühler, R.; Su, Y.; He, H.N.; Xiao, M.Y. Investigating the Nature of MGRO J1908+06 with Multiwavelength Observations. Astrophys. J. Lett. 2021, 913, L33. [Google Scholar] [CrossRef]
- Crestan, S.; Giuliani, A.; Mereghetti, S.; Sidoli, L.; Pintore, F.; La Palombara, N. Multiwavelength investigation of the candidate Galactic PeVatron MGRO J1908+06. Mon. Not. R. Astron. Soc. 2021, 505, 2309–2315. [Google Scholar] [CrossRef]
- Albert, A.; Alfaro, R.; Alvarez, C.; Álvarez, J.D.; Angeles Camacho, J.R.; Arteaga-Velázquez, J.C.; Avila Rojas, D.; Solares, H.A.A.; Babu, R.; Belmont-Moreno, E.; et al. HAWC Study of the Ultra-high-energy Spectrum of MGRO J1908+06. Astrophys. J. 2022, 928, 116. [Google Scholar] [CrossRef]
- De Sarkar, A.; Gupta, N. Exploring the Hadronic Origin of LHAASO J1908+0621. Astrophys. J. 2022, 934, 118. [Google Scholar] [CrossRef]
- Joshi, J.C.; Tanaka, S.J.; Miranda, L.S.; Razzaque, S. Study of maximum electron energy of sub-PeV pulsar wind nebulae by multiwavelength modelling. Mon. Not. R. Astron. Soc. 2023, 520, 5858–5869. [Google Scholar] [CrossRef]
- Wu, K.; Zhou, L.; Gong, Y.; Fang, J. Investigating the radiative properties of LHAASO J1908+0621. Mon. Not. R. Astron. Soc. 2023, 519, 1881–1886. [Google Scholar] [CrossRef]
- Cardillo, M. The ASTRI Mini-Array: In search for hidden Pevatrons. 2022. Available online: https://indico.desy.de/event/34265/contributions/132809/attachments/78712/102248/HONEST_Cardillo_ASTRI_Pevatrone_final.pdf (accessed on 1 December 2022).
- Abdalla, H.; Aharonian, F.; Ait Benkhali, F.; Angüner, E.O.; Arcaro, C.; Armand, C.; Armstrong, T.; Ashkar, H.; Backes, M.; Baghmanyan, V.; et al. TeV Emission of Galactic Plane Sources with HAWC and H.E.S.S. Astrophys. J. 2021, 917, 6. [Google Scholar] [CrossRef]
- Abeysekara, A.U.; Archer, A.; Benbow, W.; Bird, R.; Brose, R.; Buchovecky, M.; Buckley, J.H.; Bugaev, V.; Chromey, A.J.; Connolly, M.P.; et al. VERITAS and Fermi-LAT Observations of TeV Gamma-Ray Sources Discovered by HAWC in the 2HWC Catalog. Astrophys. J. 2018, 866, 24. [Google Scholar] [CrossRef]
- Albert, A.; Alfaro, R.; Alvarez, C.; Arteaga-Velázquez, J.C.; Rojas, D.A.; Solares, H.A.A.; Babu, R.; Belmont-Moreno, E.; Brisbois, C.; Caballero-Mora, K.S.; et al. Detailed Analysis of the TeV γ-Ray Sources 3HWC J1928+178, 3HWC J1930+188, and the New Source HAWC J1932+192. Astrophys. J. 2023, 942, 96. [Google Scholar] [CrossRef]
- Zhang, Y.; Liu, R.Y.; Chen, S.Z.; Wang, X.Y. Morphology of Gamma-Ray Halos around Middle-aged Pulsars: Influence of the Pulsar Proper Motion. Astrophys. J. 2021, 922, 130. [Google Scholar] [CrossRef]
- Acciari, V.A.; Aliu, E.; Arlen, T.; Aune, T.; Bautista, M.; Beilicke, M.; Benbow, W.; Boltuch, D.; Bradbury, S.M.; Buckley, J.H.; et al. Discovery of Very High Energy γ-ray Emission from the SNR G54.1+0.3. Astrophys. J. Lett. 2010, 719, L69–L73. [Google Scholar] [CrossRef]
- Xing, Y.; Zheng, D.; Wang, Z.; Zhang, X.; Chen, Y.; Xiang, G. High-energy Studies of the 3HWC J1954+286 Region: Likely Gamma-Ray Detection of the Supernova Remnant G65.1+0.6. Astrophys. J. 2022, 930, 164. [Google Scholar] [CrossRef]
- Abdo, A.A.; Allen, B.; Berley, D.; Blaufuss, E.; Casanova, S.; Chen, C.; Coyne, D.G.; Delay, R.S.; Dingus, B.L.; Ellsworth, R.W.; et al. Discovery of TeV Gamma-Ray Emission from the Cygnus Region of the Galaxy. Astrophys. J. Lett. 2007, 658, L33–L36. [Google Scholar] [CrossRef]
- Saha, L.; Bhattacharjee, P. Constraints on the synchrotron self-Compton mechanism of TeV gamma ray emission from the Milagro TeV source MGRO J2019+37 within the pulsar wind nebula scenario. J. High Energy Astrophys. 2015, 5, 9–14. [Google Scholar] [CrossRef][Green Version]
- Paredes, J.M.; Martí, J.; Ishwara-Chandra, C.H.; Sánchez-Sutil, J.R.; Muñoz-Arjonilla, A.J.; Moldón, J.; Peracaula, M.; Luque-Escamilla, P.L.; Zabalza, V.; Bosch-Ramon, V.; et al. Radio continuum and near-infrared study of the <ASTROBJ>MGRO J2019+37</ASTROBJ> region. Astron. Astrophys. 2009, 507, 241–250. [Google Scholar] [CrossRef]
- Aliu, E.; Aune, T.; Behera, B.; Beilicke, M.; Benbow, W.; Berger, K.; Bird, R.; Bouvier, A.; Buckley, J.H.; Bugaev, V.; et al. Spatially Resolving the Very High Energy Emission from MGRO J2019+37 with VERITAS. Astrophys. J. 2014, 788, 78. [Google Scholar] [CrossRef]
- Albert, A.; Alfaro, R.; Alvarez, C.; Arteaga-Velázquez, J.C.; Arunbabu, K.P.; Avila Rojas, D.; Ayala Solares, H.A.; Baghmanyan, V.; Belmont-Moreno, E.; Brisbois, C.; et al. Spectrum and Morphology of the Very-high-energy Source HAWC J2019+368. Astrophys. J. 2021, 911, 143. [Google Scholar] [CrossRef]
- Yang, D.; Yu, H.; Fang, J. Investigating the γ-ray properties for the pulsar wind nebula G75.2+0.1. New Astron. 2023, 99, 101966. [Google Scholar] [CrossRef]
- Abeysekara, A.U.; Benbow, W.; Bird, R.; Brill, A.; Brose, R.; Buckley, J.H.; Chromey, A.J.; Daniel, M.K.; Falcone, A.; Finley, J.P.; et al. Periastron Observations of TeV Gamma-Ray Emission from a Binary System with a 50-year Period. Astrophys. J. Lett. 2018, 867, L19. [Google Scholar] [CrossRef]
- Bykov, A.M.; Kalyashova, M.E. Modeling of GeV-TeV gamma-ray emission of Cygnus Cocoon. Adv. Space Res. 2022, 70, 2685–2695. [Google Scholar] [CrossRef]
- Banik, P.; Ghosh, S.K. Probing the Origin of Cosmic Rays in Cygnus Cocoon Using Ultrahigh-energy Gamma-Ray and Neutrino Observations. Astrophys. J. Lett. 2022, 931, L30. [Google Scholar] [CrossRef]
- Dzhappuev, D.D.; Afashokov, Y.Z.; Dzaparova, I.M.; Dzhatdoev, T.A.; Gorbacheva, E.A.; Karpikov, I.S.; Khadzhiev, M.M.; Klimenko, N.F.; Kudzhaev, A.U.; Kurenya, A.N.; et al. Observation of Photons above 300 TeV Associated with a High-energy Neutrino from the Cygnus Region. Astrophys. J. Lett. 2021, 916, L22. [Google Scholar] [CrossRef]
- Cao, Z.; Aharonian, F.; An, Q.; Axikegu; Bai, L.X.; Bai, Y.X.; Bao, Y.W.; Bastieri, D.; Bi, X.J.; Bi, Y.J.; et al. Discovery of the Ultrahigh-energy Gamma-Ray Source LHAASO J2108+5157. Astrophys. J. Lett. 2021, 919, L22. [Google Scholar] [CrossRef]
- de la Fuente, E.; Toledano-Juarez, I.; Kawata, K.; Trinidad, M.A.; Tafoya, D.; Sano, H.; Tokuda, K.; Nishimura, A.; Onishi, T.; Sako, T.; et al. Detection of a new molecular cloud in the LHAASO J2108+5157 region supporting a hadronic PeVatron scenario. arXiv 2023, arXiv:2303.05712. [Google Scholar] [CrossRef]
- Kar, A.; Gupta, N. Ultrahigh-energy γ-Rays from Past Explosions in Our Galaxy. Astrophys. J. 2022, 926, 110. [Google Scholar] [CrossRef]
- Abe, S.; Aguasca-Cabot, A.; Agudo, I.; Alvarez Crespo, N.; Antonelli, L.A.; Aramo, C.; Arbet-Engels, A.; Artero, M.; Asano, K.; Aubert, P.; et al. Multi-wavelength study of the galactic PeVatron candidate LHAASO J2108+5157. arXiv 2022, arXiv:2210.00775. [Google Scholar]
- Albert, A.; Alfaro, R.; Alvarez, C.; Camacho, J.R.A.; Arteaga-Velázquez, J.C.; Arunbabu, K.P.; Avila Rojas, D.; Ayala Solares, H.A.; Baghmanyan, V.; Belmont-Moreno, E.; et al. HAWC J2227+610 and Its Association with G106.3+2.7, a New Potential Galactic PeVatron. Astrophys. J. Lett. 2020, 896, L29. [Google Scholar] [CrossRef]
- MAGIC Collaboration; Abe, H.; Abe, S.; Acciari, V.A.; Agudo, I.; Aniello, T.; Ansoldi, S.; Antonelli, L.A.; Arbet Engels, A.; Arcaro, C.; et al. MAGIC observations provide compelling evidence of hadronic multi-TeV emission from the putative PeVatron SNR G106.3+2.7. Astron. Astrophys. 2023, 671, A12. [Google Scholar] [CrossRef]
- Xin, Y.; Zeng, H.; Liu, S.; Fan, Y.; Wei, D. VER J2227+608: A Hadronic PeVatron Pulsar Wind Nebula? Astrophys. J. 2019, 885, 162. [Google Scholar] [CrossRef]
- Ge, C.; Liu, R.Y.; Niu, S.; Chen, Y.; Wang, X.Y. Revealing a peculiar supernova remnant G106.3+2.7 as a petaelectronvolt proton accelerator with X-ray observations. Innovation 2021, 2, 100118. [Google Scholar] [CrossRef]
- Fujita, Y.; Bamba, A.; Nobukawa, K.K.; Matsumoto, H. X-ray Emission from the PeVatron-candidate Supernova Remnant G106.3+2.7. Astrophys. J. 2021, 912, 133. [Google Scholar] [CrossRef]
- Liu, S.; Zeng, H.; Xin, Y.; Zhu, H. Hadronic versus Leptonic Models for γ-Ray Emission from VER J2227+608. Astrophys. J. Lett. 2020, 897, L34. [Google Scholar] [CrossRef]
- De Sarkar, A.; Zhang, W.; Martín, J.; Torres, D.F.; Li, J.; Hou, X. LHAASO J2226+6057 as a pulsar wind nebula. Astron. Astrophys. 2022, 668, A23. [Google Scholar] [CrossRef]
- Verna, G.; Cassol, F.; Costantini, H.; Consortium, C. HAWC J2227+610: A potential PeVatron candidate for the CTA in the northern hemisphere. In Proceedings of the 37th International Cosmic Ray Conference, Berlin, Germany, 12–23 July 2021; p. 904. [Google Scholar] [CrossRef]
- CTAO. CTAO Performances: Angular Resolution. 2022. Available online: https://www.cta-observatory.org/science/ctao-performance/#1472563157648-91558872-faf1 (accessed on 15 March 2023).
- Lombardi, S.; Antonelli, L.A.; Bigongiari, C.; Cardillo, M.; Gallozzi, S.; Green, J.G.; Lucarelli, F.; Saturni, F.G. Performance of the ASTRI Mini-Array at the Observatorio del Teide. In Proceedings of the 37th International Cosmic Ray Conference, Berlin, Germany, 12–23 July 2021; p. 884. [Google Scholar] [CrossRef]
- Safi-Harbo, S. Supernova Remnants: Experimental Results—Best Candidate PeVatrons. 2022. Available online: https://indico.desy.de/event/34265/contributions/129167/attachments/78752/102304/Safi-Harb_SNRsPeVatrons_Honest2022.pdf (accessed on 1 December 2022).
- Schumacher, L.J.; Huber, M.; Agostini, M.; Bustamante, M.; Oikonomou, F.; Resconi, E. PLEνM: A global and distributed monitoring system of high-energy astrophysical neutrinos. In Proceedings of the 37th International Cosmic Ray Conference, Berlin, Germany, 12–23 July 2021; p. 1185. [Google Scholar] [CrossRef]





Disclaimer/Publisher’s Note: The statements, opinions and data contained in all publications are solely those of the individual author(s) and contributor(s) and not of MDPI and/or the editor(s). MDPI and/or the editor(s) disclaim responsibility for any injury to people or property resulting from any ideas, methods, instructions or products referred to in the content. |
© 2023 by the authors. Licensee MDPI, Basel, Switzerland. This article is an open access article distributed under the terms and conditions of the Creative Commons Attribution (CC BY) license (https://creativecommons.org/licenses/by/4.0/).
Share and Cite
Cardillo, M.; Giuliani, A. The LHAASO PeVatron Bright Sky: What We Learned. Appl. Sci. 2023, 13, 6433. https://doi.org/10.3390/app13116433
Cardillo M, Giuliani A. The LHAASO PeVatron Bright Sky: What We Learned. Applied Sciences. 2023; 13(11):6433. https://doi.org/10.3390/app13116433
Chicago/Turabian StyleCardillo, Martina, and Andrea Giuliani. 2023. "The LHAASO PeVatron Bright Sky: What We Learned" Applied Sciences 13, no. 11: 6433. https://doi.org/10.3390/app13116433
APA StyleCardillo, M., & Giuliani, A. (2023). The LHAASO PeVatron Bright Sky: What We Learned. Applied Sciences, 13(11), 6433. https://doi.org/10.3390/app13116433

