You are currently viewing a new version of our website. To view the old version click .
Applied Sciences
  • Article
  • Open Access

15 May 2023

Experiment on Noise Reduction of a Wavy Cylinder with a Large Spanwise Wavelength and Large Aspect Ratio in Aeroacoustic Wind Tunnels

and
China Aerodynamics Research and Development Centre, Mianyang 621000, China
*
Author to whom correspondence should be addressed.
This article belongs to the Section Acoustics and Vibrations

Abstract

Current research shows that the wavy shape can play an important role in drag reduction. Meanwhile, it also has the potential of noise reduction. In the present study, a kind of wavy shape of periodic cosine profile with a large spanwise wavelength and large aspect ratio was applied to the circular cylinder model. The experiments on the influence of various aspect ratios (ratio of wave wavelength to amplitude) on the far-field noise of the wavy cylinder were carried out in a 0.55 m × 0.4 m aeroacoustic wind tunnel. It is shown that the maximum decrease of the far-field SPL (Sound Pressure Level) between the wavy cylinder and baseline cylinder exceeded 37 dB within the frequency between 200 Hz and 1000 Hz. The noise reduction effect of the wavy cylinder will become better along with the increasing aspect ratio. However, there exists a critical aspect ratio near λ/a = 30. If the aspect ratio continues increasing, the noise reduction effect of the wavy cylinder will decrease instead of increasing. Finally, the computational fluid dynamics method is applied to reveal the noise reduction mechanism of this kind of wavy cylinder with a large spanwise wavelength and large aspect ratio. It is found that the periodic shedding vortex is disturbed and tends to be banded instead of showing alternate oscillation. The turbulence intensity and velocity fluctuation around the wavy cylinder will be also reduced. According to the vortex and sound theory, these changes are beneficial to the noise reduction. The large spanwise wavelength and large aspect ratio play a significant role in controlling the shedding vortex variation and adjusting the local flow field around the crest and trough of the wavy cylinder, which is the key factor to change the flow field and reduce the flow-noise of the wavy cylinder.

1. Introduction

For high-speed moving objects, the current methods to reduce the flow-noise mainly include changing the shape of the object [1,2] and controlling the flow on the surface of the object [1,3]. Wherein the first one is the passive noise reduction method to change the actual shape of the object, such as the serration shape [4,5], the wavy shape [6,7] and bionic shape [8,9,10]. The other one is the active noise reduction method to control the boundary layer flow near the surface of the object, such as blowing [11,12], suction [13], air curtain [3], plasma excitation [14,15] and porous structure [16,17]. In essence, the second one is to generate a kind of virtual shape of the object via energy input or absorption. There will be a consumption of energy for these flow control methods to change the local flow field. In contrast, the first one is a method of zero energy consumption. Therefore, the passive method will become a more promising and engineering-favorable noise reduction method due to no consumption advantage.
Adopting the wavy shape is an important passive method to reduce flow-noise. Early research shows that the wavy shape was used to reduce drag [18,19,20]. A lot of research on the drag reduction using wavy shape has been conducted via numerical simulation [21,22,23,24,25,26,27,28,29,30] including the large eddy simulation method and three-dimensional POD method. Meanwhile, many experiments for drag reduction also have been performed [31,32,33,34,35,36] to obtain the surface pressure distributions and flow visualization results. Furthermore, the numerical simulation and experimental studies were coupled [6,37,38,39] to obtain more detailed analysis including a refined flow field structure. The significant differences in the wake vortex patterns and fluctuating pressure between the surface wavy shapes and baseline shape were revealed and verified.
Along with the development of some related research, it is found that the wavy shape can not only reduce the drag, but also decrease the flow-noise [40,41,42] of the leading edge or trailing edge. According to the published literature analysis, the research of noise reduction using a wavy cylinder is mainly related to numerical simulations [43,44,45] but experiments in aeroacoustic wind tunnels are relatively less [6]. The large eddy simulation (LES) method [46,47,48] and direct numerical simulation (DNS) method [49] are commonly used as the computational tool for noise reduction studies, as they are more reliable and accurate than the Reynolds Averaged Navier-Stokes (RANS) method. Furthermore, the idea of noise reduction using wavy objects is not just limited to cylinders, but also extended to airfoils. In addition, there is also a considerable noise reduction effect for airfoils [50,51,52,53].
In fact, the wavy shapes for noise reduction include the square wave (Figure 1a), sawtooth wave (Figure 1b), the cosine wave (Figure 1c) and the sine shape (Figure 1d). In essence, there are common features of periodic variation shapes with both peaks and troughs. However, the curves connecting the peaks and troughs are quite different. The main parameters controlling these shapes are the wavelength of a period, the amplitude of a period wave and the aspect ratio (wavelength divided by amplitude). The most common representative curve is the cosine or sine function of the wave shape. For simplification, the role of this periodic cosine function of the wave shape on the noise reduction and its mechanism is studied in the present study.
Figure 1. Various wavy shapes for noise reduction.
Moreover, some reference paper [26,35] mentioned that, a large spanwise wavelength of wavy shapes can change the wake of a sine wavy cylinder for drag reduction. Generally, the wake is closely related to the far-field noise [54]. For further consideration, maybe it can reduce the flow-noise if the large spanwise wavelength and large aspect ratio are coupled on the cosine wavy shape. In order to clarify this issue, the far-field noise measurements of the cylinders of a periodic cosine wavy profile with a large spanwise wavelength and large aspect ratio are carried out in an aeroacoustic wind tunnel. Moreover, the noise reduction mechanism is further analyzed using the computational fluid dynamics method.

2. Experimental Setup

The experiment was carried out in a 0.55 m × 0.4 m aeroacoustic wind tunnel in the China Aerodynamics Research and Development Center (CARDC). The cylinder model was installed vertically and the far-field acoustic signal was measured via an arc microphone array [55].

2.1. The 0.55 m × 0.4 m Aeroacoustic Wind Tunnel

The aeroacoustic wind tunnel is an open jet low-speed wind tunnel with a low-turbulence flow for aerodynamic noise study. As a continuous and return-flow wind tunnel, the test section is surrounded by an anechoic chamber. This anechoic chamber has the dimensions of 5.5 m × 3.7 m × 4 m, and the cut-off frequency is 100 Hz. The sound absorption coefficient of the sound absorbers is above 0.99. The background noise of the test section is measured from 2 m far from the nozzle exit, providing a low background noise below 75 dB when U = 80 m/s and below 80 dB when U = 100 m/s. The dimensions of the test section are 0.4 m high and 0.55 m wide. The airflow speed can be controlled within the range of 8~100 m/s, and the turbulence intensity in the core flow region is below 0.02%. The sketch of the 0.55 m × 0.4 m aeroacoustic wind tunnel is shown in Figure 2. It presents a zoom-in of the side view schematic of the test section inside the anechoic chamber.
Figure 2. Sketch of the 0.55 m × 0.4 m aeroacoustic wind tunnel.

2.2. Experimental Model

The experimental models include a circular cylinder (baseline cylinder) and three wavy cylinders with different spanwise wavelengths and amplitudes, as shown in Figure 3. The profile parameters of the wave on all cylinders are shown in Table 1. All the cylinders are manufactured using a numerical-controlled machine and made of stainless steel to guarantee the strength of the experimental models. The wavy cylinders may have potential use in the pantograph of high-speed trains, submarine pipelines and so on to reduce flow-induced noise and vibration. The circular cylinder is regarded as the baseline cylinder, and the others are wavy cylinders used to study the noise reduction performance. The span length of the cylinder (L) is 400 mm, and the mean diameter of cylinder (Dm) is 22 mm. The experimental model was vertically mounted in the potential core of the jet flow with the ceiling and ground plates in the aeroacoustic wind tunnel, as shown in Figure 4. One baseline cylinder and three wavy cylinders with different aspect ratios (λ/a), i.e., 40, 30 and 24, are studied to evaluate the influence of the wavelength and amplitude on noise reduction. The three different aspect ratios of the wavy cylinders were selected based on the experience that the amplitude of the wavy shape (or aspect ratios of wavy cylinders) is an important factor that has to be investigated. The profile of the wavy cylinder is depicted to be a cosine function as follows:
D(z) = Dm − 2acos(2πz/λ)
where a is the amplitude and λ is the wavelength of the wave profile.
Figure 3. Schematic map of cylinders with different aspect ratios.
Table 1. Parameters of wave profile on all the cylinders.
Figure 4. Installation of the experimental model in the test section.

2.3. Noise Measurement

The far-field noise measurement has been conducted using an arc microphone array with nine microphones, depicted in Figure 5.
Figure 5. Schematic and top view of the set-up of the arc microphone array.
The center of the arc was set to the axis of the cylinder, the interval between the adjacent microphones was 8°, and the radius of the circular arc was 2.05 m. Thus, the microphones are located at about 2.05 m from the cylinder, which presents the circular antenna to capture the far-field noise characteristics of the cylinder. The uncertainty of the microphone is ±0.2 dB. Each microphone has been calibrated to satisfy the experimental requirements. The sampling frequency is 51.2 KHz with the sampling time to be 10 s. The far-field acoustics radiation is measured for the cylinder under four airflow speeds (U = 30, 40, 50, and 60 m/s). The Reynolds number is respectively 4.4 × 104, 5.9 × 104, 7.4 × 104 and 8.8 × 104.
SPL (sound pressure level) is defined as follows [52]:
S P L = 10 log 10 ϕ θ i / P 0 2
d S P L = S P L i S P L i 0
where ϕ θ i is the pressure spectrum density at the ith microphone and P0 is the reference sound pressure. SPLi and SPLi0 are the sound pressure level of the wavy cylinder and baseline cylinder at the ith microphone, respectively. dSPL is the increment between SPLi and SPLi0.
The cylinder model can be regarded as a linear sound source due to cylindrical far-field acoustic radiation. Thus, the sound power and PWL were defined in the following formulas:
W = L ρ c 0 i = 1 i = N ϕ θ i R i Δ θ i P W L = 10 log 10 W / W 0
where W is the sound power integrated between the radiation angles 221° to 285°. L is the span length of cylinder. ρ is the air density and c0 is the sound speed. Ri is the distance between the axis of the cylinder and the ith microphone. θi is the included angle between airflow direction and the ith microphone. Δθi is the angle between adjacent microphones. W0 is the reference sound power.
OASPL (Overall Sound Pressure Level) is defined as follows [54,55]:
E i = f min f max ϕ i d f
O A S P L i = 10 log 10 E i / P 0 2
DOASPL (Difference in Overall Sound Pressure Level) is the overall sound pressure level difference between the baseline cylinder and wavy cylinder as follows:
D O A S P L = i = 1 i = N O A S P L i 0 O A S P L i N

3. Experiment Results

3.1. Effect of the Aspect Ratio

The far-field SPL and dSPL of different cylinders at the #1 microphone (U = 30 m/s) are shown in Figure 6. The dSPL is the increment in the sound pressure level between the wavy cylinders and the baseline cylinder (#0 cylinder). Obviously, the #0 cylinder has the largest far-field SPL among all the cylinders at the #1 microphone position when U is 30 m/s. All the wavy cylinders have an obvious reduction in the far-field SPL, and the noise reduction effect is similar. Specifically, the #2 cylinder has the best performance for noise reduction, whose aspect ratio is 30. If the aspect ratio is decreased from 30 to 24, the far-field dSPL is decreased instead of increasing. The variation of the far-field dSPL is not monotonous. Further analysis showed that there are several single troughs of far-field dSPL between 200 Hz and 1000 Hz. Therein, the largest one exceeds 37 dB occurring between 200 Hz and 300 Hz when λ/a = 30. The far-field dSPL has a slight increasing when λ/a = 40. The frequency occurring the largest far-field dSPL for all the wavy cylinders is very close, which is between 200 Hz and 300 Hz.
Figure 6. Far-field SPL and dSPL of different cylinders at #1 microphone (U = 30 m/s).
Figure 7 gives the far-field SPL and dSPL of the #2 cylinder at different microphone locations (U = 30 m/s). The far-field dSPL is the increment of SPL between the #2 cylinder and #0 cylinder at the same microphone location. At different locations of the microphone, the far-field SPL of the #2 cylinder is very close beyond the frequency of 200 Hz when U = 30 m/s. Moreover, the far-field dSPL is also very close within all the frequencies. Meanwhile, several single troughs of far-field dSPL appear within the frequency between 200 Hz and 1000 Hz. Finally, the largest one also occurs between 200 Hz and 300 Hz.
Figure 7. Far-field SPL and dSPL of the #2 cylinder at different microphone locations (U = 30 m/s).
The OASPL of different cylinders (U = 30, 40, 50, 60 m/s) is presented in Figure 8. The OASPL is integrated within the specified frequency range (as shown by Formula (6)). Compared with the baseline cylinder (the #0 cylinder), all the OASPL distributions for the wavy cylinders in the polar curve show a significant reduction trend at the position of each microphone. In addition, there is just a slight difference in OASPL among the #1, #2 and #3 cylinders with a large spanwise wavelength and a large aspect ratio. Therein, the OASPL reduction of the #2 cylinder is the largest, followed by the #3 cylinder and the #1 cylinder.
Figure 8. OASPL of different cylinders (U = 30, 40, 50, and 60 m/s).
Figure 9 presents the DOASPL between the baseline cylinder and the wavy cylinders with different aspect ratios (U = 30, 40, 50, and 60 m/s). The DOASPL is the increment in OASPL between the baseline cylinder (the #0 cylinder) and the wavy cylinders within the specified frequency range (as shown in Formulas (6) and (7)). Obviously, all the wavy cylinders with a large aspect ratio and large spanwise wavelength have a large noise reduction effect. The minimum DOASPL is 13.6 dB, and the maximum is 20.08 dB; the average is more than 16 dB. The noise reduction of the #2 wavy cylinder (r = 30) is the largest, but it decreased slightly when r = 40 and r = 24. Further observation shows that upstream noise reduction is more obvious than that downstream.
Figure 9. DOASPL between the wavy cylinders with different aspect ratios and baseline cylinders (U = 30, 40, 50, and 60 m/s).
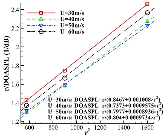
The averaged DOASPL between the baseline cylinder and the wavy cylinders with different aspect ratio (U = 30, 40, 50, 60 m/s) is shown in Figure 10. The aspect ratio (r) divided by the averaged DOASPL is linear with the 2 power of aspect ratio (r), as shown in Formula (8). The difference in the slope of the curves is very small under different airflow speed, wherein the slope when U = 50 m/s is the lowest.
D O A S P L = r / A + B r 2
where, r is the aspect ratio, A and B are the coefficients of the fitting formula between DOASPL and r, as shown in Table 2.
Figure 10. Averaged DOASPL between the wavy cylinders with different aspect ratio and the baseline cylinder (U = 30, 40, 50, 60 m/s).
Table 2. Coefficients of the fitting formula between DOASPL and r.

3.2. Effect of Airflow Speed

The far-field SPL and dSPL of the #2 and #3 cylinders (r = 40, 30) under different airflow speed are shown in Figure 11. The far-field SPL is quite different at the #1 microphone under different airflow speeds. A higher airflow speed will lead to a larger far-field SPL. Furthermore, we analyze the relative difference between the wavy cylinders and the baseline cylinder under the same conditions. The dSPL is the increment in the sound pressure level between the wavy cylinders and the baseline cylinders under the same airflow speed. Compared with the baseline cylinder, the far-field dSPL of cylinders is similar under different airflow speeds. The main differences are the minimum far-field dSPL and its corresponding frequency, which will become larger as the airflow speed is increased.
Figure 11. Far-field SPL and dSPL of the #2 and 3 cylinders under different airflow speeds (r = 30, 24).
Figure 12 presents the OASPL distribution of the wavy cylinders (r = ∞, 40, 30, and 24) and the baseline cylinder under different airflow speeds. The OASPL is increased along with the increasing airflow speed. The increment in OASPL between U = 30 m/s and U = 40 m/s is the largest for the same aspect ratio. Moreover, the increment in OASPL between U = 60 m/s and U = 50 m/s is the lowest one for the same aspect ratio. Regardless of the aspect ratio, compared with the baseline cylinder, the wavy cylinder shows similar OASPL variation trends when the airflow speed is varied.
Figure 12. OASPL distribution of the wavy cylinders and the baseline cylinder under different airflow speeds (r = ∞, 40, 30, and 24).
The DOASPL between the baseline cylinder and the wavy cylinders with different aspect ratios (r = 40, 30, and 24) is shown in Figure 13. Obviously, the wavy cylinder with a large aspect ratio and large spanwise wavelength has a large noise reduction compared with the baseline cylinder. The noise reduction of the #2 wavy cylinder (λ = 30) is the largest, but decreased slightly when λ is changed to 40 or 24.
Figure 13. DOASPL between the wavy cylinders with different aspect ratios and the baseline cylinder (r = 40, 30, and 24).
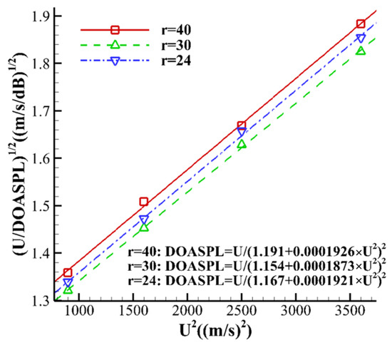
Figure 14 shows the averaged DOASPL between the wavy cylinder with different aspect ratios and the baseline cylinder (r = 40, 30, and 24). An obvious linear variation trend can be observed in Figure 14, i.e., the 1/2 power of the airflow speed divided by the averaged DOASPL is linear with the 2 power of the airflow speed. The slope of the curves is almost the same for all the aspect ratios.
D O A S P L = U / A + B U 2 2
where, U is the airflow speed, A and B are the coefficients of the fitting formula between DOASPL and U, as shown in Table 3. Formula (9) is useful since it may be used to predict the OASPL reduction using the wavy cylinders.
Figure 14. Averaged DOASPL between the wavy cylinder with different aspect ratios and the baseline cylinder (r = 40, 30, and 24).
Table 3. Coefficients of the fitting formula between DOASPL and U.
The sound power reflects the ability of the object radiating noise. The sound power of all the cylinders with different aspect ratios (at U = 30 m/s) is presented in Figure 15, which is not related with the distance between the cylinder and microphone. There is no doubt that the #0 cylinder has the largest ability to radiate noise, followed by the #1 cylinder, #3 cylinder and #2 cylinder. The #2 cylinder has the smallest sound power to generate the flow-noise. The maximum sound power appears within the frequency between 150 Hz and 300 Hz. Therefore, it is easy to understand the OASPL difference between the wavy cylinders and baseline cylinder in Figure 8 and Figure 9.
Figure 15. Sound power of all the cylinders with different aspect ratio (U = 30 m/s).

4. Numerical Simulation

4.1. Numerical Simulation Method and Set-Up

To further investigate the flow field and the noise reduction mechanism, large eddy simulation (LES) was performed for the baseline cylinder (the #0 cylinder) and the wavy cylinder (the #2 cylinder). The commercial solver Fluent was used. To model the sub-grid-scale stress (SGS), the dynamic Smagorinsky–Lilly model was used in the LES. The bounded central-differencing method was used for the spatial discretization, and the bounded second-order implicit method was used for the transient formulation. Figure 16 shows the computational domain and boundary. The inlet was 20D far from the cylinder, and the outlet was 40D far from the cylinder. The inlet velocity was set to be 60 m/s, and the outlet pressure was set to be 98,000 Pa. The translation periodicity boundary condition was used at the upper and lower boundaries in the spanwise direction. A non-slip wall boundary condition was set for the cylinder surface.
Figure 16. Computational domain and boundary.
The O-type topology grid was used around the baseline cylinder and wavy cylinder, as shown in Figure 17. The span of the cylinder was kept as 132 mm, i.e., equal to the wave length of the wavy cylinder. About 450 nodes were distributed around the cylinder, and 100 nodes were used in the spanwise direction. The height of the first layer grid was 5 × 10−6 m, leading to y+ < 1.
Figure 17. Grid around the baseline cylinder and wavy cylinder.

4.2. Mechanism Analysis on Noise Reduction

The time history of the lift coefficient and drag coefficient is compared between the baseline cylinder and wavy cylinder in Figure 18. It can be seen in Figure 18a that, the lift coefficient of the baseline cylinder shows large amplitude fluctuation, ranging from about −1.0 to 1.0. The lift coefficient and drag coefficient oscillate with time; this is because the vortex would periodically shed from the rod, leading to the oscillatory nature of the presented coefficients. The oscillatory period in the lift coefficient corresponds to a dimensionless frequency of St = 0.18. It is noted that the oscillatory nature is more obvious for the baseline cylinder than for the wavy cylinder. For the wavy cylinder, the fluctuation of the lift coefficient is greatly reduced, ranging from about −0.1 to 0.1. Further analysis shows that, the rms value of the fluctuation of the lift coefficient for the baseline cylinder and wavy cylinder is 0.55 and 0.05, respectively. The fluctuation of the lift coefficient is reduced by as much as 91%.
Figure 18. Comparison of the time history of the lift coefficient and drag coefficient between the baseline cylinder and wavy cylinder.
Similarly, Figure 18b shows that the wavy cylinder can also reduce the mean value and fluctuation amplitude of the drag coefficient. The mean value of the drag coefficient for the baseline cylinder and wavy cylinder is 1.36 and 0.98, respectively. The rms value of the fluctuation of the drag coefficient for the baseline cylinder and wavy cylinder is 0.08 and 0.02, respectively. Overall, the wavy cylinder can not only reduce the drag by 28%, but also reduce the intensity of the drag fluctuation by 75%.
The spectrum of the lift and drag coefficient was also compared in Figure 19. The baseline cylinder has obvious characteristic frequency at a Strouhal number 0.18 for the lift coefficient and 0.36 for the drag coefficient. However, the characteristic frequency is no longer so obvious for the wavy cylinder. Moreover, the peak amplitude of the lift coefficient spectrum is reduced by about 24 dB, and the drag coefficient spectrum is reduced by about 35 dB.
Figure 19. Comparison of the lift coefficient and drag coefficient power spectral density.
The rms value of the pressure fluctuation on the cylinder surface is presented in Figure 20 for both the baseline cylinder and wavy cylinder. It can be seen that the pressure fluctuation on the cylinder surface is suppressed very much by the wavy profile. The great reduction in the lift and drag fluctuation intensity, as well as the cylinder surface pressure fluctuation, is beneficial for the noise reduction.
Figure 20. Comparison of the pressure fluctuation on the cylinder surface.
Figure 21 shows the iso-surfaces of the Q-criterion for the baseline cylinder and wavy cylinder. The instantaneous vorticity distribution in the vertical plane and different spanwise location is also shown in Figure 22 and Figure 23. It can be seen from Figure 21 and Figure 22 that, the vortex structure for the wavy cylinder shows more complex three-dimensional characteristics. Figure 23 compares the span-wise vorticity distribution for the baseline cylinder and wavy cylinder at three different spanwise locations (trough, middle and peak location). For the baseline cylinder, regular vortex shedding can be observed. For the wavy cylinder, regular vortex shedding can be seen at the peak span location, and less obvious at the middle span location. At the trough span location, the vortex shedding tends to be banded instead of alternate oscitation. This is beneficial to suppress the unsteady load on the cylinder and the resulting noise radiation.
Figure 21. Iso-surfaces of the Q-criterion for the baseline cylinder and wavy cylinder.
Figure 22. Instantaneous vorticity distribution in the vertical plane.
Figure 23. Instantaneous vorticity distribution in different spanwise locations.
The turbulence intensity was also compared between the baseline cylinder and wavy cylinder at three different spanwise locations, as shown in Figure 24. For the baseline cylinder, a large zone of high turbulence intensity can be found in the cylinder near wake. However, for the wavy cylinder, there are two main differences. Firstly, the turbulence intensity is significantly reduced, especially at the trough and peak span locations. Secondly, the location of the peak turbulence intensity zone moves far away from the cylinder surface.
Figure 24. Comparison of the turbulence intensity between the baseline cylinder and wavy cylinder at three different spanwise locations.
To further discuss this phenomenon, the velocity fluctuation profile along the streamwise direction and along the transverse direction was presented both for the baseline cylinder and wavy cylinder in Figure 25. It can be seen from Figure 25a that, the peak value of the velocity fluctuation locates at about 1.4D downstream of the cylinder for the baseline cylinder and the peak value of the velocity fluctuation is about 90% of the far-field velocity. However, for the wavy cylinder, the peak value of the velocity fluctuation locates at about 3D downstream of the cylinder and the peak value of the velocity fluctuation is about 60% of the far-field velocity. Figure 25b shows the velocity fluctuation distribution in the transverse direction just downstream of the cylinder. It can be seen that the wavy cylinder can also greatly reduce the velocity fluctuation by as much as 44%. For the wavy cylinder, the peak span location has the highest velocity fluctuation and the trough span location has the lowest velocity fluctuation, which is consistent with Figure 23. However, irrespective of the peak span location or trough span location, the velocity fluctuation of the wavy cylinder is much lower than that of the baseline cylinder. The reduced velocity fluctuation and the moving far away of the peak velocity fluctuation from the cylinder surface also help to reduction the noise radiation.
Figure 25. Velocity fluctuation profile along the streamwise direction and along the transverse direction.

5. Conclusions

The influence of the cosine wavy shape on the far-field aerodynamic noise reduction of a cylinder in an aeroacoustic wind tunnel has been reported. The noise can be reduced significantly for the wavy cylinder with a large spanwise wavelength and large aspect ratio. Due to the cylinder tone noise, the maximum far-field dSPL between the wavy cylinder and the baseline cylinder is up to 37 dB, occurring at the frequency of 200–300 Hz. Among all the aspect ratios tested, the far-field SPL of the wavy cylinder would be the lowest when the aspect ratio is 30. Compared with the baseline cylinder, the OASPL for the wavy cylinders showed a large decreasing trend in the specified frequency range. Interestingly, a scaling law is found between the noise reduction, the aspect ratio of the wavy cylinder geometrical parameter and the incoming flow speed, which may be used to predict the noise reduction effect of the wavy cylinders under other conditions. The noise reduction mechanisms of the wavy cylinder have also been investigated via large eddy simulation. The numerical analysis shows that, the cosine wavy shape makes the periodic vortex shedding tend to be banded instead of alternate oscitation. Moreover, the wavy cylinder with a large spanwise wavelength and large aspect ratio has a significant function of reducing the turbulence intensity and velocity fluctuation, compared with the baseline cylinder. Therefore, the wavy shape changed the local flow field around the wave crest and wave trough of the wavy cylinder, resulting in the far-field noise reduction.

Author Contributions

Conceptualization, C.X.; methodology, C.X. and F.T.; software, F.T.; validation, C.X. and F.T.; formal analysis, C.X. and F.T.; investigation, C.X.; resources, C.X.; writing—original draft preparation, C.X. and F.T.; writing—review and editing, F.T.; visualization, C.X.; supervision, C.X.; project administration, C.X.; funding acquisition, C.X. and F.T. All authors have read and agreed to the published version of the manuscript.

Funding

This research was funded by National Natural Science Foundation of China, funding number No.11572338, No.12102451 and No.12261131502.

Institutional Review Board Statement

Not applicable.

Data Availability Statement

Data is unavailable due to privacy.

Acknowledgments

The authors would like to acknowledge the China Aerodynamics Research and Development Centre for allowing the use of the aeroacoustic wind tunnel. We sincerely thank Qian Wen for his help during the experiment and Honglei Bai for the inspiration.

Conflicts of Interest

The authors declare no conflict of interest.

Nomenclature

SPLSound pressure level (dB)
PWLSound power level (dB)
dSPLIncrement in sound pressure level between the wavy cylinder and the baseline cylinder (dB)
dPWLIncrement in sound power level between the wavy cylinder and the baseline cylinder (dB)
OASPLOverall sound pressure level (dB)
DOASPLDifference in OASPL between the wavy cylinder and the baseline cylinder (dB)
DmMean diameter of the wavy cylinder (mm)
LSpan length of the cylinder (mm)
ReDReynolds number calculated based on the mean diameter Dm
UAirflow speed (m/s)
θiIncluded angle between the microphone and airflow direction (°)
ΔθIncluded angle between adjacent microphones (°)
φFar-field sound pressure spectrum density
P0Reference sound pressure (Pa), 2 × 10−5 Pa
W0Reference sound power (W), 1 × 10−12 W
WIntegrated sound power (W)
RRadius of the arc microphone array (m)
c0Sound speed (m/s)
fFrequency (1/s)
StStrouhal number
λWavelength of a period wave on the wavy cylinder (mm)
aAmplitude of a period wave on the wavy cylinder (mm)
rAspect ratio of wavelength and amplitude of a period wave on the wavy cylinder

References

  1. Crighton, D.G. Basic principles of aerodynamic noise generation. Prog. Aerosp. Sci. 1975, 16, 31–96. [Google Scholar] [CrossRef]
  2. Liu, W.Y. A review on wind turbine noise mechanism and de-noising techniques. Renew. Energy 2017, 108, 311–320. [Google Scholar] [CrossRef]
  3. Zhao, K.; Okolo, P.; Neri, E.; Chen, P.; Kennedy, J.; Bennett, G. Noise reduction technologies for aircraft landing gear—A bibliographic review. Prog. Aerosp. Sci. 2020, 112, 100589. [Google Scholar] [CrossRef]
  4. Paruchuri, C.; Joseph, P.; Narayanan, S.; Vanderwel, C.; Turner, J.; Kim, J.W. Ganapathisubramani, B. Performance and mechanism of sinusoidal leading edge serrations for the reduction of turbulence-aerofoil interaction noise. J. Fluid Mech. 2017, 818, 435–464. [Google Scholar]
  5. Paruchuri, C.; Joseph, P.; Narayanan, S.; Kim, J. Aerofoil broadband noise reductions through double-wavelength leading-edge serrations: A new control concept. J. Fluid Mech. 2018, 855, 131–151. [Google Scholar]
  6. Clair, V.; Polacsek, C.; Le Garrec, T.; Reboul, G.; Gruber, M.; Joseph, P. Experimental and numerical investigation of turbulence-airfoil noise reduction using wavy edges. AIAA J. 2013, 51, 2695–2713. [Google Scholar] [CrossRef]
  7. Kim, J.W.; Haeri, S.; Joseph, P. On the reduction of aerofoil-turbulence interaction noise associated with wavy leading edges. J. Fluid Mech. 2016, 792, 526–552. [Google Scholar] [CrossRef]
  8. Fish, F.E.; Battle, J.M. Hydrodynamic design of the humpback whale flipper. Morphology 1995, 225, 51–60. [Google Scholar] [CrossRef]
  9. Li, D.; Liu, X.; Hu, F.; Wang, L. Effect of trailing-edge serrations on noise reduction in a coupled bionic aerofoil inspired by barn owls. Bioinspir. Biomim. 2019, 15, 016009. [Google Scholar] [CrossRef]
  10. Dai, C.; Guo, C.; Chen, Y.P. Analysis of the Influence of Different Bionic Structures on the Noise Reduction Performance of the Centrifugal Pump. Sensors 2021, 21, 886. [Google Scholar] [CrossRef]
  11. Leitch, T.A.; Saunders, C.A.; Ng, W.F. Reduction of unsteady stator–rotor interaction using trailing edge blowing. J. Sound Vib. 2000, 235, 235–245. [Google Scholar] [CrossRef]
  12. Li, Y.; Chen, Z.W.; Wang, X.N. Flow/noise control of a rod–airfoil configuration using natural rod-base blowing: Numerical experiments. Eur. J. Mech. -B/Fluids 2020, 83, 99–113. [Google Scholar] [CrossRef]
  13. Arnold, B.; Lutz, T.; Krämer, E. Design of a boundary-layer suction system for turbulent trailing-edge noise reduction of wind turbines. Renew. Energy 2018, 123, 249–262. [Google Scholar] [CrossRef]
  14. Sadawi, L.A.; Chong, T.P.; Kim, J.H. Aerodynamic noise reduction by plasma actuators for a flat plate with blunt trailing edge. J. Sound Vib. 2019, 439, 173–193. [Google Scholar] [CrossRef]
  15. Silva, G.; Eguea, P.J.; Croce, J.; Martini Catalano, F. Slat aerodynamic noise reduction using dielectric barrier discharge plasma actuators. Aerosp. Sci. Technol. 2020, 97, 105642. [Google Scholar] [CrossRef]
  16. Carpio, A.R.; Martínez, R.M.; Avallone, F.; Ragni, D.; Snellen, M.; van der Zwaag, D. Experimental characterization of the turbulent boundary layer over a porous trailing edge for noise abatement. J. Sound Vib. 2019, 443, 537–558. [Google Scholar] [CrossRef]
  17. AliSyamir, S.A.S.; Azarpeyvand, M.; Silva, C. Trailing edge bluntness noise reduction using porous treatments. J. Sound Vib. 2020, 474, 115257. [Google Scholar]
  18. Wang, F.; Jiang, G.; Luo, X. Experimental investigation on drag reduction of wavy cylinder in cross flow. J. Xi’an Jiaotong Univ. 2006, 40, 93–96. [Google Scholar]
  19. Zou, L.; Lin, Y.F. Force reduction of flow around a sinusoidal wavy cylinder. J. Hydrodyn. Ser. B 2009, 21, 308–315. [Google Scholar] [CrossRef]
  20. Zou, L.; Guo, C.B.; Xiong, C. Flow characteristics of the two tandem wavy cylinders and drag reduction phenomenon. J. Hydrodyn. Ser. B 2013, 25, 737–746. [Google Scholar] [CrossRef]
  21. Wang, J.; Zhang, C.; Wu, Z.; Wharton, J.; Ren, L. Numerical study on reduction of aerodynamic noise around an airfoil with biomimetic structures. J. Sound Vib. 2017, 394, 46–58. [Google Scholar] [CrossRef]
  22. Lam, K.; Lin, Y.F. Large eddy simulation of flow around wavy cylinders at a subcritical Reynolds number. Int. J. Heat Fluid Flow 2008, 29, 1071–1088. [Google Scholar] [CrossRef]
  23. Lam, K.; Lin, Y.F.; Zou, L.; Liu, Y. Numerical simulation of flows around two unyawed and yawed wavy cylinders in tandem arrangement. J. Fluids Struct. 2012, 28, 135–151. [Google Scholar] [CrossRef]
  24. Zhang, K.; Katsuchi, H.; Zhou, D.; Yamada, H.; Zhang, T.; Han, Z. Numerical simulation of vortex induced vibrations of a flexibly mounted wavy cylinder at subcritical Reynolds number. Ocean. Eng. 2017, 133, 170–181. [Google Scholar] [CrossRef]
  25. Zhuang, Y.Q.; Sun, X.J.; Huang, D.G. Numerical study of unsteady flows past a rotating wavy cylinder. Eur. J. Mech. -B/Fluids 2018, 72, 538–544. [Google Scholar] [CrossRef]
  26. Bai, H.L.; Alam, M.M.; Gao, N.; Lin, Y.F. The near wake of sinusoidal wavy cylinders: Three-dimensional POD analyses. Int. J. Heat Fluid Flow 2019, 75, 256–277. [Google Scholar] [CrossRef]
  27. Lam, K.; Lin, Y.F. Effects of wavelength and amplitude of a wavy cylinder in crossflow at low Reynolds numbers. J. Fluid Mech. 2009, 620, 195–220. [Google Scholar] [CrossRef]
  28. Lin, Y.F.; Bai, H.L.; Alam, M.M.; Zhang, W.G.; Lam, K. Effects of large spanwise wavelength on the wake of a sinusoidal wavy cylinder. J. Fluids Struct. 2016, 61, 392–409. [Google Scholar] [CrossRef]
  29. Deepakkumar, R.; Jayavel, S. Effect of local waviness in confining walls and its amplitude on vortex shedding control of the flow past a circular cylinder. Ocean. Eng. 2018, 156, 208–216. [Google Scholar] [CrossRef]
  30. Yoon, H.S.; Oh, K.J.; Kim, H.J.; Il Kim, M.; Moon, J. Double wavy geometric disturbance to the bluff body flow at a subcritical Reynolds number. Ocean. Eng. 2020, 195, 106713. [Google Scholar] [CrossRef]
  31. Ahmed, A.; Bays-Muchmore, B. Transverse flow over a wavy cylinder. Phys. Fluids A Fluid Dyn. 1992, 4, 1959–1967. [Google Scholar] [CrossRef]
  32. Lam, K.; Wang, F.H.; Li, J.Y.; So, R.M.C. Experimental investigation of the mean and fluctuating forces of wavy (varicose) cylinders in a cross-flow. J. Fluids Struct. 2004, 19, 321–334. [Google Scholar] [CrossRef]
  33. Lam, K.; Wang, F.H.; So, R.M.C. Three-dimensional nature of vortices in the near wake of a wavy cylinder. J. Fluids Struct. 2004, 19, 815–833. [Google Scholar] [CrossRef]
  34. Lee, S.J.; Nguyen, A.T. Experimental investigation on wake behind a wavy cylinder having sinusoidal cross-sectional area variation. Fluid Dyn. Res. 2007, 39, 292–304. [Google Scholar] [CrossRef]
  35. Bai, H.L.; Zang, B.; New, T.H. The near wake of a sinusoidal wavy cylinder with a large spanwise wavelength using time-resolved particle image velocimetry. Exp. Fluids 2019, 60, 15–18. [Google Scholar] [CrossRef]
  36. Wang, F.H.; Jiang, G.D.; Lam, K. A study of velocity fields in the near wake of a wavy (varicose) cylinder by LDA. Flow Meas. Instrum. 2004, 15, 105–110. [Google Scholar] [CrossRef]
  37. Lam, K.; Lin, Y.F.; Zou, L.; Liu, Y. Investigation of turbulent flow past a yawed wavy cylinder. J. Fluids Struct. 2010, 26, 1078–1097. [Google Scholar] [CrossRef]
  38. Lam, K.; Lin, Y.F.; Zou, L.; Liu, Y. Experimental study and large eddy simulation of turbulent flow around tube bundles composed of wavy and circular cylinders. Int. J. Heat Fluid Flow 2010, 31, 32–44. [Google Scholar] [CrossRef]
  39. Lam, K.; Lin, Y.F.; Zou, L.; Liu, Y. Numerical study of flow patterns and force characteristics for square and rectangular cylinders with wavy surfaces. J. Fluids Struct. 2012, 28, 359–377. [Google Scholar] [CrossRef]
  40. Tong, F.; Qiao, W.Y.; Chen, W.J.; Cheng, H.; Wei, R.; Wang, X. Numerical analysis of broadband noise reduction with wavy leading edge. Chin. J. Aeronaut. 2018, 31, 1489–1505. [Google Scholar] [CrossRef]
  41. Tong, F.; Qiao, W.Y.; Xu, K.; Wang, L.; Chen, W.; Wang, X. On the study of wavy leading-edge vanes to achieve low fan interaction noise. J. Sound Vib. 2018, 419, 200–226. [Google Scholar] [CrossRef]
  42. Yang, Y.N.; Liu, Y.; Hu, H.T.; Liu, X.; Wang, Y.; Arcondoulis, E.J.G.; Li, Z. Experimental study on noise reduction of a wavy multi-copter rotor. Appl. Acoust. 2020, 165, 107311. [Google Scholar] [CrossRef]
  43. Polacsek, C.; Reboul, G.; Clair, V.; Le Garrec, T.; Deniau, H. Turbulence-Airfoil Interaction Noise Reduction Using Wavy Leading Edge: An Experimental and Numerical Study of Internoise Conference. In Proceedings of the 40th International Congress and Exposition on Noise Control Engineering, Osaka, Japan, 4–7 September 2011. [Google Scholar]
  44. Haeri, S.; Kim, J.W.; Narayanan, S.; Joseph, P. 3D Calculations of Aerofoil-Turbulence Interaction Noise and the Effect of Wavy Leading Edges. In Proceedings of the 20th AIAA/CEAS Aeroacoustics Conference, Atlanta, GA, USA, 16–20 June 2014; pp. 2014–2325. [Google Scholar]
  45. Turner, J.M.; Kim, J.W. Aeroacoustic source mechanisms of a wavy leading edge undergoing vortical disturbances. J. Fluid Mech. 2017, 811, 582–611. [Google Scholar] [CrossRef]
  46. Seror, C.; Sagaut, P.; Bailly, C.; Juvé, D. On the radiated noise computed by large-eddy simulation. Phys. Fluids 2001, 13, 476–487. [Google Scholar] [CrossRef]
  47. Hamada, S.; Nakashima, S.; Kato, C.; Yamade, Y. Aerodynamic Noise Simulation of Propeller Fan by Large Eddy Simulation. In Proceedings of the ASME/JSME 5th Joint Fluids Engineering Conference, San Diego, CA, USA, 30 July–2 August 2007. [Google Scholar]
  48. Delorme, Y.; Stanly, R.; Frankel, S.H.; Greenblatt, D. Application of Actuator Line Model for Large Eddy Simulation of Rotor Noise Control. Aerosp. Sci. Technol. 2021, 108, 106405. [Google Scholar] [CrossRef]
  49. Jones, G.; Santer, M.; Papadakis, G. Control of low Reynolds number flow around an airfoil using periodic surface morphing: A numerical study. J. Fluids Struct. 2018, 76, 95–115. [Google Scholar] [CrossRef]
  50. Lin, Y.F.; Lam, K.; Zou, L.; Liu, Y. Numerical study of flows past airfoils with wavy surfaces. J. Fluids Struct. 2013, 36, 136–148. [Google Scholar] [CrossRef]
  51. Favier, J.; Pinelli, A.; Piomelli, U. Control of the separated flow around an airfoil using a wavy leading edge inspired by humpback whale flippers. Comptes Rendus Mécanique 2012, 340, 107–114. [Google Scholar] [CrossRef]
  52. Waitz, I.A.; Brookfield, J.M.; Sell, J.; Hayden, B. Preliminary assessment of wake management strategies for reduction of turbomachinery fan noise. J. Propuls. Power 1996, 12, 958–966. [Google Scholar] [CrossRef]
  53. Gruber, M.; Joseph, P.F.; Chong, T.P. Experimental investigation of airfoil self-noise and turbulent wake reduction by the use of trailing edge serrations. In Proceedings of the 16th AIAA/CEAS Aeroacoustics Conference, Stockholm, Sweden, 7–9 June 2010; pp. 2010–3803. [Google Scholar]
  54. Howe, M.S. Theory of Vortex Sound; Cambridge University Press: Cambridge, UK, 2002. [Google Scholar]
  55. Xiao, C.; Tong, F. Experiment on aeroacoustic characteristics of a NACA0012 airfoil with rime ice model on the leading edge. Appl. Acoust. 2021, 175, 107804. [Google Scholar] [CrossRef]
Disclaimer/Publisher’s Note: The statements, opinions and data contained in all publications are solely those of the individual author(s) and contributor(s) and not of MDPI and/or the editor(s). MDPI and/or the editor(s) disclaim responsibility for any injury to people or property resulting from any ideas, methods, instructions or products referred to in the content.

Article Metrics

Citations

Article Access Statistics

Multiple requests from the same IP address are counted as one view.