Analysis of 13 Banned Colorants in Cosmetics via Liquid Chromatographic and Mass Spectrometric Techniques
Abstract
1. Introduction
2. Materials and Methods
2.1. Chemicals and Reagents
2.2. Standard Stock Solutions
2.3. Sample Preparation
2.4. Optimized HPLC-DAD Conditions
2.5. Method Validation
2.6. Optimized LC-MS/MS Conditions
2.7. Optimized LC-Q-TOF-MS Conditions
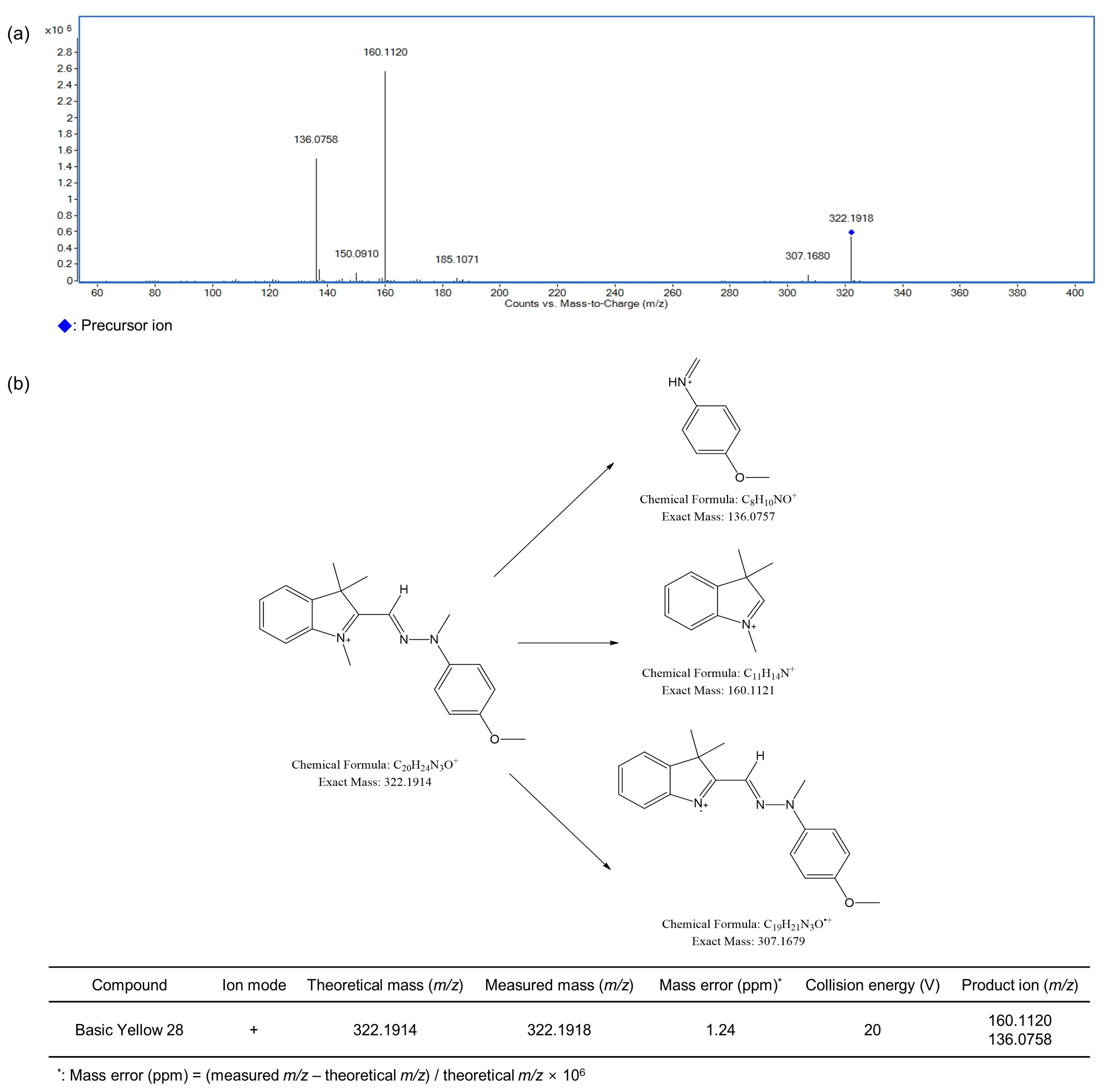
3. Results and Discussion
4. Conclusions
Supplementary Materials
Author Contributions
Funding
Institutional Review Board Statement
Informed Consent Statement
Data Availability Statement
Acknowledgments
Conflicts of Interest
References
- Kim, Y.E.; Kim, J.D. A study on the use of color cosmetics according to women’s appearance interest. Korean Soc. Cosmet. Cosmetol. 2020, 10, 289–305. [Google Scholar]
- Ahn, J.J. A study on the consumption propensity of men’s color cosmetics. Asian J. Beauty Cosmetol. 2020, 18, 533–547. [Google Scholar] [CrossRef]
- Lee, J.E.; Kim, J.D. A study on women’s appearance interest and cosmetics purchasing behavior due to Corona 19. Korean Soc. Cosmet. Cosmetol. 2021, 11, 231–242. [Google Scholar]
- Lee, H.; Kang, W. Effects of makeup motivation and implicit self-theory on beauty product use and purchase. Asian J. Beauty Cosmetol. 2021, 19, 209–221. [Google Scholar] [CrossRef]
- Ha, J.K. Clothing and make-up behavior by appearance management motive. Korean J. Community Living Sci. 2009, 20, 385–396. [Google Scholar]
- Park, E.H.; Ku, Y.S. Lifestyle, fast fashion attitude, and cosmetics behavior according to college students’ pursuit of clothing benefits typology. J. Fash. Bus. 2012, 16, 121–136. [Google Scholar] [CrossRef]
- Ahn, J.J. A study on cosmetics purchasing trends after COVID-19. J. Humanit. Soc. Sci. 2022, 30, 210–231. [Google Scholar]
- Park, A.R.; Lee, J.N. The influence of beauty influencer’s characteristics on makeup behavior and color cosmetics purchase intention in young female consumers aged 20–30s. J. Korean Appl. Sci. Technol. 2021, 38, 1093–1106. [Google Scholar]
- Weisz, A.; Milstein, S.R.; Scher, A.L.; Hepp, N.M. Colouring agents in cosmetics: Regulatory aspects and analytical methods. In Analysis of Cosmetic Products; Salvador, A., Chisvert, A., Eds.; Elsevier: Boston, MA, USA, 2018; Chapter 7; pp. 123–157. [Google Scholar]
- Chen, M.; Bai, H.; Zhai, J.; Meng, X.; Guo, X.; Wang, C.; Wang, P.; Lei, H.; Niu, Z.; Ma, Q. Comprehensive screening of 63 coloring agents in cosmetics using matrix solid-phase dispersion and ultra-high-performance liquid chromatography coupled with quadrupole-Orbitrap high-resolution mass spectrometry. J. Chromatogr. A 2019, 1590, 27–38. [Google Scholar] [CrossRef]
- Guerra, E.; Llompart, M.; Garcia-Jares, C. Miniaturized matrix solid-phase dispersion followed by liquid chromatography-tandem mass spectrometry for the quantification of synthetic dyes in cosmetics and foodstuffs used or consumed by children. J. Chromatogr. A 2017, 1529, 29–38. [Google Scholar] [CrossRef]
- Zhao, S.; Yin, J.; Zhang, J.; Ding, X.; Wu, Y.; Shao, B. Determination of 23 dyes in chili powder and paste by high-performance liquid chromatography–electrospray ionization tandem mass spectrometry. Food Anal. Methods 2012, 5, 1018–1026. [Google Scholar] [CrossRef]
- Cooper, J.; Marchand, J. Improving the speed and quantitative performance for the analysis of allergenic and carcinogenic dyes in industrial, cosmetics, personal care and consumer products. Consum. Prod. Test. 2016, 32. Available online: https://lcms.labrulez.com/labrulez-bucket-strapi-h3hsga3/720004492en_672f2e9680/720004492en.pdf (accessed on 25 March 2020).
- Filiz, Z.; Oymak, T.; Dural, E. Determination of synthetic colorants in cosmetic products by reversed-phase high-performance liquid chromatography coupled with diode-array detector. J. Res. Pharm. 2019, 23, 1048–1059. [Google Scholar] [CrossRef]
- García-Lavandeira, J.; Blanco, E.; Salgado, C.; Cela, R. Fast throughput, highly sensitive determination of allergenic disperse dyes in textile products by use of sample composition. Talanta 2010, 82, 261–269. [Google Scholar] [CrossRef] [PubMed]
- Ardila-Leal, L.D.; Poutou-Pinales, R.A.; Pedroza-Rodriguez, A.M.; Quevedo-Hidalgo, B.E. A Brief History of Colour, the Environmental Impact of Synthetic Dyes and Removal by Using Laccases. Molecules 2021, 26, 3813. [Google Scholar] [CrossRef] [PubMed]
- Pas, A.; Carballo, J.; Perez, M.J.; Dominguez, J.M. Biological treatment of model dyes and textile wastewaters. Chemosphere 2017, 181, 168–177. [Google Scholar] [CrossRef]
- Zucca, P.; Cocco, G.; Sollai, F.; Sanjust, E. Fungal laccases as tools for biodegradation of industrial dyes. Biocatalysis 2015, 1, 82–108. [Google Scholar] [CrossRef]
- Mpountoukas, P.; Pantazaki, A.; Kostareli, E.; Christodoulou, P.; Kareli, D.; Poliliou, S.; Mourelaos, C.; Lambropoulou, V.; Lialiaris, T. Cytogenetic evaluation and DNA interaction studies of the food colorants amaranth, erythrosine and tartrazine. Food Chem. Toxicol. 2010, 48, 2934–2944. [Google Scholar] [CrossRef]
- Benigni, R.; Passerini, L. Carcinogenicity of the aromatic amines: From structure–activity relationships to mechanisms of action and risk assessment. Mutat. Res. Rev. Mutat. Res. 2002, 511, 191–206. [Google Scholar] [CrossRef]
- Wang, L.; Zheng, J.; Zhang, Z.; Wang, T.; Che, B. Determination of eight Sudan dyes in chili powder by UPLC-MS/MS. Engineering 2013, 5, 154–157. [Google Scholar] [CrossRef]
- Chew, Y.L.; Xing, J.; Lim, L.G.S.; Zhan, Z. Development of LC/MS/MS Method for Screening and Quantitation of 47 Synthetic Dyes Under Restricted Substance List in Textiles. Available online: https://www.shimadzu.com (accessed on 26 November 2020).
- Jia, W.; Chu, X.; Ling, Y.; Huang, J.; Lin, Y.; Chang, J. Simultaneous determination of dyes in wines by HPLC coupled to quadrupole Orbitrap mass spectrometry. J. Sep. Sci. 2014, 37, 782–791. [Google Scholar] [CrossRef]
- Guerra, E.; Celeiro, M.; Lamas, J.P.; Llompart, M.; Garcia-Jares, C. Determination of dyes in cosmetic products by micro-matrix solid phase dispersion and liquid chromatography coupled to tandem mass spectrometry. J. Chromatogr. A 2015, 1415, 27–37. [Google Scholar] [CrossRef] [PubMed]
- Khalikova, M.A.; Šatínský, D.; Solich, P.; Nováková, L. Development and validation of ultra-high performance supercritical fluid chromatography method for determination of illegal dyes and comparison to ultra-high performance liquid chromatography method. Anal. Chim. Acta 2015, 874, 84–96. [Google Scholar] [CrossRef]
- Tang, B.; Xi, C.; Zou, Y.; Wang, G.; Li, X.; Zhang, L.; Chen, D.; Zhang, J. Simultaneous determination of 16 synthetic colorants in hotpot condiment by high performance liquid chromatography. J. Chromatogr. B Anal. Technol. Biomed. Life Sci. 2014, 960, 87–91. [Google Scholar] [CrossRef] [PubMed]
- Liu, W.; Liu, J.; Zhang, Y.; Chen, Y.; Yang, X.; Duan, L.; Dharmarajan, R.; Wang, X.; Li, L. Simultaneous determination of 20 disperse dyes in foodstuffs by ultra high performance liquid chromatography–tandem mass spectrometry. Food Chem. 2019, 300, 125183. [Google Scholar] [CrossRef]
- Yang, Y.; Yin, J.; Shao, B. Simultaneous determination of five aluminum lake dyes in chewing gum by HPLC with photodiode array detection. Food Addit. Contam. Part A 2011, 28, 1159–1167. [Google Scholar] [CrossRef] [PubMed]
- Yoshioka, N.; Ichihashi, K. Determination of 40 synthetic food colors in drinks and candies by high-performance liquid chromatography using a short column with photodiode array detection. Talanta 2008, 74, 1408–1413. [Google Scholar] [CrossRef] [PubMed]
- Guerra, E.; Alvarez-Rivera, G.; Llompart, M.; Garcia-Jares, C. Simultaneous determination of preservatives and synthetic dyes in cosmetics by single-step vortex extraction and clean-up followed by liquid chromatography coupled to tandem mass spectrometry. Talanta 2018, 188, 251–258. [Google Scholar] [CrossRef]
- ICH Harmonised tripartite guideline. In Validation of Analytical Procedures: Text and Methodology Q2(R1); International Council for Harmonisation of Technical Requirements for Pharmaceuticals for Human Use: Geneva, Switzerland, 2005.
- Wan, H.; Chen, H.; Chu, Y.; Ju, X.; Jiang, H. Structure characterization and optical properties investigation of the four main components of the classical phenazinium dye Safranin O. Analyst 2019, 144, 7149–7156. [Google Scholar] [CrossRef]
- Di Donna, L.; De Nino, A.; Maiuolo, L.; Mazzotti, F.; Napoli, A.; Salerno, R.; Sindona, G. High–throughput mass spectrometry: The mechanism of sudan azo dye fragmentation by ESI tandem mass spectrometry and extensive deuterium labeling experiments. J. Mass Spectrom. 2007, 42, 1057–1061. [Google Scholar] [CrossRef]






| Compound | Sample Type | LOD (μg/mL) | LOQ (μg/mL) | Linear Range (μg/mL) | R2 |
|---|---|---|---|---|---|
| Basic Blue 26 | Tattoo lipstick | 0.08 | 0.24 | 0.24–12.00 | 0.9999 |
| Tattoo eyebrow | 0.10 | 0.30 | 0.30–15.00 | 0.9997 | |
| Hair tint | 0.08 | 0.24 | 0.24–12.00 | 0.9999 | |
| Basic Red 2 | Tattoo lipstick | 0.30 | 0.90 | 0.90–45.00 | 0.9999 |
| Tattoo eyebrow | 1.20 | 3.60 | 3.60–180.00 | 0.9997 | |
| Hair tint | 0.30 | 0.90 | 0.90–45.00 | 0.9999 | |
| Basic Yellow 28 | Tattoo lipstick | 0.20 | 0.60 | 0.60–30.00 | 0.9999 |
| Tattoo eyebrow | 0.50 | 1.50 | 1.50–75.00 | 0.9998 | |
| Hair tint | 0.20 | 0.60 | 0.60–30.00 | 0.9999 | |
| Disperse Brown 1 | Tattoo lipstick | 0.02 | 0.05 | 0.05–2.50 | 0.9999 |
| Tattoo eyebrow | 0.30 | 0.90 | 0.90–45.00 | 0.9999 | |
| Hair tint | 0.01 | 0.04 | 0.04–2.00 | 0.9999 | |
| Disperse Orange 3 | Tattoo lipstick | 0.01 | 0.04 | 0.04–2.00 | 0.9999 |
| Tattoo eyebrow | 0.18 | 0.53 | 0.53–26.50 | 0.9999 | |
| Hair tint | 0.01 | 0.04 | 0.04–2.00 | 0.9999 | |
| Disperse Yellow 3 | Tattoo lipstick | 0.05 | 0.15 | 0.15–7.50 | 0.9999 |
| Tattoo eyebrow | 0.40 | 1.20 | 1.20–60.00 | 0.9999 | |
| Hair tint | 0.05 | 0.16 | 0.16–8.00 | 0.9999 | |
| HC Blue No. 2 | Tattoo lipstick | 0.04 | 0.12 | 0.12–6.00 | 0.9999 |
| Tattoo eyebrow | 0.24 | 0.72 | 0.72–36.00 | 0.9999 | |
| Hair tint | 0.04 | 0.11 | 0.11–5.50 | 0.9999 | |
| HC Yellow No. 5 | Tattoo lipstick | 0.01 | 0.03 | 0.03–1.50 | 0.9999 |
| Tattoo eyebrow | 0.40 | 1.20 | 1.20–60.00 | 0.9999 | |
| Hair tint | 0.01 | 0.03 | 0.03–1.50 | 0.9999 | |
| Solvent Orange 4 | Tattoo lipstick | 0.07 | 0.20 | 0.20–10.00 | 0.9999 |
| Tattoo eyebrow | 0.30 | 0.90 | 0.90–45.00 | 0.9999 | |
| Hair tint | 0.01 | 0.02 | 0.02–1.00 | 0.9998 | |
| Solvent Orange 7 | Tattoo lipstick | 0.10 | 0.30 | 0.30–15.00 | 0.9999 |
| Tattoo eyebrow | 0.67 | 2.01 | 2.01–100.50 | 0.9999 | |
| Hair tint | 0.10 | 0.30 | 0.30–15.00 | 0.9999 | |
| Solvent Red 24 | Tattoo lipstick | 0.15 | 0.45 | 0.45–22.50 | 0.9999 |
| Tattoo eyebrow | 1.00 | 3.00 | 3.00–150.00 | 0.9999 | |
| Hair tint | 0.18 | 0.54 | 0.54–27.00 | 0.9999 | |
| Solvent Yellow 1 | Tattoo lipstick | 0.02 | 0.05 | 0.05–2.50 | 0.9999 |
| Tattoo eyebrow | 0.20 | 0.60 | 0.60–30.00 | 0.9999 | |
| Hair tint | 0.01 | 0.03 | 0.03–1.50 | 0.9999 | |
| Solvent Yellow 3 | Tattoo lipstick | 0.15 | 0.45 | 0.45–22.50 | 0.9999 |
| Tattoo eyebrow | 0.30 | 0.90 | 0.90–45.00 | 0.9999 | |
| Hair tint | 0.02 | 0.05 | 0.05–2.50 | 0.9999 |
| Compound | Conc. (μg/mL) | Recovery | Intra-Day | Inter-Day | |||
|---|---|---|---|---|---|---|---|
| Mean (%) | RSD (%) | Accuracy (%) | Precision (RSD%) | Accuracy (%) | Precision (RSD%) | ||
| Basic Blue 26 | 0.24 | 102.11 | 2.92 | 91.98 | 4.95 | 89.22 | 3.22 |
| 2.40 | 101.29 | 1.56 | 101.17 | 0.62 | 101.23 | 0.10 | |
| 12.00 | 102.01 | 0.96 | 99.70 | 0.93 | 99.83 | 0.42 | |
| Basic Red 2 | 0.90 | 94.11 | 4.57 | 94.15 | 3.25 | 91.53 | 3.18 |
| 9.00 | 96.64 | 1.58 | 101.13 | 0.53 | 101.01 | 0.23 | |
| 45.00 | 97.81 | 1.51 | 99.39 | 1.33 | 99.56 | 0.21 | |
| Basic Yellow 28 | 0.60 | 95.64 | 3.90 | 98.31 | 3.44 | 94.44 | 3.57 |
| 6.00 | 96.14 | 1.48 | 100.69 | 0.65 | 100.68 | 0.26 | |
| 30.00 | 97.12 | 1.17 | 99.40 | 1.22 | 99.48 | 0.16 | |
| Disperse Brown 1 | 0.05 | 90.45 | 3.42 | 92.55 | 7.08 | 97.76 | 6.96 |
| 0.50 | 93.84 | 2.14 | 101.84 | 0.91 | 101.78 | 1.26 | |
| 2.50 | 91.24 | 1.15 | 98.83 | 1.72 | 99.73 | 0.81 | |
| Disperse Orange 3 | 0.04 | 101.01 | 0.56 | 88.60 | 8.96 | 94.60 | 5.85 |
| 0.40 | 104.10 | 2.30 | 101.09 | 0.86 | 101.24 | 0.73 | |
| 2.00 | 103.19 | 1.63 | 99.07 | 1.49 | 99.45 | 0.90 | |
| Disperse Yellow 3 | 0.15 | 100.89 | 4.66 | 99.27 | 5.04 | 101.14 | 4.96 |
| 1.50 | 95.57 | 2.74 | 99.41 | 1.52 | 100.05 | 0.60 | |
| 7.50 | 102.30 | 2.30 | 98.05 | 1.35 | 98.58 | 0.93 | |
| HC Blue No. 2 | 0.12 | 98.00 | 1.35 | 106.50 | 5.96 | 108.28 | 1.43 |
| 1.20 | 98.55 | 2.84 | 100.08 | 1.52 | 99.94 | 0.61 | |
| 6.00 | 98.24 | 1.73 | 99.41 | 1.45 | 100.10 | 1.18 | |
| HC Yellow No. 5 | 0.03 | 104.97 | 3.83 | 95.59 | 4.87 | 99.63 | 5.98 |
| 0.30 | 108.39 | 2.06 | 100.82 | 1.48 | 100.85 | 1.16 | |
| 1.50 | 108.23 | 1.40 | 99.15 | 1.11 | 99.61 | 0.74 | |
| Solvent Orange 4 | 0.20 | 95.28 | 2.59 | 102.63 | 4.45 | 105.62 | 4.68 |
| 2.00 | 99.91 | 3.24 | 103.00 | 1.93 | 102.49 | 1.01 | |
| 10.00 | 102.06 | 1.51 | 100.15 | 2.13 | 99.09 | 2.49 | |
| Solvent Orange 7 | 0.30 | 88.24 | 2.97 | 85.97 | 7.30 | 90.76 | 5.32 |
| 3.00 | 86.86 | 2.92 | 101.44 | 1.15 | 101.12 | 0.80 | |
| 15.00 | 86.11 | 1.41 | 99.25 | 1.55 | 99.70 | 0.69 | |
| Solvent Red 24 | 0.45 | 99.81 | 0.38 | 90.63 | 8.34 | 95.63 | 4.58 |
| 4.50 | 99.93 | 2.02 | 101.28 | 0.82 | 100.58 | 0.73 | |
| 22.50 | 103.65 | 0.87 | 99.66 | 1.72 | 99.64 | 0.48 | |
| Solvent Yellow 1 | 0.05 | 92.12 | 3.88 | 101.17 | 4.68 | 99.07 | 1.84 |
| 0.50 | 98.14 | 0.66 | 101.50 | 3.73 | 101.68 | 1.49 | |
| 2.50 | 102.25 | 0.85 | 98.22 | 1.91 | 99.44 | 1.18 | |
| Solvent Yellow 3 | 0.45 | 103.66 | 0.38 | 89.17 | 6.70 | 95.41 | 5.69 |
| 4.50 | 97.59 | 1.21 | 102.13 | 0.67 | 102.10 | 0.04 | |
| 22.50 | 100.95 | 0.29 | 99.85 | 1.52 | 99.73 | 0.81 | |
| Compound | Conc. (μg/mL) | Recovery | Intra-Day | Inter-Day | |||
|---|---|---|---|---|---|---|---|
| Mean (%) | RSD (%) | Accuracy (%) | Precision (RSD%) | Accuracy (%) | Precision (RSD%) | ||
| Basic Blue 26 | 0.30 | 100.90 | 1.26 | 82.85 | 4.07 | 82.93 | 2.79 |
| 3.00 | 101.05 | 0.67 | 103.90 | 1.25 | 103.74 | 0.26 | |
| 15.00 | 103.03 | 0.96 | 100.17 | 0.48 | 99.72 | 0.75 | |
| Basic Red 2 | 3.60 | 99.48 | 2.30 | 80.23 | 4.25 | 80.70 | 0.58 |
| 36.00 | 100.01 | 0.75 | 103.84 | 1.23 | 103.55 | 0.25 | |
| 180.00 | 101.61 | 0.82 | 100.24 | 0.49 | 99.91 | 0.59 | |
| Basic Yellow 28 | 1.50 | 100.39 | 1.44 | 80.38 | 4.71 | 80.85 | 0.68 |
| 15.00 | 98.09 | 0.94 | 103.60 | 0.98 | 103.35 | 0.25 | |
| 75.00 | 98.98 | 0.94 | 99.65 | 0.21 | 99.48 | 0.60 | |
| Disperse Brown 1 | 0.90 | 100.37 | 1.51 | 86.19 | 9.34 | 87.98 | 2.89 |
| 9.00 | 100.71 | 1.02 | 100.31 | 1.22 | 99.92 | 0.35 | |
| 45.00 | 101.47 | 0.33 | 99.02 | 0.39 | 99.97 | 0.94 | |
| Disperse Orange 3 | 0.53 | 97.96 | 0.88 | 86.31 | 9.68 | 88.85 | 2.93 |
| 5.30 | 98.44 | 0.93 | 100.33 | 1.15 | 100.41 | 0.12 | |
| 26.50 | 99.19 | 0.46 | 99.07 | 0.38 | 100.09 | 0.95 | |
| Disperse Yellow 3 | 1.20 | 100.73 | 1.86 | 87.81 | 8.20 | 88.74 | 1.60 |
| 12.00 | 99.36 | 1.12 | 101.06 | 0.99 | 100.25 | 0.70 | |
| 60.00 | 99.52 | 0.64 | 99.35 | 0.45 | 100.05 | 0.73 | |
| HC Blue No. 2 | 0.72 | 104.71 | 2.69 | 95.79 | 8.32 | 97.94 | 3.54 |
| 7.20 | 105.33 | 1.74 | 98.47 | 1.27 | 98.46 | 0.02 | |
| 36.00 | 101.80 | 0.31 | 99.30 | 0.18 | 99.85 | 0.53 | |
| HC Yellow No. 5 | 1.20 | 83.32 | 3.25 | 97.20 | 7.71 | 100.39 | 5.33 |
| 12.00 | 86.57 | 1.34 | 91.85 | 3.44 | 96.06 | 7.64 | |
| 60.00 | 90.39 | 1.34 | 96.58 | 4.39 | 100.29 | 6.40 | |
| Solvent Orange 4 | 0.90 | 97.50 | 3.58 | 100.17 | 6.39 | 102.94 | 4.58 |
| 9.00 | 96.41 | 1.18 | 97.34 | 1.23 | 101.07 | 3.22 | |
| 45.00 | 93.42 | 1.32 | 95.92 | 1.49 | 100.21 | 3.83 | |
| Solvent Orange 7 | 2.01 | 98.77 | 1.88 | 93.00 | 5.09 | 90.86 | 2.07 |
| 20.10 | 97.85 | 0.54 | 100.86 | 0.88 | 100.28 | 0.54 | |
| 100.50 | 98.33 | 0.38 | 99.54 | 0.33 | 100.12 | 0.55 | |
| Solvent Red 24 | 3.00 | 101.10 | 1.55 | 88.85 | 5.29 | 86.80 | 6.62 |
| 30.00 | 100.71 | 1.34 | 101.78 | 0.57 | 100.21 | 1.36 | |
| 150.00 | 101.11 | 0.32 | 99.69 | 0.14 | 100.30 | 0.96 | |
| Solvent Yellow 1 | 0.60 | 97.69 | 1.22 | 89.49 | 7.55 | 90.41 | 2.12 |
| 6.00 | 98.23 | 1.02 | 100.80 | 0.93 | 100.48 | 0.29 | |
| 30.00 | 99.43 | 0.53 | 99.40 | 0.47 | 100.37 | 0.91 | |
| Solvent Yellow 3 | 0.90 | 99.01 | 1.17 | 88.93 | 8.05 | 90.38 | 2.07 |
| 9.00 | 99.47 | 1.02 | 100.70 | 0.92 | 100.44 | 0.22 | |
| 45.00 | 100.26 | 0.44 | 99.50 | 0.48 | 100.37 | 0.80 | |
| Compound | Conc. (μg/mL) | Recovery | Intra-Day | Inter-Day | |||
|---|---|---|---|---|---|---|---|
| Mean (%) | RSD (%) | Accuracy (%) | Precision (RSD%) | Accuracy (%) | Precision (RSD%) | ||
| Basic Blue 26 | 0.24 | 100.90 | 1.26 | 98.67 | 2.06 | 100.96 | 2.61 |
| 2.40 | 101.05 | 0.67 | 99.89 | 1.06 | 99.89 | 0.64 | |
| 12.00 | 103.03 | 0.96 | 99.45 | 0.84 | 98.67 | 0.71 | |
| Basic Red 2 | 0.90 | 99.48 | 2.30 | 100.87 | 1.41 | 101.24 | 0.48 |
| 9.00 | 100.01 | 0.75 | 99.85 | 0.89 | 99.96 | 0.55 | |
| 45.00 | 101.61 | 0.82 | 99.46 | 0.80 | 98.74 | 0.64 | |
| Basic Yellow 28 | 0.60 | 100.39 | 1.44 | 100.75 | 2.16 | 102.41 | 1.96 |
| 6.00 | 98.09 | 0.94 | 99.98 | 0.89 | 99.87 | 0.63 | |
| 30.00 | 98.98 | 0.94 | 99.58 | 0.91 | 99.12 | 0.45 | |
| Disperse Brown 1 | 0.04 | 102.29 | 7.36 | 104.96 | 7.72 | 100.24 | 6.44 |
| 0.40 | 106.48 | 3.60 | 101.34 | 1.32 | 100.95 | 1.22 | |
| 2.00 | 102.68 | 0.71 | 101.48 | 0.19 | 100.27 | 1.25 | |
| Disperse Orange 3 | 0.04 | 105.33 | 9.63 | 98.38 | 3.40 | 101.74 | 4.56 |
| 0.40 | 104.17 | 0.73 | 101.24 | 0.61 | 100.39 | 1.28 | |
| 2.00 | 102.51 | 0.44 | 101.87 | 0.22 | 100.64 | 1.11 | |
| Disperse Yellow 3 | 0.16 | 104.80 | 5.06 | 89.74 | 4.54 | 92.09 | 2.95 |
| 1.60 | 101.68 | 1.05 | 102.36 | 0.25 | 100.65 | 1.59 | |
| 8.00 | 101.72 | 0.89 | 102.35 | 0.19 | 100.60 | 1.61 | |
| HC Blue No. 2 | 0.11 | 96.30 | 1.99 | 92.25 | 6.56 | 96.61 | 4.95 |
| 1.10 | 101.11 | 1.54 | 102.75 | 0.53 | 104.02 | 4.01 | |
| 5.50 | 100.48 | 1.10 | 102.69 | 0.51 | 103.66 | 5.25 | |
| HC Yellow No. 5 | 0.03 | 99.53 | 6.26 | 91.68 | 9.06 | 90.80 | 9.19 |
| 0.30 | 103.79 | 1.83 | 104.95 | 1.15 | 103.73 | 1.98 | |
| 1.50 | 103.97 | 1.21 | 102.64 | 0.32 | 100.74 | 1.71 | |
| Solvent Orange 4 | 0.02 | 99.27 | 9.24 | 81.20 | 7.02 | 86.34 | 6.07 |
| 0.20 | 97.57 | 2.09 | 102.54 | 0.69 | 102.15 | 0.73 | |
| 1.00 | 97.31 | 0.91 | 103.77 | 1.40 | 101.82 | 1.73 | |
| Solvent Orange 7 | 0.30 | 98.58 | 8.11 | 107.44 | 3.80 | 102.44 | 9.80 |
| 3.00 | 95.99 | 1.54 | 101.35 | 2.94 | 100.58 | 0.68 | |
| 15.00 | 97.25 | 0.49 | 101.89 | 0.68 | 100.72 | 1.07 | |
| Solvent Red 24 | 0.54 | 104.54 | 2.07 | 103.76 | 9.23 | 101.85 | 6.22 |
| 5.40 | 104.59 | 1.39 | 99.99 | 0.70 | 98.85 | 1.46 | |
| 27.00 | 103.45 | 0.55 | 102.09 | 0.08 | 100.84 | 1.15 | |
| Solvent Yellow 1 | 0.03 | 93.49 | 3.04 | 84.91 | 9.99 | 91.57 | 6.39 |
| 0.30 | 103.12 | 1.63 | 102.98 | 0.38 | 101.53 | 1.46 | |
| 1.50 | 101.65 | 1.41 | 102.38 | 0.25 | 100.71 | 1.48 | |
| Solvent Yellow 3 | 0.05 | 99.75 | 2.16 | 83.21 | 8.62 | 91.13 | 8.07 |
| 0.50 | 100.24 | 0.70 | 102.66 | 0.49 | 101.19 | 1.50 | |
| 2.50 | 102.14 | 1.15 | 102.48 | 0.29 | 100.78 | 1.51 | |
| Compound | Chemical Formula | Ion Mode | Precursor Ion (m/z) | CV (V) | Product Ion (m/z) | CE (V) |
|---|---|---|---|---|---|---|
| Basic Blue 26 | C33H32ClN3 | + | 470.42 | 15 | 349.30 * | 35 |
| 454.38 | 40 | |||||
| 333.28 | 50 | |||||
| Basic Red 2 | C20H19N4Cl | + | 315.32 | 15 | 299.30 * | 40 |
| 210.24 | 50 | |||||
| 237.26 | 40 | |||||
| Basic Yellow 28 | C21H27N3O5S | + | 322.34 | 15 | 160.24 * | 20 |
| 136.18 | 25 | |||||
| Disperse Brown 1 | C16H15Cl3N4O4 | + | 433.25 | 15 | 197.25 * | 30 |
| 153.23 | 35 | |||||
| 357.19 | 30 | |||||
| Disperse Orange 3 | C12H10N4O2 | + | 243.27 | 15 | 122.18 * | 15 |
| 75.22 | 30 | |||||
| 92.22 | 25 | |||||
| Disperse Yellow 3 | C15H15N3O2 | - | 268.28 | 15 | 134.23 * | 20 |
| 92.21 | 25 | |||||
| HC Blue No. 2 | C12H19N3O5 | + | 286.29 | 15 | 210.29 * | 25 |
| 241.31 | 20 | |||||
| HC Yellow No. 5 | C8H11N3O3 | - | 196.21 | 15 | 166.23 * | 15 |
| 151.19 | 20 | |||||
| 137.22 | 20 | |||||
| Solvent Orange 4 | C13H14N4 | + | 227.33 | 15 | 134.27 * | 30 |
| 120.24 | 30 | |||||
| Solvent Orange 7 | C18H16N2O | + | 277.31 | 15 | 121.28 * | 20 |
| 156.24 | 15 | |||||
| Solvent Red 24 | C24H21N4O | + | 381.35 | 15 | 106.17 * | 30 |
| 224.23 | 20 | |||||
| Solvent Yellow 1 | C12H11N3 | + | 198.30 | 15 | 77.24 * | 20 |
| 93.25 | 20 | |||||
| Solvent Yellow 3 | C14H15N3 | + | 226.33 | 15 | 106.24 * | 20 |
| 121.24 | 20 |
Disclaimer/Publisher’s Note: The statements, opinions and data contained in all publications are solely those of the individual author(s) and contributor(s) and not of MDPI and/or the editor(s). MDPI and/or the editor(s) disclaim responsibility for any injury to people or property resulting from any ideas, methods, instructions or products referred to in the content. |
© 2023 by the authors. Licensee MDPI, Basel, Switzerland. This article is an open access article distributed under the terms and conditions of the Creative Commons Attribution (CC BY) license (https://creativecommons.org/licenses/by/4.0/).
Share and Cite
Han, K.-M.; Kim, Y.K.; Seo, S.; Kim, J.H.; Lee, J.H.; Kim, H.I.; Cho, S. Analysis of 13 Banned Colorants in Cosmetics via Liquid Chromatographic and Mass Spectrometric Techniques. Appl. Sci. 2023, 13, 5967. https://doi.org/10.3390/app13105967
Han K-M, Kim YK, Seo S, Kim JH, Lee JH, Kim HI, Cho S. Analysis of 13 Banned Colorants in Cosmetics via Liquid Chromatographic and Mass Spectrometric Techniques. Applied Sciences. 2023; 13(10):5967. https://doi.org/10.3390/app13105967
Chicago/Turabian StyleHan, Kyoung-Moon, You Kyung Kim, Sowoon Seo, Jun Hyoung Kim, Ji Hyun Lee, Hyung Il Kim, and Sooyeul Cho. 2023. "Analysis of 13 Banned Colorants in Cosmetics via Liquid Chromatographic and Mass Spectrometric Techniques" Applied Sciences 13, no. 10: 5967. https://doi.org/10.3390/app13105967
APA StyleHan, K.-M., Kim, Y. K., Seo, S., Kim, J. H., Lee, J. H., Kim, H. I., & Cho, S. (2023). Analysis of 13 Banned Colorants in Cosmetics via Liquid Chromatographic and Mass Spectrometric Techniques. Applied Sciences, 13(10), 5967. https://doi.org/10.3390/app13105967

