Does the New Resin-Free Molten d60 Ball Have an Impact on the Velocity and Accuracy of Handball Throws?
Abstract
1. Introduction
2. Materials and Methods
2.1. Sample
2.2. Procedures
2.2.1. Throwing Velocity
2.2.2. Throwing Accuracy
2.2.3. Players’ Subjective Perception
2.3. Statistical Analysis
3. Results
3.1. Throwing Velocity
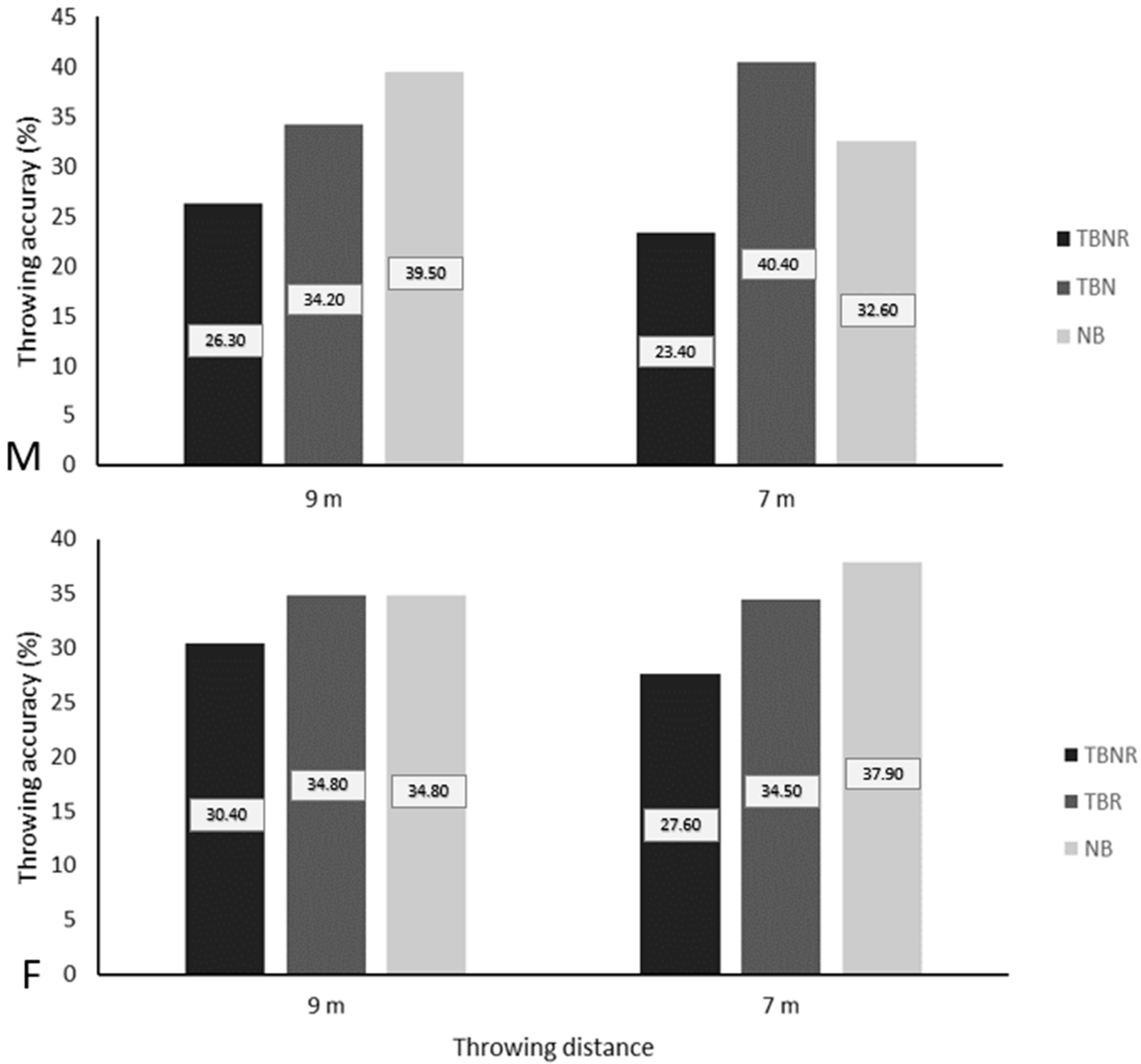
3.2. Throwing Accuracy
4. Discussion
4.1. Limitations
4.2. Future Research Lines—Practical Applications
5. Conclusions
Author Contributions
Funding
Institutional Review Board Statement
Informed Consent Statement
Data Availability Statement
Conflicts of Interest
References
- Vuleta, D.; Sporiš, G.; Talović, M.; Jelešković, E. Reliability and factorial validity of power tests for handball players. Sport Sci. 2010, 3, 42–46. [Google Scholar]
- Karcher, C.; Buchheit, M. On-Court demands of elite handball, with special reference to playing positions. Sports Med. 2014, 44, 797–814. [Google Scholar] [CrossRef]
- Wagner, H.; Finkenzeller, T.; Würth, S.; Von Duvillard, S.P. Individual and team performance in team-handball: A review. J. Sports Sci. Med. 2014, 13, 808–816. [Google Scholar]
- van den Tillaar, R.; Ettema, G. Instructions Emphasizing Velocity, Accuracy, or Both in Performance and Kinematics of Overarm Throwing by Experienced Team Handball Players. Percept. Mot. Skills 2003, 97, 731–742. [Google Scholar] [CrossRef] [PubMed]
- Rivilla-Garcia, J.; Calvo, J.L.; Van den Tillaar, R. Comparison of Throwing Velocity Between First and Second Offensive Line Handball Players./Primerjava Hitrosti Meta Žoge V Rokometu Glede Na Igralna Mesta V Napadu. Kinesiol. Slov. 2016, 22, 5–15. [Google Scholar]
- Almeida, A.G.; Merlin, M.; Pinto, A.; Torres, R.S.; Cunha, S.A. Performance-level indicators of male elite handball teams. Int. J. Perform. Anal. Sport. 2020, 20, 1–9. [Google Scholar] [CrossRef]
- Ferrari, W.; Dias, G.; Sousa, T.; Sarmento, H.; Vaz, V. Comparative analysis of the offensive effectiveness in winner and losing handball teams. Front. Psychol. 2020, 11, 1–7. [Google Scholar] [CrossRef] [PubMed]
- Vila, H.; Ferragut, C. Throwing speed in team handball: A systematic review. Int. J. Perform. Anal. Sport 2019, 19, 724–736. [Google Scholar] [CrossRef]
- Manchado, C.; Pueo, B.; Chirosa-Rios, L.J.; Tortosa-Martínez, J. Time–motion analysis by playing positions of male handball players during the european championship 2020. Int. J. Environ. Res. Public Health 2021, 18, 1–15. [Google Scholar]
- Sarvestan, J.; Riedel, V.; Gonosová, Z.; Linduška, P.; Přidalová, M. Relationship between anthropometric and strength variables and maximal throwing velocity in female junior handball players—A pilot study. Acta Gymnica 2019, 49, 132–137. [Google Scholar] [CrossRef]
- Zapartidis, I.; Kororos, P.; Christodoulidis, T.; Skoufas, D.; Bayios, I. Profile of young handball players by playing position and determinants of ball throwing velocity. J. Hum. Kinet. 2011, 27, 17–30. [Google Scholar] [CrossRef]
- Fradet, L.; Botcazou, M.; Durocher, C.; Cretual, A.; Multon, F.; Prioux, J.; Delamarche, P. Do handball throws always exhibit a proximal-to-distal segmental sequence? J. Sports Sci. 2004, 22, 439–447. [Google Scholar] [CrossRef]
- van den Tillaar, R.; Ettema, G. Is there a proximal-to-distal sequence in overarm throwing in team handball? J. Sports Sci. 2009, 27, 949–955. [Google Scholar] [CrossRef]
- Ferragut, C.; Vila, H.; Abraldes, J.A.; Manchado, C. Influence of Physical Aspects and Throwing Velocity in Opposition Situations in Top-Elite and Elite Female Handball Players. J. Hum. Kinet. 2018, 63, 23–32. [Google Scholar] [CrossRef]
- Visnapuu, M.; Jürimäe, T. Relations of anthropometric parameters with scores on basic and specific motor tasks in young handball players. Percept. Mot. Skills 2009, 108, 670–676. [Google Scholar] [CrossRef]
- Indermill, C.; Husak, W.S. Relationship between Speed and Accuracy in an over-Arm Throw. Percept. Mot. Skills 1984, 59, 219–222. [Google Scholar] [CrossRef]
- van den Tillaar, R.; Ettema, G. A Comparison between Novices and Experts of the Velocity-Accuracy Trade-Off in Overarm Throwing. Percept. Mot. Skills 2006, 103, 503–514. [Google Scholar] [CrossRef]
- Freeston, J.; Ferdinands, R.; Rooney, K. Throwing velocity and accuracy in elite and sub-elite cricket players: A descriptive study. Eur. J. Sport Sci. 2007, 7, 231–237. [Google Scholar] [CrossRef]
- Párraga, J.; Sánchez, A.; Oña, A. Ball speed and accuracy of the handball jump throw as parameters of performance. Apunt. Educ. Física Deport. 2001, 66, 44–51. [Google Scholar]
- García, J.A.; Sabido, R.; Barbado, D.; Moreno, F.J. Analysis of the relation between throwing speed and throwing accuracy in team handball according to instruction. Eur. J. Sport Sci. 2013, 13, 149–154. [Google Scholar] [CrossRef]
- Vila, H.; Manchado, C.; Rodríguez, N.; Abraldes, J.A.; Alcaraz, P.E.; Ferragut, C. Antrhopometric profile, vertical jump and throwing velocity in elite female handball players by playing positions. J. Strength Cond. Res. 2012, 26, 2146–2155. [Google Scholar] [CrossRef]
- Vila, H.; Zapardiel, J.C.; Ferragut, C. The relationship between effectiveness and throwing velocity in a handball match. Int. J. Perform. Anal. Sport. 2020, 20, 180–188. [Google Scholar] [CrossRef]
- Raeder, C.; Fernández-Fernández, J.; Ferrauti, A. Effects of six weeks of medicine ball training on throwing velocity, throwing precision, and isokinetic strength of shoulder rotators in female handball players. J. Strength Cond. Res. 2015, 29, 1904–1914. [Google Scholar] [CrossRef]
- Fasold, F.; Noël, B.; Nicklas, A.; Lukac, F.; Klatt, S. Effects of ball properties on throwing in young team-handball beginners. Int. J. Sports Sci. Coach. 2021, 17, 385–390. [Google Scholar] [CrossRef]
- Zapartidis, I.; Skoufas, D.; Vareltzis, I.; Christodoulidis, T.; Toganidis, T.; Kororos, P. Factors influencing ball throwing velocity in young female handball players. Open Sports Med. J. 2009, 3, 39–43. [Google Scholar] [CrossRef]
- Burton, A.; Greer, N.L.; Wiese-Bjornstal, D.M. Variations in Grasping and Throwing Patterns as a Function of Ball Size. Pediatr. Exerc. Sci. 1993, 5, 25–41. [Google Scholar] [CrossRef]
- International Handball Federation. Ball Regulations IHF; International Handball Federation: Basilea, Switzerland, 2020; pp. 1–17. [Google Scholar]
- Swann, C.; Moran, A.; Piggott, D. Defining elite athletes: Issues in the study of expert performance in sport psychology. Psychol. Sport Exerc. 2014, 16, 3–14. [Google Scholar] [CrossRef]
- Nuño, A.; Chirosa, I.J.; Tillaar, R.V.D.; Guisado, R.; Martín, I.; Martinez, I.; Chirosa, L.J. Effects of Fatigue on Throwing Performance in Experienced Team Handball Players. J. Hum. Kinet. 2016, 54, 103–113. [Google Scholar] [CrossRef]
- Maroto-Izquierdo, S.; McBride, J.M.; Gonzalez-Diez, N.; García-López, D.; González-Gallego, J.; de Paz, J.A. Comparison of flywheel and pneumatic training on hypertrophy, strength, and power in professional handball players. Res. Q. Exerc. Sport. 2020, 93, 1–15. [Google Scholar] [CrossRef]
- Bracamonte, J.A.; Rivilla, J.; Marquina, M.; Lorenzo-Calvo, J.; de la Rubia, A. Influence of the use of resin on the velocity and precision of handball throws. E-Balonmano.com -Rev. Ciencias del Deport 2021, 17, 1–12. [Google Scholar]
- Rios, L.J.C.; Cuevas-Aburto, J.; Martínez-García, D.; Ulloa-Diaz, D.; Ramírez, O.A.A.; Martin, I.M.; Ramos, A.G. Reliability of Throwing Velocity during Non-specific and Specific Handball Throwing Tests. Int. J. Sports Med. 2021, 42, 825–832. [Google Scholar] [CrossRef] [PubMed]
- van den Tillaar, R.; Ettema, G. A three-dimensional analysis of overarm throwing in experienced handball players. J. Appl. Biomech. 2007, 23, 12–19. [Google Scholar] [CrossRef] [PubMed]
- Serrien, B.; Clijsen, R.; Blondeel, J.; Goossens, M.; Baeyens, J.P. Differences in ball speed and three-dimensional kinematics between male and female handball players during a standing throw with run-up. BMC Sports Sci. Med. Rehabil. 2015, 7, 1–12. [Google Scholar] [CrossRef] [PubMed]
- van den Tillaar, R.; Cabri, J.M.H. Gender differences in the kinematics and ball velocity of overarm throwing in elite team handball players. J. Sports Sci. 2012, 30, 807–813. [Google Scholar] [CrossRef] [PubMed]
- Fieseler, G.; Hermassi, S.; Hoffmeyer, B.; Schulze, S.; Irlenbusch, L.; Bartels, T.; Delank, K.-S.; Laudner, K.G.; Schwesig, R. Differences in anthropometric characteristics in relation to throwing velocity and competitive level in professional male team handball: A tool for talent profiling. J. Sports Med. Phys. Fit. 2017, 57, 985–992. [Google Scholar] [CrossRef] [PubMed]
- Karisik, S.; Bozic, D.; Tijana, T. Influence of ball resine to shot accuracy in handball. Eur. J. Phys. Educ. Sport Sci. 2018, 4, 39–47. [Google Scholar]
- Soto, D.; García-Herrero, J.A.; Carcedo, R.J. Well-being and throwing speed of women handball players affected by feedback. Int. J. Environ. Res. Public Health 2020, 17, 1–13. [Google Scholar]




| Throws on Goal | G | Throwing Distance | TBNR | TBR | NB | F Int | p | ηp2 |
|---|---|---|---|---|---|---|---|---|
| X ± SD | X ± SD | X ± SD | ||||||
| Velocity Target | M | 9 m | 5.11 ± 1.21 | 6.03 ± 1.31 | 6.36 ± 1.14 | 3.30 | 0.049 | 0.162 |
| 7 m | 5.25 ± 1.39 | 6.50 ± 1.53 | 5.53 ± 1.39 | |||||
| F | 9 m | 6.32 ± 1.03 | 6.18 ± 1.21 | 6.50 ± 1.02 | 1.16 | 0.333 | 0.104 | |
| 7 m | 6.05 ± 0.96 | 6.23 ± 1.15 | 5.95 ± 1.08 | |||||
| Accuracy Target | M | 9 m | 5.17 ± 1.80 | 5.50 ± 1.26 | 6.25 ± 1.42 | 1.15 | 0.328 | 0.063 |
| 7 m | 5.14 ± 1.27 | 6.39 ± 1.58 | 6.42 ± 1.35 | |||||
| F | 9 m | 6.05 ± 1.19 | 6.14 ± 0.95 | 6.05 ± 1.19 | 0.44 | 0.650 | 0.042 | |
| 7 m | 5.18 ± 1.31 | 5.68 ± 0.87 | 5.45 ± 0.76 |
Disclaimer/Publisher’s Note: The statements, opinions and data contained in all publications are solely those of the individual author(s) and contributor(s) and not of MDPI and/or the editor(s). MDPI and/or the editor(s) disclaim responsibility for any injury to people or property resulting from any ideas, methods, instructions or products referred to in the content. |
© 2022 by the authors. Licensee MDPI, Basel, Switzerland. This article is an open access article distributed under the terms and conditions of the Creative Commons Attribution (CC BY) license (https://creativecommons.org/licenses/by/4.0/).
Share and Cite
de la Rubia, A.; Ugalde-Ramírez, A.; Gutiérrez-Vargas, R.; Pino-Ortega, J. Does the New Resin-Free Molten d60 Ball Have an Impact on the Velocity and Accuracy of Handball Throws? Appl. Sci. 2023, 13, 425. https://doi.org/10.3390/app13010425
de la Rubia A, Ugalde-Ramírez A, Gutiérrez-Vargas R, Pino-Ortega J. Does the New Resin-Free Molten d60 Ball Have an Impact on the Velocity and Accuracy of Handball Throws? Applied Sciences. 2023; 13(1):425. https://doi.org/10.3390/app13010425
Chicago/Turabian Stylede la Rubia, Alfonso, Alexis Ugalde-Ramírez, Randall Gutiérrez-Vargas, and José Pino-Ortega. 2023. "Does the New Resin-Free Molten d60 Ball Have an Impact on the Velocity and Accuracy of Handball Throws?" Applied Sciences 13, no. 1: 425. https://doi.org/10.3390/app13010425
APA Stylede la Rubia, A., Ugalde-Ramírez, A., Gutiérrez-Vargas, R., & Pino-Ortega, J. (2023). Does the New Resin-Free Molten d60 Ball Have an Impact on the Velocity and Accuracy of Handball Throws? Applied Sciences, 13(1), 425. https://doi.org/10.3390/app13010425

