A Novel Disturbance Rejection Control of Roll Channel for Small Air-to-Surface Missiles
Abstract
1. Introduction
- (1)
- In the article, the internal and external disturbances, such as aerodynamic parameter perturbation, structural mass characteristic deviation, inertial navigation drift and wind disturbance, are regarded as the uncertainties of the control system. We compare with the existing research, and focuse on the influence of the uncertainties on the roll channel control for small air-to-surface missiles.
- (2)
- The system uncertainty is estimated through the extended state observer, and the estimated value is fed back to the control law through nonlinear feedback. It is compensated to the attitude control of the roll channel, and the roll angle is controlled according to the control command of the roll channel. Consequently, the stable tracking control of missile roll attitude is realized.
- (3)
- The internal and external disturbances are comprehensively considered, and different parameters are set for comparative analysis. The algorithm is compared with other adrc algorithms and PID to verify the effectiveness of the algorithm.
2. Dynamic Model
3. Controller Design Base on Extended State Observer
3.1. Extended State Observer
3.2. Model Transformation of the Controlled Object
3.3. Controller Design
3.4. Stability Analysis
4. Numerical Simulation
4.1. Distence Characteristic Analysis
- (1)
- Steerage deviation: The steering effect is the control ability of the steering gear to the course in the missile guidance process. When the missile needs to change the direction at the same angle, the shorter the time required, the smaller the angle the steering gear turns, and the better the steering effect.
- (2)
- Centroid deviation: The center of mass deviation refers to the deviation between the actual center of mass and the theoretical center of mass of the missile, including the longitudinal deviation and the transverse deviation of the center of mass. Since the center of mass does not coincide with the center of reference moment, the coupling of aerodynamic force and attitude system will inevitably affect the attitude system.
- (3)
- Stuck steering gear: In addition to the uncertainty disturbance, the complex and harsh environment is very easy to cause the aging of the structure and some components; thus, causing the failure in the flight process. The common fault of the control surface is that the steering gear is stuck. When the control surface deflects to a certain angle and cannot continue to deflect, it is stuck. After the jamming fault occurs, the control surface will no longer change according to the signal given by the controller. At this time, the rudder can only give a constant signal.
- (4)
- Wind disturbance: Describe the original quantity of wind disturbance factors for wind speed, wind speed is a random quantity, the size and direction are highly, season, climate, location, and the influence of such factors as trimming wind is pointed out that it must be the height of the horizontal wind, usually arrived at a certain height, the wind speed with height increase abruptly, then suddenly decreases, and routine as “wind shear”. Because the time for the aircraft to pass through the shear wind area is generally very short, the effect of the shear wind is similar to the impulse moment.
- (5)
- Drifts error: Because other information of the body comes from navigation and sensor measured data, there will be drifts error and other deviations in the process of long-term storage or multiple experiments, which will also affect the control of rolling accuracy.
4.2. Simulation Conditions
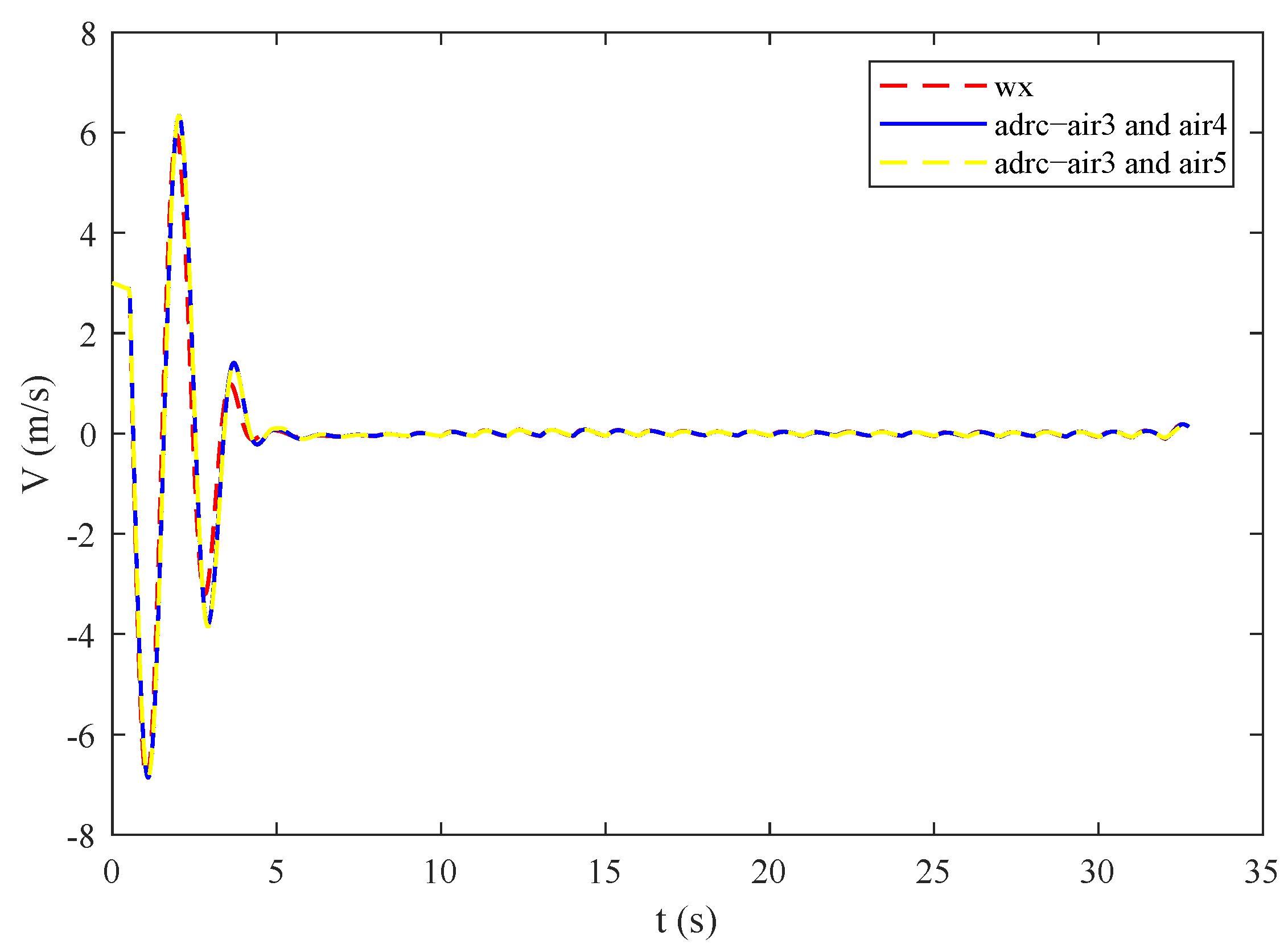
4.3. Effectiveness of the Control Method against Multiple Disturbances
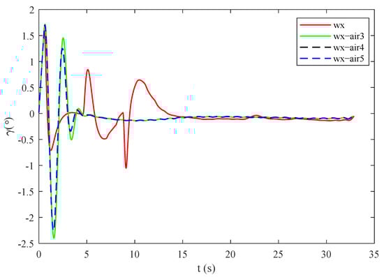
4.4. Comparison and Analysis
5. Conclusions
Author Contributions
Funding
Informed Consent Statement
Data Availability Statement
Conflicts of Interest
References
- Liu, S.; Xue, M.; Qiu, Y.; Zhou, X.; Zhao, Q. Design of the Missile Attitude Controller Based on the Active Disturbance Rejection Control. J. Aerosp. Technol. Manag. 2022, 14. [Google Scholar] [CrossRef]
- Song, Y.G.; Wang, H.J. Design of flight control system for a small unmanned tilt rotor aircraft. Chin. J. Aeronaut. 2009, 22, 250–256. [Google Scholar]
- Gao, Z.Q.; Huang, Y.; Han, J.Q. An alter-native paradigm for control system design. Proc. IEEE Conf. Control Decis. 2001, 5, 4578–4585. [Google Scholar]
- Han, J.Q. Active Disturbance Rejection Control Technology; National Defense Industry Press: Beijing, China, 2008. [Google Scholar]
- Gong, R.; Sun, R.; Chen, W. Series active disturbance rejection autopilot design for hyper rate projectiles. IEEE Access 2020, 8, 149447–149455. [Google Scholar] [CrossRef]
- Hu, Y.; Guo, J.; Ying, P.; Zeng, G.; Chen, N. Nonlinear control of a single tail tilt servomotor tri-rotor ducted VTOL-UAV. Aerospace 2022, 9, 296. [Google Scholar] [CrossRef]
- Le, R.; Wang, X.; Duan, D.; Wu, Y. Attitude control strategy of airship based on active disturbance rejection controller. Aerosp. Syst. 2021, 4, 7–18. [Google Scholar] [CrossRef]
- Han, J.; Wang, H.; Jiao, G.; Cui, L.; Wang, Y. Research on active disturbance rejection control technology of electromechanical actuators. Electronics 2018, 7, 174. [Google Scholar] [CrossRef]
- Hu, Y.; Guo, J.; Meng, W.; Liu, G.; Xue, W. Longitudinal control for balloon-borne launched solar powered UAVs in near-space. J. Syst. Sci. Complex. 2022, 35, 802–819. [Google Scholar] [CrossRef]
- Guo, B.Z.; Zhao, Z.L. On convergence of non-linear extended state observer for multi-input multi-output systems with uncertainty. IET Control Theory Appl. 2012, 43, 2375–2386. [Google Scholar] [CrossRef]
- Guo, B.Z.; Zhao, Z. On the convergence of an extended state observer for nonlinear systems with uncertainty. Syst. Control Lett. 2011, 60, 420–430. [Google Scholar] [CrossRef]
- Zheng, Q.; Gao, L.Q.; Gao, Z. On validation of extended state observer through analysis and experimentation. J. Dyn. Syst. Meas. Control 2012, 134, 24505. [Google Scholar] [CrossRef]
- Yoo, D.; Yau, S.S.T.; Gao, Z. Optimal fast tracking observer bandwidth of the linear extended state observer. Int. J. Control 2007, 80, 102–111. [Google Scholar] [CrossRef]
- Huang, Y.; Zhang, W.G. Development of active disturbance rejection controller. Control. Theory Appl. 2002, 4, 485–492. [Google Scholar]
- Lei, Z.M.; Lv, Z.D. Nonlinear (adrc) applications in spacecraft attitude control system. Aerosp. Control 2000, 4, 34–39. [Google Scholar]
- Tan, S.; Guo, J.; Zhao, Y.; Zhang, J. Adaptive control with saturation-constrainted observations for drag-free satellites—A set-valued identification approach. Sci. China Inf. Sci. 2021, 64, 202202. [Google Scholar] [CrossRef]
- Yang, F.; Tang, S.-P.; Xue, W.-C.; Guo, J.; Zhao, Y.-L. Extended state filtering with saturation-con-strainted observations and active disturbance rejection control of position and attitude for drag-free satellites. Acta Autom. Sin. 2020, 46, 2337–2349. [Google Scholar]
- Tong, L.; Zhang, S.F.; Yang, H.B.; Zhang, Y.H. Design and verification of small solid rocket control system based on extended state observer. J. Solid Rocket. Technol. 2014, 37, 749–755. [Google Scholar]
- Zhou, L.N.; Tang, G.J.; Li, H.Y. Design of active disturbance rejection controller for spacecraft attitude maneuver. Syst. Eng. Electron. 2007, 12, 2122–2126. [Google Scholar]
- Zhang, Y.H.; Yang, H.B.; Jiang, Z.Y.; Zhang, W.H. Robust flight control method based on general extended state observer. J. Natl. Univ. Def. Technol. 2016, 38, 94–99. [Google Scholar]
- Talole, S.E.; Godbole, A.A.; Kolhe, J.P.; Phadke, S.B. Robust roll autopilot design for tactical missiles. J. Guid. Control Dyn. 2011, 34, 107–117. [Google Scholar] [CrossRef]
- Liu, X.; Cao, Y.; Zhang, Y.; Min, Y.; Jia, Z. Robust stabilization control for attitude angular speeds of strong-soupling sircraft based on a class of ESO. In Proceedings of the 2018 IEEE CSAA Guidance, Navigation and Control Conference (CGNCC), Xiamen, China, 10–12 August 2018; pp. 1–6. [Google Scholar]
- Jin, Y.Q.; Liu, X.D.; Hou, C.Z. Sliding mode control for attitude tracking of flexible spacecraft with parameter uncertainty. Control Theory Appl. 2009, 26, 299–304. [Google Scholar]
- Hu, Q.L.; Ma, G.F.; Jiang, Y.; Liu, Y.Q. Time-varying sliding mode variable structure and active vibration control for attitude maneuver of three-axis stable flexible satellite. Control Theory Appl. 2009, 26, 122–126. [Google Scholar]
- Zhu, C.Y.; Yang, D.; Zhai, K. Active disturbance rejection attitude control for gyro-free large flexible multi-body satellite. Comput. Simul. 2005, 1, 43–47. [Google Scholar]
- Zhang, G.Q.; Ding, J.Z. Adaptive control method for fast maneuver of flexible spacecraft attitude. Space Control Technol. Appl. 2008, 4, 23–27+50. [Google Scholar]
- Gennaro, S.D. Adaptive robust tracking for flexible spacecraft in presence of disturbances. J. Optim. Theory Appl. 1998, 98, 545–568. [Google Scholar] [CrossRef]
- Wang, Z.; Li, J.; Duan, D. Manipulation strategy of tilt quad rotor based on active disturbance rejection contro. Proc. Inst. Mech. Eng. Part J. Aerosp. Eng. 2020, 234, 573–584. [Google Scholar] [CrossRef]
- Qian, X.F.; Ling, R.X.; Zhao, Y.N. Missile Flight Mechanics; Beijing University of Technology Press: Beijing, China, 2000. [Google Scholar]
- Wang, M.G. Design of Guidance and Control System for Air-to-Surface Missile; China Aerospace Press: Beijing, China, 2019. [Google Scholar]
- Hang, J.Q. Extended state observer for a class of uncertain plants. Control Decis. 1995, 10, 85–88. [Google Scholar]
- Song, J.L.; Gan, Z.X.; Hang, J.Q. Study on filtering characteristics of adrc technology. Control Decis. 2003, 18, 110–112. [Google Scholar]
- Hang, J.Q.; Zhang, R. Error analysis of second-order extended state observer. J. Syst. Sci. Math. Sci. 1999, 40, 465–471. [Google Scholar]
- Wang, Y.H.; Yao, Y.; Ma, K.M. Error analysis of second-order extended state observer. J. Jilin Univ. (Eng. Technol. Ed.) 2010, 40, 143–147. [Google Scholar]
















Disclaimer/Publisher’s Note: The statements, opinions and data contained in all publications are solely those of the individual author(s) and contributor(s) and not of MDPI and/or the editor(s). MDPI and/or the editor(s) disclaim responsibility for any injury to people or property resulting from any ideas, methods, instructions or products referred to in the content. |
© 2022 by the authors. Licensee MDPI, Basel, Switzerland. This article is an open access article distributed under the terms and conditions of the Creative Commons Attribution (CC BY) license (https://creativecommons.org/licenses/by/4.0/).
Share and Cite
Ding, X.; Hu, Y.; Jia, R.; Guo, J. A Novel Disturbance Rejection Control of Roll Channel for Small Air-to-Surface Missiles. Appl. Sci. 2023, 13, 389. https://doi.org/10.3390/app13010389
Ding X, Hu Y, Jia R, Guo J. A Novel Disturbance Rejection Control of Roll Channel for Small Air-to-Surface Missiles. Applied Sciences. 2023; 13(1):389. https://doi.org/10.3390/app13010389
Chicago/Turabian StyleDing, Xiaomiao, Yanpeng Hu, Ruilong Jia, and Jin Guo. 2023. "A Novel Disturbance Rejection Control of Roll Channel for Small Air-to-Surface Missiles" Applied Sciences 13, no. 1: 389. https://doi.org/10.3390/app13010389
APA StyleDing, X., Hu, Y., Jia, R., & Guo, J. (2023). A Novel Disturbance Rejection Control of Roll Channel for Small Air-to-Surface Missiles. Applied Sciences, 13(1), 389. https://doi.org/10.3390/app13010389
