A Study on Improving the Machining Performance of Scrolls
Abstract
1. Introduction
2. Adaptive Feed Rate Planning
3. Chatter Suppression
4. Optimization of Milling Parameters
5. Experimental Results and Discussion
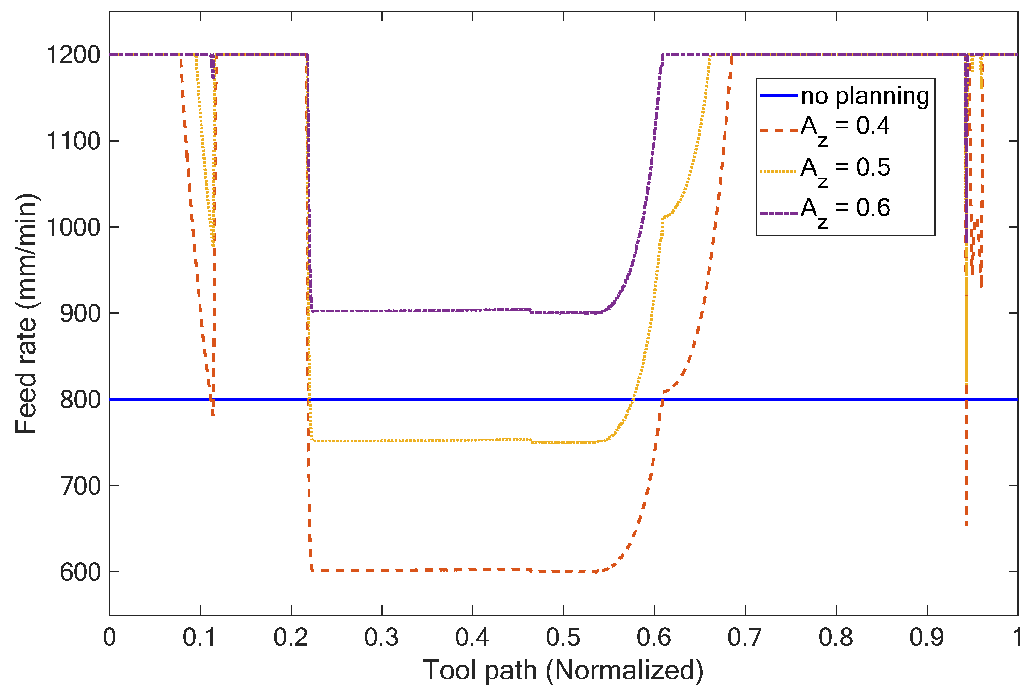
5.1. Tests of Adaptive Feed Rate Planning
5.2. Experiments on Chatter Suppression
5.3. Experiments on the Optimization of Milling Parameters
5.3.1. Optimum Combination of Milling Parameters for Profile Errors
5.3.2. ANOVA and Verification of the Profile Errors
5.3.3. Optimum Combination of Milling Parameters for Surface Roughness
5.3.4. ANOVA and Verification of the Surface Roughness
6. Conclusions
- The method of adaptive feed rate planning could increase the material removal rate by about 14.4% and shorten the cutting time by about 12.6% with the following major machining parameters: spindle speed of 6000 rpm, cutting area per cutter tooth of 0.5 mm2, maximum feed rate limit of 1000 mm/min, and maximum bending moment of 26.62 Nm;
- The proposed methods for chatter suppression were feasible with a transition time of 80 ms, and the transition length on the workpiece surface was about 1.05 mm;
- For profile errors, the optimum combination of milling parameters obtained with a 90% confidence level was a spindle speed of 10,000 rpm, feed rate of 500 mm/min, and B-spline tool path;
- For surface roughness, the optimum combination of milling parameters obtained with a 90% confidence level was a spindle speed of 15,000 rpm, feed rate of 500 mm/min, and B-spline tool path;
- The program developed in this study can also successfully perform with and connect to the controllers made by FANUC and DELTA.
Supplementary Materials
Author Contributions
Funding
Institutional Review Board Statement
Informed Consent Statement
Data Availability Statement
Acknowledgments
Conflicts of Interest
References
- Creux, L. Rotary Engine. U.S. Patent No. 801182, 3 October 1905. [Google Scholar]
- Blunier, B.; Cirrincione, G.; Herve, Y.; Miraoui, A. A new analytical and dynamical model of a scroll compressor with experimental validation. Int. J. Refrig. 2009, 32, 874–891. [Google Scholar] [CrossRef]
- Liu, Y.G.; Hung, C.H.; Chang, Y.C. Design optimization of scroll compressor applied for frictional losses evaluation. Int. J. Refrig. 2010, 33, 615–624. [Google Scholar] [CrossRef]
- Murthy, A.A.; Subiantoro, A.; Norris, S.; Fukuta, M. A review on expanders and their performance in vapour compression refrigeration systems. Int. J. Refrig. 2019, 106, 427–446. [Google Scholar] [CrossRef]
- Altintas, Y.; Erkorkmaz, K. Feedrate optimization for spline interpolation in high speed machine tools. CIRP Ann. 2003, 52, 297–302. [Google Scholar] [CrossRef]
- Dong, J.; Ferreira, P.M.; Stori, J.A. Feed-rate optimization with jerk constraints for generating minimum-time trajectories. Int. J. Mach. Tools Manuf. 2007, 47, 1941–1955. [Google Scholar] [CrossRef]
- Saï, L.; Saï, W.B.; Zghal, A. Chip thickness analysis for different tool motions for adaptive feed rate. J. Mater. Process. Technol. 2008, 204, 213–220. [Google Scholar] [CrossRef]
- Calleja, A.; Bo, P.; Gonzalez, H.; Barton, M.; Lopez de Lacalle, L.N. Highly accurate 5-axis flank CNC machining with conical tools. Int. J. Adv. Manuf. Technol. 2018, 97, 1605–1615. [Google Scholar] [CrossRef]
- Tunc, L.T. Smart tool path generation for 5-axis ball-end milling of sculptured surfaces using process models. Robot. Comput. Integr. Manuf. 2019, 56, 212–221. [Google Scholar] [CrossRef]
- Hashemian, A.; Bo, P.; Barton, M. Reparameterization of ruled surfaces: Toward generating smooth jerk-minimized toolpaths for multi-axis flank CNC milling. Comput.-Aided Des. 2020, 127, 102868. [Google Scholar] [CrossRef]
- Li, Z.; Yan, Q.; Tang, K. Multi-pass adaptive tool path generation for flank milling of thin-walled workpieces based on the deflection constraints. J. Manuf. Process. 2021, 68, 690–705. [Google Scholar] [CrossRef]
- Smith, S.; Tlusty, J. An overview of modeling and simulation of the milling process. ASME J. Eng. Ind. 2008, 113, 169–175. [Google Scholar] [CrossRef]
- Quintana, G.; Ciurana, J. Chatter in machining processes: A review. Int. J. Mach. Tools Manuf. 2011, 51, 363–376. [Google Scholar] [CrossRef]
- Wang, W.K.; Wan, M.; Zhang, W.H.; Yang, Y. Chatter detection methods in the machining processes: A review. J. Manuf. Process. 2022, 77, 240–259. [Google Scholar] [CrossRef]
- Delio, T.; Tlusty, J.; Smith, S. Use of audio signals for chatter detection and control. ASME J. Eng. Ind. 1992, 114, 146–157. [Google Scholar] [CrossRef]
- Quintana, G.; Ciurana, J.; Ferrer, I.; Rodríguez, C.A. Sound mapping for identification of stability lobe diagrams in milling processes. Int. J. Mach. Tools Manuf. 2009, 49, 203–211. [Google Scholar] [CrossRef]
- Tehranizadeh, F.; Berenji, K.R.; Budak, E. Dynamics and chatter stability of crest-cut end mills. Int. J. Mach. Tools Manuf. 2021, 171, 103813. [Google Scholar] [CrossRef]
- Wang, D.; Penter, L.; Hänel, A.; Ihlenfeldt, S.; Wiercigroch, M. Stability enhancement and chatter suppression in continuous radial immersion milling. Int. J. Mech. Sci. 2022, 235, 107711. [Google Scholar] [CrossRef]
- Ghani, J.A.; Choudhury, I.A.; Hassan, H.H. Application of Taguchi method in the optimization of end milling parameters. J. Mater. Process. Technol. 2004, 145, 84–92. [Google Scholar] [CrossRef]
- Kato, K.; Takeuchi, Y.; Maeda, Y.; Yamanaka, T.; Onozuka, H. High precision and high efficiency machining of the scroll compressor pieces: Improvement of machining accuracy in constant cutting point control. Trans. Jpn. Soc. Mech. Eng. Ser. 2005, 71 Pt C, 304–310. (In Japanese) [Google Scholar]
- Yang, J.; Arai1, Y.; Gao, W. Rapid measurement of involute profiles for scroll compressors. Meas. Sci. Rev. 2009, 9, 67–70. [Google Scholar] [CrossRef][Green Version]
- Coşkun, S.; Motorcu, A.R.; Yamankaradeniz, N.; Pulat, E. Evaluation of control parameters’ effects on system performance with Taguchi method in waste heat recovery application using mechanical heat pump. Int. J. Refrig. 2012, 35, 795–809. [Google Scholar] [CrossRef]
- Zhang, Q.; Feng, J.; Zhang, Q.; Peng, X. Performance prediction and evaluation of the scroll-type hydrogen pump for FCVs based on CFD-Taguchi method. Int. J. Hydrog. Energy 2019, 44, 15333–15343. [Google Scholar] [CrossRef]
- Martellotti, M.E. An analysis of the milling process part 2: Down milling. ASME Trans. 1945, 63, 677–700. [Google Scholar] [CrossRef]
- Li, H.Z.; Liu, K.; Li, X.P. A new method for determining the undeformed chip thickness in milling. J. Mater. Process. Technol. 2001, 113, 378–384. [Google Scholar] [CrossRef]
- Altintas, Y. Manufacturing Automation: Metal Cutting Mechanics, Machine Tool Vibrations, and CNC Design; Cambridge University Press: Cambridge, UK, 2000. [Google Scholar]
- Tlusty, J. High-speed machining. Ann. CIRP 1993, 42, 733–738. [Google Scholar] [CrossRef]
- Munoa, J.; Iglesias, A.; Olarra, A.; Dombovari, Z.; Zatarain, M.; Stepan, G. Design of self-tunable mass damper for modular fixturing systems. CIRP Ann.-Manuf. Technol. 2016, 65, 389–392. [Google Scholar] [CrossRef]
- Taguchi, G.; Chowdhury, S.; Wu, Y. Taguchi’s Quality Engineering Handbook; John Wiley & Sons, Inc.: Hoboken, NJ, USA, 2005. [Google Scholar]
- Lee, H.H. Taguchi Methods: Principles and Practices of Quality Design; Gau Lih Book Co.: Taipei City, Taiwan, 2020. (In Chinese) [Google Scholar]






















| Tooth Diameter (mm) | Tooth Length (mm) | Cutter Length (mm) | Handle Diameter (mm) |
|---|---|---|---|
| 12 | 50 | 100 | 12 |
| Tooth | Tool appearance | ![]() | |
| 2 | |||
| Signal Reception | Wireless 2.45 GHz | |
| Sampling Rate | 1800 Hz | |
| Measuring Range | Tension | ±37.2 kN |
| Bending Moment | ±462.6 Nm | |
| Torque | ±584.0 Nm | |
| Cutting Area per Cutter Tooth Az (mm2) | Feed Rate Limit (mm/min) | Maximum Bending Moment (Nm) | Machining Time (s) | Material Removal Rate (mm3/s) |
|---|---|---|---|---|
| Without adaptive feed rate planning | 700 | 26.04 | 55.82 | 160.41 |
| 800 | 26.84 | 48.83 | 183.35 | |
| 900 | 28.11 | 43.17 | 207.38 | |
| 1000 | 29.80 | 39.48 | 226.78 | |
| 1100 | 31.27 | 35.54 | 251.91 | |
| 1200 | 33.12 | 32.97 | 271.53 | |
| 0.4 | 700 | 23.74 | 62.16 | 144.03 |
| 800 | 24.38 | 53.13 | 168.50 | |
| 900 | 25.88 | 50.37 | 177.75 | |
| 1000 | 27.14 | 46.79 | 191.34 | |
| 1100 | 28.58 | 45.04 | 198.77 | |
| 1200 | 31.91 | 43.33 | 206.61 | |
| 0.5 | 700 | 22.72 | 55.92 | 160.11 |
| 800 | 24.46 | 49.86 | 179.55 | |
| 900 | 25.34 | 46.12 | 194.12 | |
| 1000 | 26.62 | 42.69 | 209.74 | |
| 1100 | 28.89 | 41.05 | 218.12 | |
| 1200 | 29.96 | 38.40 | 233.15 | |
| 0.6 | 700 | 26.06 | 56.90 | 157.35 |
| 800 | 28.24 | 50.02 | 178.98 | |
| 900 | 30.09 | 44.44 | 201.47 | |
| 1000 | 33.02 | 41.51 | 215.71 | |
| 1100 | 34.74 | 38.68 | 231.49 | |
| 1200 | 35.78 | 36.49 | 245.36 |
| Tooth Diameter ϕDc (mm) | Tooth Length L (mm) | Tool Length L (mm) | Handle Diameter ϕDs (mm) | Cutter Tooth |
|---|---|---|---|---|
| 6 | 25 | 65 | 8 | 4 |
| Tool Appearance | ![]() | |||
| Machining Parameters | Spindle Speed S (rpm) | Cutting Depth (mm) | Cutting Width (mm) | Chatter Frequency (Hz) |
| 5000 | 6 | 0.2 | 2293 | |
| Spindle Speed S (rpm) | Multiple Factor K | Maximum Amplitude | Chatter |
|---|---|---|---|
| 5000 | 6.879 | 81.83 | Yes |
| 4299 | 8 | 29.92 | No |
| 4914 | 7 | 40.49 | No |
| 5733 | 6 | 38.13 | No |
| 6879 | 5 | 24.14 | No |
| 4046 | 8.5 | 61.54 | Yes |
| 4586 | 7.5 | 32.92 | Yes |
| 5292 | 6.5 | 82.72 | Yes |
| 6254 | 5.5 | 65.05 | Yes |
| Tooth Diameter (mm) | Tooth Length (mm) | Cutter Length (mm) | Handle Diameter (mm) | Tooth |
|---|---|---|---|---|
| 8 | 20 | 60 | 8 | 3 |
| Tool Appearance | ![]() | |||
| Milling Parameters | Symbol | Level | ||
|---|---|---|---|---|
| 1 | 2 | 3 | ||
| Spindle speed (rpm) | A | 10,000 | 15,000 | 20,000 |
| Feed rate (mm/min) | B | 500 | 1000 | 1500 |
| Tool path | C | Linear (G01) | B-spline | Four-axis concurrency |
| Experiment Number | Factors and Levels | ||
|---|---|---|---|
| Spindle Speed (rpm), A | Feed Rate (mm/min), B | Tool Path, C | |
| 1 (A1B1C1) | 10,000 | 500 | Linear (G01) |
| 2 (A1B2C2) | 10,000 | 1000 | B-spline |
| 3 (A1B3C3) | 10,000 | 1500 | Four-axis concurrency |
| 4 (A2B1C2) | 15,000 | 500 | B-spline |
| 5 (A2B2C3) | 15,000 | 1000 | Four-axis concurrency |
| 6 (A2B3C1) | 15,000 | 1500 | Linear (G01) |
| 7 (A3B1C3) | 20,000 | 500 | Four-axis concurrency |
| 8 (A3B2C1) | 20,000 | 1000 | Linear (G01) |
| 9 (A3B3C2) | 20,000 | 1500 | B-spline |
| Experiment Number | Measured Values of Profile Errors yi (μm) | Mean (μm) | S/N Ratio ηj (dB) | |||||||
|---|---|---|---|---|---|---|---|---|---|---|
| 1 (A1B1C1) | 3.1 | 2.8 | 2.6 | 1.5 | 3.5 | 3.6 | 8.4 | 7.7 | 4.15 | 46.44 |
| 2 (A1B2C2) | 1.7 | 4.6 | 3.3 | 5.7 | 3.7 | 4.8 | 16.4 | 13.6 | 6.73 | 41.56 |
| 3 (A1B3C3) | 2.3 | 3.3 | 7.9 | 3.6 | 3.2 | 3.0 | 11.6 | 57.7 | 11.29 | 33.51 |
| 4 (A2B1C2) | 1.2 | 2.2 | 3.5 | 0.5 | 0.8 | 2.9 | 10.3 | 2.7 | 3.01 | 47.53 |
| 5 (A2B2C3) | 1.0 | 3.3 | 2.1 | 7.9 | 1.6 | 3.8 | 11.9 | 59.1 | 11.34 | 33.31 |
| 6 (A2B3C1) | 12.0 | 2.8 | 7.1 | 2.4 | 4.9 | 9.5 | 31.5 | 33.1 | 12.91 | 35.21 |
| 7 (A3B1C3) | 3.6 | 0.6 | 4.6 | 5.6 | 5.9 | 1.7 | 11.7 | 50.9 | 10.58 | 34.51 |
| 8 (A3B2C1) | 2.0 | 0.3 | 1.1 | 2.0 | 2.5 | 3.4 | 17.5 | 10.7 | 4.94 | 42.52 |
| 9 (A3B3C2) | 0.8 | 7.5 | 1.0 | 4.9 | 3.4 | 6.9 | 37.0 | 24.7 | 10.78 | 35.77 |
| Factor | A (Spindle Speed) | B (Feed Rate) | C (Tool Path) | |
|---|---|---|---|---|
| Level | ||||
| 1 | 40.51 | 42.83 | 41.39 | |
| 2 | 38.69 | 39.13 | 41.62 | |
| 3 | 37.60 | 34.83 | 33.78 | |
| Δmax−min | 2.91 | 8.00 | 7.84 | |
| Rank | 3 | 1 | 2 |
| Factor | A (Spindle Speed) | B (Feed Rate) | C (Tool Path) | |
|---|---|---|---|---|
| Level | ||||
| 1 | 0.007388 | 0.005913 | 0.007333 | |
| 2 | 0.009088 | 0.007667 | 0.006837 | |
| 3 | 0.008763 | 0.011658 | 0.011067 | |
| Δmax−min | 0.001700 | 0.005746 | 0.004229 | |
| Rank | 3 | 1 | 2 |
| Factor | Degree of Freedom (DF) | Sum of Squares (SS) | Mean Square (MS) | F-Ratio (FX) | Contribution (PX) |
|---|---|---|---|---|---|
| A (spindle speed) | 2 | 12.94 | 6.47 | 0.67 | -- |
| B (feed rate) | 2 | 96.16 | 48.08 | 4.95 | 30.5% |
| C (tool path) | 2 | 119.51 | 59.76 | 6.15 | 39.7% |
| Error | 2 | 25.92 | 12.96 | ||
| Total | 8 | 254.53 | |||
| Pooled error | 4 | 38.86 | 9.72 |
| Experiment Number | Measured y Value (μm) | Mean (μm) | S/N Ratio η (dB) | |||||||
|---|---|---|---|---|---|---|---|---|---|---|
| 1 | 2.4 | 3.6 | 6.1 | 8.2 | 2.8 | 2.4 | 12.1 | 9.1 | 5.84 | 43.40 |
| 2 | 3.3 | 2.8 | 7.9 | 7.6 | 1.1 | 2.7 | 6.9 | 9.7 | 5.25 | 44.42 |
| 3 | 3.2 | 4.2 | 1.5 | 5.5 | 5.9 | 3.4 | 10.3 | 4.7 | 4.84 | 45.32 |
| Average | 5.31 | 44.38 | ||||||||
| Experiment Number | Measured Ra Value (μm) | Mean (μm) | S/N Ratio η (dB) | ||||
|---|---|---|---|---|---|---|---|
| 1 (A1B1C1) | 0.22 | 0.2 | 0.18 | 0.18 | 0.22 | 0.200 | 13.95 |
| 2 (A1B2C2) | 0.24 | 0.26 | 0.26 | 0.26 | 0.25 | 0.254 | 11.90 |
| 3 (A1B3C3) | 0.22 | 0.2 | 0.22 | 0.22 | 0.2 | 0.212 | 13.46 |
| 4 (A2B1C2) | 0.16 | 0.14 | 0.18 | 0.16 | 0.14 | 0.156 | 16.10 |
| 5 (A2B2C3) | 0.24 | 0.22 | 0.24 | 0.24 | 0.24 | 0.236 | 12.54 |
| 6 (A2B3C1) | 0.14 | 0.16 | 0.16 | 0.2 | 0.16 | 0.164 | 15.64 |
| 7 (A3B1C3) | 0.18 | 0.18 | 0.2 | 0.2 | 0.2 | 0.192 | 14.32 |
| 8 (A3B2C1) | 0.3 | 0.3 | 0.28 | 0.3 | 0.28 | 0.292 | 10.69 |
| 9 (A3B3C2) | 0.24 | 0.24 | 0.24 | 0.24 | 0.24 | 0.240 | 12.40 |
| Factor | A (Spindle Speed) | B (Feed Rate) | C (Tool Path) | |
|---|---|---|---|---|
| Level | ||||
| 1 | 13.10 | 14.79 | 13.42 | |
| 2 | 14.76 | 11.71 | 13.46 | |
| 3 | 12.47 | 13.83 | 13.44 | |
| Δmax−min | 2.29 | 3.08 | 0.04 | |
| Rank | 2 | 1 | 3 |
| Factor | A (Spindle Speed) | B (Feed Rate) | C (Tool Path) | |
|---|---|---|---|---|
| Level | ||||
| 1 | 0.2220 | 0.1827 | 0.2187 | |
| 2 | 0.1853 | 0.2607 | 0.2167 | |
| 3 | 0.2413 | 0.2053 | 0.2133 | |
| Δmax−min | 0.0560 | 0.0780 | 0.0053 | |
| Rank | 2 | 1 | 3 |
| Factor | Degree of Freedom (DF) | Sum of Squares (SS) | Mean Square (MS) | F-Ratio (FX) | Contribution (PX) |
|---|---|---|---|---|---|
| A (spindle speed) | 2 | 8.3888 | 4.1944 | 11.2481 | 30.8% |
| B (feed rate) | 2 | 14.9217 | 7.4609 | 20.0078 | 57.2% |
| C (tool path) | 2 | 0.0024 | 0.0012 | 0.0032 | -- |
| Error | 2 | 1.4892 | 0.7446 | ||
| Total | 8 | 24.8021 | |||
| Pooled error | 4 | 1.4916 | 0.3729 |
| Experiment Number | Measured Ra Value (μm) | Mean (μm) | S/N Ratio η (dB) | ||||
|---|---|---|---|---|---|---|---|
| 1 | 0.14 | 0.16 | 0.18 | 0.18 | 0.12 | 0.156 | 16.04 |
| 2 | 0.22 | 0.18 | 0.18 | 0.14 | 0.14 | 0.172 | 15.16 |
| 3 | 0.16 | 0.2 | 0.18 | 0.16 | 0.18 | 0.176 | 15.06 |
| Average | 0.168 | 15.42 | |||||
Disclaimer/Publisher’s Note: The statements, opinions and data contained in all publications are solely those of the individual author(s) and contributor(s) and not of MDPI and/or the editor(s). MDPI and/or the editor(s) disclaim responsibility for any injury to people or property resulting from any ideas, methods, instructions or products referred to in the content. |
© 2022 by the authors. Licensee MDPI, Basel, Switzerland. This article is an open access article distributed under the terms and conditions of the Creative Commons Attribution (CC BY) license (https://creativecommons.org/licenses/by/4.0/).
Share and Cite
Lin, Y.-T.; Jhang, J.-L.; Schabacker, M.; Tsay, D.-M.; Hwang, G.-S.; Lin, B.-J. A Study on Improving the Machining Performance of Scrolls. Appl. Sci. 2023, 13, 286. https://doi.org/10.3390/app13010286
Lin Y-T, Jhang J-L, Schabacker M, Tsay D-M, Hwang G-S, Lin B-J. A Study on Improving the Machining Performance of Scrolls. Applied Sciences. 2023; 13(1):286. https://doi.org/10.3390/app13010286
Chicago/Turabian StyleLin, Yi-Tsung, Jia-Lun Jhang, Michael Schabacker, Der-Min Tsay, Guan-Shong Hwang, and Bor-Jeng Lin. 2023. "A Study on Improving the Machining Performance of Scrolls" Applied Sciences 13, no. 1: 286. https://doi.org/10.3390/app13010286
APA StyleLin, Y.-T., Jhang, J.-L., Schabacker, M., Tsay, D.-M., Hwang, G.-S., & Lin, B.-J. (2023). A Study on Improving the Machining Performance of Scrolls. Applied Sciences, 13(1), 286. https://doi.org/10.3390/app13010286



