Analysis of Microtremor Exploration Application and Construction Monitoring in a Large-Diameter Shield Tunnel
Abstract
:1. Introduction
2. Geological Prospecting and Field Monitoring
2.1. Project Overview
2.2. Geological and Hydrogeological Conditions
2.3. Arrangement of the Geological Microtremor Exploration and Field Monitoring Points
3. Results and Discussion
3.1. Measured Analysis of Advance Microtremor Exploration
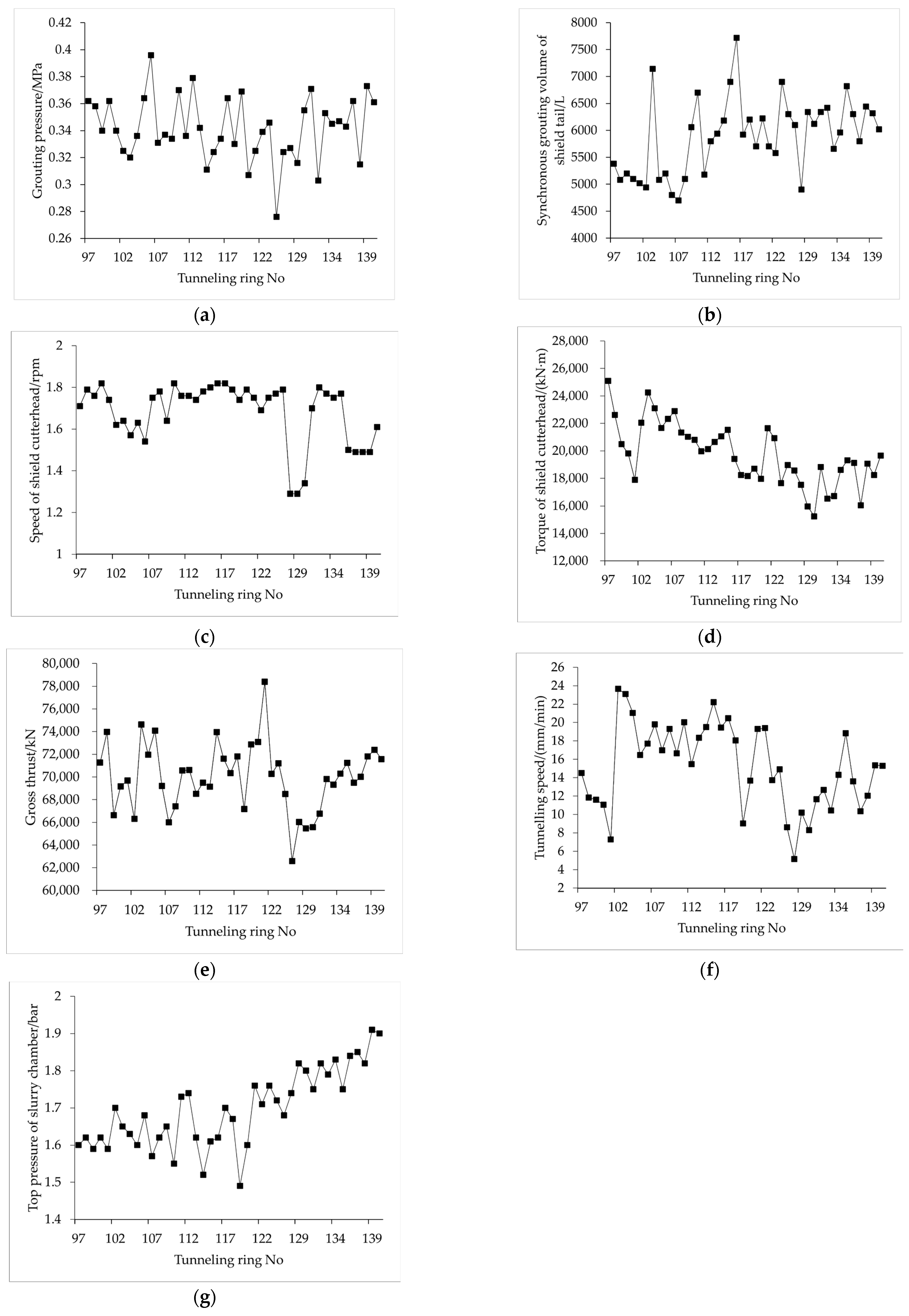
3.2. Shield Tunneling Parameters
3.3. Surface Settlement Analysis
3.4. Earth Pressure Outside the Tunnel Segment Analysis
4. Conclusions
- The geological results obtained from microtremor exploration can make up for the shortcomings of traditional borehole geological exploration. The geological distribution obtained by microtremor exploration is consistent with the results of four borehole samples, which can clarify the effectiveness and reliability of this detection method. This method can predict the possible local geological mutation in the ground in front of the tunnel and adjust the construction parameters in advance to ensure the safety of shield construction;
- Through the dynamic adjustment of grouting parameters, the surface deformation is shown as overall settlement, and the curve law conforms to the settlement distribution of the Peck formula. The vertical displacement of soil mass mainly goes through five stages: small deformation far from the section, extrusion uplift close to the section, reciprocating uplift deformation through the section, settlement after the shield tail is pulled out, and consolidation settlement deformation law far away from the section. The surface subsidence on the eccentric load’s side is more obvious. The volume of ground settlement in the shield tail stripping stage has increased significantly, and the grouting behind the wall should be given more attention in actual projects;
- When the earth pressure monitoring section is outside the shield tail brush of the shield machine, there is no apparent pressure change. When the shield machine is advanced, the earth pressure outside the segment increases dramatically when it enters the shield tail brush range. The maximum pressure outside the tunnel segment appears on the lower side of the monitoring section, at approximately 0.41 MPa. When it comes out of the shield tail brush, it increases with the increase of grouting pressure and tends to be stable in the following days.
Author Contributions
Funding
Institutional Review Board Statement
Informed Consent Statement
Data Availability Statement
Acknowledgments
Conflicts of Interest
References
- Siegmund, B. Tunnelling machines in soft ground: A comparison of slurry and EPB shield systems. Tunn. Undergr. Space Technol. 1991, 6, 169–174. [Google Scholar] [CrossRef]
- Qian, W.F.; Lu, Y.; Huang, M.; Zhan, J.W. Study on the evaluation of adaptability of shield machine type selection in coastal complex stratum. IOP Conf. Ser. Earth Environ. Sci. 2021, 861, 072105. [Google Scholar] [CrossRef]
- Cheng, H.Z.; Chen, J.; Chen, G.L. Analysis of ground surface settlement induced by a large EPB shield tunnelling: A case study in Beijing, China. Environ. Earth. Sci. 2019, 78, 605. [Google Scholar] [CrossRef]
- Li, X.Y.; Zhang, D.L.; Hou, Y.J. Analysis of Shield Tunnel Ground Deformation Characteristics and Affecting Factors in Water-Rich Soft Stratum: A Case Study on the Section Tunnel of Tianjin Metro Line 6. App. Sci. 2022, 12, 6208. [Google Scholar] [CrossRef]
- Liu, B.; Zhang, F.; Li, S.; Li, Y.; Xu, S.; Nie, L.; Zhang, Q. Forward modelling and imaging of ground-penetrating radar in tunnel ahead geological prospecting. Geophys. Prospect. 2018, 66, 784–797. [Google Scholar] [CrossRef]
- Li, S.C.; Liu, B.; Sun, H.F.; Nie, L.C.; Zhong, S.H.; Su, M.X. State of art and trends of advanced geological prediction in tunnel construction. J. Rock Mech. Eng. 2014, 33, 1090–1113. [Google Scholar] [CrossRef]
- Xu, P.F.; Ling, S.Q.; Li, C.J.; Du, J.G.; Zhang, D.M.; Xu, X.Q.; Dai, K.M.; Zhang, Z.H. Mapping deeply-buried geothermal faults using microtremor array analysis. Geophys. J. Internat. 2012, 188, 115–122. [Google Scholar] [CrossRef]
- Molnar, S.; Cassidy, J.F.; Castellaro, S.; Cornou, C.; Crow, H.; Hunter, J.A.; Yong, A. Application of microtremor horizontal-to-vertical spectral ratio (MHVSR) analysis for site characterization: State of the art. Surv. Geophys. 2018, 39, 613–631. [Google Scholar] [CrossRef]
- Benjumea, B.; Macau, A.; Gabas, A.; Bellmuntm, F.; Figueras, S.; Cires, J. Integrated geophysical profiles and H/V microtremor measurements for subsoil characterization. Near. Surf. Geophys. 2018, 9, 413–425. [Google Scholar] [CrossRef]
- Kolesnikov, Y.I.; Fedin, K.V. Detecting underground cavities using microtremor data: Physical modelling and field experiment. Geophys. Prospect. 2018, 66, 342–353. [Google Scholar] [CrossRef]
- Karakus, M.; Fowell, R.J. Effects of different tunnel face advance excavation on the settlement by FEM. Tunn. Undergr. Space Technol. 2003, 18, 513–523. [Google Scholar] [CrossRef]
- Shi, J.K.; Wang, F.; Zhang, D.M.; Huang, H.W. Refined 3D modelling of spatial-temporal distribution of excess pore water pressure induced by large diameter slurry shield tunneling. Comput. Geotech. 2021, 137, 104312. [Google Scholar] [CrossRef]
- Alshboul, O.; Shehadeh, A.; Tatari, O.; Almasabha, G.; Saleh, E. Multiobjective and multivariable optimization for earthmoving equipment. J. Facil. Manag. 2022. ahead-of-print. [Google Scholar] [CrossRef]
- Alshboul, O.; Shehadeh, A.; Hamedat, O. Development of integrated asset management model for highway facilities based on risk evaluation. Intern. J. Constr. Manag. 2021, 1–10. [Google Scholar] [CrossRef]
- Zou, H.; Chen, J. Analysis of Influence of Shield Tunneling in Soft Soil on Upper Railway Subgrade: A Case Study of Site Monitoring of a Section on Hangzhou Metro Line No. 2. Tunn. Constr. 2018, 38, 199–206. [Google Scholar] [CrossRef]
- Standing, J.R.; Selemetas, D. Greenfield ground response to EPBM tunnelling in London Clay. Géotechnique 2013, 63, 989–1007. [Google Scholar] [CrossRef]
- Clayton, C.R.I.; Berg, V.D.; Thomas, J.P. Monitoring and displacements at heathrow express terminal 4 station tunnels. Géotechnique 2006, 56, 323–334. [Google Scholar] [CrossRef]
- Wan, M.S.P.; Standing, J.R.; Potts, D.M.; Burland, J.B. Measured short-term subsurface ground displacements from EPBM tunnelling in London Clay. Géotechnique 2017, 67, 748–779. [Google Scholar] [CrossRef]
- Addenbrooke, T.I.; Potts, D.M. Twin tunnel interaction: Surface and subsurface effects. Intern. J. Geo. 2001, 1, 249–271. [Google Scholar] [CrossRef]
- Fang, Q.A.; Tai, Q.M.; Zhang, D.L.; Louis, N.Y.W. Ground surface settlements due to construction of closely-spaced twin tunnels with different geometric arrangements. Tunn. Undergr. Space Technol. 2016, 51, 144–151. [Google Scholar] [CrossRef]
- Xie, X.; Yang, Y.; Ji, M. Analysis of ground surface settlement induced by the construction of a large-diameter shield-driven tunnel in Shanghai, China. Tunn. Undergr. Space Technol. 2016, 51, 120–132. [Google Scholar] [CrossRef]
- Gan, X.L.; Yu, J.L.; Gong, X.N.; Zhu, M. Characteristics and countermeasures of tunnel heave due to large-diameter shield tunneling underneath. J. Perform. Constr. Fac. 2020, 34, 04019081. [Google Scholar] [CrossRef]
- Zhao, T.C.; Ding, W.Q.; Qiao, Y.F.; Duan, C. A large-scale synchronous grouting test for a quasi-rectangular shield tunnel: Observation, analysis and interpretation. Tunn. Undergr. Space Technol. 2019, 91, 103018. [Google Scholar] [CrossRef]
- Yang, H.X.; Cao, J.; Liang, B.; Ding, Z.D.; Zhao, H.M. Study on synchronized grouting pressure to segments of shallow EPB shield tunnel. Adv. Mater. Res. 2013, 859, 298–303. [Google Scholar] [CrossRef]
- Gan, X.L.; Yu, J.L.; Gong, X.N.; Hou, Y.M.; Liu, N.W.; Zhu, M. Response of operating metro tunnels to compensation grouting of an underlying large-diameter shield tunnel: A case study in Hangzhou. Undergr. Space 2022, 7, 219–232. [Google Scholar] [CrossRef]
- Xu, Q.W.; Zhu, H.H.; Ding, W.Q.; Ge, X.R. Laboratory model tests and field investigations of EPB shield machine tunnelling in soft ground in Shanghai. Tunn. Undergr. Space Technol. 2011, 26, 1–14. [Google Scholar] [CrossRef]











| Geotechnical Category | Natural Unit Weight/ kN/m3 | Cohesion/ (kN/m2) | Coefficient of Earth Pressure at Rest | Horizontal Permeability Coefficient/ (cm/s) | Vertical Permeability Coefficient/ (cm/s) | Friction angle/(°) | Compression Modulus/ MPa | Rock Compressive Strength/ MPa |
|---|---|---|---|---|---|---|---|---|
| ①-1 gravel fill | 19.3 | 2.0 | 0.48 | 6.00 × 10−2 | 5.50 × 10−2 | 15.0 | 4.0 | - |
| ①-2 plain fill | 18.5 | 4.0 | 0.50 | 6.00 × 10−5 | 5.00 × 10−5 | 24.0 | 3.0 | - |
| (20)-a2 strongly weathered argillaceous siltstone | 20.3 | 24.0 | 0.35 | 3.00 × 10−4 | 2.50 × 10−4 | 26.0 | 18.0 | - |
| (20)-a3 moderately weathered argillaceous siltstone | 25.0 | 230.0 | 0.32 | 5.00 × 10−6 | 4.50 × 10−6 | 35.0 | Incompressibility | 5.6 |
| (20)-c2 strongly weathered tuffaceous gravelly sandstone | 20.5 | 24.0 | 0.35 | 4.00 × 10−4 | 3.50 × 10−4 | 26.0 | 19.0 | - |
| (20)-c3 moderately weathered tuffaceous gravelly sandstone | 25.5 | 300.0 | 0.29 | 8.00 × 10−6 | 7.50 × 10−6 | 38.0 | Incompressibility | 7.9 |
Disclaimer/Publisher’s Note: The statements, opinions and data contained in all publications are solely those of the individual author(s) and contributor(s) and not of MDPI and/or the editor(s). MDPI and/or the editor(s) disclaim responsibility for any injury to people or property resulting from any ideas, methods, instructions or products referred to in the content. |
© 2022 by the authors. Licensee MDPI, Basel, Switzerland. This article is an open access article distributed under the terms and conditions of the Creative Commons Attribution (CC BY) license (https://creativecommons.org/licenses/by/4.0/).
Share and Cite
Wang, Z.; Sheng, J.; Wang, R.; Li, X.; Xiao, Y.; Yi, Z. Analysis of Microtremor Exploration Application and Construction Monitoring in a Large-Diameter Shield Tunnel. Appl. Sci. 2023, 13, 263. https://doi.org/10.3390/app13010263
Wang Z, Sheng J, Wang R, Li X, Xiao Y, Yi Z. Analysis of Microtremor Exploration Application and Construction Monitoring in a Large-Diameter Shield Tunnel. Applied Sciences. 2023; 13(1):263. https://doi.org/10.3390/app13010263
Chicago/Turabian StyleWang, Zhe, Jianchao Sheng, Rui Wang, Xibin Li, Yuanjie Xiao, and Zihao Yi. 2023. "Analysis of Microtremor Exploration Application and Construction Monitoring in a Large-Diameter Shield Tunnel" Applied Sciences 13, no. 1: 263. https://doi.org/10.3390/app13010263
APA StyleWang, Z., Sheng, J., Wang, R., Li, X., Xiao, Y., & Yi, Z. (2023). Analysis of Microtremor Exploration Application and Construction Monitoring in a Large-Diameter Shield Tunnel. Applied Sciences, 13(1), 263. https://doi.org/10.3390/app13010263

