Prediction of Ground Surface Settlements Induced by EPB Shield Tunneling in Water-Rich Soft Strata
Abstract
:1. Introduction
2. Project Overview
2.1. Description of the Tunnel Project
2.2. Geological and Geotechnical Conditions
3. Prediction of Long-Term Settlement
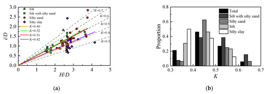
3.1. Empirical Method
3.2. Statistics of Volume Loss
3.3. Statistics of Trough Width Parameter
4. Prediction of Short-Term Ground Deformation
4.1. Interaction between EPB Shield Machine and Soil
4.2. Deformation Induced by Ground Loss
4.3. Deformation Induced by Shield Working Loads
5. Case Study in Changzhou
5.1. Description of the Tunnel Project
5.2. Prediction of the Ground Surface Deformations
5.3. Comparison between Predicted and Monitored Results
6. Discussion
7. Limitations and Future Works
8. Conclusions
- (a)
- Based on the statistical results of the water-rich soft soil in Changzhou, the ground loss Vl is located in the 0.1–0.75% range, and the trough width parameter K is in the 0.3–0.7 range;
- (b)
- The proposed analytical model considering both the ground loss and shield working loads shows a great agreement with the monitoring results within the range of the 40 m ahead of, to 20 m behind, the excavation face;
- (c)
- The ground loss and shell friction play an important role in the short-term ground deformations, and the effect of the cutter head torque is not worth paying attention to and can even be ignored. The effect of the support pressure is also not obvious, but it lies in a good control strategy for it;
- (d)
- The proposed method in this paper provided a satisfactory estimate of the long-term and short-term ground movement. A wider database is suggested to be expanded as new case studies become available.
Author Contributions
Funding
Institutional Review Board Statement
Informed Consent Statement
Data Availability Statement
Acknowledgments
Conflicts of Interest
References
- Li, X.; Yang, Y.; Li, X.; Liu, H. Criteria for Cutting Head Clogging Occurrence during Slurry Shield Tunneling. Appl. Sci. 2022, 12, 1001. [Google Scholar] [CrossRef]
- Yang, Y.; Li, X.; Li, X. Shear strength and compression coefficient for conditioned sand subjected to earth chamber stress levels. Adv. Mater. Sci. Eng. 2018, 2018, 1–11. [Google Scholar] [CrossRef] [Green Version]
- Yang, Y.; Li, X.-G.; Su, W.-L. Experimental Investigation on Rheological Behaviors of Bentonite-and CMC-Conditioned Sands. KSCE J. Civ. Eng. 2020, 24, 1914–1923. [Google Scholar] [CrossRef]
- Jin, D.; Yuan, D.; Li, X.; Zheng, H. Analysis of the settlement of an existing tunnel induced by shield tunneling underneath. Tunn. Undergr. Space Technol. 2018, 81, 209–220. [Google Scholar] [CrossRef]
- Peck, R.B. Deep excavations and tunnelling in soft ground, Proceedings of 7th International Conference on oil Mechanics and Foundation Engineering State of the Art Report. Proc. 7th ICSMFE 1969, 1969, 225–290. [Google Scholar]
- Bloodworth, A.G. Three-Dimensional Analysis of Tunnelling Effects on Structures to Develop Design Methods; University of Oxford: Oxford, UK, 2002. [Google Scholar]
- Avgerinos, V.; Potts, D.M.; Standing, J.R.; Wan, M. Predicting tunnelling-induced ground movements and interpreting field measurements using numerical analysis: Crossrail case study at Hyde Park. Géotechnique 2018, 68, 31–49. [Google Scholar] [CrossRef] [Green Version]
- Mair, R.J.; Taylor, R.N.; Bracegirdle, A. Subsurface settlement profiles above tunnels in clays. Geotechnique 1993, 43, 315–320. [Google Scholar] [CrossRef]
- Loganathan, N.; Poulos, H.G. Analytical prediction for tunneling-induced ground movements in clays. J. Geotech. Geoenvironmental Eng. 1998, 124, 846–856. [Google Scholar] [CrossRef]
- Chapman, D.N.; Ahn, S.K.; Hunt, D.V. Investigating ground movements caused by the construction of multiple tunnels in soft ground using laboratory model tests. Can. Geotech. J. 2007, 44, 631–643. [Google Scholar] [CrossRef]
- Moussaei, N.; Khosravi, M.H.; Hossaini, M.F. Physical modeling of tunnel induced displacement in sandy grounds. Tunn. Undergr. Space Technol. 2019, 90, 19–27. [Google Scholar] [CrossRef]
- Do, N.A.; Dias, D.; Oreste, P.; Djeran-Maigre, I. Three-dimensional numerical simulation of a mechanized twin tunnels in soft ground. Tunn. Undergr. Space Technol. 2014, 42, 40–51. [Google Scholar] [CrossRef]
- Fu, J.; Yang, J.; Klapperich, H.; Wang, S. Analytical prediction of ground movements due to a nonuniform deforming tunnel. Int. J. Geomech. 2016, 16, 04015089. [Google Scholar] [CrossRef]
- Hasanipanah, M.; Noorian-Bidgoli, M.; Jahed Armaghani, D.; Khamesi, H. Feasibility of PSO-ANN model for predicting surface settlement caused by tunneling. Eng. Comput. 2016, 32, 705–715. [Google Scholar] [CrossRef]
- Ministry of Water Resources of the People’s Republic of China (MWRC). Specification of Soil Test (SL237–1999); China Water Power Press: Beijing, China, 1999. (In Chinese)
- BSI British Standards. Methods of Test for Soils for Civil Engineering Purposes (BS 1377); British Standards Institution: Milton Keynes, UK, 1990.
- O’Reilly, M.P.; New, B.M. Settlements above tunnels in the United Kingdom—their magnitude and prediction. In Proceedings of the 3rd International Symposium; Jones, M.J., Ed.; IMM: London, UK, 1982; pp. 173–181. [Google Scholar]
- McCabe, B.; Orr, T.; Reilly, C.; Curran, B. Settlement trough parameters for tunnels in Irish glacial tills. Tunn. Undergr. Space Technol. 2012, 27, 1–12. [Google Scholar] [CrossRef]
- Leca, E.; New, B. Settlements induced by tunneling in soft ground. Tunn. Undergr. Space Technol. 2007, 22, 119–149. [Google Scholar]
- Jin, D.; Shen, X.; Yuan, D. Theoretical analysis of three-dimensional ground displacements induced by shield tunneling. Appl. Math. Model. 2020, 79, 85–105. [Google Scholar]
- Kassir, M.K.; Sih, G.C. Mechanics of Fracture 2: Three-Dimensional Crack Problems: A New Selection of Crack Solutions in Three-Dimensional Elasticity; Noordhoff International Publishing: Leyden, The Netherlands, 1975. [Google Scholar]
- Mindlin, R.D. Force at a Point in the Interior of a Semi-Infinite Solid. Physics 1936, 7, 195–202. [Google Scholar] [CrossRef]
- Yang, Y.; Li, X.; Jin, D.; Su, W.; Mao, J. Transient temperature field model for a cutterhead during slurry shield tunneling. Tunn. Undergr. Space Technol. 2021, 117, 104128. [Google Scholar] [CrossRef]
















| H (m) | R (m) | Vl (%) | S (m) | v | E (MPa) | Δp (kPa) | f (kPa) | T (kN·m) |
|---|---|---|---|---|---|---|---|---|
| 22 | 3.17 | 0.88 | 9 | 0.35 | 11 | 40 | 40 | 2570 |
Publisher’s Note: MDPI stays neutral with regard to jurisdictional claims in published maps and institutional affiliations. |
© 2022 by the authors. Licensee MDPI, Basel, Switzerland. This article is an open access article distributed under the terms and conditions of the Creative Commons Attribution (CC BY) license (https://creativecommons.org/licenses/by/4.0/).
Share and Cite
Yang, Y.; Li, X.; Jin, D.; Jiang, X.; Li, H. Prediction of Ground Surface Settlements Induced by EPB Shield Tunneling in Water-Rich Soft Strata. Appl. Sci. 2022, 12, 4665. https://doi.org/10.3390/app12094665
Yang Y, Li X, Jin D, Jiang X, Li H. Prediction of Ground Surface Settlements Induced by EPB Shield Tunneling in Water-Rich Soft Strata. Applied Sciences. 2022; 12(9):4665. https://doi.org/10.3390/app12094665
Chicago/Turabian StyleYang, Yi, Xinggao Li, Dalong Jin, Xingqi Jiang, and Hanyuan Li. 2022. "Prediction of Ground Surface Settlements Induced by EPB Shield Tunneling in Water-Rich Soft Strata" Applied Sciences 12, no. 9: 4665. https://doi.org/10.3390/app12094665
APA StyleYang, Y., Li, X., Jin, D., Jiang, X., & Li, H. (2022). Prediction of Ground Surface Settlements Induced by EPB Shield Tunneling in Water-Rich Soft Strata. Applied Sciences, 12(9), 4665. https://doi.org/10.3390/app12094665

