An Analysis of Bubble Migration in Horizontal Thermo-Capillarity Using the VOF Modeling
Abstract
:1. Introduction
2. Governing Equations
3. Problem Definition and Numerical Method
4. Results and Discussion
4.1. Numerical Verification
4.2. Bubble Sizes from R = 0.01 m to 0.05 m
4.2.1. Effect of Temperature Gradients
4.2.2. Effect of Bubble sizes
4.2.3. Bubble Shape Deformation and Rising Velocity
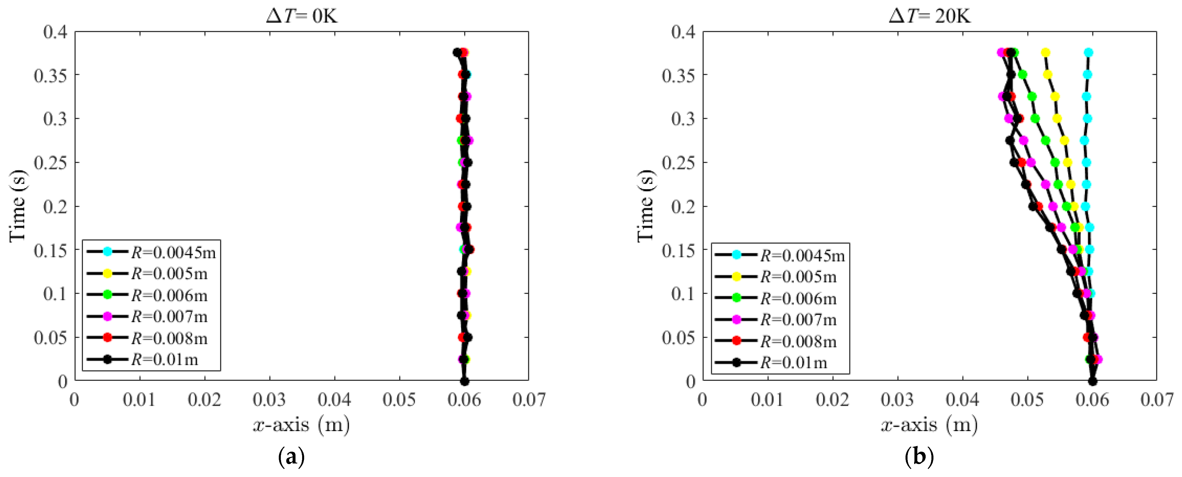
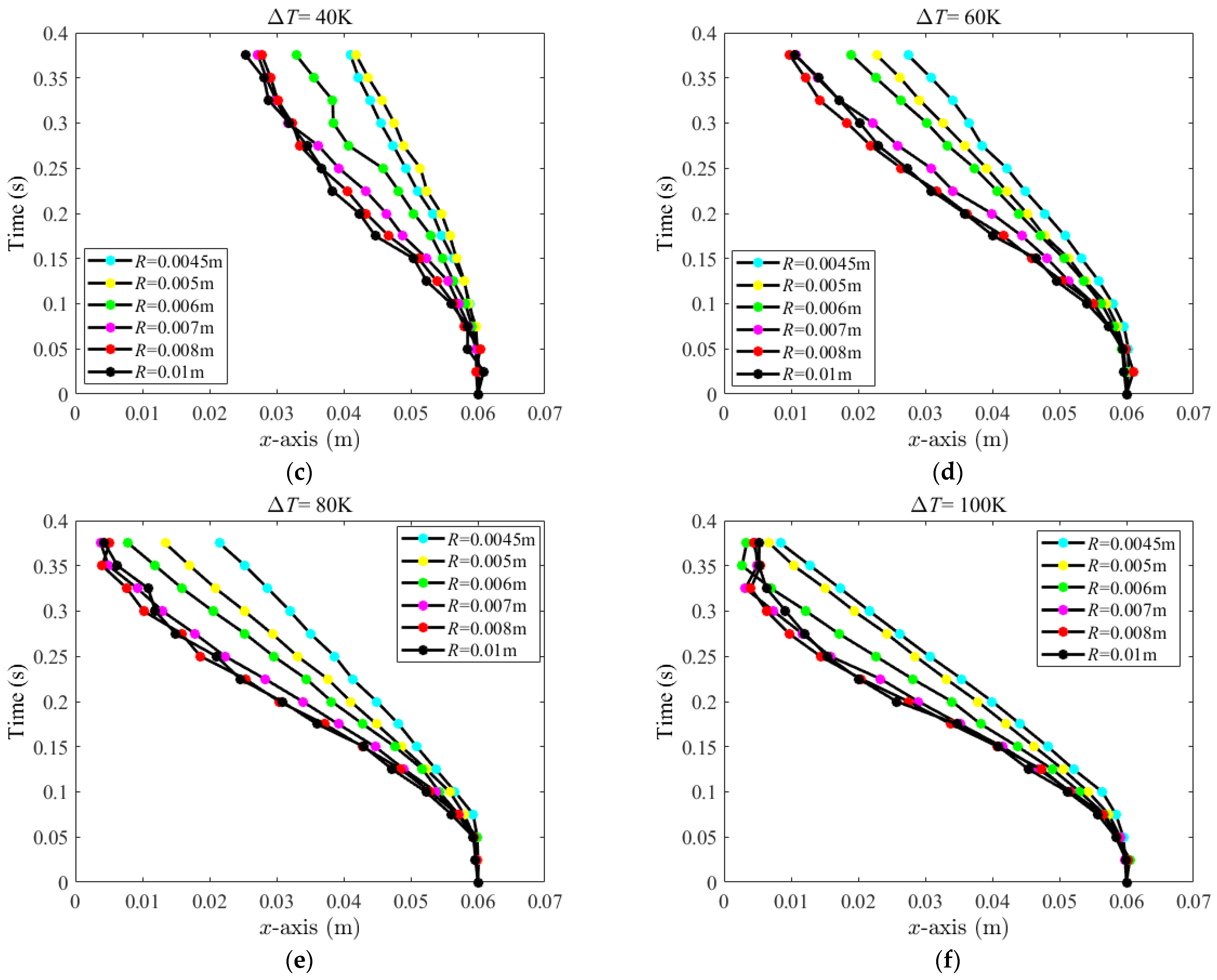
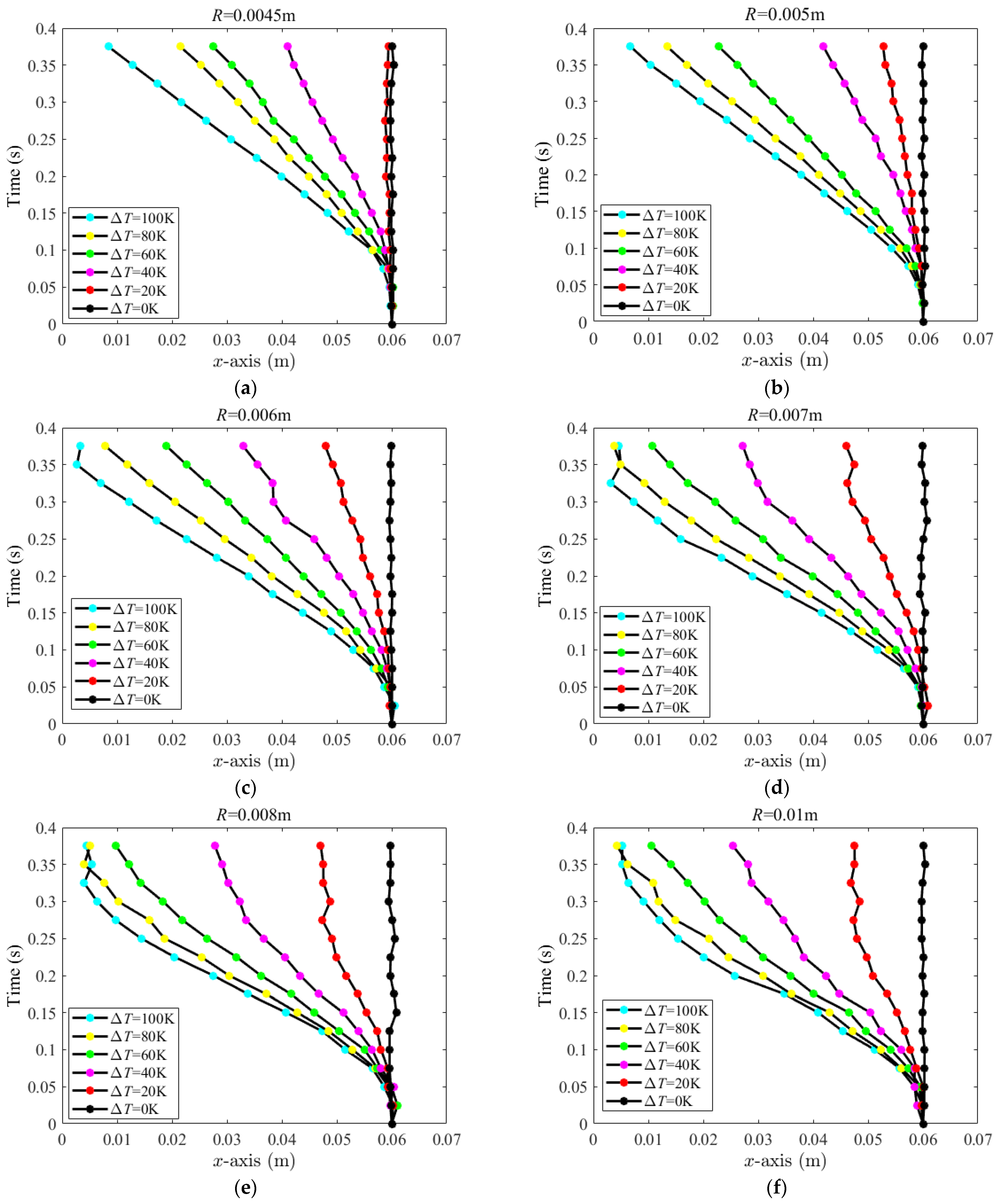
4.3. Bubble Sizes from R = 0.0045–0.01 m
4.3.1. Effect of Temperature Gradients
4.3.2. Effect of Bubble Sizes
4.4. Force Analysis
5. Conclusions
- The simulation based on the volume-of-fluid method and temperature-dependent surface tension has been carried out. The results have been compared with theoretical and experimental studies, which demonstrates qualitative agreement. The corresponding dynamics have been qualitatively captured.
- The bubble shape deforms with the sizes larger than the capillary length, and the bubble shapes remain spherical with the sizes smaller than the capillary length.
- For the first group of bubble sizes from R = 0.01 m to 0.05 m, the bubble with radius R = 0.05 m remains near the center of the domain even under the temperature gradient ΔT = 100 K. The bubble with size R = 0.01 m can reach the left wall in a shorter time.
- For the second group of bubble sizes from R = 0.0045 m to 0.01 m, the larger size bubble can arrive at the left wall faster compared with the smaller size bubble.
- Coefficient of thermo-capillary force (CTh) is defined. It is found that as the bubble radius increases, the Weber number increases since a larger bubble size induces a higher drag force and the surface tension effect is not significant. Also, the thermo-capillary coefficient increases due to a large thermo-capillary force.
Author Contributions
Funding
Institutional Review Board Statement
Informed Consent Statement
Data Availability Statement
Conflicts of Interest
Abbreviations
| specific heat | |
| external force | |
| gravitational acceleration | |
| latent heat of evaporation | |
| Jakob number | |
| thermal conductivity | |
| pressure | |
| Peclet number | |
| Prandtl number | |
| , | radii of curvature |
| Reynolds number | |
| heat source | |
| capillary length | |
| temperature | |
| time | |
| velocity | |
| thermal-capillary coefficient | |
| drag coefficient | |
| Weber number | |
| Greek symbols | |
| volume fraction | |
| pressure drop | |
| interface curvature | |
| dynamic viscosity | |
| density | |
| surface tension | |
| Subscripts | |
| liquid phase | |
| interface | |
| vapor phase | |
| saturated condition | |
| unsaturated condition | |
References
- Young, N.O.; Goldstein, J.S.; Block, M.J. The motion of bubbles in a vertical temperature gradient. J. Fluid Mech. 1950, 6, 350. [Google Scholar] [CrossRef]
- Balasubramaniam, R.; Chai, A.T. Thermo-capillary migration of droplets: An exact solution for small Marangoni numbers. J. Colloid Interface Sci. 1987, 119, 2. [Google Scholar] [CrossRef]
- Balasubramaniam, R.; Lacy, C.E.; Wozniak, G. Thermo-capillary migration of bubbles and drops at moderate values of the Marangoni number in reduced gravity. Phys. Fluids 1996, 8, 872–880. [Google Scholar] [CrossRef]
- Subramanian, R.S.; Balasubramaniam, R. The Motion of Bubbles and Drops in Reduced Gravity; 0521496055; Cambridge University Press: Cambridge, UK, 2001; p. 471. [Google Scholar]
- Nas, S.; Tryggvason, G. Thermalcapillary interaction of two bubbles or drops. Int. J. Multiph. Flow 2003, 29, 1117–1135. [Google Scholar] [CrossRef]
- Zhang, B.; Liu, D.; Cheng, Y.; Xu, J.; Sui, Y. Numerical investigation on spontaneous droplet/bubble migration under thermal radiation. Int. J. Therm. Sci. 2018, 129, 115–123. [Google Scholar] [CrossRef]
- Oliver, D.L.R.; Dewitt, K.J. Surface tension driven flows for a droplet in a microgravity environment. Int. J. Heat Mass Transf. 1988, 31, 1534–1537. [Google Scholar] [CrossRef]
- Ma, Y.; Cheng, Y.; Shen, Y.; Xu, J.; Sui, Y. Manipulation of bubble migration through thermal capillary effect under variable buoyancy. Int. J. Therm. Sci. 2020, 149, 106199. [Google Scholar] [CrossRef]
- Haj-Hariri, H.; Shi, Q.; Borhan, A. Thermocapillary motion of deformable drops at finite Reynolds and Marangoni numbers. Phys. Fluids 1997, 9, 845–855. [Google Scholar] [CrossRef]
- Chang, L.; Yin, Z.; Hu, W. Transient behavior of the thermocapillary migration of drops under the influence of deformation. arXiv 2011, arXiv:1107.0519. [Google Scholar]
- Hadland, P.H.; Balasubramaniam, R.; Wozniak, G. Thermocapillary migration of bubbles and drops at moderate to large Marangoni number and moderate Reynolds number in reduced gravity. Exp. Fluid 1999, 26, 240–248. [Google Scholar] [CrossRef]
- Baek, S.; Jeong, S.; Seo, J.; Lee, S.; Park, S.; Choi, J.; Jeong, H.; Sung, Y. Effects of Tube Radius and Surface Tension on Capillary Rise Dynamics of Water/Butanol Mixtures. Appl. Sci. 2021, 11, 3533. [Google Scholar] [CrossRef]
- Jones, P.R.; Hao, X.; Cruz-Chu, E.R.; Rykaczewski, K.; Nandy, K.; Schutzius, T.M.; Varanasi, K.K.; Megaridis, C.M.; Walther, J.H.; Koumoutsakos, P.; et al. Sustaining dry surfaces under water. Nat. Sci. Rep. 2015, 57, 12311. [Google Scholar] [CrossRef] [PubMed] [Green Version]
- Guo, Z.; Shi, B.; Wang, N.; Lattice, B.G.K. Model for Incompressible Navier Stokes Equation. J. Comput. Phys. 2000, 165, 153. [Google Scholar]
- Gong, S.; Cheng, P. Numerical simulation of pool boiling heat transfer on smooth surfaces with mixed wettability by lattice Boltzmann method. Int. J. Heat Mass Transf. 2015, 80, 206–216. [Google Scholar] [CrossRef]
- Lorstad, D.; Francois, M.; Shy, W.; Fuchs, L. Assessment of Volume of Fluid and immersed boundary methods for droplet calculations. Int. J. Numer. Methods Fluids 2004, 46, 109–125. [Google Scholar] [CrossRef]
- Osher, S.; Sethian, J.A. Fronts propagating with curvature-dependent speed: Algorithms based on Hamilton Jacobi formulations. J. Comp. Phys. 1988, 79, 201. [Google Scholar] [CrossRef] [Green Version]
- Lorstad, D.; Fuchs, L. High-order surface tension VOF-model for 3D bubble flows with high-density ratio. J. Comput. Phys. 2004, 200, 153–176. [Google Scholar] [CrossRef]
- Zhang, K.; Li, Y.; Chen, Q.; Lin, P. Numerical Study on the Rising Motion of Bubbles near the Wall. Appl. Sci. 2021, 11, 10918. [Google Scholar] [CrossRef]
- Nichols, C.W.; Hirt, B.D. Volume of fluid method for the dynamics of free boundaries. J. Comp. Phys. 1981, 39, 201–225. [Google Scholar]
- Brackbill, J.U.; Kothe, D.B.; Zemach, C. A continuum method to model surface tension. J. Comp. Phys. 1992, 100, 335–354. [Google Scholar] [CrossRef]
- Hsu, H.-Y.; Lin, M.-C.; Popovic, B.; Lin, C.-R.; Patankar, N.A. A numerical investigation of the effect of surface wettability on the boiling curve. PLoS ONE 2017, 12, 11. [Google Scholar] [CrossRef] [PubMed] [Green Version]
- Lin, C.-W.; Lin, Y.-C.; Hung, T.-C.; Lin, M.-C.; Hsu, H.-Y. A numerical investigation of the superbiphilic surface on the boiling curve using the volume of fluid method. Int. J. Heat Mass Transf. 2021, 171, 121058. [Google Scholar] [CrossRef]
- Park, S.H.; Park, C.H.; Lee, J.Y.; Le, B. A Simple Parameterization for the Rising Velocity of Bubbles in a Liquid Pool. Nucl. Eng. Technol. 2017, 49, 692–699. [Google Scholar] [CrossRef]
- Coelho, R.; Moura, C.; Gama, M.; Araújo, N. Wetting boundary conditions for multicomponentpseudopotential lattice Boltzmann. Int. J. Numer. Methods Fluids 2021, 93, 2570–2580. [Google Scholar] [CrossRef]















| Item | Content |
|---|---|
| Multiphase model | VOF explicit |
| The surface tension force model | Continuum Surface Force |
| Viscous model | Laminar |
| Pressure-velocity coupling | PISO |
| Momentum and energy | 2nd order upwind |
| Volume fraction | Geo-Reconstruct |
| Maximum iteration | 100 |
| Parameter | Liquid | Vapor |
|---|---|---|
| Density () | ||
| Viscosity () | ||
| Thermal conductivity () | 1.0 | |
| Specific heat () | ||
| Latent heat () | ||
| Surface tension () | (−0.001 × Temperature + 0.473) × 15 | |
Publisher’s Note: MDPI stays neutral with regard to jurisdictional claims in published maps and institutional affiliations. |
© 2022 by the authors. Licensee MDPI, Basel, Switzerland. This article is an open access article distributed under the terms and conditions of the Creative Commons Attribution (CC BY) license (https://creativecommons.org/licenses/by/4.0/).
Share and Cite
Kumar, R.; Lin, Y.-C.; Lin, C.-W.; Lin, M.-C.; Hsu, H.-Y. An Analysis of Bubble Migration in Horizontal Thermo-Capillarity Using the VOF Modeling. Appl. Sci. 2022, 12, 4355. https://doi.org/10.3390/app12094355
Kumar R, Lin Y-C, Lin C-W, Lin M-C, Hsu H-Y. An Analysis of Bubble Migration in Horizontal Thermo-Capillarity Using the VOF Modeling. Applied Sciences. 2022; 12(9):4355. https://doi.org/10.3390/app12094355
Chicago/Turabian StyleKumar, Ranjith, Yu-Chen Lin, Chia-Wei Lin, Ming-Chieh Lin, and Hua-Yi Hsu. 2022. "An Analysis of Bubble Migration in Horizontal Thermo-Capillarity Using the VOF Modeling" Applied Sciences 12, no. 9: 4355. https://doi.org/10.3390/app12094355
APA StyleKumar, R., Lin, Y.-C., Lin, C.-W., Lin, M.-C., & Hsu, H.-Y. (2022). An Analysis of Bubble Migration in Horizontal Thermo-Capillarity Using the VOF Modeling. Applied Sciences, 12(9), 4355. https://doi.org/10.3390/app12094355

