Next Article in Journal
Detection of Sleep Apnea from Electrocardiogram and Pulse Oximetry Signals Using Random Forest
Previous Article in Journal
Investigations into the Recognisability of Gear Damage Sizes in Vibration Signals and Calculation of Appropriate Digital Filter Limits
 
 
Font Type:
Arial Georgia Verdana
Font Size:
Aa Aa Aa
Line Spacing:
Column Width:
Background:
Article

Effect of Adjuvants on the Wetting Behaviors of Bifenthrin Droplets on Tea Leaves

School of Mechanical Engineering, Shandong University, Jinan 250061, China
*
Author to whom correspondence should be addressed.
Appl. Sci. 2022, 12(9), 4217; https://doi.org/10.3390/app12094217
Submission received: 29 March 2022 / Revised: 16 April 2022 / Accepted: 19 April 2022 / Published: 21 April 2022

Abstract

:
The hydrophobic epicuticle wax on fresh leaves of tea tree (Camellia sinensis (L.) 0. Kuntze) leads to the loss of pesticide droplets, reducing efficacy. In this study, four adjuvants were selected to improve the diffusion and adhesion of bifenthrin droplets on the surface of tea leaves at different growth stages. The coupling effect of bifenthrin and adjuvants on the time-dependent and concentration-dependent wettability of droplets was investigated, and the difference in the wettability between bud and leaf was explained by observing the surface morphology. It was found that adjuvants effectively reduced the contact angle of droplets and accelerated the diffusion speed, and the above phenomenon became obvious with the increase in the adjuvant concentration. The wetting promotion of young leaves was more significant due to the reduced epicuticle wax and the greater roughness compared with fresh buds. The surface tension of the pesticide mixture was negatively correlated with the cosine of contact angle after adding the four adjuvants regardless of the growth stage of tea leaves. The contact angle of 0.2% Silwet L-77 decreased to 0° within 10 s, but the extreme wettability led to the decrease in adhesion with the increase in concentration. However, the wettability and adhesion on the surface of tea leaves were simultaneously suitable with more than 0.1% nonionic surfactant. The minimum concentration of the optimal adjuvant proposed in this study can provide an experimental basis and guide more efficient plant protection in tea gardens.

1. Introduction

Pesticides and fertilizers are widely used in agricultural production due to their substantial agronomic and economic benefits [1]. The effective adhesion and diffusion of pesticide droplets on the surface of leaves can improve the efficiency of pest control [2]. However, pesticide droplets can easily fall off and poorly adhere because of the fluff and wax on tea leaves used to protect the buds against environmental damage and reduce transpiration [3]. Ineffective spraying occurs when pesticides insufficiently deposit on the hydrophobic surface of tea leaves [4]. Although increasing the spray quantity is preferred to improve the pesticide solution deposition in tea gardens, it can lead to serious pesticide wastage. As a consequence, excessive pesticides will increase the risk of residual pesticides in tea and cause environmental pollution [5].
Recently, spray additives have played an important role in the reformation of pesticide formulation and the control of crop pests. Janků et al. [6] pointed out that spray adjuvants can significantly improve the wettability of droplets and increase deposition on target crops by altering the physical properties of pesticides, thus effectively reducing pesticide consumption [7,8]. Furthermore, as the major spray additives used in tea protection, surfactants [9,10], emulsified oils [11], and polymers [12,13] are widely used to promote diffusion by reducing the surface tension of droplets and the leaf–droplet interfacial tension caused by a special molecular adsorption property [14].
In recent decades, many scholars have focused on the effect of different additives on the spray deposition of various plant targets. For example, Van Zyl et al. [15] experimentally evaluated six different surfactants and oil adjuvants to improve foliar spray deposition. The results indicated that adjuvant concentration is essential for adequate deposition compared to other components. However, inadequate concentrations may not achieve the diffusion effect, which is required for the improvement of deposition volume and quality. Holloway et al. [16] quantitatively examined the retention and coverage of 10 commercially available tank-mix adjuvants on pea (Pisum sativum L.) and barley (Hordeum vulgare L.) leaves at different growth periods. Surfactants, especially silicone, caused the largest increase in spray coverage on both surfaces of pea and barley leaves compared with the emulsifiable oil and film former. Meanwhile, a study evaluated the dispersion and evaporation of single 300 mm diameter droplets amended with four spray adjuvants at different concentrations on four types of surfaces (abaxial and adaxial leaflet surfaces, petiole, basal stem) of soybean (Glycine max (L.) Merr.). The results showed that droplet-wetted areas increased with the increase in adjuvant concentrations nonlinearly and differed on the four surfaces: the abaxial surface had the largest wetted area, followed by the adaxial surface, the petiole, and then the basal stem [17]. Furthermore, Lin et al. [18] compared the wettability of pesticide droplets deposited at different positions (paraxial and distal to the veins, midvein, and secondary vein) on eucalyptus leaves and concluded that the wetted area was a minimum on the midrib, and the wetted area on the secondary vein was slightly larger than that on the interveinal area.
Adjuvants have positive effects on the wetting behaviors of pesticides, which can be attributed to chemical and physical characteristics. Furthermore, adjuvants can change the physicochemical properties of pesticide solutions, such as viscosity and surface tension [19]. The mechanism of the wetting state has been widely discussed by investigating the behavior of surfactant adsorption under equal conditions [14]. Cowles et al. [20] found that the surface tension of liquids substantially decreased with the increase in methylated silicone due to its superior surfactant properties. Solutions with a surface tension below 23 mN/m caused over 90% mortality of two-spotted spider mite (Tetranychus urticae Koch) in leaf dip bioassays. Decreased surface tension can increase the ratio between droplet coverage area and the amount of spray liquid required, reducing spray application rates and improving efficiency [21].
However, because of the complex physicochemical interactions between different pesticides and target crops, the effect and mechanism of adjuvants on the wettability of droplets vary from case to case. Presently, there is limited research on the wettability of tea leaves based on special pesticides and tea surface morphology. It is noted that the proportions of new buds and old leaves in tea trees vary with the seasons. New buds remain dormant in autumn and winter and germinate in spring [22]. Therefore, it is necessary to select a suitable type, concentration, and dosage of additives for specific application conditions.
Bifenthrin, a pyrethroid insecticide commonly used in tea gardens, has a broad insecticidal spectrum, low toxicity, low dosage, and short residual period. It can effectively control tea pests, such as lepidopteran larvae, small green leafhopper (Empoasca flavescens Fabricius), tea aphid (Toxoptera aurantii Boyer), and other tea garden pests [23]. For this compound, as well as most currently commercialized pesticides used in tea trees, little information is available on the investigation of the combined effects of leaf surface morphology and adjuvants on wetting behaviors.
The objective of this study was to investigate the effect of different types and concentrations of adjuvants on the wettability of bifenthrin droplets on the surface of tea leaves. Fresh buds and young leaves were chosen for the comparison of the surface morphology of tea leaves at different growth stages. Furthermore, this study proposed a method to improve the pesticide deposition on the surface of tea leaves to improve their plant protection efficiency in tea gardens.

2. Materials and Methods

2.1. Tea Type and Surface Morphology

The Rizhao green tea (bush-type tea tree with evergreen leaves), grown in Shandong Province, China, was used in this study. Among them, both mature leaves and new buds occur simultaneously on the tea tree. The mature leaves of this tea species are mostly elliptical, with leaf teeth on the margin of leaves. The surface structure at the interveinal area, secondary veins, and midrib on both the adaxial and abaxial surfaces can be clearly identified. Puckering on the leaves forms valleys along the veins on the adaxial surface and ridges on the abaxial surface [24]. The tea buds are curled, with a smooth membranous waxy layer on the front and fine fluff on the back (Figure 1).
Since the young leaves and buds on the tea canopy are the raw materials for tea manufacturing (Local Standard of Shandong Province, China: DB37/T 2709-2015 Product of Geographical Indication Rizhao Green Tea), they are the key targets for pesticide spraying during plant protection operations of Rizhao tea gardens in Shandong Province, China [24]. In addition, the fluff and wax on the surface of tea leaves will gradually fall off with the expansion of buds, resulting in higher hydrophobicity of fresh buds and young leaves than mature leaves. Therefore, it is necessary to improve the wettability and adhesion between fresh leaves and pesticide droplets.
Fresh leaves and buds growing on the same branch of the Rizhao green tea were picked for the wetting test. Then, the leaf surfaces were washed using deionized water and air-dried to ensure the freshness and cleanliness of the samples [25]. This was performed to prevent the change in surface microstructure caused by water evaporation and surface dust, which may affect the deposition of pesticide droplets on the surface. The surfaces of tea leaves and buds were observed with a 3D laser scanning microscope (KEYENCE, Ōsaka, Japan) with 400× magnification. Roughness was determined using VK Analyzer software to describe the leaf surface morphology in detail [26].
The leaf samples were placed flat on a glass slide, and the laser point of the lens was aimed at the region to be observed, avoiding the midrib and secondary vein. Three leaves and buds were selected, and three laser points were taken from each sample for repeated observations. Image-profile measurement (VK Analyzer) was used to analyze surface roughness in expert mode. A measurement area of 100 µm × 100 μm was randomly selected after noise detection, and the tilt correction value and surface roughness value were automatically obtained by the system. The measurement of each picture was repeated six times to obtain the mean and standard deviation.

2.2. Pesticide and Adjuvants

The pesticide used in this study was bifenthrin, 2-methylbiphenyl-3-ylmethyl(Z)-(1RS)-cis-3-(2-chloro-3,3,3-trifluoroprop-1-enyl)-2,2-dimethylcyclopropanecarboxylate [27]. The dilution ratio of 10% bifenthrin EC ranged from 1:1000 to 1:6000 (Vwater/V10% bifenthrin EC = 1000–6000) based on the National Standard Guideline for the safe application of pesticides (GB/T8321.2-2000) [28]. Here, bifenthrin EC with a dilution factor of 3000 was used as the control group to explore the effects of different concentrations and types of additives on the wettability of droplets on the surface of tea leaves.
Details of the composition and source of the adjuvants used for the evaluation are summarized in Table 1. Each additive was mixed into a 10% bifenthrin diluent with concentration gradients of 0.01%, 0.05%, 0.1%, and 0.2% (3000× g bifenthrin diluent + 0.01%, 0.05%, 0.1%, and 0.2% adjuvants). Each sample (15 mL) was prepared in a centrifuge tube and used within 24 h to prevent the deactivation and decomposition of the reagents.

2.3. Surface Tension and Viscosity

The surface tension of the bifenthrin diluent with four adjuvants of four concentrations was measured using the Attension Sigma700 surface tension meter (Biolin, Göteborgu, Sweden). A highly sensitive balance was used to analyze the stress changes of the fully wetted platinum sheet when it was slowly immersed and pulled out from the liquid surface based on the Wilhelmy plate method to measure the surface tension of the solution accurately. The vessel filled with liquid was placed in a water bath at 25 °C to maintain a constant temperature during the measurement.
The NDJ-8S rotational digital viscometer (LICHEN, Shanghai, China) was used to determine the viscosity of the adjuvant—10% bifenthrin EC mixture. The No. 0 rotor with a viscosity range of 0–100 mpa·s was selected to accurately calculate the shear rate and low viscosity of the samples because of the large diameter of the cylindrical rotor. The rotor speed and conversion factor were set to 60 r/min and 0.1 mpa·s, respectively.
A total of 18 mixture samples were used during the experiments to obtain the surface tension and viscosity, which included four adjuvants of four concentrations, 3000 times solution of 10% bifenthrin EC, and pure water. Each sample was measured five times to ensure the repeatability of experiments, and the mean and standard deviation were obtained. Experimental data were analyzed by one-way analysis of variance (ANOVA), and differences in means were determined with Tukey’s honestly significant difference test (Tukey’s HSD) using IBM SPSS Statistics 26 software, with adjuvant type and concentration as class variables and individual measurements as samples. All significant differences were determined at the p = 0.05 level.

2.4. Contact Angle

Contact angle (θ) is the angle from the solid–liquid interface through the liquid interior to the gas–liquid interface at the junction of solid, liquid, and gas [29]. Contact angle is an important parameter for characterizing a surface and predicting its behavior in applications involving wettability and adhesion [30,31]. The surface is hydrophilic when θ is lower than 90°; otherwise, it is hydrophobic [32]. Here, the contact angle formed by a pesticide droplet with an additive on the surface of tea was measured from side images of the droplet profile, which was monitored as a function of time using the JC2000D3K contact measuring instrument (POWEREACH, Shanghai, China). The instrument, experimental sample, and measurement method are shown in Figure 2. Before the measurement, the tea leaves were cut into strips of 5 mm × 300 mm (avoiding the main veins) and fixed flat on the glass slide to make them shorter in the optical path direction, which was necessary to avoid light blocking caused by uneven samples.
The microsyringe was placed above the leaf sample, and a sufficient volume of the liquid droplet (3–5 μL) was formed at its tip by adjusting the control knob. The sample platform was then slowly raised, and the measurement started once the droplet was gently deposited on the leaf sample. After droplet deposition, the images were captured by a charge-coupled device (CCD) camera at 0, 5, 15, 30, 60, and 90 s. JC2000D software was used to calculate contact angles through the five-point fitting method (Figure 2). The five points included two endpoints (a, b) on the contact line and three points (b, c, d) on the arc line, ensuring that the baseline coincided with the contact line.
Each measurement was repeated three times by setting other droplets at different positions on the same strip of leaf sample. The specific dripping positions are marked in the upper right corner of Figure 2. The contact angle values of the 18 mixture samples (four adjuvants at four concentrations, bifenthrin diluent, and pure water) on tea leaves at two growth stages (fresh bud and young leaf) were obtained. Each mixture sample had 18 contact angle values on each surface, including six recording time points (0, 5, 15, 30, 60, and 90 s) for three repetitions.

3. Results and Discussion

3.1. Surface Morphology and Roughness of Tea Leaves

The images of the fresh bud and young leaf observed by a 3D laser scanning microscope are shown in Figure 3. The fresh bud had a stronger surface light reflection and a smoother flat film-like waxy layer compared to the young leaf. In contrast, the surface of young leaves had a larger roughness value, with wrinkled ridge-shaped cuticular folds, which was caused by the falling process of the waxy layer and the maturing process of the leaf venation, along with the growth of the tea leaves. Similarly, previous studies have also shown that the total wax content of the surface of tea leaves is highest in fresh buds, followed by young and mature leaves [33].

3.2. Physical Characteristics of Bifenthrin Diluent with Adjuvants

Surface tension is the basic physical parameter of spray liquid, which also directly affects the wetting and spreading performance of spray droplets on target crops. In order to explain the differences in wetting phenomena, the surface tension of 3000 times diluent of 10% bifenthrin EC and its mixed solution amended with adjuvants were measured, as shown in Table 2.
The surface tension of pure water was reduced by about 38% with bifenthrin, and the value tended to decrease as the adjuvant concentration increased. The minimum addition of selected additives can rapidly and significantly decrease the surface tension value. The trend gradually stabilized when the concentration was more than 100 ppm (0.01%). The surface tension of all additive mixtures approached the minimum when the concentration reached 1000 ppm.
The critical micelle concentration (CMC) of the mixed solution is the concentration corresponding to the inflection point where the surface tension value rapidly drops and gradually remains stable with the increase in concentration. The surfactant molecules can be enriched on the surface of the solution at an extremely low concentration due to the amphiphilic structure, resulting in an instantaneous drop in the surface tension of the mixed solution. The additive molecules do not aggregate on the surface with increased concentration but associate with each other in the solution to form a micelle suspension, preventing the surface tension of the mixed solution from further decreasing.
Although the surface tension values of the four adjuvants had similar trends, their variation ranges and gradients were quite different. For instance, the pesticide solution amended with a trace amount of trisiloxane Silwet L-77 decreased to the lowest surface tension value with the fastest speed among the four adjuvants with increasing concentration. A small amount of 6501 can rapidly reduce the surface tension of the pesticide mixture to below 27 mN/m. The compound oil Greenwet 720 and the nonionic surfactant JFC had a relatively weaker ability to reduce the liquid surface tension. In general, the effect of the nonionic surfactant molecule on the surface tension of the bifenthrin mixture was greater than with an oil adjuvant. Among the surfactants, the effect was greater in the organosilicon surfactant than in the nonionic surfactant.
The viscosity values of the mixed solution at different additive concentrations are listed in Table 3. After the same column of data, different lowercase letters indicate significant differences in p = 0.05 according to Tukey’s HSD. Clearly, although the viscosity of the bifenthrin solution varied significantly with concentrations of adjuvants, there was no clear trend in changes to it with increasing concentrations of the adjuvants. Therefore, the wetting and adhesion characteristics of the droplets mixed with the above adjuvants (surfactants and oil) on the surface of tea leaves were independent of the viscosity of the liquid. Most mechanistic studies of the underlying viscosity-induced wettability have focused on polymer additives. Polymer additives can significantly change the viscosity of liquids at very low addition levels [34]. Bertola [35] proposed the wetting mechanism of polymer droplets and concluded that the rebound of droplets was prevented by the dissipative force, which was generated from the polymer molecules stretching on the contact line. As a result, the deposition of droplets subsequently increased on the hydrophobic surface.

3.3. Contact Angle of Bifenthrin Droplets with Adjuvants on Tea Leaves

The images of the pure water droplet deposited on the surfaces of the fresh bud and young leaf of tea photographed by the optical contact angle measuring device (θ1 = 108.649°, θ2 = 93.791°) are shown in Figure 4. The steady state of the droplet could be due to the equilibrium of three interfacial tensions (γsl, γlg, γsg) at the junction of solid, liquid, and gas phases. The surface of the fresh bud was more hydrophobic with poorer wettability than the young leaf. Although the pure water droplets on the surface of the young leaf could not easily roll off, the contact area was not large enough to achieve a good wetting effect. This was due to the difference in the shape and thickness of wax on the surface of tea leaves of different ages. The thick and smooth hydrophobic waxy layer on the fresh bud increased the contact angle of pure water droplets on the surface.
The changing trends of the contact angle of pesticide droplets on the surfaces of the fresh bud (a, c, e, g) and young leaf (b, d, f, h) with different concentrations and types of adjuvants over time are shown in Figure 5, with pure water as the control. The contact angle of the pure water droplet was significantly reduced by a 3000 times solution of 10% bifenthrin EC. Different types of adjuvants can further reduce the contact angle and accelerate the diffusion of droplets on the surface of tea leaves.
The two columns in Figure 5 show that the contact angle of the young leaf was smaller than that of the fresh bud for each adjuvant at different concentrations. The hydrophobic waxy layer gradually fell off with the growth of fresh buds, making it easy for adjuvant droplets to wet the surfaces. Moreover, with the increase in solid–liquid area under the droplet and around the contact line, the influence of adjuvant adsorption on the contact angle increased. Since the contact area between the adjuvant droplets and the rough leaf surface was larger than that of the smooth bud surface, the amplification effect of adjuvants on the wetting of young leaves was greater.
Previous studies have also shown that the surface morphology of target leaves was an important factor in wetting behaviors of pesticides by changing the rebound of droplets and spray run-off. Koch and Barthlott [36] assessed the superhydrophobic and superhydrophilic surfaces of plants and pointed out that cell sculptures and fine surface structure, such as folding of the cuticle or epicuticular waxes, can influence the wetting of plants. Yu et al. [37] investigated two surface states based on the diversity of phenotypic genes in different leaves: wax deposition without hairs and hairy surface. The microroughness increased with increasing glandular trichomes, and then caused the wide spread of droplets.
Among the four adjuvants, the contact angle of droplets with trisiloxane organosilicon Silwet L-77 decreased the most significantly with the change in concentration. According to the points corresponding to the initial time in Figure 5a,b, compared with the other three additives, the initial contact angle was the largest when the additive amount was small but decreased rapidly when the amount was more than 0.05%. The other three additives at the minimum concentration (0.01%) significantly decreased the contact angle of droplets at 0 s (65 ± 2.5°), but the decrease in the contact angle was not obvious, as the concentration increased at this moment. This result could be because the trisiloxane surfactant molecules with low concentration diffused inside the droplet and accumulated on the surface of the droplet at a slower rate than the other three additives.
Moreover, Silwet L-77 and nonionic surfactant 6501 significantly decreased the contact angle of droplets on the surface of tea leaves over time, but there were differences between the above two adjuvants. The droplets mixed with Silwet L-77 rapidly expanded within 5 s, and the range of the contact angle greatly changed with the concentration. For instance, the pesticide droplets could only expand to a contact angle of about 60° at the 0.01% concentration, indicating partial wetting. Moreover, the contact angle could be rapidly reduced to 0° at the 0.2% concentration, indicating complete wetting. The concentration at this moment exceeded the critical wetting concentration (CWC) of Silwet L-77, a concentration above which a transition from partial wetting to complete wetting occurred at spreading over moderately hydrophobic surfaces [38]. This concentration was different in the leaves of the two growing stages due to the different surface morphology of the fresh bud and young leaf of tea. Similarly, some previous studies on rough surfaces also reported a similar phenomenon [33,39].
The contact angle of bifenthrin droplets with 6501 also rapidly decreased with time, reaching 47 ± 1.5° at a low addition amount (0.01%). As the concentration increased to 0.2%, the contact angle gradually decreased but did not decrease to an extreme state (0°) like Silwet L-77. The diffused trend of droplets with JFC and Greenwet 720 was similar. The droplets spread significantly within 15 s, after which the contact angle value decreased slightly, and the shape of droplets remained stable.
The wetting phenomenon of adjuvants is related to their ability to reduce the surface tension of the mixed solution. The increased Silwet L-77 can rapidly reduce the surface tension of the mixture to the lowest value, leading to its extreme wetting and spreading ability. The critical micelle concentration (CMC) of Silwet L-77 surfactant was lower than that of the other kinds of trisiloxane surfactants in the past determination [20], indicating that lower surface tension can be achieved through a small addition. The relatively higher surface tension of the bifenthrin mixture of Greenwet 720 and JFC at each concentration (Table 2) resulted in the equilibrium of droplets at larger contact angles than the other two surfactants.

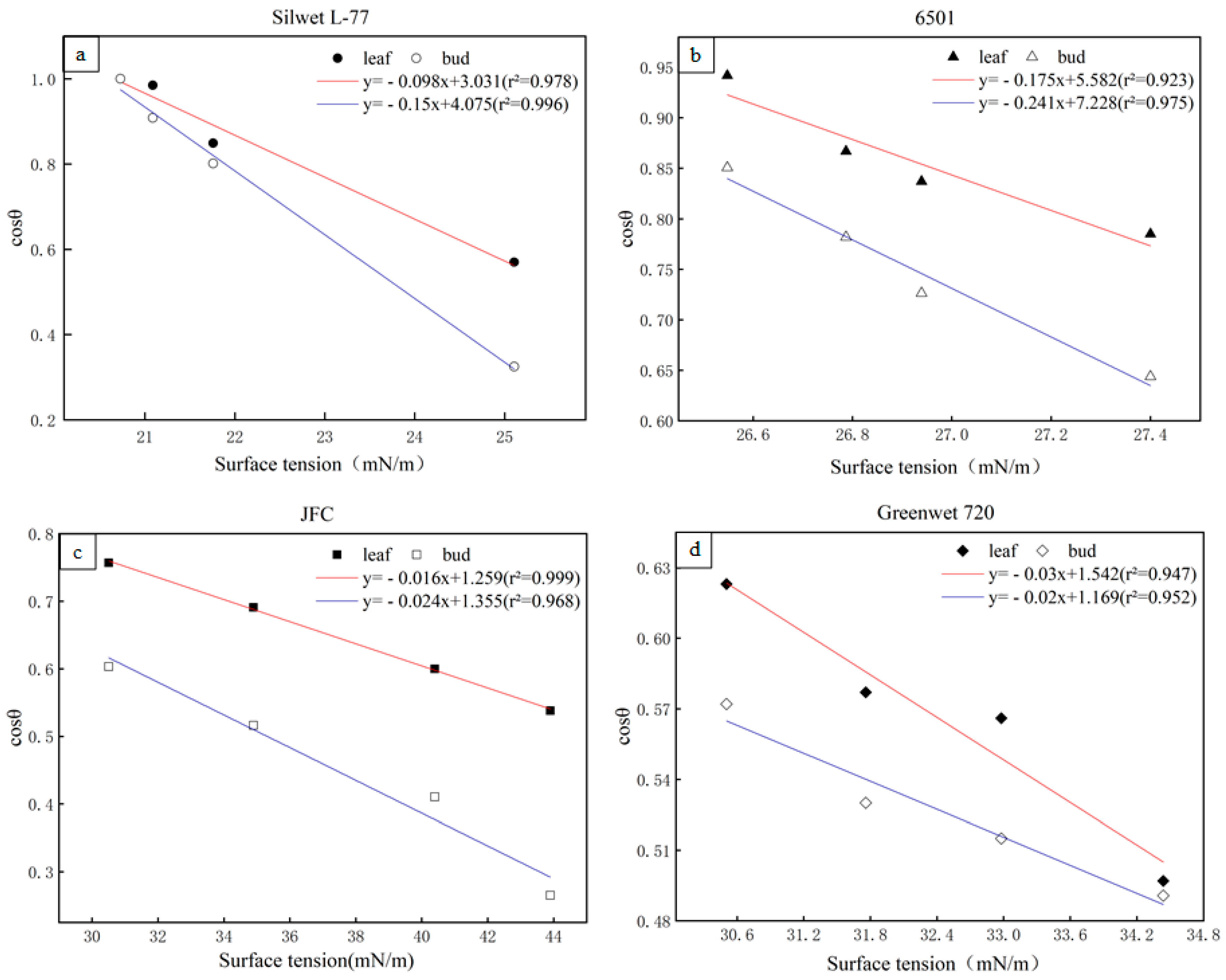
3.4. Relationship between the Surface Tension and Contact Angle

According to the characterization of the balanced relationship between the three-phase interfacial tension (γsl, γlg, γsg) and the cosine value of contact angle (cosθ) in Young’s equation [40]:
γ s g - γ s l = γ lg cos θ
the cosθ formed by the deposition of droplets on tea leaves has a certain relationship with the surface tension of liquid. Here, the surface tension of the pesticide mixture (x value variable) and the cos θ (y value variable) of droplets with four adjuvants deposited stably (60 s) on the surface of tea leaves at different concentrations were analyzed by regression. The fitted images and regression equations are shown in Figure 6.
There was a negative linear correlation between the two variables at the p = 0.05 level after adding the four adjuvants regardless of the growth stage of tea. The cos θ value decreased with the increasing surface tension of the mixed solution. Moreover, the contact angle of adjuvant droplets on the fresh buds was larger than that on the young leaves under the same concentration, making the fitting straight lines representing the fresh buds below those representing the young leaves. The larger the absolute value of the slope of the fitted straight line, the more sensitive the cos θ value changes with the surface tension of the mixed solution. Theoretically, the corresponding surface tension would be the minimum value required for the mixed droplets to spread on the surface of tea leaves if the straight line is extended to cos θ = 1.
Among the four graphs in Figure 6, the slope of the (b) line had the largest absolute value, indicating that the pesticide with nonionic surfactant 6501 can achieve the maximum reduction of the contact angle within the minimum change in surface tension. Compared with the other three adjuvants, the continuous extension of the straight red line (leaf) corresponds to the maximum surface tension value at the intersection of cos θ = 1 (26.183 mN/m). It is predicted that when the surface tension is reduced to 26.183 mN/m, the droplets will completely spread on young leaves, and a smaller value (25.84 mN/m) is required for fresh buds.

3.5. Adhesion Tension and Work between Bifenthrin Droplets and Tea Leaves

The wetting process of pesticides on the surface of tea leaves can be divided into adhesion and spreading [41]. Whether pesticide droplets can effectively adhere to the surface of tea leaves is the key to the automatic wetting process. Moreover, not only the effective attachment but also the rapid diffusion of droplets is required to enhance pesticide efficacy, achieving the large coverage area and ideal plant protection effect.
The change value of the free energy Δ G during the wetting process can be calculated as [42]:
Δ G = γ sg + γ lg γ s l = W a
Wa represents the adhesion work, which is the minimum work required to pull the contacted solid and liquid away from the interface. The adhesion work reflects the binding capacity at the solid–liquid interface. The larger the Wa value, the stronger the solid–liquid bond. The adhesion tension reflects the wetting ability between solid and liquid, which can be calculated as:
β = γ sg γ s l
The larger the value is, the better it is for wetting.
The adhesion tension β and adhesion work Wa can be deduced from the relationship between the equilibrium contact angle and three interfacial free energies in Equation (1):
β = γ l g cos θ W a = γ l g ( 1 + cos θ )
The adhesion tension and adhesion work can be used to evaluate the wettability and adhesion of the adjuvant droplets when the surface tension of the mixture and the contact angle of droplets on the surface of tea leaves are available. The relationship between wetting and adhesion in adjuvant solutions can be obtained through this method [43].
The trends of the adhesion tension and work of bifenthrin droplets with different adjuvants on the surfaces of the fresh bud (a) and young leaf (b) changing with the concentration are shown in Figure 7. The adhesion tension value was negative when no adjuvants were added, indicating that the bifenthrin diluent was difficult to wet on the surface of tea leaves. Adding a small amount of adjuvant (0.01%) can rapidly increase the adhesion tension to a positive value and improve the wetting and spreading behavior of droplets. In addition, the adhesion work decreased with the increasing additive concentration, indicating that the adsorption between the droplets and tea leaves decreased with the improved wettability of the bifenthrin solution; that is, the pesticide can be easily lost from tea leaves.
Therefore, the adhesion between droplets and tea leaves should also be considered in selecting adjuvants to improve the retention of pesticides. The bifenthrin droplets with organosilicon surfactant Silwet L-77 can rapidly spread on the surface of young leaves in a short time (Figure 8). However, it can easily cause the loss and waste of the pesticide due to the small adhesion work between the droplets and tea leaves. The bifenthrin diluent containing surfactant 6501 and JFC can show better wettability and adhesion on the surfaces of the fresh bud and young leaf, with a lower cost than Silwet L-77, resulting in better economics for large-scale pesticide spraying operations in tea gardens. Moreover, the adhesion tension and work tend to be stable when the concentration is greater than 0.1%. A similar phenomenon was observed in Zhu’s analysis of the adhesion of surfactant TX-100 droplets to the surface of rice (Oryza sativa) leaves. With the concentration increased around CMC, the adhesion tension stopped changing significantly [14]. The ideal wetting and adhesion effect can be achieved at this concentration, preventing pesticide residue in tea caused by excessive active agent content.

4. Conclusions

Adjuvants can effectively reduce the contact angle and accelerate the spreading of bifenthrin droplets on the surface of tea leaves. Additionally, the wetting behavior of bifenthrin droplets varies with the type and concentration of adjuvants and is significantly affected by the change in tea surface morphology. Less hydrophobic wax and greater roughness on the leaf surface make it easier for adjuvanted bifenthrin droplets to wet the surface of young leaves than the fresh buds. However, in the above two growth stages, the same adjuvants have similar influences on the changing trend of the contact angle.
The contact angle decreases with the increase in adjuvant concentration. The wettability change is mainly due to the surface tension of the pesticide mixture altered by additive molecules. The trisiloxane surfactant is much better than the other three additives in reducing the surface tension of the bifenthrin diluent. The pesticide droplets with 0.2% Silwet L-77 can completely spread on tea leaves within 15 s. However, this extreme wetting phenomenon reduces the binding force between the two-phase molecules, leading to the loss of pesticides.
In contrast, the bifenthrin droplets with more than 0.1% nonionic surfactants 6501 and JFC have the desirable wettability and adhesion on the surfaces of fresh buds and young leaves. Moreover, the above two nonionic surfactants are cheaper than Silwet L-77, resulting in better economics for large-scale pesticide spraying operations in tea gardens. This study provides a strategy for spreading pesticides onto the hydrophobic surfaces of plants, thus improving their utilization rate and the effect on insect pest control.

Author Contributions

Conceptualization, methodology, X.G., Z.J.; investigation, X.G., D.W.; writing—original draft preparation, X.G.; formal analysis, X.L.; data curation, G.C.; writing—review and editing, Z.J.; supervision, D.W. All authors have read and agreed to the published version of the manuscript.

Funding

This research was funded by the Shandong Provincial Key Research and Development Program of China (No. 2019JZZY010441), the Rizhao Key Research and Development Program of China (No. 2021ZDYF010123), and the Rizhao Science and Technology Innovation Special Funding Project of China (No. 2019CXZX1210).

Institutional Review Board Statement

Not applicable.

Informed Consent Statement

Not applicable.

Conflicts of Interest

The authors declare no conflict of interest.

References

  1. Cai, D.; Wang, L.; Zhang, G.; Zhang, X.; Wu, Z. Controlling pesticide loss by natural porous Micro/nano composites: Straw ash-based biochar and biosilica. ACS Appl. Mater. Interfaces 2013, 5, 9212–9216. [Google Scholar] [CrossRef] [PubMed]
  2. Nairn, J.J.; Forster, W.A. Methods for evaluating leaf surface free energy and polarity having accounted for surface roughness. Pest Manag. Sci. 2017, 73, 1854–1865. [Google Scholar] [CrossRef] [PubMed]
  3. Ryckaert, B.; Spanoghe, P.; Haesaert, G.; Heremans, B.; Isebaert, S.; Steurbaut, W. Quantitative determination of the influence of adjuvants on foliar fungicide residues. Crop Prot. 2007, 26, 1589–1594. [Google Scholar] [CrossRef]
  4. Bergeron, V.; Bonn, D.; Martin, J.Y.; Vovelle, L. Controlling droplet deposition with polymer additives. Nature 2000, 405, 772–775. [Google Scholar] [CrossRef]
  5. Damak, M.; Mahmoudi, S.R.; Hyder, M.N.; Varanasi, K.K. Enhancing droplet deposition through in-situ precipitation. Nat. Commun. 2016, 7, 12560. [Google Scholar] [CrossRef] [Green Version]
  6. Janků, J.; Bartovská, L.; Soukup, J.; Jursík, M.; Hamouzová, K. Densitysity and surface tension of aqueous solutions of adjuvants used for tank-mixes with pesticides. Plant Soil Environ. 2012, 58, 568–572. [Google Scholar] [CrossRef] [Green Version]
  7. Al Heidary, M.; Douzals, J.P.; Sinfort, C.; Vallet, A. Influence of spray characteristics on potential spray drift of field crop sprayers: A literature review. Crop Prot. 2014, 63, 120–130. [Google Scholar] [CrossRef]
  8. Yao, C.; Myung, K.; Wang, N.; Johnson, A. Spray retention of crop protection agrochemicals on the plant surface. ACS Symp. Ser. 2014, 1171, 1–22. [Google Scholar] [CrossRef]
  9. Hilz, E.; Vermeer, A.W.P. Spray drift review: The extent to which a formulation can contribute to spray drift reduction. Crop Prot. 2013, 44, 75–83. [Google Scholar] [CrossRef]
  10. Wang, R.; Dorr, G.; Hewitt, A.; Cooper-White, J. Impacts of polymer/surfactant interactions on spray drift. Colloids Surf. A Physicochem. Eng. Asp. 2016, 500, 88–97. [Google Scholar] [CrossRef] [Green Version]
  11. Melo, A.A.; Usano-Alemany, J.; Guedes, J.V.C.; Hunsche, M. Impact of tank-mix adjuvants on deposit formation, cuticular penetration and rain-induced removal of chlorantraniliprole. Crop Prot. 2015, 78, 253–262. [Google Scholar] [CrossRef]
  12. Symonds, B.L.; Lindsay, C.I.; Thomson, N.R.; Khutoryanskiy, V.V. Chitosan as a rainfastness adjuvant for agrochemicals. RSC Adv. 2016, 6, 102206–102213. [Google Scholar] [CrossRef] [Green Version]
  13. Sevastos, A.A.; Thomson, N.R.; Lindsay, C.; Padia, F.; Khutoryanskiy, V.V. Rainfastness of agrochemical formulations based on N-vinyl pyrrolidone polymers and their interpolymer complexes with poly(acrylic acid). Eur. Polym. J. 2020, 134, 109852. [Google Scholar] [CrossRef]
  14. Zhu, Y.; Gao, Y.; Zhang, C.; Zhao, X.; Ma, Y.; Du, F. Static and dynamic wetting behavior of TX-100 solution on super-hydrophobic rice (Oryza sativa) leaf surfaces. Colloids Surf. A Physicochem. Eng. Asp. 2018, 547, 148–156. [Google Scholar] [CrossRef]
  15. Van Zyl, S.A.; Brink, J.C.; Calitz, F.J.; Fourie, P.H. Effects of adjuvants on deposition efficiency of fenhexamid sprays applied to Chardonnay grapevine foliage. Crop Prot. 2010, 29, 843–852. [Google Scholar] [CrossRef]
  16. Holloway, P.J.; Butler Ellis, M.C.; Webb, D.A.; Western, N.M.; Tuck, C.R.; Hayes, A.L.; Miller, P.C.H. Effects of some agricultural tank-mix adjuvants on the deposition efficiency of aqueous sprays on foliage. Crop Prot. 2000, 19, 27–37. [Google Scholar] [CrossRef]
  17. Gimenes, M.J.; Zhu, H.; Raetano, C.G.; Oliveira, R.B. Dispersion and evaporation of droplets amended with adjuvants on soybeans. Crop Prot. 2013, 44, 84–90. [Google Scholar] [CrossRef]
  18. Lin, H.; Zhou, H.; Xu, L.; Zhu, H.; Huang, H. Effect of surfactant concentration on the spreading properties of pesticide droplets on Eucalyptus leaves. Biosyst. Eng. 2016, 143, 42–49. [Google Scholar] [CrossRef]
  19. Stock, D.; Briggs, G. Physicochemical Properties of Adjuvants: Values and Applications 1. Weed Technol. 2000, 14, 798–806. [Google Scholar] [CrossRef]
  20. Cowles, R.S.; Cowles, E.A.; McDermott, A.M.; Ramoutar, D. “Inert” formulation ingredients with activity: Toxicity of trisiloxane surfactant solutions to twospotted spider mites (Acari: Tetranychidae). J. Econ. Entomol. 2000, 93, 180–188. [Google Scholar] [CrossRef]
  21. Xu, L.; Zhu, H.; Ozkan, H.E.; Thistle, H.W. Evaporation rate and development of wetted area of water droplets with and without surfactant at different locations on waxy leaf surfaces. Biosyst. Eng. 2020, 106, 58–67. [Google Scholar] [CrossRef]
  22. Mukherjee, K.K.; Roy, M.; Saha, P.K.; Ganguly, S.N. Surface morphology of tea (Camellia sinensis L.) leaves. Phytomorphology 2000, 50, 125–131. [Google Scholar]
  23. Zhang, H.; Tan, J. Tea pests in China and the Pollution-Free Control; Anhui Science and Technology Press: Hefei, China, 2004. [Google Scholar]
  24. Li, W.; Gao, H.; Fan, Q.; Wang, J.; Tang, X. Comparison of the quality and aroma components of Rizhao Green Tea harvested in summer dried under different roasting conditions. Mod. Food Sci. Technol. 2020, 36, 255–262. [Google Scholar] [CrossRef]
  25. Gao, Y.; Guo, R.; Fan, R.; Liu, Z.; Kong, W.; Zhang, P.; Du, F. Wettability of pear leaves from three regions characterized at different stages after flowering using the OWRK method. Pest Manag. Sci. 2018, 74, 1804–1809. [Google Scholar] [CrossRef] [PubMed]
  26. Caviezel, D.; Narayanan, C.; Lakehal, D. Adherence and bouncing of liquid droplets impacting on dry surfaces. Micro-Fluid Nano-Fluid 2018, 5, 469–478. [Google Scholar] [CrossRef]
  27. Mulrooney, J.E.; Elmore, C.D. Rainfastening of bifenthrin to cotton leaves with selected adjuvants. J. Environ. Qual. 2000, 29, 1863–1866. [Google Scholar] [CrossRef] [Green Version]
  28. National Standard of P.R. China: Guideline for Safe Application of Pesticides (GB/T 8321.2-2000). Available online: http://c.gb688.cn/bzgk/gb/showGb?type=online&hcno=D64FE052AFC0FFA3716FDB6927A4EAED (accessed on 8 October 2021).
  29. Kwok, D.Y.; Neumann, A.W. Contact angle measurement and contact angle interpretation. Adv. Colloid Interface Sci. 1999, 81, 167–249. [Google Scholar] [CrossRef]
  30. Taylor, P. The wetting of leaf surfaces. Curr. Opin. Colloid Interface Sci. 2011, 16, 326–334. [Google Scholar] [CrossRef]
  31. Milne, A.J.B.; Elliott, J.A.W.; Zabeti, P.; Zhou, J.; Amirfazli, A. Model and experimental studies for contact angles of surfactant solutions on rough and smooth hydrophobic surfaces. Phys. Chem. Chem. Phys. 2011, 13, 16208–16219. [Google Scholar] [CrossRef]
  32. Ivanova, N.A.; Zhantenova, Z.B.; Starov, V.M. Wetting dynamics of polyoxyethylene alkyl ethers and trisiloxanes in respect of polyoxyethylene chains and properties of substrates. Colloids Surf. A Physicochem. Eng. Asp. 2012, 413, 307–313. [Google Scholar] [CrossRef] [Green Version]
  33. Tsay, J.S.; Chen, I.Z.; Chang, W.C. Observations on surface morphology of leaves in flush of tea (Camellia sinensis) and studies on the pathway of water loss during Paochung tea withering process. J. Agric. Assoc. China 2002, 3, 355–375. [Google Scholar]
  34. Williams, P.A.; English, R.J.; Blanchard, R.L. The influence of the extensional viscosity of very low concentrations of high molecular mass water-soluble polymers on atomization and droplet impact. Pest Manag. Sci. 2018, 64, 497–504. [Google Scholar] [CrossRef] [PubMed] [Green Version]
  35. Bertola, V. Effect of polymer additives on the apparent dynamic contact angle of impacting drops. Colloids Surf. A Physicochem. Eng. Asp. 2010, 363, 135–140. [Google Scholar] [CrossRef]
  36. Koch, K.; Barthlott, W. Superhydrophobic and superhydrophilic plant surfaces: An inspiration for biomimetic materials. Philos. Trans. R. Soc. A: Math. Phys. Eng. Sci. 2009, 367, 1487–1509. [Google Scholar] [CrossRef] [PubMed]
  37. Yu, Y.; Zhu, H.; Frantz, J.M.; Reding, M.E.; Chan, K.C.; Ozkan, H.E. Evaporation and coverage area of pesticide droplets on hairy and waxy leaves. Biosyst. Eng. 2009, 104, 324–334. [Google Scholar] [CrossRef]
  38. Ivanova, N.; Starov, V.; Rubio, R.; Ritacco, H.; Hilal, N.; Johnson, D. Critical wetting concentrations of trisiloxane surfactants. Colloids Surf. A: Physicochem. Eng. Asp. 2010, 354, 143–148. [Google Scholar] [CrossRef] [Green Version]
  39. Chang, F.M.; Sheng, Y.J.; Chen, H.; Tsao, H.K. From superhydrophobic to superhydrophilic surfaces tuned by surfactant solutions. Appl. Phys. Lett. 2007, 91, 90–92. [Google Scholar] [CrossRef] [Green Version]
  40. Quéré, D. Wetting and roughness. Annu. Rev. Mater. Res. 2008, 38, 71–99. [Google Scholar] [CrossRef]
  41. Zhu, Y.Q.; Yu, C.X.; Li, Y.; Zhu, Q.Q.; Zhou, L.; Cao, C.; Yu, T.T.; Du, F.P. Research on the changes in wettability of rice (Oryza sativa) leaf surfaces at different development stages using the owrk method. Pest Manag. Sci. 2014, 70, 462–469. [Google Scholar] [CrossRef]
  42. Zhou, Z.H.; Zhang, Q.; Wang, H.Z.; Xu, Z.C.; Zhang, L.; Liu, D.D.; Zhang, L. Wettability of a PTFE surface by aqueous solutions of zwitterionic surfactants: Effect of molecular structure. Colloids Surf. A: Physicochem. Eng. Asp. 2016, 489, 370–377. [Google Scholar] [CrossRef]
  43. Szymczyk, K.; Zdziennicka, A.; Krawczyk, J.; Jańczuk, B. Correlation between wetting, adhesion and adsorption in the polymer-aqueous solutions of ternary surfactant mixtures-air systems. Appl. Surf. Sci. 2014, 288, 488–496. [Google Scholar] [CrossRef]
Figure 1. Fresh bud and young leaf on the canopy of tea tree.
Figure 1. Fresh bud and young leaf on the canopy of tea tree.
Applsci 12 04217 g001
Figure 2. Schematic diagram of contact angle measurement process.
Figure 2. Schematic diagram of contact angle measurement process.
Applsci 12 04217 g002
Figure 3. Surfaces of fresh bud (a) and young leaf (b) with 400× magnification observed by 3D laser scanning microscope.
Figure 3. Surfaces of fresh bud (a) and young leaf (b) with 400× magnification observed by 3D laser scanning microscope.
Applsci 12 04217 g003
Figure 4. Deposition state of distilled water droplets on the surfaces of (a) fresh bud and (b) young leaf photographed by the CCD camera.
Figure 4. Deposition state of distilled water droplets on the surfaces of (a) fresh bud and (b) young leaf photographed by the CCD camera.
Applsci 12 04217 g004
Figure 5. Contact angles of 10% bifenthrin diluent with different concentrations of four adjuvants on the surface of fresh bud (a,c,e,g) and young leaf (b,d,f,h).
Figure 5. Contact angles of 10% bifenthrin diluent with different concentrations of four adjuvants on the surface of fresh bud (a,c,e,g) and young leaf (b,d,f,h).
Applsci 12 04217 g005
Figure 6. Relationship between cos θ and the surface tension of liquid. Each point represents the corresponding value of the four adjuvants at different concentrations. The straight line is the fitted image, and the specific equation is marked in the upper right corner of each figure: (a) Silwet L-77; (b) 6501; (c) JFC; (d) Greenwet 720.
Figure 6. Relationship between cos θ and the surface tension of liquid. Each point represents the corresponding value of the four adjuvants at different concentrations. The straight line is the fitted image, and the specific equation is marked in the upper right corner of each figure: (a) Silwet L-77; (b) 6501; (c) JFC; (d) Greenwet 720.
Applsci 12 04217 g006
Figure 7. Adhesion tension and adhesion work of bifenthrin droplets with different adjuvants on the surfaces of the fresh bud (a) and young leaf (b) vary with the concentration.
Figure 7. Adhesion tension and adhesion work of bifenthrin droplets with different adjuvants on the surfaces of the fresh bud (a) and young leaf (b) vary with the concentration.
Applsci 12 04217 g007aApplsci 12 04217 g007b
Figure 8. Deposition status of bifenthrin droplets with different concentrations of Silwet L-77 on the surface of young leaves over time.
Figure 8. Deposition status of bifenthrin droplets with different concentrations of Silwet L-77 on the surface of young leaves over time.
Applsci 12 04217 g008
Table 1. Details of selected adjuvants listed.
Table 1. Details of selected adjuvants listed.
Trade NameRegistration HolderMain IngredientTypePossible
Properties
Silwet L-77Momentive,
USA
Polyethoxylated heptamethyl trisiloxaneOrganosilicone
surfactant
Spreader
6501Lion Brand,
Singapore
Coconut oil
diethanolamide
Nonionic
surfactant
Detergent
JFCHai-an, ChinaFatty alcohol polyoxyethylene etherNonionic
surfactant
Penetrant
Greenwet 720Green-times,
China
Compound oilEmulsifiable
oil
Anti-drift
additive
Table 2. Surface tension of bifenthrin diluent mixed with adjuvants in different concentrations.
Table 2. Surface tension of bifenthrin diluent mixed with adjuvants in different concentrations.
Concentration
(%)
Surface Tension (mN/m) a
Adjuvants
Silwet L-776501Greenwet 720JFC
045.436 (±0.473) a
0.0125.106 (±0.025) b27.400 (±0.030) b34.438 (±0.353) b43.897 (±0.499) b
0.0521.759 (±0.042) c26.939 (±0.032) bc32.980 (±0.150) c40.394 (±0.197) c
0.121.087 (±0.044) d26.787 (±0.042) c31.759 (±0.063) d34.895 (±0.054) d
0.220.727 (±0.058) d26.848 (±0.017) c30.505 (±0.098) e32.805 (±0.070) e
F b9631.4345956.8421874.3481169.046
DF4444
p-value<0.0001<0.0001<0.0001<0.0001
a Means ± standard error (n = 5) followed by a different lowercase letter in each column are significantly different at p = 0.05 according to Tukey’s HSD. b ANOVA model: F-test statistics; DF—degree of freedom.
Table 3. Viscosity of bifenthrin diluent mixed with adjuvants in different concentrations.
Table 3. Viscosity of bifenthrin diluent mixed with adjuvants in different concentrations.
Concentration
(%)
Viscosity (mpa·s) a
Adjuvants
Silwet L-776501Greenwet 720JFC
00.982 (±0.007) ab0.982 (±0.007) b0.982 (±0.007) a0.982 (±0.007) a
0.010.956 (±0.014) c0.954 (±0.016) c0.956 (±0.010) b0.976 (±0.008) ab
0.050.968 (±0.012) bc0.926 (±0.008) d0.976 (±0.010) a0.978 (±0.010) ab
0.10.974 (±0.010) bc0.928 (±0.007) d0.948 (±0.007) b0.958 (±0.012) bc
0.21.003 (±0.006) a0.998 (±0.011) a0.982 (±0.009) a0.946 (±0.010) c
F b10.38541.48411.98110.051
DF4444
p-value0.000102<0.0001<0.00010.000126
a Means ± standard error (n = 5) followed by a different lowercase letter in each column are significantly different at p = 0.05 according to Tukey’s HSD. The comparisons between lowercase letters in the same column are statistically significant. b ANOVA model: F-test statistics; DF—degree of freedom.
Publisher’s Note: MDPI stays neutral with regard to jurisdictional claims in published maps and institutional affiliations.

Share and Cite

MDPI and ACS Style

Gao, X.; Wang, D.; Jiang, Z.; Li, X.; Chen, G. Effect of Adjuvants on the Wetting Behaviors of Bifenthrin Droplets on Tea Leaves. Appl. Sci. 2022, 12, 4217. https://doi.org/10.3390/app12094217

AMA Style

Gao X, Wang D, Jiang Z, Li X, Chen G. Effect of Adjuvants on the Wetting Behaviors of Bifenthrin Droplets on Tea Leaves. Applied Sciences. 2022; 12(9):4217. https://doi.org/10.3390/app12094217

Chicago/Turabian Style

Gao, Xueqing, Ding Wang, Zhaoliang Jiang, Xinde Li, and Guopeng Chen. 2022. "Effect of Adjuvants on the Wetting Behaviors of Bifenthrin Droplets on Tea Leaves" Applied Sciences 12, no. 9: 4217. https://doi.org/10.3390/app12094217

APA Style

Gao, X., Wang, D., Jiang, Z., Li, X., & Chen, G. (2022). Effect of Adjuvants on the Wetting Behaviors of Bifenthrin Droplets on Tea Leaves. Applied Sciences, 12(9), 4217. https://doi.org/10.3390/app12094217

Note that from the first issue of 2016, this journal uses article numbers instead of page numbers. See further details here.

Article Metrics

Back to TopTop