Long-Term Trend of the Levels of Ambient Air Pollutants of a Megacity and a Background Area in Korea
Abstract
1. Introduction
2. Data and Methods
2.1. Sampling Site
2.2. Sampling and Chemical Analysis
2.3. Methods
2.3.1. The Mann–Kendall Test and Sen’s Slope
2.3.2. Sulfur Oxidation Ratio (SOR) and Nitrogen Oxidation Ratio (NOR)
3. Results and Discussion
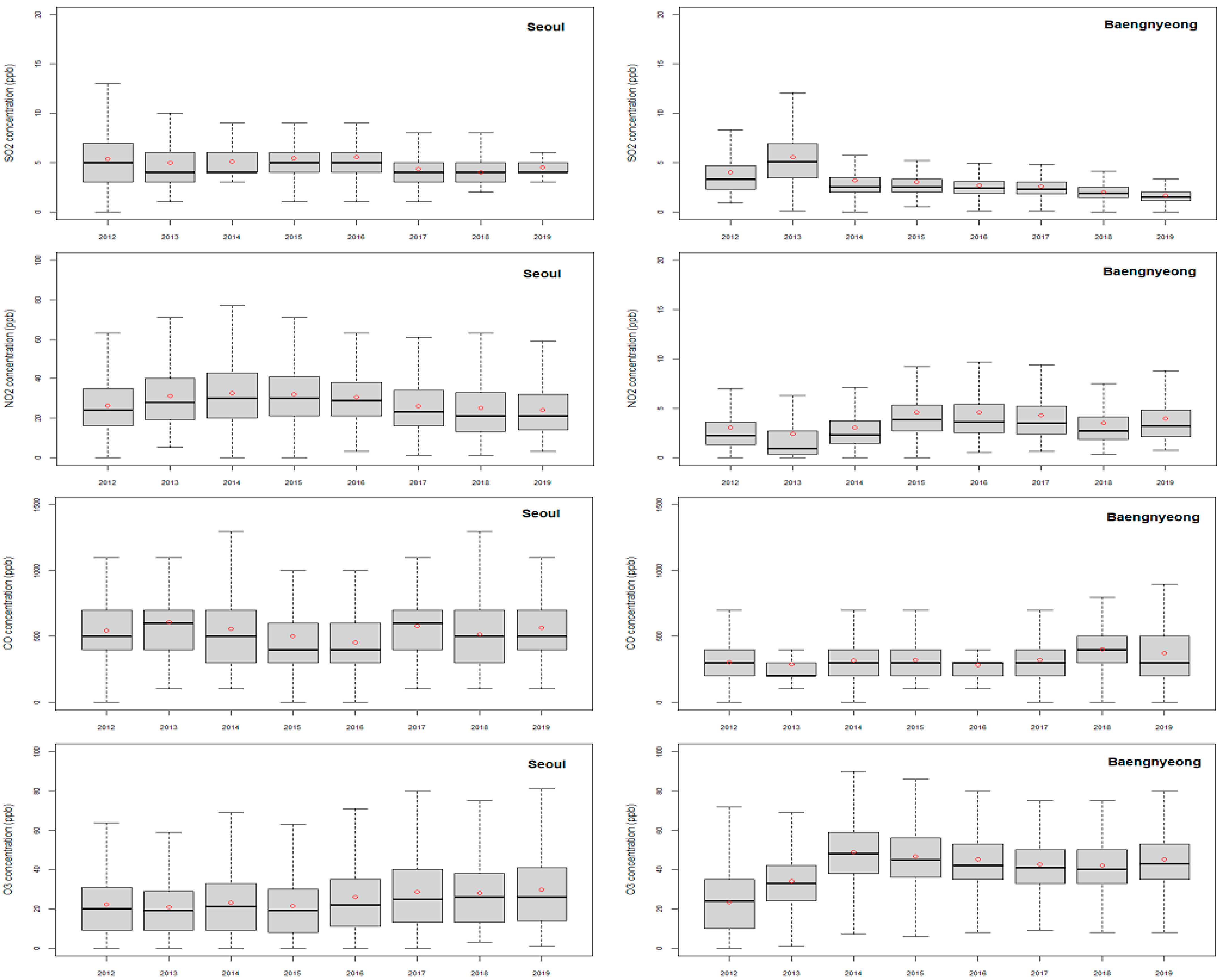
3.1. Annual Levels of Atmospheric Aerosols and Gaseous Species
3.2. Trend Analysis of Atmospheric Aerosols and Gaseous Species
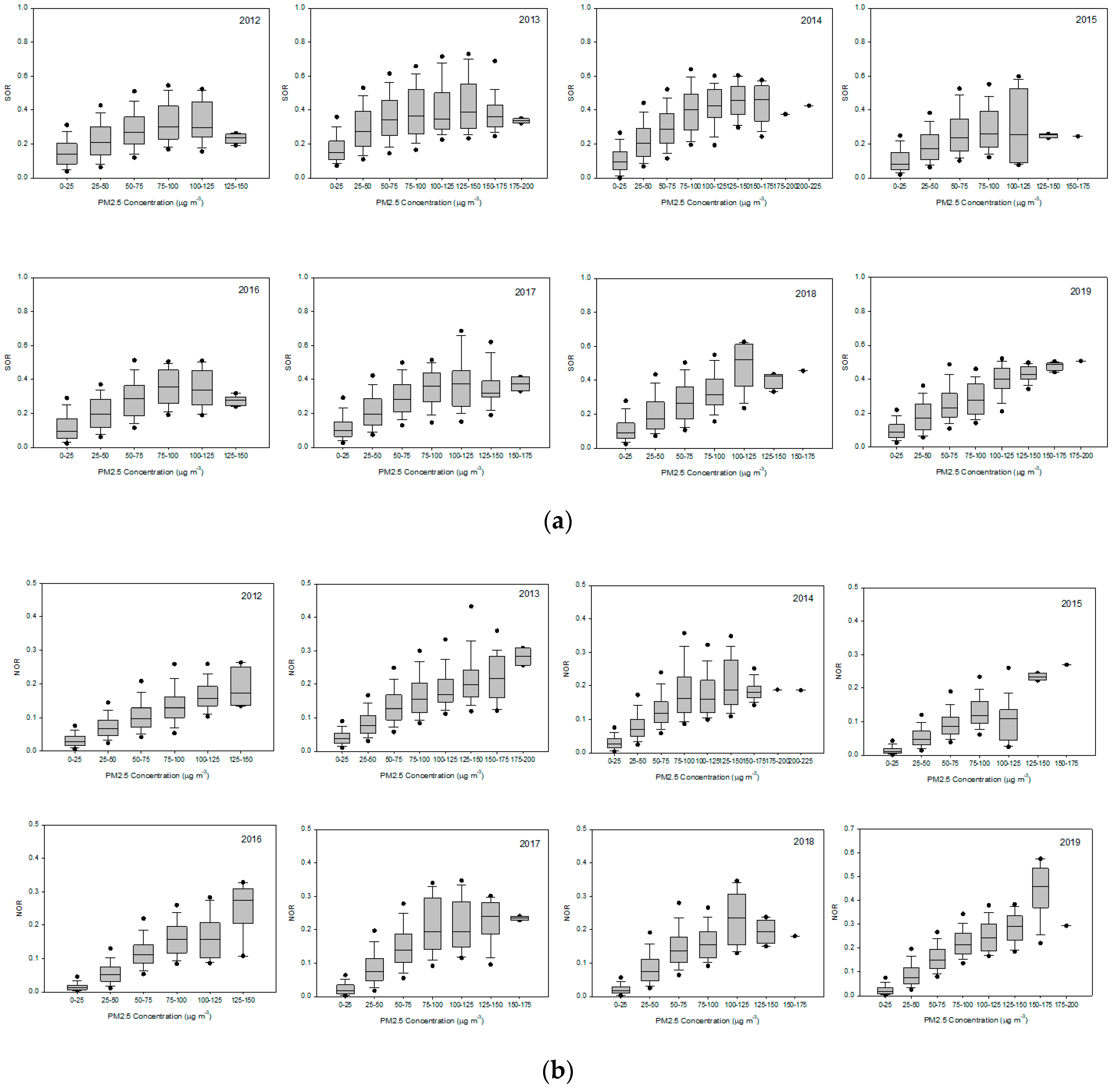
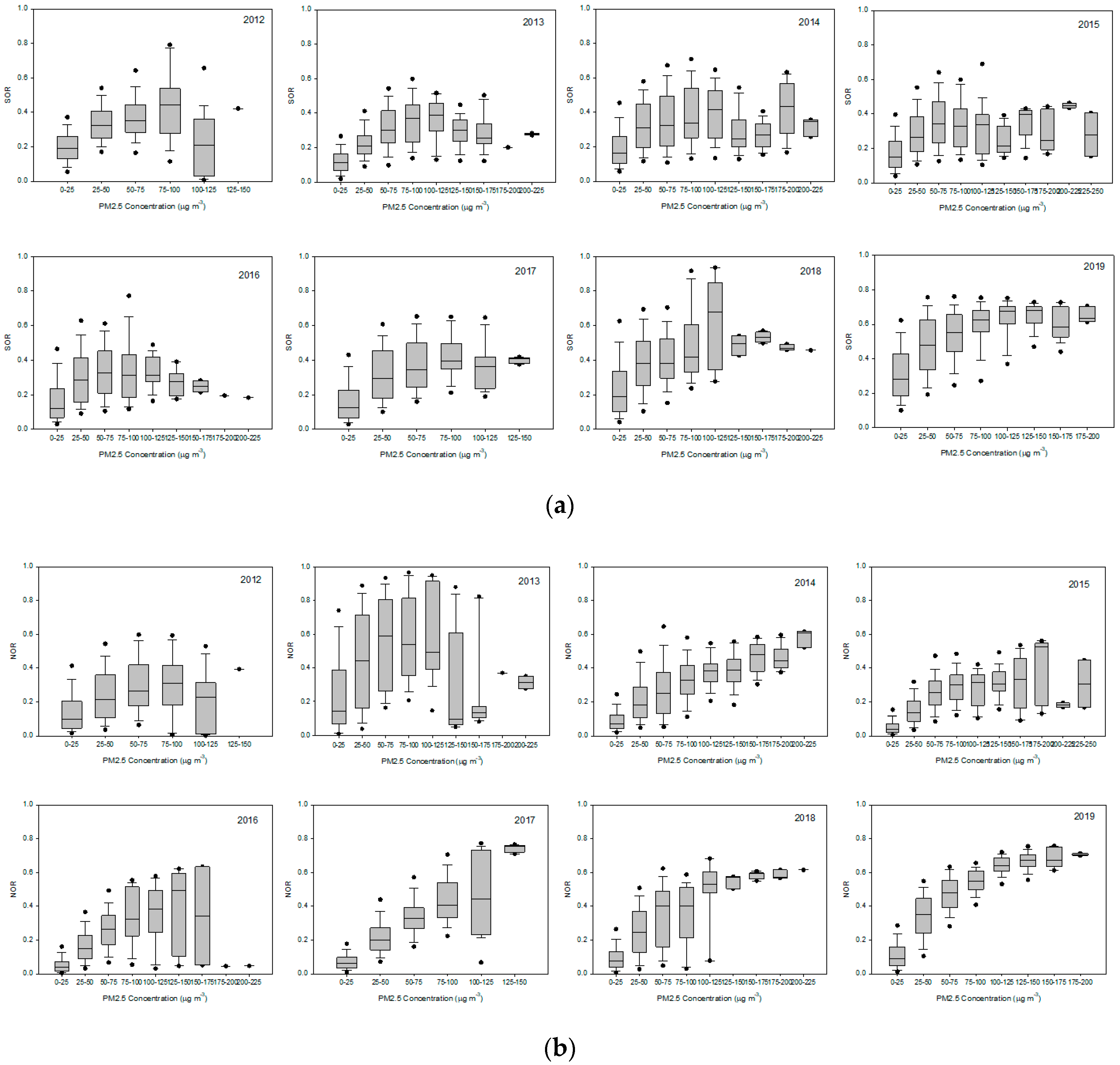
3.3. Changes in Ion Species Fraction According to PM2.5 Concentration
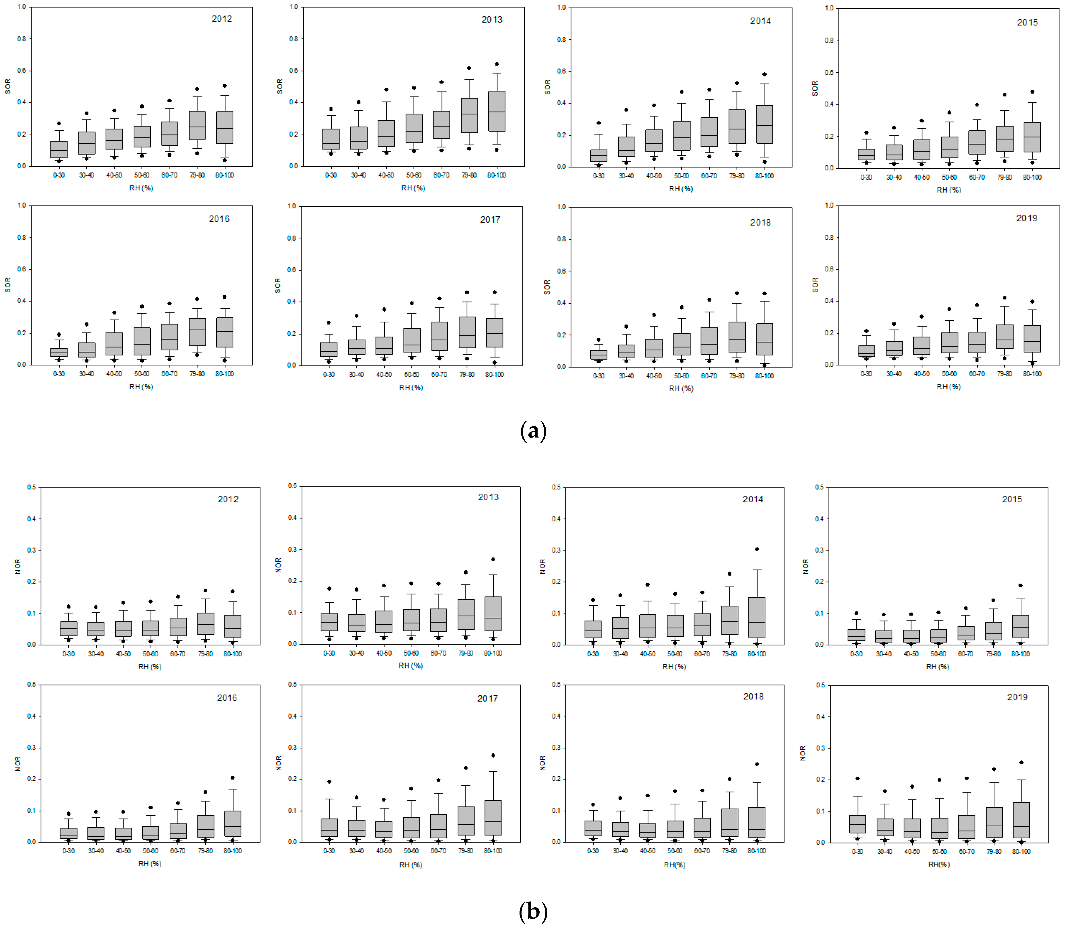
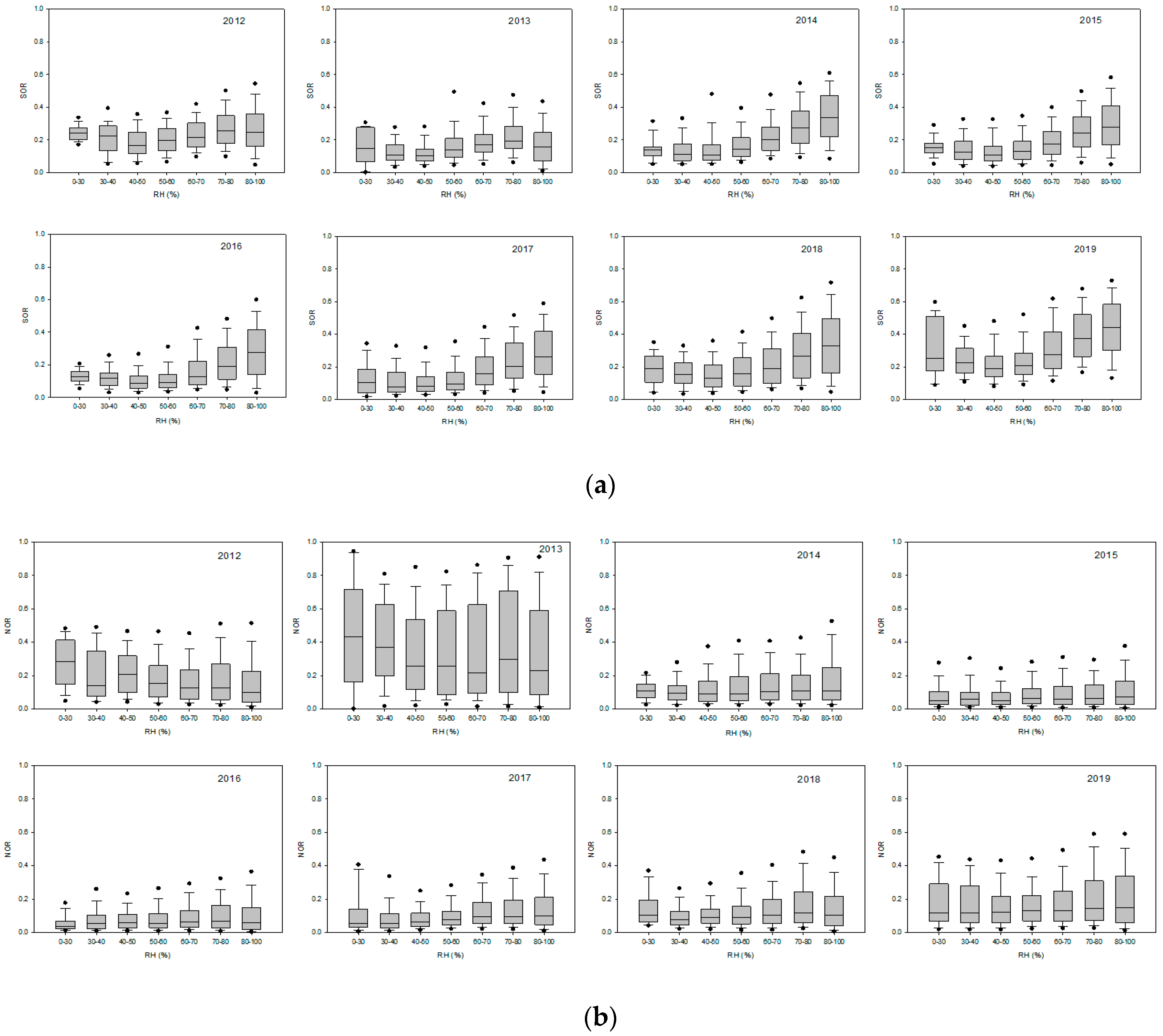
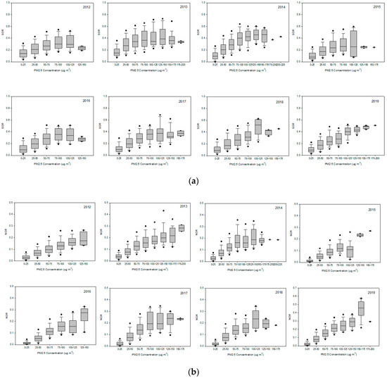
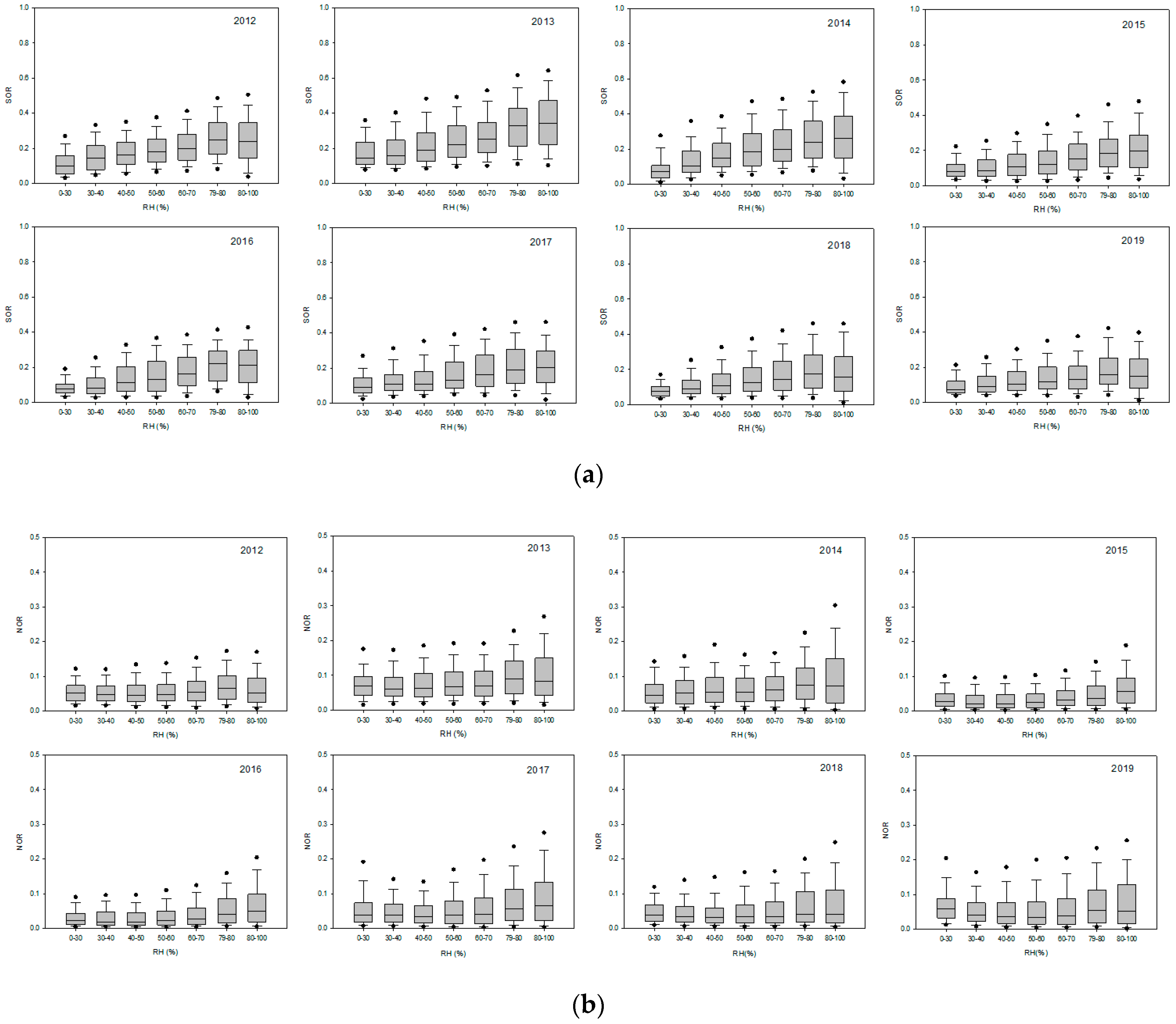
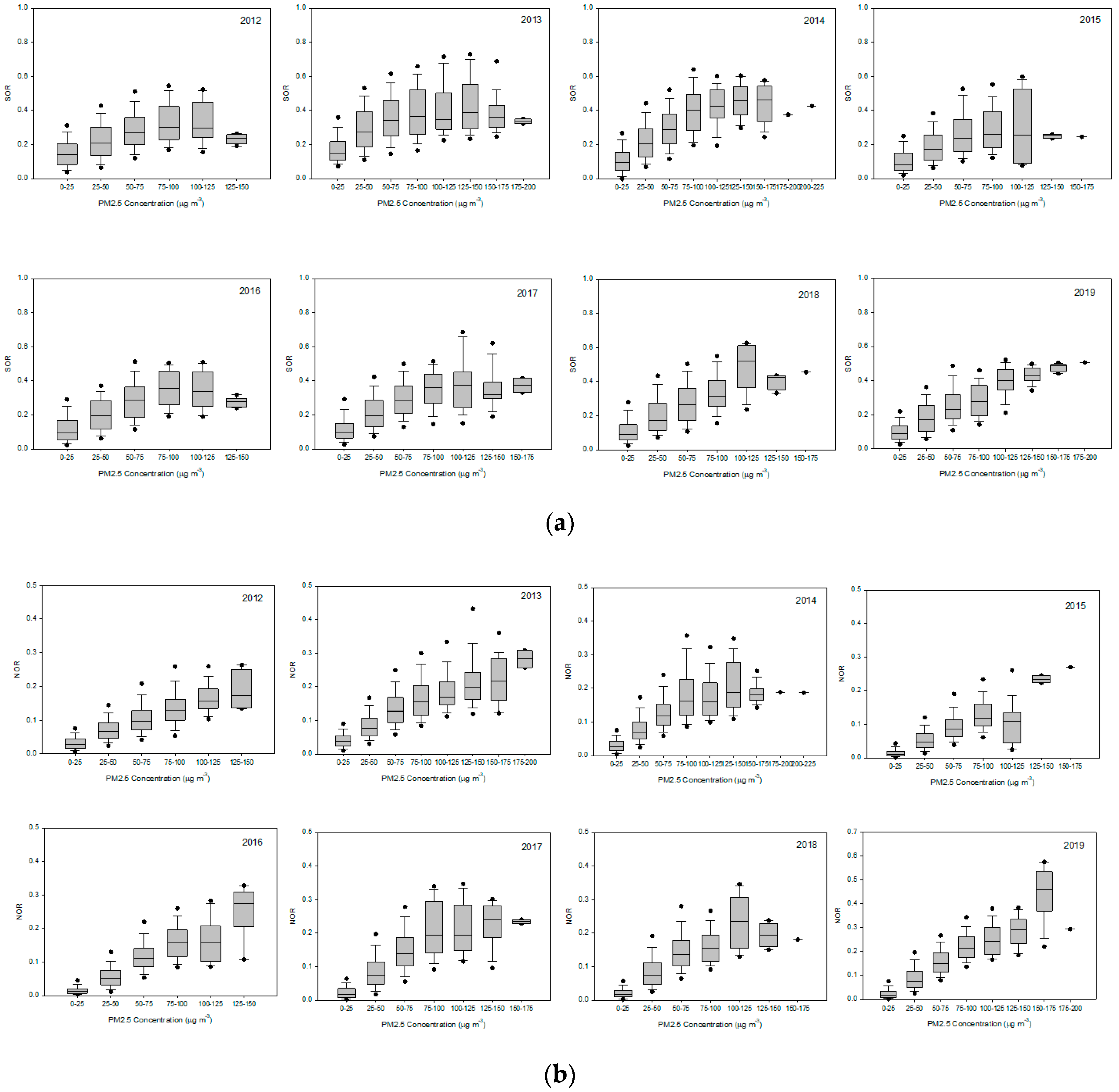
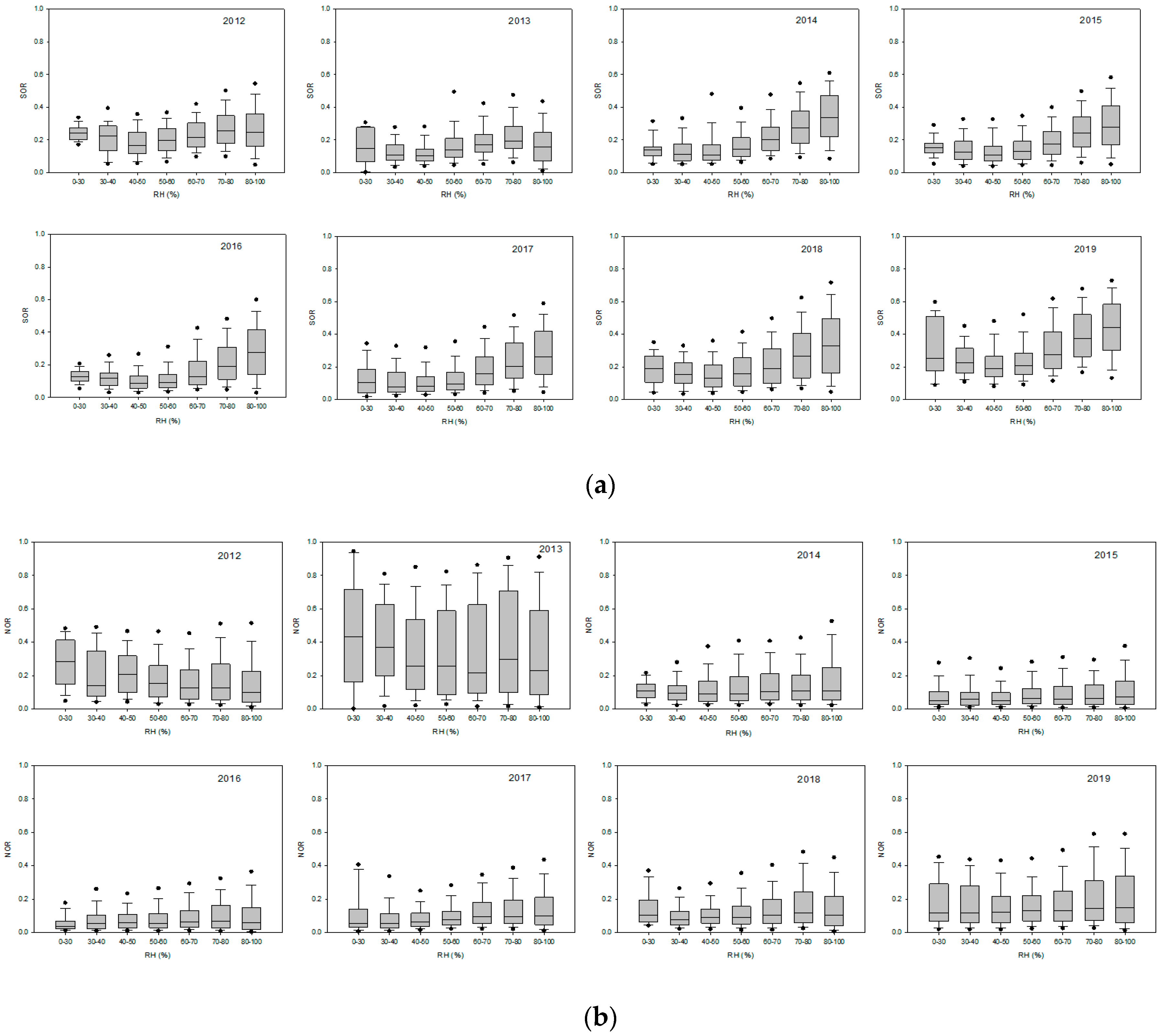
3.4. SOR and NOR in Seoul and on Baengnyeong Island According to PM2.5 Concentration and RH
3.5. The Equivalent Ratios of Ion Components in Seoul and on Baengnyeong Island
4. Summary and Conclusions
Author Contributions
Funding
Institutional Review Board Statement
Informed Consent Statement
Data Availability Statement
Acknowledgments
Conflicts of Interest
References
- Kim, Y.P.; Lee, G. Trend of Air Quality in Seoul: Policy and Science. Aerosol Air Qual. Res. 2018, 18, 2141–2156. [Google Scholar] [CrossRef]
- UNEP. A Review of 20 Years’ Air Pollution Control in Beijing; UNEP: Gigiri Nairobi, Kenya, 2019. [Google Scholar]
- Zheng, B.; Tong, D.; Li, M.; Liu, F.; Hong, C.; Geng, G.; Li, H.; Li, X.; Peng, L.; Qi, J.; et al. Trends in China’s anthropogenic emissions since 2010 as the consequence of clean air actions. Atmos. Chem. Phys. 2018, 18, 14095–14111. [Google Scholar] [CrossRef]
- Kim, N.K.; Kim, Y.P.; Kang, C.H. Long-term trend of aerosol composition and direct radiative forcing due to aerosols over Gosan: TSP, PM10, and PM2.5 data between 1992 and 2008. Atmos. Environ. 2011, 45, 6107–6115. [Google Scholar] [CrossRef]
- Shimada, K.; Takami, A.; Ishida, T.; Taniguchi, Y.; Hasegawa, S.; Chan, C.K.; Kim, Y.P.; Lin, N.-H.; Hatakeyama, S. Long-term Measurements of Carbonaceous Aerosol at Cape Hedo, Okinawa, Japan: Effects of Changes in Emissions in East Asia. Aerosol Air Qual. Res. 2021, 21, 2000505. [Google Scholar] [CrossRef]
- Lee, T.; Choi, J.; Lee, G.; Ahn, J.; Park, J.S.; Atwood, S.A.; Schurman, M.; Choi, Y.; Chung, Y.; Collett, J.L. Characterization of aerosol composition, concentrations, and sources at Baengnyeong Island, Korea using an aerosol mass spectrometer. Atmos. Environ. 2015, 120, 297–306. [Google Scholar] [CrossRef]
- Ban, J.; Park, T.; Park, S.M.; Shin, H.-J.; Lim, Y.-J.; Choi, J.; Lee, M.-D.; Lee, S.-B.; Kim, J.; Lee, T. The Ionic Composition and Acidity of PM2.5 at Baengnyeong Island during the High Concentration Episodes (2013~2014). J. Korean Soc. Atmos. Environ. 2018, 34, 780–791. [Google Scholar] [CrossRef]
- Jo, Y.-J.; Lee, H.-J.; Jo, H.-Y.; Woo, J.-H.; Kim, Y.; Lee, T.; Heo, G.; Park, S.-M.; Jung, D.; Park, J.; et al. Changes in inorganic aerosol compositions over the Yellow Sea area from impact of Chinese emissions mitigation. Atmosph. Res. 2020, 240, 104948. [Google Scholar] [CrossRef]
- Shin, H.J.; Park, S.-M.; Park, J.S.; Song, I.H.; Hong, Y.D. Chemical Characteristics of High PM Episodes Occurring in Spring 2014, Seoul, Korea. Adv. Meteorol. 2016, 2016, 2424875. [Google Scholar] [CrossRef]
- NIER. 2017 Annual Report of Intensive Air Quality Monitoring Station; NIER: Incheon, Korea, 2018. [Google Scholar]
- Kang, S.; Lee, S.H.; Cho, N.; Aggossou, C.; Chun, J. Dust and sandstorm: Ecosystem perspectives on dryland hazards in Northeast Asia: A review. J. Ecol. Environ. 2021, 45, 25. [Google Scholar] [CrossRef]
- Kim, M.J. Changes in the Relationship between Particulate Matter and Surface Temperature in Seoul from 2002–2017. Atmosphere 2019, 10, 238. [Google Scholar] [CrossRef]
- Park, T.; Ban, J.; Kang, S.; Ghim, Y.S.; Shin, H.-J.; Park, J.S.; Park, S.M.; Moon, K.J.; Lim, Y.-J.; Lee, M.-D.; et al. Chemical Characteristics of PM1 using Aerosol Mass Spectrometer at Baengnyeong Island and Seoul Metropolitan Area. J. Korean Soc. Atmos. Environ. 2018, 34, 430–446. [Google Scholar] [CrossRef]
- Park, S.-S.; Jung, S.-A.; Gong, B.-J.; Cho, S.-Y.; Lee, S.-J. Characteristics of PM2.5 Haze Episodes Revealed by Highly Time-Resolved Measurements at an Air Pollution Monitoring Supersite in Korea. Aerosol Air Qual. Res. 2013, 13, 957–976. [Google Scholar] [CrossRef]
- AirKorea. Available online: https://www.airkorea.or.kr/web (accessed on 16 May 2019).
- Mann, H.B. Nonparametric Tests against Trend. Econometrica 1945, 13, 245–259. [Google Scholar] [CrossRef]
- Kendall, M.G. Rank Correlation Methods, 4th ed.; Charles Griffin: London, UK, 1975. [Google Scholar]
- Chaudhuri, S.; Dutta, D. Mann-Kendall trend of pollutants, temperature and humidity over an urban station of India with forecast verification using different ARIMA models. Environ. Monit. Assess 2014, 186, 4719–4742. [Google Scholar] [CrossRef]
- Gocic, M.; Trajkovic, S. Analysis of changes in meteorological variables using Mann-Kendall and Sen’s slope estimator statistical tests in Serbia. Glob. Planet. Chang. 2013, 100, 172–182. [Google Scholar] [CrossRef]
- Garrido, A.; Jiménez-Guerrero, P.; Ratola, N. Levels, trends and health concerns of atmospheric PAHs in Europe. Atmos. Environ. 2014, 99, 474–484. [Google Scholar] [CrossRef]
- Liao, K.; Yu, J.Z. Abundance and sources of benzo[a]pyrene and other PAHs in ambient air in Hong Kong: A review of 20-year measurements (1997–2016). Chemosphere 2020, 259, 127518. [Google Scholar] [CrossRef]
- Sen, P.K. Estimates of the Regression Coefficient Based on Kendall’s Tau. J. Am. Stat. Assoc. 1968, 63, 1379–1389. [Google Scholar] [CrossRef]
- Lettenmaier, D.P.; Wood, E.F.; Wallis, J.R. Hydro-climatological trends in the continental United States, 1948–1988. J. Clim. 1994, 7, 586–607. [Google Scholar] [CrossRef]
- Yue, S.; Hashino, M. Temperature trends in Japan: 1900–1996. Theor. Appl. Climatol. 2003, 75, 15–27. [Google Scholar] [CrossRef]
- Yunling, H.; Yiping, Z. Climate Change from 1960 to 2000 in the Lancang River Valley, China. Mt. Res. Dev. 2005, 25, 341–348. [Google Scholar] [CrossRef]
- Pohlert, T. Non-Parametric Trend Tests and Change-Point Detection; Creative Commons Corporation: Los Angeles, CA, USA, 2020. [Google Scholar]
- NIER. 2020 Annual Report of Air Quality in Korea; NIER: Incheon, Korea, 2019. [Google Scholar]
- Grosjean, D.; Friedlander, S.K. Gas-Particle Distribution Factors for Organic and Other Pollutants in the Los Angeles Atmosphere. J. Air Pollut. Control Assoc. 1975, 25, 1038–1044. [Google Scholar] [CrossRef][Green Version]
- Khoder, M.I. Atmospheric conversion of sulfur dioxide to particulate sulfate and nitrogen dioxide to particulate nitrate and gaseous nitric acid in an urban area. Chemosphere 2002, 49, 675–684. [Google Scholar] [CrossRef]
- Yu, G.-H.; Park, S.-S.; Park, J.S.; Park, S.M.; Song, I.H.; Oh, J.; Shin, H.J.; Lee, M.D.; Lim, H.B.; Kim, H.W.; et al. Pollution Characteristics of PM2.5 Observed during Winter and Summer in Baengryeongdo and Seoul. J. Korean Soc. Atmos. Environ. 2018, 34, 38–55. [Google Scholar] [CrossRef]
- Bhardwaj, P.; Ki, S.J.; Kim, Y.H.; Woo, J.H.; Song, C.K.; Park, S.Y.; Song, C.H. Recent changes of trans-boundary air pollution over the Yellow Sea: Implications for future air quality in South Korea. Environ. Pollut. 2019, 247, 401–409. [Google Scholar] [CrossRef]
- Souri, A.H.; Choi, Y.; Jeon, W.; Woo, J.H.; Zhang, Q.; Kurokawa, J.i. Remote sensing evidence of decadal changes in major tropospheric ozone precursors over East Asia. J. Geophys. Res. Atmos. 2017, 122, 2474–2492. [Google Scholar] [CrossRef]
- Clean Air Policy Support System (CAPSS). Available online: https://www.air.go.kr/en/jbgg/sub03 (accessed on 16 May 2019).
- Kim, S.; Kim, O.; Kim, B.-U.; Kim, H.C. Impact of Emissions from Major Point Sources in Chungcheongnam-do on Surface Fine Particulate Matter Concentration in the Surrounding Area. J. Korean Soc. Atmos. Environ. 2017, 33, 159–173. [Google Scholar] [CrossRef][Green Version]
- Son, S.-C.; Park, S.; Bae, M.; Kim, S. A Study on Characteristics of High PM2.5 Pollution Observed around Large-scale Stationary Sources in Chungcheongnam-do Province. J. Korean Soc. Atmos. Environ. 2020, 36, 669–687. [Google Scholar] [CrossRef]
- Squizzato, S.; Masiol, M.; Brunelli, A.; Pistollato, S.; Tarabotti, E.; Rampazzo, G.; Pavoni, B. Factors determining the formation of secondary inorganic aerosol: A case study in the Po Valley (Italy). Atmos. Chem. Phys. 2013, 13, 1927–1939. [Google Scholar] [CrossRef]
- Kim, Y.; Seo, J.; Kim, J.Y.; Lee, J.Y.; Kim, H.; Kim, B.M. Characterization of PM2.5 and identification of transported secondary and biomass burning contribution in Seoul, Korea. Environ. Sci. Pollut. Res. Int. 2018, 25, 4330–4343. [Google Scholar] [CrossRef]
- Kong, L.; Feng, M.; Liu, Y.; Zhang, Y.; Zhang, C.; Li, C.; Qu, Y.; An, J.; Liu, X.; Tan, Q.; et al. Elucidating the pollution characteristics of nitrate, sulfate and ammonium in PM2.5 in Chengdu, southwest China, based on 3-year measurements. Atmos. Chem. Phys. 2020, 20, 11181–11199. [Google Scholar] [CrossRef]












| Year | Atmospheric Aerosols (μg m−3) | Gaseous Species (ppb) | |||||||||
|---|---|---|---|---|---|---|---|---|---|---|---|
| PM2.5 | SO42− | NO3− | NH4+ | EC | OC | SO2 | NO2 | CO | O3 | ||
| Seoul | 2012 | 28.8 | 6.07 | 5.36 | 3.70 | 1.52 | 3.13 | 5.37 | 26.4 | 545 | 22.3 |
| 2013 | 38.3 | 8.88 | 9.28 | 5.19 | 1.76 | 3.80 | 4.97 | 31.1 | 608 | 20.9 | |
| 2014 | 37.3 | 7.43 | 7.93 | 4.95 | 1.56 | 3.82 | 5.11 | 32.5 | 557 | 23.2 | |
| 2015 | 28.0 | 4.75 | 4.25 | 3.35 | 1.26 | 3.73 | 5.43 | 31.9 | 501 | 21.5 | |
| 2016 | 27.4 | 4.95 | 4.40 | 3.16 | 1.23 | 3.64 | 5.55 | 30.5 | 454 | 25.9 | |
| 2017 | 27.0 | 4.20 | 5.52 | 3.39 | 1.28 | 4.15 | 4.33 | 25.9 | 581 | 28.5 | |
| 2018 | 23.3 | 3.54 | 4.93 | 2.91 | 0.90 | 3.12 | 4.01 | 25.1 | 517 | 28.1 | |
| 2019 | 26.5 | 3.65 | 5.50 | 3.06 | 0.93 | 3.68 | 4.52 | 23.9 | 569 | 29.6 | |
| Baeng-nyeong Island | 2012 | 21.5 | 5.77 | 1.86 | 2.55 | 0.82 | 3.43 | 4.02 | 2.99 | 303 | 23.3 |
| 2013 | 25.9 | 4.81 | 2.03 | 2.33 | 0.97 | 2.88 | 5.54 | 2.41 | 287 | 33.9 | |
| 2014 | 28.7 | 4.97 | 2.00 | 2.44 | 0.74 | 3.12 | 3.20 | 3.04 | 317 | 49.1 | |
| 2015 | 23.7 | 3.92 | 2.04 | 2.14 | 0.60 | 2.96 | 2.99 | 4.57 | 322 | 46.7 | |
| 2016 | 21.8 | 3.67 | 1.95 | 1.99 | 0.86 | 2.97 | 2.70 | 4.56 | 284 | 45.3 | |
| 2017 | 22.0 | 3.39 | 2.43 | 1.98 | 0.67 | 2.91 | 2.53 | 4.28 | 319 | 42.6 | |
| 2018 | 17.5 | 3.41 | 2.42 | 1.79 | 0.55 | 2.11 | 2.00 | 3.48 | 401 | 42.1 | |
| 2019 | 20.3 | 4.99 | 4.93 | 3.29 | 0.51 | 2.31 | 1.66 | 3.96 | 372 | 45.4 | |
| S-Value | Z-Value | p-Value | Trend | Sen’s Slope (μg m−3 y−1) | Change (Based on 2012) (μg m−3 y−1) | ||
|---|---|---|---|---|---|---|---|
| Seoul | PM2.5 | −5.0 × 105 | −10.55 | <2.2 × 10−16 | Down (▼) | −0.0038 | −1.1 × 10−1 |
| SO42− | −4.4 × 105 | −14.95 | <2.2 × 10−16 | Down (▼) | −0.0016 | −9.7 × 10−3 | |
| NO3− | −2.6 × 105 | −8.669 | <2.2 × 10−16 | Down (▼) | −0.0011 | −5.9 × 10−3 | |
| NH4+ | −2.8 × 105 | −9.694 | <2.2 × 10−16 | Down (▼) | −0.0008 | −3.0 × 10−3 | |
| EC | −4.2 × 105 | −17.14 | <2.2 × 10−16 | Down (▼) | −0.0004 | −6.1 × 10−4 | |
| OC | −3.1 × 103 | −0.125 | 0.9 | No trend | − | − | |
| Baeng-nyeong Island | PM2.5 | −2.9 × 105 | −8.200 | <2.2 × 10−16 | Down (▼) | −0.0027 | −5.8 × 10−2 |
| SO42− | −2.1 × 105 | −7.605 | <2.2 × 10−16 | Down (▼) | −0.0007 | −4.0 × 10−3 | |
| NO3− | 9.9 × 105 | 3.627 | <2.2 × 10−16 | Up (▲) | 0.0001 | 1.9 × 10−4 | |
| NH4+ | −1.4 × 105 | −5.174 | <2.2 × 10−16 | Down (▼) | −0.0002 | −5.1 × 10−4 | |
| EC | −3.2 × 105 | −11.92 | <2.2 × 10−16 | Down (▼) | −0.0001 | −8.2 × 10−5 | |
| OC | −2.4 × 105 | −8.778 | <2.2 × 10−16 | Down (▼) | −0.0005 | −1.7 × 10−3 |
| S-Value | Z-Value | p-Value | Trend | Sen’s Slope (ppb y−1) | Change (Based on 2012) (ppb y−1) | ||
|---|---|---|---|---|---|---|---|
| Seoul | SO2 | −4.6 × 105 | −10.70 | <2.2 × 10−16 | Down (▼) | −0.0004 | −2.1 × 10−3 |
| NO2 | −4.5 × 105 | −9.877 | <2.2 × 10−16 | Down (▼) | −0.0027 | −7.1 × 10−2 | |
| CO | −8.6 × 104 | −1.979 | 5.253 × 10−13 | Down (▼) | −0.0118 | −6.4 | |
| O3 | 4.8 × 105 | 11.11 | <2.2 × 10−16 | Up (▲) | 0.0036 | 8.0 × 10−2 | |
| Baeng-nyeong Island | SO2 | −1.2 × 106 | −29.46 | <2.2 × 10−16 | Down (▼) | −0.0010 | −4.0 × 10−3 |
| NO2 | 2.8 × 105 | 7.486 | <2.2 × 10−16 | Up (▲) | 0.0004 | 1.2 × 10−3 | |
| CO | 3.0 × 105 | 7.108 | <2.2 × 10−16 | Up (▲) | 0.0249 | 7.5 | |
| O3 | 5.4 × 105 | 12.67 | <2.2 × 10−16 | Up (▲) | 0.0052 | 1.2 × 10−1 |
| Year | NH4+ (μeq m−3) /SO42− (μeq m−3) | NH4+ (μeq m−3) /NO3− (μeq m−3) | NH4+ (μeq m−3) /Σ SO42− and NO3− (μeq m−3) |
|---|---|---|---|
| 2012 | 1.327 | 1.757 | 0.9586 |
| 2013 | 1.3679 | 1.5337 | 0.9092 |
| 2014 | 1.4881 | 1.8863 | 0.9747 |
| 2015 | 1.6142 | 1.833 | 1.0837 |
| 2016 | 1.5469 | 1.6618 | 1.0213 |
| 2017 | 1.8686 | 1.4178 | 1.0275 |
| 2018 | 1.8945 | 1.5126 | 1.0583 |
| 2019 | 2.3263 | 1.5887 | 1.0981 |
| Year | NH4+ (μeq m−3) /SO42− (μeq m−3) | NH4+ (μeq m−3) /NO3− (μeq m−3) | NH4+ (μeq m−3) /Σ SO42− and NO3− (μeq m−3) |
|---|---|---|---|
| 2012 | 1.1399 | 2.1693 | 0.9244 |
| 2013 | 1.1032 | 1.837 | 0.8784 |
| 2014 | 1.3089 | 2.0892 | 0.9675 |
| 2015 | 1.5127 | 1.815 | 1.0453 |
| 2016 | 1.3416 | 1.9612 | 1.0274 |
| 2017 | 1.6611 | 1.8944 | 1.0903 |
| 2018 | 1.6317 | 1.5413 | 1.005 |
| 2019 | 2.0804 | 1.5172 | 1.0294 |
Publisher’s Note: MDPI stays neutral with regard to jurisdictional claims in published maps and institutional affiliations. |
© 2022 by the authors. Licensee MDPI, Basel, Switzerland. This article is an open access article distributed under the terms and conditions of the Creative Commons Attribution (CC BY) license (https://creativecommons.org/licenses/by/4.0/).
Share and Cite
Kim, N.-K.; Kim, Y.-P.; Shin, H.-J.; Lee, J.-Y. Long-Term Trend of the Levels of Ambient Air Pollutants of a Megacity and a Background Area in Korea. Appl. Sci. 2022, 12, 4039. https://doi.org/10.3390/app12084039
Kim N-K, Kim Y-P, Shin H-J, Lee J-Y. Long-Term Trend of the Levels of Ambient Air Pollutants of a Megacity and a Background Area in Korea. Applied Sciences. 2022; 12(8):4039. https://doi.org/10.3390/app12084039
Chicago/Turabian StyleKim, Na-Kyung, Yong-Pyo Kim, Hye-Jung Shin, and Ji-Yi Lee. 2022. "Long-Term Trend of the Levels of Ambient Air Pollutants of a Megacity and a Background Area in Korea" Applied Sciences 12, no. 8: 4039. https://doi.org/10.3390/app12084039
APA StyleKim, N.-K., Kim, Y.-P., Shin, H.-J., & Lee, J.-Y. (2022). Long-Term Trend of the Levels of Ambient Air Pollutants of a Megacity and a Background Area in Korea. Applied Sciences, 12(8), 4039. https://doi.org/10.3390/app12084039

